Exogenous Proline Enhances Systemic Defense against Salt Stress in Celery by Regulating Photosystem, Phenolic Compounds, and Antioxidant System
Abstract
1. Introduction
2. Results
2.1. Changes in Growth and Photosynthetic Pigment Content under Salt Stress
2.2. Leaf Stomata and Gas Exchange Parameters
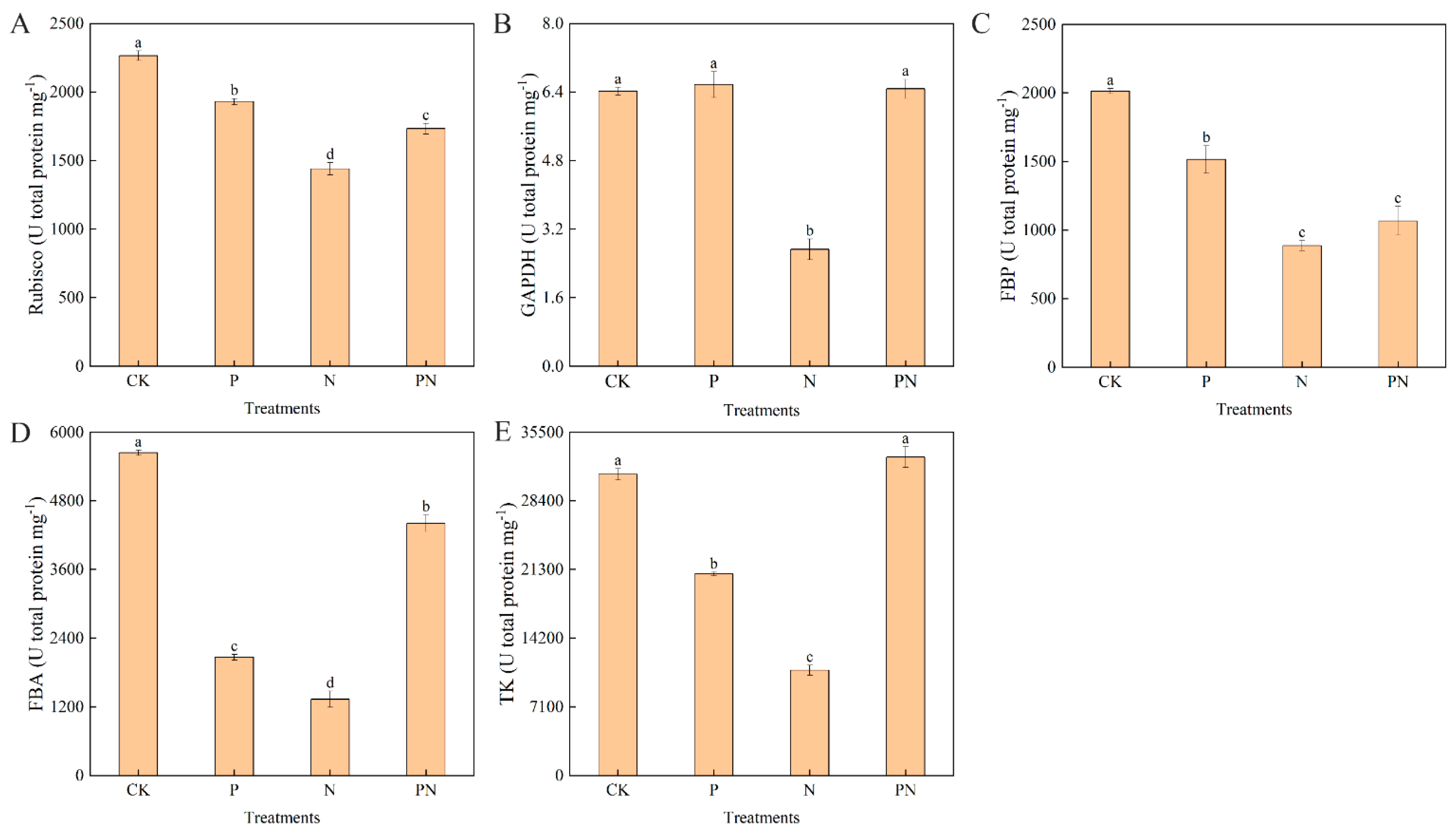
2.3. Calvin Cycle Enzyme Activity
2.4. Chlorophyll Fluorescence Parameters
2.5. Analysis of Cell Membrane Damage and Osmotic Substances under Salt Stress
2.6. Effect of Exogenous Proline on Phenolic Compounds and Total Phenolic Content in Celery
2.7. ROS Content
2.8. Effect of Exogenous Proline on the Antioxidant Enzyme Activity of Celery under Salt Stress
2.9. Effect of Exogenous Proline on the Content of Non-Enzymatic Antioxidant Substances in Celery under Salt Stress
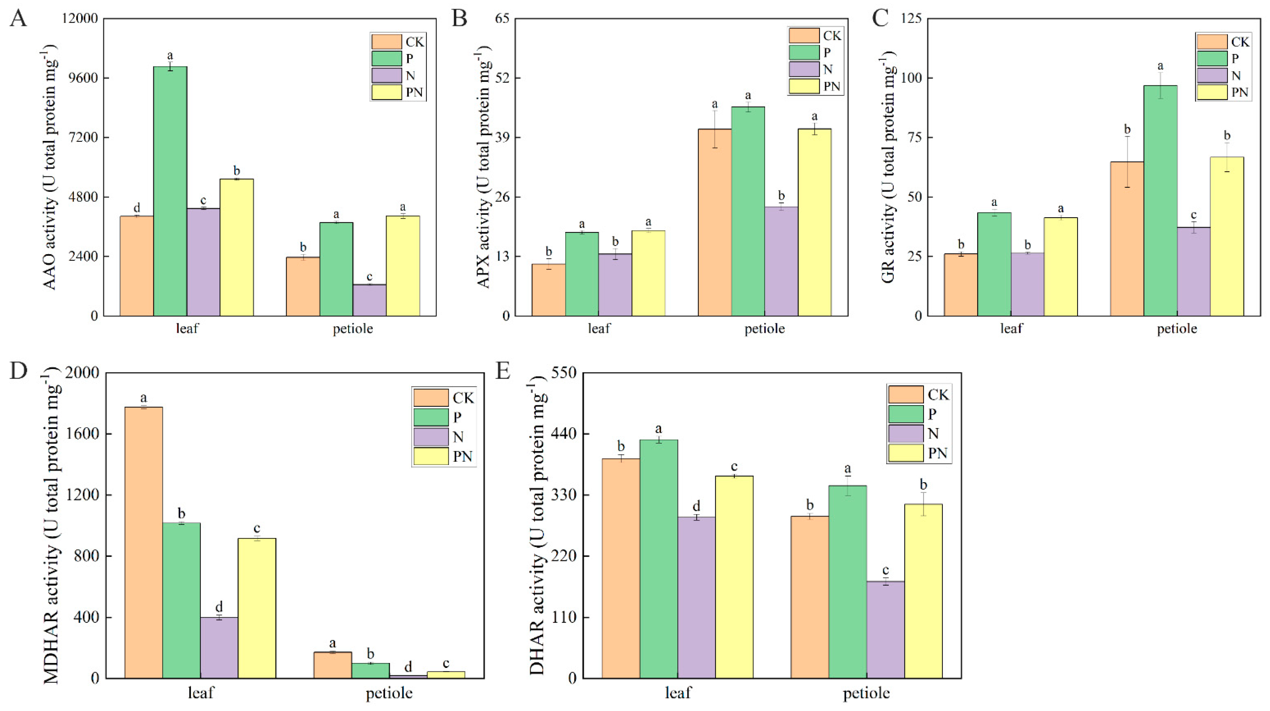
2.10. Effect of Exogenous Proline on the Activity of Ascorbic Acid–Glutathione Cycle Related Enzymes in Celery under Salt Stress
2.11. Pearson’s Correlation Analysis of Phenolic Compounds and Ascorbic Acid–Glutathione Cycle
3. Discussion
4. Materials and Methods
4.1. Plant Materials and Growth Conditions
4.2. Treatments and Experimental Design
4.3. Morphological Index Determination
4.4. Leaf stomatal, Photosynthetic Gas Exchange Parameter and Calvin Cycle Enzyme Activity
4.5. Chlorophyll Content and Chlorophyll Fluorescence Parameters
4.6. Analysis of Biological Membrane Damage and Osmotic Substances
4.7. Analysis of Phenolic Compounds
4.8. Histochemical Staining and Quantitative Determination of O2− and H2O2
4.9. Antioxidant Enzyme Activity Assays
4.10. Measurement of Non-Enzymatic Antioxidant Contents
4.11. Ascorbic Acid–Glutathione Cycle-Related Enzyme Activity
4.12. Statistical Analysis
5. Conclusions
Supplementary Materials
Author Contributions
Funding
Data Availability Statement
Conflicts of Interest
References
- Farooq, M.; Gogoi, N.; Hussain, M.; Barthakur, S.; Paul, S.; Bharadwaj, N.; Migdadi, H.M.; Alghamdi, S.S.; Siddique, K.H.M. Effects, tolerance mechanisms and management of salt stress in grain legumes. Plant Physiol. Biochem. 2017, 118, 199–217. [Google Scholar] [CrossRef] [PubMed]
- Karim, S.; Hussain, E.; Khan, J.A.; Hameed, A.; Ougahi, J.H.; Iqbal, F. Spatiotemporal Investigation of Soil Salinity Using Geospatial Techniques: A Case Study of Tehsil Toba Tek Singh. Commun. Soil Sci. Plant Anal. 2022, 53, 1960–1978. [Google Scholar] [CrossRef]
- Hopmans, J.W.; Qureshi, A.S.; Kisekka, I.; Munns, R.; Grattan, S.; Rengasamy, P.; Ben-Gal, A.; Assouline, S.; Javaux, M.; Minhas, P.; et al. Critical knowledge gaps and research priorities in global soil salinity. Adv. Agron. 2021, 169, 1–191. [Google Scholar] [CrossRef]
