Tea Polyphenols Inhibit the Occurrence of Enzymatic Browning in Fresh-Cut Potatoes by Regulating Phenylpropanoid and ROS Metabolism
Abstract
1. Introduction
2. Results and Discussion
2.1. Browning Index and Appearance
2.2. Weight Loss Rate and Firmness
2.3. Phenolic Content
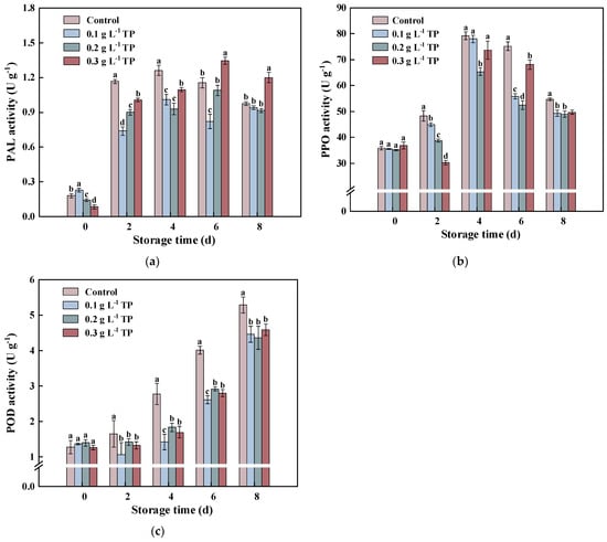
2.4. Key Enzyme Activities in Phenolic Synthesis and Oxidative Decomposition
2.5. Antioxidant Enzyme Activity
2.6. Antioxidants Content
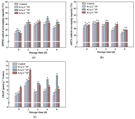
2.7. Antioxidant Capacity
3. Materials and Methods
3.1. Plant Material and Pretreatment
3.2. Colorimetric Values and Appearance
3.3. Weight Loss and Hardness Determination
3.4. Determination of Total Phenolic and Monomeric Phenolic Content
3.5. Determination of PAL Enzyme Activity
3.6. Determination of PPO and POD Enzyme Activity
3.7. Determination of Antioxidant Substance Content
3.8. Determination of Antioxidant Enzyme Activity
3.9. Determination of Antioxidant Capacity
3.10. Data Analysis
4. Conclusions
Author Contributions
Funding
Data Availability Statement
Conflicts of Interest
References
- Jian, H.; Wen, S.; Liu, R.; Zhang, W.; Li, Z.; Chen, W.; Zhou, Y.; Khassanov, V.; Ahmed, M.A.M.; Wang, J.; et al. Dynamic translational landscape revealed by genome-wide ribosome profiling under drought and heat stress in potato. Plants 2023, 12, 2232. [Google Scholar] [CrossRef] [PubMed]
- Dastmalchi, K.; Wang, I.; Stark, R.E. Potato wound-healing tissues: A rich source of natural antioxidant molecules with potential for food preservation. Food Chem. 2016, 210, 473–480. [Google Scholar] [CrossRef] [PubMed]
- Zhou, F.H.; Xu, D.Y.; Liu, C.H.; Chen, C.; Tian, M.X.; Jiang, A.L. Ascorbic acid treatment inhibits wound healing of fresh-cut potato strips by controlling phenylpropanoid metabolism. Postharvest Biol. Technol. 2021, 181, 111644. [Google Scholar] [CrossRef]
- Hu, W.Z.; Guan, Y.G.; Ji, Y.R.; Yang, X.Z. Effect of cutting styles on quality antioxidant activity membrane lipid peroxidation and browning in fresh-cut potatoes. Food Sci. 2021, 44, 101435. [Google Scholar] [CrossRef]
- Wang, L.; Wang, W.; Wang, Q.; Liu, W.; Tang, T.; Wang, Z.; Zhang, J. Transcriptome-widen 6-methyladenosine (m 6 a) methylation profiling of fresh-cut potato browning inhibition by nitrogen. Postharvest Biol. Technol. 2022, 187, 111870. [Google Scholar] [CrossRef]
- Blokhina, O.; Virolainen, E.; Fagerstedt, K.V. Antioxidants oxidative damage and oxygen deprivation stress: A review. Ann. Bot. 2003, 91, 179–194. [Google Scholar] [CrossRef] [PubMed]
- Dai, Y.; Hong, X.; Zhao, X.; Zheng, Y. The effect of sodium nitroprusside treatment on storage ability of fresh-cut potato. Foods 2023, 12, 221. [Google Scholar] [CrossRef]
- Liu, P.; Xu, N.; Liu, R.; Liu, J.; Peng, Y.; Wang, Q. Exogenous proline treatment inhibiting enzymatic browning of fresh-cut potatoes during cold storage. Postharvest Biol. Technol. 2022, 184, 111754. [Google Scholar] [CrossRef]
