Anthropogenic Disturbances Influenced the Island Effect on Both Taxonomic and Phylogenetic Diversity on Subtropical Islands, Pingtan, China
Abstract
1. Introduction
2. Result
2.1. The Relationship between Island Area and Taxonomic, Phylogenetic Diversity, and Structure
2.2. Relationships between Island Factors and Island Taxonomic, Phylogenetic Diversity, and Structure
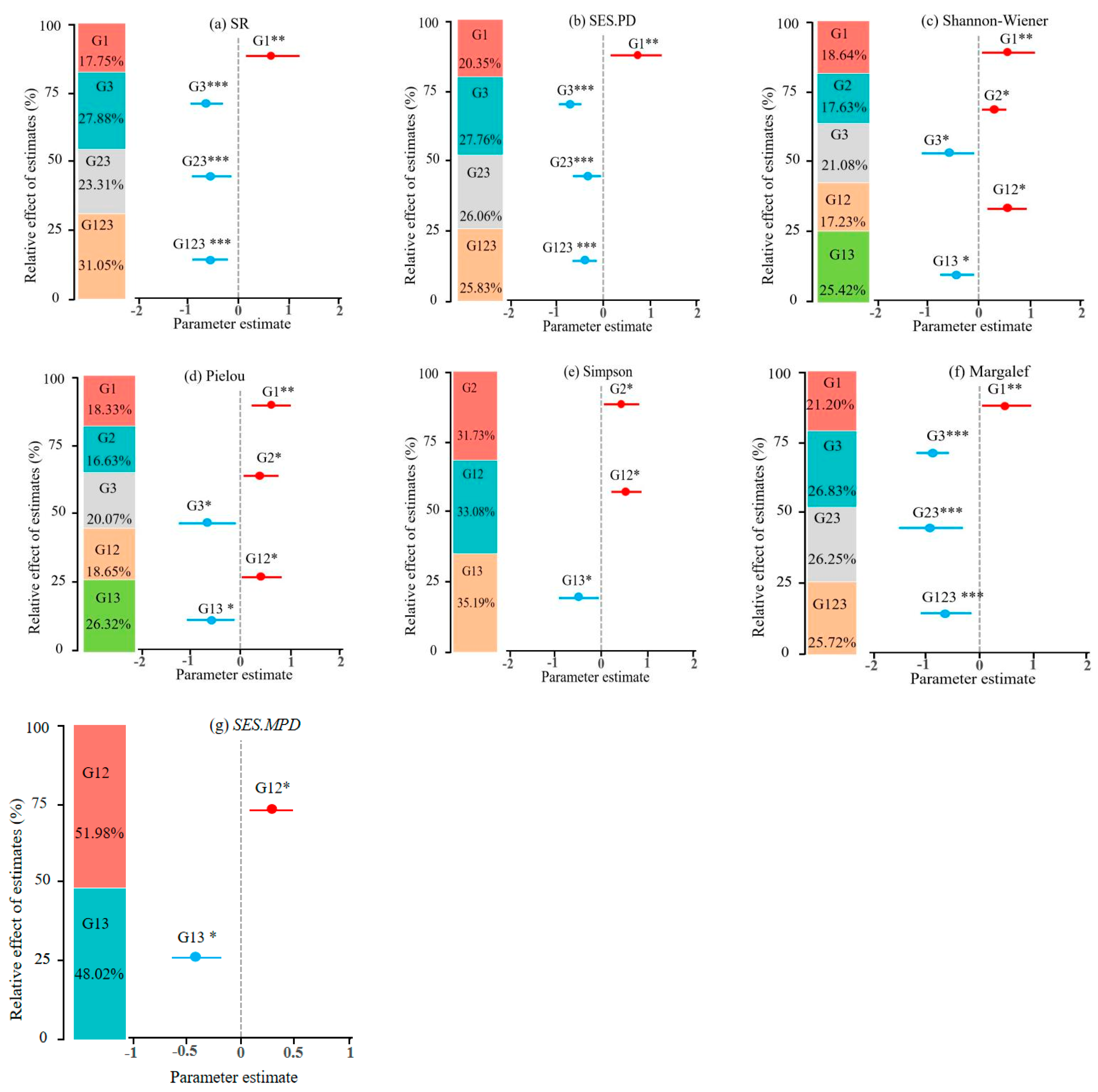
2.3. The Driving Factors of Taxonomic, Phylogenetic Diversity and Structure
3. Discussion
3.1. The Impact of Island Area and Isolation on Taxonomic, Phylogenetic Diversity, and Structure
3.2. The Analysis of the Impact of Island Effects, Island Habitat Heterogeneity, and Anthropogenic Disturbances on Taxonomic, Phylogenetic Diversity, and Structure
3.3. The Relative Importance Analysis of Island Effects, Island Habitat Heterogeneity, and Anthropogenic Disturbances on Taxonomic, Phylogenetic Diversity, and Structure
4. Materials and Methods
4.1. Study Site
4.2. Sample Plot Setting
4.3. Taxonomic, Phylogenetic Diversity, and Phylogenetic Structure
4.4. Degree of Anthropogenic Disturbance, and Island Spatial Characteristics
4.5. Classification of Island Effect, Habitat Heterogeneity and Anthropogenic Disturbance
4.6. Data Analysis
5. Conclusions
Supplementary Materials
Author Contributions
Funding
Data Availability Statement
Acknowledgments
Conflicts of Interest
References
- Lelièvre, Y.; Specq, L.; Lamy, T.; Boyé, A.; Downey, R.; Saucède, T. Taxonomic and functional diversity of subtidal benthic communities associated with hard substrates at Crozet archipelago (sub-Antarctic, Southern Ocean). Front. Mar. Sci. 2023, 10, 1291038. [Google Scholar] [CrossRef]
- Valente, L.X.; Phillimore, A.B.; Melo, M.; Warren, B.H.; Clegg, S.M.; Havenstein, K.; Tiedemann, R.; Illera, J.C.; Thébaud, C.; Aschenbach, T.; et al. A simple dynamic model explains the diversity of island birds worldwide. Nature 2020, 579, 92–96. [Google Scholar] [CrossRef] [PubMed]
- MacArthur, R.H.; Wilson, E.O. The Theory of Island Biogeography; Princeton University Press: Princeton, NJ, USA, 1967. [Google Scholar]
- Chi, Y.; Liu, D.; Xing, W.; Wang, J. Island ecosystem health in the context of human activities with different types and intensities. J. Clean. Prod. 2021, 281, 125334. [Google Scholar] [CrossRef]
- Ma, X.J.; Chi, Y.; Wang, J.; Qu, Y.; Zhang, Z.; Liu, Z.; Liu, D. How plant diversity varies across an archipelago with highly heterogeneous human activities. Glob. Ecol. Conserv. 2023, 43, e02446. [Google Scholar] [CrossRef]