- Guo, H.; Hu, Z.; Zhang, H.; Min, W.; Hou, Z. Comparative Effects of Salt and Alkali Stress on Antioxidant System in Cotton (Gossypium Hirsutum L.) Leaves. Open Chem. 2019, 17, 1352–1360. [Google Scholar] [CrossRef]
- Wang, L.H.; Li, G.L.; Wei, S.; Li, L.J.; Zuo, S.; Liu, X.; Gu, W.; Li, J. Effects of exogenous glucose and sucrose on photosynthesis in triticale seedlings under salt stress. Photosynthetica 2019, 57, 286–294. [Google Scholar] [CrossRef]
- Meloni, D.A.; Oliva, M.A.; Martinez, C.A.; Cambraia, J. Photosynthesis and activity of superoxide dismutase, peroxidase and glutathione reductase in cotton under salt stress. Environ. Exp. Bot. 2003, 49, 69–76. [Google Scholar] [CrossRef]
- Giordano, M.; Petropoulos, S.A.; Rouphael, Y. Response and defence mechanisms of vegetable crops against drought, heat and salinity stress. Agriculture 2021, 11, 463. [Google Scholar] [CrossRef]
- Raja, V.; Wani, U.M.; Wani, Z.A.; Jan, N.; Kottakota, C.; Reddy, M.K.; Kaul, T.; John, R. Pyramiding ascorbate-glutathione pathway in Lycopersicum esculentum confers tolerance to drought and salinity stress. Plant Cell Rep. 2021, 41, 619–637. [Google Scholar] [CrossRef]
- Quamruzzaman, M.; Manik, S.; Shabala, S.; Zhou, M. Improving Performance of Salt-Grown Crops by Exogenous Application of Plant Growth Regulators. Biomolecules 2021, 11, 788. [Google Scholar] [CrossRef]
- Suekawa, M.; Fujikawa, Y.; Esaka, M. Exogenous proline has favorable effects on growth and browning suppression in rice but not in tobacco. Plant Physiol. Biochem. 2019, 142, 463. [Google Scholar] [CrossRef]
- He, H.; He, L.F. Regulation of gaseous signaling molecules on proline metabolism in plants. Plant Cell Rep. 2017, 37, 387–392. [Google Scholar] [CrossRef] [PubMed]
- De la Torre-González, A.; Montesinos-Pereira, D.; Blasco, B.; Ruiz, J. Influence of the proline metabolism and glycine betaine on tolerance to salt stress in tomato (Solanum lycopersicum L.) commercial genotypes. J. Plant Physiol. 2018, 231, 329–336. [Google Scholar] [CrossRef] [PubMed]
- Demiral, T.; Turkan, I. Exogenous glycinebetaine affects growth and proline accumulation and retards senescence in two rice cultivars under NaCl stress. Environ. Exp. Bot. 2006, 56, 72–79. [Google Scholar] [CrossRef]
- Singh, T.N.; Aspinall, D.; Paleg, L.G. Proline Accumulation and Varietal Adaptability to Drought in Barley: A Potential Metabolic Measure of Drought Resistance. Nat. New Biol. 1972, 236, 188–190. [Google Scholar] [CrossRef] [PubMed]
- Ghosh, U.K.; Islam, M.N.; Siddiqui, M.N.; Cao, X.; Khan, M.A.R. Proline, a multifaceted signalling molecule in plant responses to abiotic stress: Understanding the physiological mechanisms. Plant Biol. 2022, 24, 227–239. [Google Scholar] [CrossRef] [PubMed]