- Ma, L.; Zhang, M.; Bhandari, B.; Gao, Z.X. Recent developments in novel shelf life extension technologies of fresh-cut fruits and vegetables. Trends Food Sci. Technol. 2017, 64, 23–38. [Google Scholar] [CrossRef]
- Tinello, F.; Lante, A. Recent advances in controlling polyphenol oxidase activity of fruit and vegetable products. Innov. Food Sci. Emerg. 2018, 50, 73–83. [Google Scholar] [CrossRef]
- Zhang, Z.; Peng, Y.; Meng, W.; Pei, L.; Zhang, X. Browning inhibition of seabuckthorn leaf extract on fresh-cut potato sticks during cold storage. Food Chem. 2022, 389, 133076. [Google Scholar] [CrossRef] [PubMed]
- Peng, Z.; Li, Y.; Tan, L. Anti-tyrosinase, antioxidant and antibacterial activities of gallic acid-benzylidenehydrazine hybrids and their application in preservation of fresh-cut apples and shrimps. Food Chem. 2022, 378, 132127. [Google Scholar] [CrossRef] [PubMed]
- Roldan, E.; Sanchez-Moreno, C.; De Ancos, B.; Cano, M.P. Characterisation of onion (Allium cepa L.) by-products as food ingredients with antioxidant and antibrowning properties. Food Chem. 2008, 108, 907–916. [Google Scholar] [CrossRef] [PubMed]
- Liu, X.; Yang, Q.; Lu, Y.; Li, Y.; Li, T.; Zhou, B. Effect of purslane (Portulaca oleracea L.) extract on anti-browning of fresh-cut potato slices during storage. Food Chem. 2019, 283, 445–453. [Google Scholar] [CrossRef] [PubMed]
- Yang, C.S.; Lambert, J.D.; Sang, S. Antioxidative and anti-carcinogenic activities of tea polyphenols. Arch. Toxicol. 2009, 83, 11–21. [Google Scholar] [CrossRef] [PubMed]
- Yin, Z.; Zheng, T.; Ho, C.T.; Huang, Q.; Wu, Q.; Zhang, M. Improving the stability and bioavailability of tea polyphenols by encapsulations: A review. Food Sci. Hum. Well. 2022, 11, 537–556. [Google Scholar] [CrossRef]
- Guo, Y.; Guo, Y.; Xie, Y. Regeneration of tert-butylhydroquinone by tea polyphenols. Food Res. Int. 2017, 95, 1–8. [Google Scholar] [CrossRef] [PubMed]
- Ming, Y.; Chen, L.; Khan, A.; Wang, H.; Wang, C. Effects of tea polyphenols on physicochemical and antioxidative properties of whey protein coating. Food Sci. Biotechnol. 2020, 29, 1–9. [Google Scholar] [CrossRef]
- Mohsen, R.; Elham, F.; Hamidreza, A.; Sedigheh, A. Effect of gelatin-based edible coatings incorporated with Aloe vera and black and green tea extracts on the shelf life of fresh-cut oranges. J. Food Qual. 2017, 2017, 9764650. [Google Scholar] [CrossRef]
- Narumol, M.; Puang, j.; Kanockwan, P.; Saifon, P.; Mudtorlep, N. Combined antibacterial activity of green tea extract with atmospheric radio-frequency plasma against pathogens on fresh-cut dragon fruit. Food Control 2015, 50, 291–296. [Google Scholar] [CrossRef]
