Identification and Expression Profile of CLE41/44-PXY-WOX Genes in Adult Trees Pinus sylvestris L. Trunk Tissues during Cambial Activity
Abstract
1. Introduction
2. Results
2.1. CLE41/44 and PXY Gene Identification in the Scots Pine Genome
2.2. WUSCHEL-RELATED HOMEOBOX (WOX) Gene Identification in the Scots Pine Genome
2.3. Characteristics of Cambial Activity in Pine Trees of Different Ages Growing in Lingonberry Pine Forests
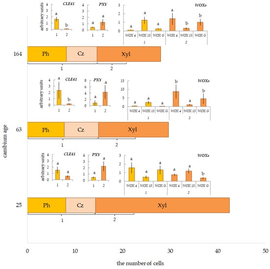
2.4. Characteristics of Xylogenesis, Phloem Formation in the Current Year, and Cambial Zone in Pine Trees of Different Ages
2.5. Expression of the Genes Encoding CLE41/44-PXY-WOX—Signaling Module in Trunk Tissues of Scots Pine of Different Ages
2.6. Characteristics of Cambial Activity in the 40-Year-Old Pine Trees at Different Stages of Cambial Growth
2.7. Expression of the Genes Encoding CLE41/44-PXY-WOX Signaling Module in the 40-Year-Old Pine Trees at Different Stages of Cambial Growth
3. Discussion
4. Conclusions
5. Materials and Methods
5.1. Study Objects
5.2. Plant Sampling
5.3. Microscopy
5.4. Gene Retrieval from the Scots Pine Genome by Bioinformatics Methods
5.5. Sequencing
5.6. qRT-PCR
5.7. Statistical Data Processing
Supplementary Materials
Author Contributions
Funding
Data Availability Statement
Conflicts of Interest
References
- Bueno, N.; Cuesta, C.; Centeno, M.L.; Ordás, R.J.; Alvarez, J.M. In Vitro Plant Regeneration in Conifers: The Role of WOX and KNOX Gene Families. Genes 2021, 12, 438. [Google Scholar] [CrossRef] [PubMed]
- Farjon, A. The Kew Review: Conifers of the World. Kew Bull. 2018, 73, 8. [Google Scholar] [CrossRef]
- Etchells, J.P.; Provost, C.M.; Mishra, L.; Turner, S.R. WOX4 and WOX14 Act Downstream of the PXY Receptor Kinase to Regulate Plant Vascular Proliferation Independently of Any Role in Vascular Organisation. Development 2013, 140, 2224–2234. [Google Scholar] [CrossRef] [PubMed]
- Fischer, U.; Kucukoglu, M.; Helariutta, Y.; Bhalerao, R.P. The Dynamics of Cambial Stem Cell Activity. Annu. Rev. Plant Biol. 2019, 70, 293–319. [Google Scholar] [CrossRef] [PubMed]
- Nieminen, K.; Blomster, T.; Helariutta, Y.; Mähönen, A.P. Vascular Cambium Development. Arab. Book 2015, 13, e0177. [Google Scholar] [CrossRef]
- Hirakawa, Y.; Kondo, Y.; Fukuda, H. Regulation of Vascular Development by CLE Peptide-Receptor Systems. J. Integr. PlantBiol. 2010, 52, 8–16. [Google Scholar] [CrossRef] [PubMed]
- Hirakawa, Y.; Kondo, Y.; Fukuda, H. TDIF Peptide Signaling Regulates Vascular Stem Cell Proliferation via the WOX4 Homeobox Gene in Arabidopsis. Plant Cell 2010, 22, 2618–2629. [Google Scholar] [CrossRef]
- Betsuyaku, S.; Takahashi, F.; Kinoshita, A.; Miwa, H.; Shinozaki, K.; Fukuda, H.; Sawa, S. Mitogen-Activated Protein Kinase Regulated by the CLAVATA Receptors Contributes to Shoot Apical Meristem Homeostasis. Plant Cell Physiol. 2011, 52, 14–29. [Google Scholar] [CrossRef]
- Katsir, L.; Davies, K.A.; Bergmann, D.C.; Laux, T. Peptide Signaling in Plant Development. Curr. Biol. 2011, 21, R356–R364. [Google Scholar] [CrossRef]
- Schrader, J.; Moyle, R.; Bhalerao, R.; Hertzberg, M.; Lundeberg, J.; Nilsson, P.; Bhalerao, R.P. Cambial Meristem Dormancy in Trees Involves Extensive Remodelling of the Transcriptome. Plant J. 2004, 40, 173–187. [Google Scholar] [CrossRef]
- Suer, S.; Agusti, J.; Sanchez, P.; Schwarz, M.; Greb, T. WOX4 Imparts Auxin Responsiveness to Cambium Cells in Arabidopsis. Plant Cell 2011, 23, 3247–3259. [Google Scholar] [CrossRef] [PubMed]
- Ye, Z.-H.; Zhong, R. Molecular Control of Wood Formation in Trees. J. Exp. Bot. 2015, 66, 4119–4131. [Google Scholar] [CrossRef] [PubMed]
- van der Graaff, E.; Laux, T.; Rensing, S.A. The WUS Homeobox-Containing (WOX) Protein Family. Genome Biol. 2009, 10, 248. [Google Scholar] [CrossRef]
- Hedman, H.; Zhu, T.; von Arnold, S.; Sohlberg, J.J. Analysis of the WUSCHEL-RELATED HOMEOBOX Gene Family in the Conifer Picea Abies Reveals Extensive Conservation as Well as Dynamic Patterns. BMC Plant Biol. 2013, 13, 89. [Google Scholar] [CrossRef] [PubMed]