- Benitez, L.C.; Vighi, I.L.; Auler, P.A.; Amaral, M.N.D.; Moraes, G.P.; Rodrigues, G.D.S.; Maia, L.; Júnior, A.M.D.M.; Braga, E.J. Correlation of proline content and gene expression involved in the metabolism of this amino acid under abiotic stress. Acta Physiol. Plant. 2016, 38, 267. [Google Scholar] [CrossRef]
- Wani, A.; Ahmad, A.; Hayat, S.; Tahir, I. Is foliar spray of proline sufficient for mitigation of salt stress in Brassica juncea cultivars? Environ. Sci. Pollut. Res. 2016, 23, 13413–13423. [Google Scholar] [CrossRef]
- Messedi, D.; Farhani, F.; Hamed, K.B.; Trabelsi, N.; Ksouri, R.; Chedly Abdelly, C.; Athar, H.U.R. Highlighting the mechanisms by which proline can confer tolerance to salt stress in Cakile maritima. Pak. J. Bot. 2016, 48, 417–427. [Google Scholar]
- Shahid, M.A.; Balal, R.M.; Pervez, M.A.; Abbas, T.; Aqeel, M.A.; Javaid, M.M.; Garcia-Sanchez, F. Exogenous proline and proline-enriched Lolium perenne leaf extract protects against phytotoxic effects of nickel and salinity in Pisum sativum by altering polyamine metabolism in leaves. Turk. J. Bot. 2014, 38, 914–926. [Google Scholar] [CrossRef]
- Nakhaie, A.; Habibi, G.; Vaziri, A. Exogenous proline enhances salt tolerance in acclimated Aloe vera by modulating photosystem II efficiency and antioxidant defense. S. Afr. J. Bot. 2022, 147, 1171–1180. [Google Scholar] [CrossRef]
- Borgo, L.; Rabelo, F.H.S.; Budzinski, I.G.F.; Cataldi, T.R.; Ramires, T.G.; Schaker, P.D.C.; Ribas, A.F.; Labate, C.A.; Lavres, J.; Cuypers, A.; et al. Proline Exogenously Supplied or Endogenously Overproduced Induces Different Nutritional, Metabolic, and Antioxidative Responses in Transgenic Tobacco Exposed to Cadmium. J. Plant Growth Regul. 2022, 41, 2846–2868. [Google Scholar] [CrossRef]
- Hossain, M.A.; Fujita, M. Evidence for a role of exogenous glycinebetaine and proline in antioxidant defense and methylglyoxal detoxification systems in mung bean seedlings under salt stress. Physiol. Mol. Biol. Plants 2010, 16, 19–29. [Google Scholar] [CrossRef] [PubMed]
- Nounjan, N.; Nghia, P.T.; Theerakulpisut, P. Exogenous proline and trehalose promote recovery of rice seedlings from salt-stress and differentially modulate antioxidant enzymes and expression of related genes. J. Plant Physiol. 2012, 169, 596–604. [Google Scholar] [CrossRef] [PubMed]
- Naliwajski, M.; Sklodowska, M. The Relationship between the Antioxidant System and Proline Metabolism in the Leaves of Cucumber Plants Acclimated to Salt Stress. Cells 2021, 10, 609. [Google Scholar] [CrossRef]
- Ma, J.Z.; Zhang, M.; Liu, Z.G.; Wang, M.; Sun, Y.; Zheng, W.K.; Lu, H. Copper-based-zinc-boron foliar fertilizer improved yield, quality, physiological characteristics, and microelement concentration of celery (Apium graveolens L.). Environ. Pollut. Bioavailab. 2019, 31, 261–271. [Google Scholar] [CrossRef]