- Zhang, X.; Peng, Y.; Wang, Q. Study on the browning and structure properties of fresh-cut Chinese water chestnut (Eleocharis tuberosa). Food Sci. Technol. 2019, 39, 396–402. [Google Scholar] [CrossRef]
- Sommano, S.R.; Chanasut, U.; Kumpoun, W. 3-Enzymatic browning and its amelioration in fresh-cut tropical fruits. Fresh-Cut Fruits Veg. 2020, 24, 51–76. [Google Scholar] [CrossRef]
- Klimczak, I.; Gliszczynska, S.A. Green tea extract as an anti-browning agent for cloudy apple juice. J. Sci. Food Agric. 2017, 97, 1420–1426. [Google Scholar] [CrossRef] [PubMed]
- Jirasuteeruk, C.; Theerakulkait, C. Ultrasound-assisted extraction of phenolic compounds from mango (Mangifera indica cv. Chok Anan) peel and its inhibitory effect on enzymatic browning of potato puree. Food Technol. Biotechnol. 2019, 57, 350–357. [Google Scholar] [CrossRef] [PubMed]
- Chang, M.S.; Kim, G.H. Effects of a combined treatment of hot water with green tea extract and nacl on the postharvest quality of fresh-cut burdocks. Hortic. Sci. Technol. 2015, 33, 364–374. [Google Scholar] [CrossRef]
- Wu, S. Extending shelf-life of fresh-cut potato with cactus Opuntia dillenii polysaccharide-based edible coatings. Int. J. Biol. Macromol. 2019, 130, 640–644. [Google Scholar] [CrossRef]
- Lulai, E.C.; Sabba, R.P.; Nolt, P.; Gudmestad, N.C.; Secor, G.A. “Periderm disorder syndrome”: A new name for the syndrome formerly referred to as pink eye. Am. J. Potato Res. 2018, 95, 435–440. [Google Scholar] [CrossRef]
- Zhou, F.; Jiang, A.; Feng, K.; Gu, S.; Xu, D.; Hu, W. Effect of methyl jasmonate on wound healing and resistance in fresh-cut potato cubes. Postharvest Biol. Technol. 2019, 157, 110958. [Google Scholar] [CrossRef]
- Rangaraj, V.M.; Rambabu, K.; Banat, F.; Mittal, V. Effect of date fruit waste extract as an antioxidant additive on the properties of active gelatin films. Food Chem. 2021, 355, 129631. [Google Scholar] [CrossRef]
- Vu, H.T.; Song, F.V.; Tian, K.V.; Su, H.; Chass, G.A. Systematic characterisation of the structure and radical scavenging potency of Pu’Er tea polyphenol theaflavin. Org. Biomol. Chem. 2019, 17, 9942–9950. [Google Scholar] [CrossRef]
- Guan, Y.; Hu, W.; Xu, Y.; Sa, R.G.W.; Ji, Y.; Yang, X.; Feng, K. Proteomic analysis validates previous findings on wounding-responsive plant hormone signaling and primary metabolism contributing to the biosynthesis of secondary metabolites based on metabolomic analysis in harvested broccoli (Brassica oleracea L. var. italica). Food Res. Int. 2021, 145, 110388. [Google Scholar] [CrossRef] [PubMed]
- Reyes, L.F.; Villarreal, J.E.; Cisneros-Zevallos, L. The increase in antioxidant capacity after wounding depends on the type of fruit or vegetable tissue. Food Chem. 2007, 101, 1254–1262. [Google Scholar] [CrossRef]