- Liu, J.L.; Liu, T.T.; Zhou, Y.Y.; Chen, Y.; Lu, L.X.; Jin, X.J.; Zhang, Y.P.; Zhang, Y.H. Plant diversity on islands in the Anthropocene: Integrating the effects of the theory of island biogeography and human activities. Basic Appl. Ecol. 2023, 72, 45–53. [Google Scholar] [CrossRef]
- Fois, M.; Cuena-Lombraña, A.; Fenu, G.; Cogoni, D.; Bacchetta, G. Does a correlation exist between environmental suitability models and plant population parameters? An experimental approach to measure the influence of disturbances and environmental changes. Ecol. Indic. 2018, 86, 1–8. [Google Scholar] [CrossRef]
- Qian, H.; Zhang, J.; Jiang, M. Global patterns of taxonomic and phylogenetic diversity of flowering plants: Biodiversity hotspots and coldspots. Plant Divers. 2023, 45, 265–271. [Google Scholar] [CrossRef] [PubMed]
- Hanz, D.M.; Cutts, V.; Barajas-Barbosa, M.P.; Algar, A.; Beierkuhnlein, C.; Collart, F.; Fernández-Palacios, J.M.; Field, R.; Karger, D.N.; Kienle, D.R.; et al. Effects of climate change on the distribution of plant species and plant functional strategies on the Canary Islands. Divers. Distrib. 2023, 29, 1157–1171. [Google Scholar] [CrossRef]
- Walentowitz, A.; Troiano, C.; Christiansen, J.B.; Steinbauer, M.J.; Barfod, A.S. Plant dispersal characteristics shape the relationship of diversity with area and isolation. J. Biogeogr. 2022, 49, 1599–1608. [Google Scholar] [CrossRef]
- Lomolino; Weiser. Towards a more general species-area relationship: Diversity on all islands, great and small. J. Biogeogr. 2001, 28, 431–445. [Google Scholar] [CrossRef]
- Si, X.F.; Cadotte, M.W.; Zeng, D.I.; Baselga, A.; Zhao, Y.H.; Li, J.Q.; Wu, Y.R.; Wang, S.Y.; Ding, P. Functional and phylogenetic structure of island bird communities. J. Anim. Ecol. 2017, 86, 532–542. [Google Scholar] [CrossRef] [PubMed]
- Posadas, P.; Esquivel, D.R.M.; Crisci, J.V. Using phylogenetic diversity measures to set priorities in conservation: An example from southern South America. Conserv. Biol. 2001, 15, 1325–1334. [Google Scholar] [CrossRef]
- Iliadou, E.; Bazos, I.; Kougioumoutzis, K.; Karadimou, E.; Kokkoris, I.; Panitsa, M.; Raus, T.; Strid, A.; Dimopoulos, P. Taxonomic and phylogenetic diversity patterns in the Northern Sporades islets complex (West Aegean, Greece). Plant Syst. Evol. 2020, 306, 1–17. [Google Scholar] [CrossRef]
- Forest, F.; Grenyer, R.; Rouget, M.; Davies, T.J.; Cowling, R.M.; Faith, D.P.; Balmford, A.; Manning, J.C.; Procheş, Ş.; Bank, M.V.D.; et al. Preserving the evolutionary potential of floras in biodiversity hotspots. Nature 2007, 445, 757–760. [Google Scholar] [CrossRef] [PubMed]