- Hedayati, N.; Bemani, N.M.; Mohammadinejad, A.; Mohajeri, S.A. Beneficial effects of celery (Apium graveolens) on metabolic syndrome: A review of the existing evidences. Phytother. Res. 2019, 33, 3040–3053. [Google Scholar] [CrossRef]
- Kusvuran, S.; Kiran, S.; Altuntas, O. Influence of Salt Stress on Different Pepper Genotypes: Ion Homeostasis, Antioxidant Defense, and Secondary Metabolites. Glob. J. Bot. Sci. 2021, 9, 14–20. [Google Scholar] [CrossRef]
- Napieraj, N.; Reda, M.; Janicka, M. The role of NO in plant response to salt stress: Interactions with polyamines. Funct. Plant Biol. 2020, 47, 865–879. [Google Scholar] [CrossRef]
- Wang, P.; Grimm, B. Connecting Chlorophyll Metabolism with Accumulation of the Photosynthetic Apparatus. Trends Plant Sci. 2021, 26, 484–495. [Google Scholar] [CrossRef]
- Yin, F.; Zhang, S.; Cao, B.; Xu, K. Low pH alleviated salinity stress of ginger seedlings by enhancing photosynthesis, fluorescence, and mineral element contents. PeerJ 2021, 9, e10832. [Google Scholar] [CrossRef]
- Flexas, J.; Carriqui, M. Photosynthesis and photosynthetic efficiencies along the terrestrial plant’s phylogeny: Lessons for improving crop photosynthesis. Plant J. Cell Mol. Biol. 2019, 101, 964–978. [Google Scholar] [CrossRef] [PubMed]
- Chen, X.; Zhou, Y.; Cong, Y.; Zhu, P.; Xing, J.; Cui, J.; Xu, W.; Shi, Q.; Diao, M.; Liu, H.-Y. Ascorbic Acid-Induced Photosynthetic Adaptability of Processing Tomatoes to Salt Stress Probed by Fast OJIP Fluorescence Rise. Front. Plant Sci. 2021, 12, 594400. [Google Scholar] [CrossRef] [PubMed]
- Cao, W.; Li, Z.; Huang, S.; Shi, Y.; Zhu, Y.; Lai, M.N.; Lok, P.L.; Wang, X.; Cui, Y.; Jiang, L. Correlation of vacuole morphology with stomatal lineage development by whole-cell electron tomography. Plant Physiol. 2022, 188, 2085–2100. [Google Scholar] [CrossRef] [PubMed]
- Jan, M.; Muhammadshah; Shan, A.N.; Yousaf, M.; Iqbal, J.; Li, X.; Wang, D.; Fahad, S. Modulation in growth, gas exchange, and antioxidant activities of salt-stressed rice (Oryza sativa L.) genotypes by zinc fertilization. Arab. J. Geosci. 2019, 12, 775. [Google Scholar] [CrossRef]
- Zhang, J.; Xie, J.; Gan, Y.; Coulter, J.A. Corrigendum to: Promoting pepper (Capsicum annuum) photosynthesis via chloroplast ultrastructure and enzyme activities by optimising the ammonium to nitrate ratio. Funct. Plant Biol. 2020, 47, 303–317. [Google Scholar] [CrossRef] [PubMed]
- Shu, S.; Chen, L.; Lu, W.; Sun, J.; Guo, S.; Yuan, Y.; Li, J. Effects of exogenous spermidine on photosynthetic capacity and expression of Calvin cycle genes in salt-stressed cucumber seedlings. J. Plant Res. 2014, 127, 763–773. [Google Scholar] [CrossRef] [PubMed]