- Chen, C.; Hu, W.; Zhang, R. Levels of phenolic compounds, antioxidant capacity, and microbial counts of fresh-cut onions after treatment with a combination of nisin and citric acid. Hortic. Environ. Biotechnol. 2016, 57, 266–273. [Google Scholar] [CrossRef]
- Valerga, L.; González, R.E.; Pérez, M.B.; Concellón, A.; Cavagnaro, P.F. Differential and Cultivar-Dependent Antioxidant Response of Whole and Fresh-Cut Carrots of Different Root Colors to Postharvest UV-C Radiation. Plants 2023, 12, 1297. [Google Scholar] [CrossRef] [PubMed]
- Hu, W.; Guan, Y.; Feng, K. Biosynthesis of phenolic compounds and antioxidant activity in fruits and vegetables. Front. Microbiol. 2022, 13, 906069. [Google Scholar] [CrossRef] [PubMed]
- Guan, Y.; Hu, W.; Jiang, A.; Xu, Y.; Zhao, M.; Yu, J.; Ji, Y.; Yang, X.; Feng, K. The effect of cutting style on the biosynthesis of phenolics and cellular antioxidant capacity in wounded broccoli. Food Res. Int. 2020, 137, 109565. [Google Scholar] [CrossRef] [PubMed]
- Guan, Y.; Hu, W.; Jiang, A.; Xu, Y.; Feng, K.; Zhao, M.; Yu, J.; Ji, Y.; Hou, M.; Yang, X. Effect of methyl jasmonate on phenolic accumulation in wounded broccoli. Molecules 2019, 24, 3537. [Google Scholar] [CrossRef]
- Marszałek, K.; Wozniak, L.; Barba, F.J.; Skąpska, S.; Lorenzo, J.M.; Zambon, A.; Spilimbergo, S. Enzymatic, physicochemical, nutritional and phytochemical profile changes of apple (Golden delicious L.) juice under supercritical carbon dioxide and long-term cold storage. Food Chem. 2018, 268, 279–286. [Google Scholar] [CrossRef]
- Yu, C.; Sun, J.; Xiang, X.; Yang, B.; Jiang, Y. Variations in contents of -epicatechin and activities of phenylalanine ammonialyase and polyphenol oxidase of longan fruit during development. Sci. Hortic. 2010, 125, 230–232. [Google Scholar] [CrossRef]
- Sun, J.; Jiang, Y.; Wei, X.; Shi, J.; You, Y.; Liu, H.; Kakuda, Y.; Zhao, M. Identification of (-)-epicatechin as the direct substrate for polyphenol oxidase isolated from litchi pericarp. Food Res. Int. 2006, 39, 864–870. [Google Scholar] [CrossRef]
- Xu, Y.; Wang, D.; Zhao, W.; Zheng, Y.; Wang, Y.; Wang, P.; Zhao, X. Low frequency ultrasound treatment enhances antibrowning effect of ascorbic acid in fresh-cut potato slices. Food Chem. 2022, 380, 132190. [Google Scholar] [CrossRef] [PubMed]
- Serrano-Martinez, A.; Fortea, M.I.; Delamor, F.M. Kinetic characterisation and thermal inactivation study of partially purified red pepper (Capsicum annuum L.) peroxidase. Food Chem. 2008, 107, 193–199. [Google Scholar] [CrossRef]
- Venkatachalam, K.; Meenune, M. Changes in physiochemical quality and browning related enzyme activity of longkong fruit during four different weeks of on-tree maturation. Food Chem. 2012, 131, 1437–1442. [Google Scholar] [CrossRef]
- Guan, Y.; Hu, W.; Jiang, A.; Xu, Y.; Yu, J.; Zhao, M.; Ji, Y.; Feng, K.; Sa, R.G.W.; Yang, X. Influence of cut type on quality, antioxidant substances and antioxidant activity of fresh-cut broccoli. Int. J. Food Sci. Technol. 2020, 55, 3019–3030. [Google Scholar] [CrossRef]