- Pio, D.V.; Broennimann, O.; Barraclough, T.G.; Reeves, G.; Rebelo, A.G.; Thuiller, W.; Guisan, A.; Salamin, N. Spatial predictions of phylogenetic diversity in conservation decision making. Trends Genet. 2011, 25, 1229–1239. [Google Scholar] [CrossRef] [PubMed]
- Klimeš, A.; Molina-Venegas, R.; Carta, A.; Chytrý, M.; Conti, L.; Götzenberger, L.; Hájek, M.; Horsák, M.; Jiménez-Alfaro, B.; Klimešová, J.; et al. Weak phylogenetic effect on specialist plant assemblages and their persistence on habitat islands. J. Biogeogr. 2024; manuscript in preparation. [Google Scholar] [CrossRef]
- Ferreira-Arruda, T.; Guerrero-Ramírez, N.R.; Denelle, P.; Weigelt, P.; Kleyer, M.; Kreft, H. Island area and historical geomorphological dynamics shape multifaceted diversity of barrier island floras. Ecography 2022, 8, e06238. [Google Scholar] [CrossRef]
- Tolmos, M.L.; Guerrero-Ramirez, N.R.; Ameztegui, A.; Barajas Barbosa, M.P.; Craven, D.; Kreft, H. Biogeographic context mediates multifaceted diversity-productivity relationships in island and mainland forests. J. Ecol. 2024, 112, 800–816. [Google Scholar] [CrossRef]
- Li, D.D.; Zhang, F.; Luo, G.Y.; Hua, Z.; Guo, S.; Yu, J. Disentangling spatial and island shape effects on bryophyte distribution in the Zhoushan Archipelago, China. Folia Geobot. 2022, 57, 83–101. [Google Scholar] [CrossRef]
- Carmona, C.P.; Azcárate, F.M.; de Bello, F.; Ollero, H.S.; Lepš, J.; Peco, B. Taxonomical and functional diversity turnover in Mediterranean grasslands: Interactions between grazing, habitat type and rainfall. J. Appl. Ecol. 2012, 49, 1084–1093. [Google Scholar] [CrossRef]
- Schmack, J.M.; Schleuning, M.; Ward, D.F.; Beggs, J.R. Biogeography and anthropogenic impact shape the success of invasive wasps on New Zealand’s offshore islands. Divers. Distrib. 2020, 26, 441–452. [Google Scholar] [CrossRef]
- Chi, Y.; Gao, J.; Wang, J.; Wang, E. Spatial responses of vegetation-soil system to complex factors in a sandy-rocky island chain. Glob. Ecol. Conserv. 2022, 38, e02249. [Google Scholar] [CrossRef]
- Oro, D.; Pueyo, Y.; Bauzà, J.; Errea, M.P.; Arroyo, A.I. Long transient response of vegetation dynamics after four millennia of anthropogenic impacts in an island ecosystem. Glob. Change Biol. 2022, 28, 6318–6332. [Google Scholar] [CrossRef] [PubMed]
- Zhang, A.; Cadotte, M.W.; Wu, D.; Yu, M. What drives phylogenetic and trait clustering on islands? Landsc. Ecol. 2023, 38, 1339–1350. [Google Scholar] [CrossRef]