- Zhong, M.; Wang, Y.; Hou, K.; Shu, S.; Sun, J.; Guo, S. TGase positively regulates photosynthesis via activation of Calvin cycle enzymes in tomato. Hortic. Res. 2019, 6, 92. [Google Scholar] [CrossRef]
- Lu, W.; Tang, X.; Huo, Y.; Xu, R.; Qi, S.; Huang, J.; Zheng, C.; Wu, C.-A. Identification and characterization of fructose 1,6-bisphosphate aldolase genes in Arabidopsis reveal a gene family with diverse responses to abiotic stresses. Gene 2012, 503, 65–74. [Google Scholar] [CrossRef]
- Muhammad, I.; Shalmani, A.; Ali, M.; Yang, Q.-H.; Ahmad, H.; Li, F.B. Mechanisms Regulating the Dynamics of Photosynthesis under Abiotic Stresses. Front. Plant Sci. 2020, 11, 615942. [Google Scholar] [CrossRef]
- Bu, R.; Xie, J.; Yu, J.; Liao, W.; Xiao, X.; Lv, J.; Wang, C.; Ye, J.; Calderón-Urrea, A. Autotoxicity in cucumber (Cucumis sativus L.) seedlings is alleviated by silicon through an increase in the activity of antioxidant enzymes and by mitigating lipid peroxidation. J. Plant Biol. 2016, 59, 247–259. [Google Scholar] [CrossRef]
- Li, J.; Yang, P.; Gan, Y.; Yu, J.; Xie, J. Brassinosteroid alleviates chilling-induced oxidative stress in pepper by enhancing antioxidation systems and maintenance of photosystem II. Acta Physiol. Plant. 2015, 37, 222. [Google Scholar] [CrossRef]
- Yang, Y.; Yao, Y.; Li, J.; Zhang, J.; Zhang, X.; Hu, L.; Ding, D.; Bakpa, E.P.; Xie, J. Trehalose Alleviated Salt Stress in Tomato by Regulating ROS Metabolism, Photosynthesis, Osmolyte Synthesis, and Trehalose Metabolic Pathways. Front. Plant Sci. 2022, 13, 772948. [Google Scholar] [CrossRef] [PubMed]
- Ma, Y.; Dias, M.C.; Freitas, H. Drought and Salinity Stress Responses and Microbe-Induced Tolerance in Plants. Front. Plant Sci. 2020, 11, 591911. [Google Scholar] [CrossRef] [PubMed]
- Liu, J.X.; Wu, B.; Feng, K.; Li, M.-Y.; Duan, A.-Q.; Shen, D.; Yin, L.; Xu, Z.-S.; Xiong, A.-S. A celery transcriptional repressor AgERF8 negatively modulates abscisic acid and salt tolerance. Mol. Genet. Genom. 2021, 296, 1–14. [Google Scholar] [CrossRef]
- Scott, E.R.; Crone, E.E. Using the right tool for the job: The difference between unsupervised and supervised analyses of multivariate ecological data. Oecologia 2021, 196, 13–25. [Google Scholar] [CrossRef]
- Xie, C.; Wang, P.; Sun, M.; Gu, Z.; Yang, R. Nitric oxide mediates gamma-aminobutyric acid signaling to regulate phenolic compounds biosynthesis in soybean sprouts under NaCl stress. Food Biosci. 2021, 44, 101356. [Google Scholar] [CrossRef]
- Marchiosi, R.; dos Santos, W.D.; Constantin, R.P.; de Lima, R.B.; Soares, A.R.; Finger-Teixeira, A.; Mota, T.R.; de Oliveira, D.M.; de Paiva Foletto-Felipe, M.; Abrahão, J.; et al. Biosynthesis and metabolic actions of simple phenolic acids in plants. Phytochem. Rev. 2020, 19, 865–960. [Google Scholar] [CrossRef]