- Cisneros-Zevallos, L.; Jacobo-Velázquez, D.A. Controlled abiotic stresses revisited: From homeostasis through hormesis to extreme stresses and the impact on nutraceuticals and quality during pre- and postharvest applications in horticultural crops. J. Agric. Food Chem. 2020, 68, 11877–11879. [Google Scholar] [CrossRef] [PubMed]
- Mouna, G.; Ikram, Z.; Malek, B.; Nouha, B.; Faiçal, B. Catalase Gene Family in Durum Wheat: Genome-Wide Analysis and Expression Profiling in Response to Multiple Abiotic Stress Conditions. Plants 2023, 12, 2720. [Google Scholar] [CrossRef]
- Mittler, R.; Zandalinas, S.I.; Fichman, Y.; Breusegem, F.V. Reactive oxygen species signaling in plant stress responses. Nat. Rev. Mol. Cell Bio. 2022, 22, 663–679. [Google Scholar] [CrossRef]
- Guan, Y.; Hu, W.; Wang, L.; Yang, B. Different Cutting Methods Affect the Quality of Fresh-Cut Cucumbers by Regulating ROS Metabolism. Horticulturae 2023, 9, 514. [Google Scholar] [CrossRef]
- Li, X.; Long, Q.; Gao, F.; Han, C.; Jin, P.; Zheng, Y. Effect of cutting styles on quality and antioxidant activity in fresh-cut pitaya fruit. Postharvest Biol. Technol. 2017, 124, 1–7. [Google Scholar] [CrossRef]
- Zhu, J. Abiotic stress signaling and responses in plants. Cell 2016, 167, 313–324. [Google Scholar] [CrossRef]
- Li, Z.; Li, B.; Li, M.; Fu, X.; Zhao, X.; Min, D. Hot air pretreatment alleviates browning of fresh-cut pitaya fruit by regulating phenylpropanoid pathway and ascorbate-glutathione cycle. Postharvest Biol. Technol. 2022, 190, 111954. [Google Scholar] [CrossRef]
- Nicolas, J.J.; Richard-Forget, F.C.; Goupy, P.M. Enzymatic browning reactions in apple and apple products. Crit. Rev. Food Sci. Nutr. 1994, 34, 109–157. [Google Scholar] [CrossRef] [PubMed]
- Odriozola-Serrano, I.; Soliva-Fortuny, R.; Martin-Belloso, O. Changes in bioactive composition of fresh-cut strawberries stored under superatmospheric oxygen, low-oxygen or passive atmospheres. J. Food Compos. Anal. 2010, 23, 37–43. [Google Scholar] [CrossRef]
- Plaza, L.; Crespo, I.; Depascual-Teresa, S. Impact of minimal processing on orange bioactive compounds during refrigerated storage. Food Chem. 2011, 124, 646–651. [Google Scholar] [CrossRef]
- Rangaraj, V.M.; Devaraju, S.; Rambabu, K.; Banat, F.; Mittal, V. Silver-sepiolite (Ag-Sep) hybrid reinforced active gelatin/date waste extract (DSWE) blend composite films for food packaging application. Food Chem. 2022, 369, 130983. [Google Scholar] [CrossRef]
- Wolfe, K.L.; Liu, R.H. Cellular antioxidant activity (CAA) assay for assessing antioxidants, foods, and dietary supplements. J. Agric. Food Chem. 2007, 55, 8896–8907. [Google Scholar] [CrossRef]