- Portillo, J.T.D.M.; Ouchi-Melo, L.S.; Crivellari, L.B.; de Oliveira, T.A.L.; Sawaya, R.J.; Duarte, L.D.S. Area and distance from mainland affect in different ways richness and phylogenetic diversity of snakes in Atlantic Forest coastal islands. Ecol. Evol. 2019, 9, 3909–3917. [Google Scholar] [CrossRef] [PubMed]
- Wang, D.R.; Zhao, Y.H.; Tang, S.P.; Liu, X.X.; Li, W.D.; Han, P.; Zeng, D.; Yang, Y.; Wei, G.P.; Kang, Y.; et al. Nearby large islands diminish biodiversity of the focal island by a negative target effect. J. Anim. Ecol. 2023, 92, 492–502. [Google Scholar] [CrossRef]
- Legendre, P.; Fortin, M.J. Spatial pattern and ecological analysis. Vegetatio 1989, 80, 107–138. [Google Scholar] [CrossRef]
- Kissling, W.D.; Eiserhardt, W.L.; Baker, W.J.; Borchsenius, F.; Couvreur, T.L.; Balslev, H.; Svenning, J.C. Cenozoic imprints on the phylogenetic structure of palm species assemblages worldwide. Proc. Natl. Acad. Sci. USA 2012, 109, 7379–7384. [Google Scholar] [CrossRef]
- Kallimanis, A.S.; Bergmeier, E.; Panitsa, M.; Georghiou, K.; Delipetrou, P.; Dimopoulos, P. Biogeographical determinants for total and endemic species richness in a continental archipelago. Biodivers. Conserv. 2010, 19, 1225–1235. [Google Scholar] [CrossRef]
- Ibanez, T.; Keppel, G.; Baider, C.; Birkinshaw, C.; Florens, F.V.; Laidlaw, M.; Birnbaum, P. Tropical cyclones and island area shape species abundance distributions of local tree communities. Oikos 2020, 129, 1856–1866. [Google Scholar] [CrossRef]
- Fois, M.; Podda, L.; Médail, F.; Bacchetta, G. Endemic and alien vascular plant diversity in the small Mediterranean islands of Sardinia: Drivers and implications for their conservation. Biol. Conserv. 2020, 244, 108519. [Google Scholar] [CrossRef]
- Dimitrakopoulos, P.G.; Koukoulas, S.; Michelaki, C.; Galanidis, A. Anthropogenic and environmental determinants of alien plant species spatial distribution on an island scale. Sci. Total Environ. 2022, 805, 150314. [Google Scholar] [CrossRef]
- Castilla-Beltrán, A.; Duarte, I.; De Nascimento, L.; Fernández-Palacios, J.M.; Romeiras, M.; Whittaker, R.J.; Nogué, S. Using multiple palaeoecological indicators to guide biodiversity conservation in tropical dry islands: The case of São Nicolau, Cabo Verde. Biol. Conserv. 2020, 242, 108397. [Google Scholar] [CrossRef]
- Chi, Y.; Shi, H.; Zheng, W.; Wang, W. Archipelagic landscape patterns and their ecological effects in multiple scales. Ocean Coast. Manag. 2018, 152, 120–134. [Google Scholar] [CrossRef]
- Massante, J.C.; Gerhold, P. Environment and evolutionary history depict phylogenetic alpha and beta diversity in the Atlantic coastal white-sand woodlands. J. Veg. Sci. 2020, 31, 634–645. [Google Scholar] [CrossRef]