- Jin, N.; Jin, L.; Wang, S.; Meng, X.; Ma, X.; He, X.; Zhang, G.; Luo, S.; Lyu, J.; Yu, J. A Comprehensive Evaluation of Effects on Water-Level Deficits on Tomato Polyphenol Composition, Nutritional Quality and Antioxidant Capacity. Antioxidants 2022, 11, 1585. [Google Scholar] [CrossRef]
- Wang, C.; Zhang, J.; Lv, J.; Li, J.; Gao, Y.; Patience, B.E.; Niu, T.; Yu, J.; Xie, J. Effect of Methyl Jasmonate Treatment on Primary and Secondary Metabolites and Antioxidant Capacity of the Substrate and Hydroponically Grown Chinese Chives. Front. Nutr. 2022, 9, 859035. [Google Scholar] [CrossRef]
- Choudhary, A.; Kumar, A.; Kaur, N. ROS and oxidative burst: Roots in plant development. Plant Divers. 2020, 42, 33–43. [Google Scholar] [CrossRef]
- Tsubata, T. Involvement of Reactive Oxygen Species (ROS) in BCR Signaling as a Second Messenger. Adv. Exp. Med. Biol. 2020, 1254, 37–46. [Google Scholar] [CrossRef] [PubMed]
- Chung, Y.S.; Kim, K.-S.; Hamayun, M.; Kim, Y. Silicon Confers Soybean Resistance to Salinity Stress through Regulation of Reactive Oxygen and Reactive Nitrogen Species. Front. Plant Sci. 2019, 10, 01725. [Google Scholar] [CrossRef] [PubMed]
- Akyol, T.Y.; Ylmaz, O.; Uzilday, B.; Uzilday, R.Ö.; Türkan, I. Plant response to salinity: An analysis of ROS formation, signaling, and antioxidant defense. Turk. J. Bot. 2020, 44, 1–13. [Google Scholar] [CrossRef]
- Luo, X.; Dai, Y.; Zheng, C.; Yang, Y.; Chen, W.; Wang, Q.; Chandrasekaran, U.; Du, J.; Liu, W.; Shu, K. The ABI4-RbohD/VTC2 regulatory module promotes Reactive Oxygen Species (ROS) accumulation to decrease seed germination under salinity stress. New Phytol. 2020, 229, 950–962. [Google Scholar] [CrossRef] [PubMed]
- Kaya, C.; Ashraf, M.; Alyemeni, M.N.; Ahmad, P. The role of endogenous nitric oxide in salicylic acid-induced up-regulation of ascorbate-glutathione cycle involved in salinity tolerance of pepper (Capsicum annuum L.) plants. Plant Physiol. Biochem. 2019, 147, 10–20. [Google Scholar] [CrossRef] [PubMed]
- Liu, J.; Wang, J.; Lee, S.; Wen, R. Copper-caused oxidative stress triggers the activation of antioxidant enzymes via ZmMPK3 in maize leaves. PLoS ONE 2018, 13, 0203612. [Google Scholar] [CrossRef] [PubMed]
- Ahnad, P.; Ahanger, M.A.; Alam, P.; Alyemeni, M.N.; Wijaya, L.; Ali, S.; Ashraf, M. Silicon (Si) Supplementation Alleviates NaCl Toxicity in Mung Bean [Vigna radiata (L.) Wilczek] through the Modifications of Physio-biochemical Attributes and Key Antioxidant Enzymes. J. Plant Growth Regul. 2018, 38, 70–82. [Google Scholar] [CrossRef]
- Tan, Z.; Xuan, Z.; Wu, C.; Cheng, Y.; Xu, C.; Ma, X.; Wang, D. Effects of Selenium on the AsA-GSH System and Photosynthesis of Pakchoi (Brassica chinensis L.) under Lead Stress. J. Soil Sci. Plant Nutr. 2022, 22, 5111–5122. [Google Scholar] [CrossRef]