- Ku, Y.S.; Sintaha, M.; Cheung, M.Y.; Lam, H.M. Plant hormone signaling crosstalks between biotic and abiotic stress responses. Int. J. Mol. Sci. 2018, 19, 3206. [Google Scholar] [CrossRef]
- Coklar, H.; Akbulut, M.; Kilinc, S.; Yildirim, A.; Alhassan, I. Effect of freeze, oven and microwave pretreated oven drying on color, browning index, phenolic compounds and antioxidant activity of hawthorn (Crataegus orientalis) fruit. Not. Bot. Horti Agrobot. 2018, 46, 449–456. [Google Scholar] [CrossRef]
- Hu, W.; Jiang, A.; Tian, M.; Liu, C.; Wang, Y. Effect of ethanol treatment on physiological and quality attributes of fresh-cut eggplant. J. Sci. Food Agric. 2010, 90, 1323–1326. [Google Scholar] [CrossRef]
- Liu, C.; Zheng, H.; Sheng, K.; Liu, W.; Zheng, L. Effects of postharvest UV-C irradiation on phenolic acids, flavonoids, and key phenylpropanoid pathway genes in tomato fruit. Sci. Hortic. 2018, 241, 107–114. [Google Scholar] [CrossRef]
- Jiang, A.; Tian, S.; Xu, Y. Effects of controlled atmospheres with high-O2 or high-CO2 concentrations on postharvest physiology and storability of “Napoleon” sweet cherry. Acta Bot. Sin. 2002, 44, 925–930. [Google Scholar]
- Singh, M.; Singh, V.P.; Prasad, S.M. Nitrogen alleviates salinity toxicity in Solanum lycopersicum seedlings by regulating ROS homeostasis. Plant Physiol. Biochem. 2019, 141, 466–476. [Google Scholar] [CrossRef] [PubMed]
- Gao, H.; Chai, H.K.; Cheng, N.; Cao, W. Effects of 24-epibrassinolide on enzymatic browning and antioxidant activity of fresh-cut lotus root slices. Food Chem. 2017, 217, 45–51. [Google Scholar] [CrossRef] [PubMed]
- Li, Z.; Min, D.; Fu, X.; Zhao, X.; Wang, J.; Zhang, X.; Li, F.; Li, X. The roles of SlMYC2 in regulating ascorbate-glutathione cycle mediated by methyljasmonate in postharvest tomato fruits under cold stress. Sci. Hortic. 2021, 288, 110406. [Google Scholar] [CrossRef]
- Guan, Y.; Ji, Y.; Yang, X.; Pang, L.; Cheng, J.; Lu, X.; Zheng, J.; Yin, L.; Hu, W. Antioxidant activity and microbial safety of fresh-cut red cabbage stored in different packaging films. LWT-Food Sci. Technol. 2023, 17, 114478. [Google Scholar] [CrossRef]







| Storage (d) | Treatment | SOD Activity (U g−1) | CAT Activity (U g−1) | APX Activity (U g−1) | GR Activity (U g−1) |
|---|---|---|---|---|---|
| 0 | Control | 9.05 ± 0.01 a | 10.72 ± 0.31 c | 13.20 ± 0.62 c | 13.40 ± 0.54 b |
| 0.1 g L−1 | 8.19 ± 0.00 d | 10.96 ± 0.26 c | 14.48 ± 0.53 b | 13.40 ± 0.54 b | |
| 0.2 g L−1 | 8.76 ± 0.02 c | 12.08 ± 0.63 b | 16.27 ± 0.50 a | 13.94 ± 1.07 b | |
| 0.3 g L−1 | 9.47 ± 0.02 a | 13.10 ± 0.08 a | 14.58 ± 0.78 b | 16.08 ± 1.52 a | |
| 2 | Control | 9.24 ± 0.02 d | 6.96 ± 0.02 b | 11.76 ± 0.44 c | 14.65 ± 2.02 d |
| 0.1 g L−1 | 19.26 ± 0.02 b | 7.99 ± 0.33 a | 13.29 ± 0.36 a | 19.65 ± 1.82 c | |
| 0.2 g L−1 | 28.01 ± 0.08 a | 7.83 ± 0.29 a | 12.34 ± 0.18 b | 24.30 ± 2.20 a | |
| 0.3 g L−1 | 16.87 ± 0.03 c | 8.00 ± 0.40 a | 12.79 ± 0.46 ab | 23.23 ± 0.51 b | |