- Swenson, N.G.; Enquist, B.J.; Thompson, J.; Zimmerman, J.K. The influence of spatial and size scale on phylogenetic relatedness in tropical forest communities. Ecology 2007, 88, 1770–1780. [Google Scholar] [CrossRef]
- Wohlwend, M.R.; Craven, D.; Weigelt, P.; Seebens, H.; Winter, M.; Kreft, H.; Knight, T.M. Anthropogenic and environmental drivers shape diversity of naturalized plants across the Pacific. Divers. Distrib. 2021, 27, 1120–1133. [Google Scholar] [CrossRef]
- Matthews, T.J.; Rigal, F.; Kougioumoutzis, K.; Trigas, P.; Triantis, K.A. Unravelling the small-island effect through phylogenetic community ecology. J. Biogeogr. 2020, 47, 2341–2352. [Google Scholar] [CrossRef]
- Rojas-Sandoval, J.; Ackerman, J.D.; Tremblay, R.L. Island biogeography of native and alien plant species: Contrasting drivers of diversity across the Lesser Antilles. Divers. Distrib. 2020, 26, 1539–1550. [Google Scholar] [CrossRef]
- Vellend, M.; Baeten, L.; Becker-Scarpitta, A.; Boucher-Lalonde, V.; McCune, J.L.; Messier, J.; Sax, D.F. Plant biodiversity change across scales during the Anthropocene. Annu. Rev. Plant Biol. 2017, 68, 563–586. [Google Scholar] [CrossRef]
- Xu, M.; Yang, A.; Yang, X.; Cao, W.; Zhang, Z.; Li, Z.; Wardle, D.A. Island area and remoteness shape plant and soil bacterial diversity through land use and biological invasion. Funct. Ecol. 2023, 37, 1232–1244. [Google Scholar] [CrossRef]
- Song, S.; Du, J.; Wu, Q.; Ni, M.; Wang, Y.; Zhang, Y. The responses of Spinifex littoreus to sand burial on the coastal area of Pingtan Island, Fujian Province, South China. Ecoscience 2021, 28, 149–158. [Google Scholar] [CrossRef]
- Luo, M.X.; Xiao, L.F.; Chen, X.H.; Lin, K.Q.; Liu, B.; He, Z.M.; Liu, J.F.; Zheng, S.Q. Invasive alien plants and invasion risk assessment on Pingtan Island. Sustainability 2022, 14, 923. [Google Scholar] [CrossRef]
- Zheng, J.Z.; Jin, S.; Wei, K.; Deng, C.Y. Analysis on the characteristics of invasive alien plants in the uninhabited islands of Pingtan. J. Biosaf. 2023, 1, 1–8. (In Chinese) [Google Scholar]
- Fang, J.Y.; Wang, X.P.; Shen, Z.H. Methods and protocols for plant community inventory. Biodivers. Sci. 2009, 17, 533–548. (In Chinese) [Google Scholar]
- Shannon, C.E. A mathematical theory of communication. Bell Syst. Tech. J. 1948, 27, 379–423. [Google Scholar] [CrossRef]
- Simpson, E.H. Measurement of diversity. Nature 1949, 163, 688. [Google Scholar] [CrossRef]
- Margalef, R. Perspectives in Ecological Theory; University of Chicago Press: Chicago, IL, USA, 1968. [Google Scholar]
- Faith, D.P. Conservation evaluation and phylogenetic diversity. Biol. Conserv. 1992, 61, 1–10. [Google Scholar] [CrossRef]