- Ma, Y.-H.; Ma, F.-W.; Wang, Y.-H.; Zhang, J.-K. The responses of the enzymes related with ascorbate–glutathione cycle during drought stress in apple leaves. Acta Physiol. Plant. 2010, 33, 173–180. [Google Scholar] [CrossRef]
- Yao, M.; Ge, W.; Zhou, Q.; Zhou, X.; Luo, M.; Zhao, Y.; Wei, B.; Ji, S. Exogenous glutathione alleviates chilling injury in postharvest bell pepper by modulating the ascorbate-glutathione (AsA-GSH) cycle. Food Chem. 2021, 352, 129458. [Google Scholar] [CrossRef]
- Giannini, V.; Chahine, S.; Melito, S.; Roggero, P.P. First insight of exogenous addition of proline and glycinebetaine to mitigate fluorine toxicity effects on common bean seedlings. Ital. J. Agron. 2021, 16, 1754. [Google Scholar] [CrossRef]
- Ren, H.; Pan, K.Y.; Chen, Z.D.; Wang, R.Q. Structural characters of leaf epidermis and their systematic significance in Vitaceae. Acta Phytotaxon. Sin. 2003, 41, 531–544. [Google Scholar]
- Bojarszczuk, J. The Influence of Soil Tillage System on Changes in Gas Exchange Parameters of Pisum sativum L. Agronomy 2021, 11, 1000. [Google Scholar] [CrossRef]
- Moustakas, M.; Sperdouli, I.; Adamakis, I.-D.S.; Moustaka, J.; Işgören, S.; Şaş, B. Harnessing the role of foliar applied salicylic acid in decreasing chlorophyll content to reassess photosystem II photoprotection in crop plants. Int. J. Mol. Sci. 2022, 23, 7038. [Google Scholar] [CrossRef] [PubMed]
- Dong, Z.; Men, Y.; Li, Z.; Zou, Q.; Ji, J. Chlorophyll fluorescence imaging as a tool for analyzing the effects of chilling injury on tomato seedlings. Sci. Hortic. 2019, 246, 490–497. [Google Scholar] [CrossRef]
- Wang, K.; Shen, Y.; Wang, H.; He, S.; Kim, W.S.; Shang, W.; Wang, Z.; Shi, L. Effects of exogenous salicylic acid (SA), 6-benzylaminopurine (6-BA), or abscisic acid (ABA) on the physiology of Rosa hybrida ‘Carolla’ under high-temperature stress. Horticulturae 2022, 8, 851. [Google Scholar] [CrossRef]
- Tang, C.; Xie, J.; Lv, J.; Li, J.; Zhang, J.; Wang, C.; Liang, G. Alleviating Damage of Photosystem and Oxidative Stress from Chilling Stress with Exogenous Zeaxanthin in Pepper (Capsicum annuum L.) Seedlings. Plant Physiol. Biochem. 2021, 162, 395–409. [Google Scholar] [CrossRef]
- Sochor, J.; Skutkova, H.; Babula, P.; Zitka, O.; Cernei, N.; Rop, O.; Krška, B.; Adam, V.; Provaznik, I.; Kizek, R. Mathematical Evaluation of the Amino Acid and Polyphenol Content and Antioxidant Activities of Fruits from Different Apricot Cultivars. Molecules 2011, 16, 7428–7457. [Google Scholar] [CrossRef]
- Kaur, H.; Bhatla, S.C. Melatonin and nitric oxide modulate glutathione content and glutathione reductase activity in sunflower seedling cotyledons accompanying salt stress. Nitric Oxide 2016, 59, 42–53. [Google Scholar] [CrossRef]