| 4 | Control | 5.72 ± 0.01 d | 5.08 ± 0.22 c | 13.83 ± 0.45 b | 24.12 ± 1.61 b |
| 0.1 g L−1 | 11.35 ± 0.05 b | 6.16 ± 0.34 b | 13.25 ± 0.28 b | 33.77 ± 1.61 a | |
| 0.2 g L−1 | 15.73 ± 0.01 a | 7.56 ± 0.10 a | 16.47 ± 0.38 a | 29.66 ± 4.49 ab | |
| 0.3 g L−1 | 9.16 ± 0.05 c | 7.62 ± 0.18 a | 11.42 ± 0.35 c | 27.34 ± 3.75 b | |
| 6 | Control | 7.39 ± 0.02 c | 4.13 ± 0.05 c | 12.98 ± 0.38 c | 30.55 ± 0.54 c |
| 0.1 g L−1 | 10.60 ± 0.02 b | 4.74 ± 0.32 b | 17.66 ± 0.39 a | 40.74 ± 0.88 a | |
| 0.2 g L−1 | 10.99 ± 0.20 a | 6.36 ± 0.27 a | 17.64 ± 0.41 a | 37.16 ± 3.31 ab | |
| 0.3 g L−1 | 6.73 ± 0.01 d | 5.17 ± 0.28 b | 15.48 ± 0.38 b | 34.66 ± 1.01 b | |
| 8 | Control | 4.60 ± 0.02 d | 2.36 ± 0.17 c | 12.68 ± 0.10 d | 35.02 ± 1.01 d |
| 0.1 g L−1 | 6.25 ± 0.01 c | 3.61 ± 0.20 b | 13.08 ± 0.35 c | 49.67 ± 1.34 c | |
| 0.2 g L−1 | 10.00 ± 0.03 a | 4.59 ± 0.33 a | 17.59 ± 0.33 a | 61.46 ± 1.01 a | |
| 0.3 g L−1 | 6.75 ± 0.17 b | 3.96 ± 0.27 b | 15.32 ± 0.49 b | 55.74 ± 1.75 b |
Disclaimer/Publisher’s Note: The statements, opinions and data contained in all publications are solely those of the individual author(s) and contributor(s) and not of MDPI and/or the editor(s). MDPI and/or the editor(s) disclaim responsibility for any injury to people or property resulting from any ideas, methods, instructions or products referred to in the content. |
© 2024 by the authors. Licensee MDPI, Basel, Switzerland. This article is an open access article distributed under the terms and conditions of the Creative Commons Attribution (CC BY) license (https://creativecommons.org/licenses/by/4.0/).
Share and Cite
Guan, Y.; Lu, S.; Sun, Y.; Zheng, X.; Wang, R.; Lu, X.; Pang, L.; Cheng, J.; Wang, L. Tea Polyphenols Inhibit the Occurrence of Enzymatic Browning in Fresh-Cut Potatoes by Regulating Phenylpropanoid and ROS Metabolism. Plants 2024, 13, 125. https://doi.org/10.3390/plants13010125
Guan Y, Lu S, Sun Y, Zheng X, Wang R, Lu X, Pang L, Cheng J, Wang L. Tea Polyphenols Inhibit the Occurrence of Enzymatic Browning in Fresh-Cut Potatoes by Regulating Phenylpropanoid and ROS Metabolism. Plants. 2024; 13(1):125. https://doi.org/10.3390/plants13010125
Chicago/Turabian StyleGuan, Yuge, Sainan Lu, Yan Sun, Xinrui Zheng, Run Wang, Xinghua Lu, Linjiang Pang, Jiyu Cheng, and Lei Wang. 2024. "Tea Polyphenols Inhibit the Occurrence of Enzymatic Browning in Fresh-Cut Potatoes by Regulating Phenylpropanoid and ROS Metabolism" Plants 13, no. 1: 125. https://doi.org/10.3390/plants13010125
APA StyleGuan, Y., Lu, S., Sun, Y., Zheng, X., Wang, R., Lu, X., Pang, L., Cheng, J., & Wang, L. (2024). Tea Polyphenols Inhibit the Occurrence of Enzymatic Browning in Fresh-Cut Potatoes by Regulating Phenylpropanoid and ROS Metabolism. Plants, 13(1), 125. https://doi.org/10.3390/plants13010125