- Mori, A.S.; Fujii, S.; Kitagawa, R.; Koide, D. Null model approaches to evaluating the relative role of different assembly processes in shaping ecological communities. Oecologia 2015, 178, 261–273. [Google Scholar] [CrossRef] [PubMed]
- Webb, C.O. Exploring the phylogenetic structure of ecological communities: An example for rain forest trees. Am. Nat. 2000, 156, 145–155. [Google Scholar] [CrossRef]
- Qian, H.; Deng, T.; Jin, Y.; Mao, L.; Zhao, D.; Ricklefs, R.E. Phylogenetic dispersion and diversity in regional assemblages of seed plants in China. Proc. Natl. Acad. Sci. USA 2019, 116, 23192–23201. [Google Scholar] [CrossRef]
- Kraft, N.J.B.; Cornwell, W.K.; Webb, C.O.; Ackerly, D.D. Trait evolution, community assembly, and the phylogenetic structure of ecological communities. Am. Nat. 2007, 170, 271–283. [Google Scholar] [CrossRef]
- Mologni, F.; Burns, K.C. The island biogeography of human population size. Proc. R. Soc. B Biol. Sci. 2023, 290, 20222084. [Google Scholar] [CrossRef]
- Hoffmeister, T.S.; Vet, L.E.M.; Biere, A.; Holsinger, K.; Filser, J. Ecological and evolutionary consequences of biological invasion and habitat fragmentation. Ecosystems 2005, 8, 657–667. [Google Scholar] [CrossRef]
- Zhang, H.T.; Guo, W.Y.; Wang, W.T. The dimensionality reductions of environmental variables have a significant effect on the performance of species distribution models. Ecol. Evol. 2023, 13, e10747. [Google Scholar] [CrossRef]
- R Core Team. R: A Language and Environment for Statistical Computing (Version 4.0.5); R Foundation for Statistical Computing: Vienna, Austria, 2020. [Google Scholar]
- Nakagawa, S.; Cuthill, I.C. Effect size, confidence interval and statistical significance: A practical guide for biologists. Biol. Rev. 2007, 82, 591–605. [Google Scholar] [CrossRef]



| Taxonomy Diversity Index | PCA-Variable | Estimate | R2 | T-Value | p-Value |
|---|---|---|---|---|---|
| SES.MPD | G12 | 0.298 | 0.469 | 3.150 | 0.026 * |
| G13 | −0.351 | 0.522 | −2.148 | 0.023 * | |
| SR | G1 | 0.699 | 0.620 | 3.611 | 0.007 ** |
| G3 | −0.819 | 0.948 | −12.05 | 0.000 *** | |
| G23 | −0.623 | 0.931 | −10.38 | 0.000 *** | |
| G123 | −0.471 | 0.925 | −9.966 | 0.000 *** | |
| SES.PD | G1 | 0.728 | 0.671 | 4.044 | 0.004 ** |
| G3 | −0.815 | 0.939 | −11.11 | 0.000 *** | |
| G23 | −0.465 | 0.901 | −8.542 | 0.000 *** | |
| G123 | −0.414 | 0.896 | −8.286 | 0.000 *** | |
| Shannon–Wiener | G1 | 0.710 | 0.639 | 3.768 | 0.006 ** |
| G2 | 0.425 | 0.529 | 2.999 | 0.017 * | |
| G3 | −0.589 | 0.489 | −2.772 | 0.024 * | |