- Jimenez, A.; Creissen, G.; Kular, B.; Firmin, J.; Robinson, S.; Verhoeyen, M.; Mullineaux, P. Changes in oxidative processes and components of the antioxidant system during tomato fruit ripening. Planta 2002, 214, 751–758. [Google Scholar] [CrossRef]
- Kim, Y.O.; Hara, M.; Kubot, T. Response of an Active-Oxygen Scavenging System to Cadmium in Cadmium-Tolerant Cells of Carrot. Plant Biotechnol. 2001, 18, 39–43. [Google Scholar] [CrossRef]











| Wavelength | 240 nm | 280 nm | 322 nm |
|---|---|---|---|
| Phenolic compounds | Protocatechuic acid | 4-Coumaric acid | Caffeic acid |
| P-hydroxybenzoic acid | Cinnamic acid | Erucic acid | |
| Chlorogenic acid | Benzoic acid | Kaempferol | |
| Quercetin | Gallic acid | Cynarin | |
| Rutin | Ferulic acid | Gentilic acid |
Disclaimer/Publisher’s Note: The statements, opinions and data contained in all publications are solely those of the individual author(s) and contributor(s) and not of MDPI and/or the editor(s). MDPI and/or the editor(s) disclaim responsibility for any injury to people or property resulting from any ideas, methods, instructions or products referred to in the content. |
© 2023 by the authors. Licensee MDPI, Basel, Switzerland. This article is an open access article distributed under the terms and conditions of the Creative Commons Attribution (CC BY) license (https://creativecommons.org/licenses/by/4.0/).
Share and Cite
Gao, Y.; Zhang, J.; Wang, C.; Han, K.; Hu, L.; Niu, T.; Yang, Y.; Chang, Y.; Xie, J. Exogenous Proline Enhances Systemic Defense against Salt Stress in Celery by Regulating Photosystem, Phenolic Compounds, and Antioxidant System. Plants 2023, 12, 928. https://doi.org/10.3390/plants12040928
Gao Y, Zhang J, Wang C, Han K, Hu L, Niu T, Yang Y, Chang Y, Xie J. Exogenous Proline Enhances Systemic Defense against Salt Stress in Celery by Regulating Photosystem, Phenolic Compounds, and Antioxidant System. Plants. 2023; 12(4):928. https://doi.org/10.3390/plants12040928
Chicago/Turabian StyleGao, Yanqiang, Jing Zhang, Cheng Wang, Kangning Han, Lixia Hu, Tianhang Niu, Yan Yang, Youlin Chang, and Jianming Xie. 2023. "Exogenous Proline Enhances Systemic Defense against Salt Stress in Celery by Regulating Photosystem, Phenolic Compounds, and Antioxidant System" Plants 12, no. 4: 928. https://doi.org/10.3390/plants12040928
APA StyleGao, Y., Zhang, J., Wang, C., Han, K., Hu, L., Niu, T., Yang, Y., Chang, Y., & Xie, J. (2023). Exogenous Proline Enhances Systemic Defense against Salt Stress in Celery by Regulating Photosystem, Phenolic Compounds, and Antioxidant System. Plants, 12(4), 928. https://doi.org/10.3390/plants12040928