| G12 | 0.366 | 0.529 | 3.003 | 0.017 * | |
| G13 | −0.477 | 0.545 | −3.098 | 0.015 * | |
| Pielou | G1 | 0.710 | 0.546 | 3.545 | 0.004 ** |
| G2 | 0.425 | 0.413 | 3.019 | 0.015 * | |
| G3 | −0.589 | 0.351 | −2.561 | 0.021 * | |
| G12 | 0.326 | 0.303 | 2.855 | 0.022 * | |
| G13 | −0.517 | 0.438 | −2.974 | 0.011 * | |
| Simpson | G2 | 0.374 | 0.410 | 2.360 | 0.046 * |
| G12 | 0.327 | 0.423 | 2.423 | 0.042 * | |
| G13 | −0.325 | 0.432 | −2.469 | 0.039 * | |
| Margalef | G1 | 0.728 | 0.673 | 4.059 | 0.004 ** |
| G3 | −0.855 | 0.914 | −9.278 | 0.000 *** | |
| G23 | −0.905 | 0.889 | −8.006 | 0.000 *** | |
| G123 | −0.655 | 0.880 | −7.661 | 0.000 *** |
Disclaimer/Publisher’s Note: The statements, opinions and data contained in all publications are solely those of the individual author(s) and contributor(s) and not of MDPI and/or the editor(s). MDPI and/or the editor(s) disclaim responsibility for any injury to people or property resulting from any ideas, methods, instructions or products referred to in the content. |
© 2024 by the authors. Licensee MDPI, Basel, Switzerland. This article is an open access article distributed under the terms and conditions of the Creative Commons Attribution (CC BY) license (https://creativecommons.org/licenses/by/4.0/).
Share and Cite
Chen, B.; Xue, D.; Li, Z.; Jiang, L.; Tian, Y.; Zhu, J.; Jin, X.; Yang, J.; Huang, C.; Liu, J.; et al. Anthropogenic Disturbances Influenced the Island Effect on Both Taxonomic and Phylogenetic Diversity on Subtropical Islands, Pingtan, China. Plants 2024, 13, 1537. https://doi.org/10.3390/plants13111537
Chen B, Xue D, Li Z, Jiang L, Tian Y, Zhu J, Jin X, Yang J, Huang C, Liu J, et al. Anthropogenic Disturbances Influenced the Island Effect on Both Taxonomic and Phylogenetic Diversity on Subtropical Islands, Pingtan, China. Plants. 2024; 13(11):1537. https://doi.org/10.3390/plants13111537
Chicago/Turabian StyleChen, Bo, Denghong Xue, Zhihui Li, Lan Jiang, Yu Tian, Jing Zhu, Xing Jin, Jingjing Yang, Chaofa Huang, Jurong Liu, and et al. 2024. "Anthropogenic Disturbances Influenced the Island Effect on Both Taxonomic and Phylogenetic Diversity on Subtropical Islands, Pingtan, China" Plants 13, no. 11: 1537. https://doi.org/10.3390/plants13111537
APA StyleChen, B., Xue, D., Li, Z., Jiang, L., Tian, Y., Zhu, J., Jin, X., Yang, J., Huang, C., Liu, J., Liu, H., Liu, J., & He, Z. (2024). Anthropogenic Disturbances Influenced the Island Effect on Both Taxonomic and Phylogenetic Diversity on Subtropical Islands, Pingtan, China. Plants, 13(11), 1537. https://doi.org/10.3390/plants13111537