- Liu, B.; Wang, L.; Zhang, J.; Li, J.; Zheng, H.; Chen, J.; Lu, M. WUSCHEL-related Homeobox genes in Populus tomentosa: Diversified expression patterns and a functional similarity in adventitious root formation. BMC Genom. 2014, 15, 296. [Google Scholar] [CrossRef]
- Haecker, A.; Gross-Hardt, R.; Geiges, B.; Sarkar, A.; Breuninger, H.; Herrmann, M.; Laux, T. Expression dynamics of WOX genes mark cell fate decisions during early embryonic patterning in Arabidopsis thaliana. Development 2004, 131, 657–668. [Google Scholar] [CrossRef]
- Schoof, H.; Lenhard, M.; Haecker, A.; Mayer, K.F.; Jürgens, G.; Laux, T. The stem cell population of Arabidopsis shoot meristems in maintained by a regulatory loop between the CLAVATA and WUSCHEL genes. Cell 2000, 100, 635–644. [Google Scholar] [CrossRef]
- Mayer, K.F.; Schoof, H.; Haecker, A.; Lenhard, M.; Jürgens, G.; Laux, T. Role of WUSCHEL in regulating stem cell fate in the Arabidopsis shoot meristem. Cell 1998, 95, 805–815. [Google Scholar] [CrossRef]
- Sarkar, A.K.; Luijten, M.; Miyashima, S.; Lenhard, M.; Hashimoto, T.; Nakajima, K.; Scheres, B.; Heidstra, R.; Laux, T. Conserved factors regulate signalling in Arabidopsis thaliana shoot and root stem cell organizers. Nature 2007, 446, 811–814. [Google Scholar] [CrossRef]
- Ji, J.; Shimizu, R.; Sinha, N.; Scanlon, M.J. Analyses of WOX4 transgenics provide further evidence for the evolution of the WOX gene family during the regulation of diverse stem cell functions. Plant Signal Behav. 2010, 5, 916–920. [Google Scholar] [CrossRef]
- Breuninger, H.; Rikirsch, E.; Hermann, M.; Ueda, M.; Laux, T. Differential expression of WOX genes mediates apical-basal axis formation in the Arabidopsis embryo. Dev. Cell 2008, 14, 867–876. [Google Scholar] [CrossRef] [PubMed]
- Wu, X.; Chory, J.; Weigel, D. Combinations of WOX activities regulate tissue proliferation during Arabidopsis embryonic development. Dev. Biol. 2007, 309, 306–316. [Google Scholar] [CrossRef] [PubMed]
- Rebocho, A.B.; Bliek, M.; Kusters, E.; Castel, R.; Procissi, A.; Roobeek, I.; Souer, E.; Koes, R. Role of EVERGREEN in the development of the cymose petunia inflorescence. Dev. Cell 2008, 15, 437–447. [Google Scholar] [CrossRef] [PubMed]
- Deveaux, Y.; Toffano-Nioche, C.; Claisse, G.; Thareau, V.; Morin, H.; Laufs, P.; Moreau, H.; Kreis, M.; Lecharny, A. Genes of the Most Conserved WOX Clade in Plants Affect Root and Flower Development in Arabidopsis. BMC Evol. Biol. 2008, 8, 291. [Google Scholar] [CrossRef]
- Gambino, G.; Minuto, M.; Boccacci, P.; Perrone, I.; Vallania, R.; Gribaudo, I. Characterization of Expression Dynamics of WOX Homeodomain Transcription Factors during Somatic Embryogenesis in Vitis Vinifera. J. Exp. Bot. 2011, 62, 1089–1101. [Google Scholar] [CrossRef]
- Kucukoglu, M.; Nilsson, J.; Zheng, B.; Chaabouni, S.; Nilsson, O. WUSCHEL-RELATED HOMEOBOX4 (WOX4)-like Genes Regulate Cambial Cell Division Activity and Secondary Growth in Populus Trees. New Phytol. 2017, 215, 642–657. [Google Scholar] [CrossRef]
- Rathour, M.; Sharma, A.; Kaur, A.; Upadhyay, S.K. Genome-wide characterization and expression and co-expression analysis suggested diverse functions of WOX genes in bread wheat. Heliyon 2020, 6, 2405–8440. [Google Scholar] [CrossRef] [PubMed]
- Romera-Branchat, M.; Ripoll, J.J.; Yanofsky, M.F.; Pelaz, S. The WOX13 homeobox gene promotes replum formation in the Arabidopsis thaliana fruit. Plant J. 2013, 73, 37–49. [Google Scholar] [CrossRef]
- Ramkumar, T.R.; Kanchan, M.; Upadhyay, K.S.; Sembi, J.K. Identification and characterization of WUSCHEL-related homeobox (WOX) gene family in economically important orchid species Phalaenopsis equestris and Dendrobium catenatum. Plant Gene. 2018, 14, 37–45. [Google Scholar] [CrossRef]
- Rahman, Z.U.; Azam, S.M.; Liu, Y.; Yan, C.; Ali, H.; Zhao, L.; Chen, P.; Yi, L.; Priyadarshani, S.V.; Yuan, Q. Expression Profiles of Wuschel-Related Homeobox Gene Family in Pineapple (Ananas comosus L.). Trop. Plant Biol. 2017, 10, 204–215. [Google Scholar] [CrossRef]
- Nardmann, J.; Reisewitz, P.; Werr, W. Discrete shoot and root stem cellpromoting WUS/WOX5 functions are an evolutionary innovation of angiosperms. Mol. Biol. Evol. 2009, 26, 1745–1755. [Google Scholar] [CrossRef] [PubMed]
- Alvarez, J.M.; Bueno, N.; Cañas, R.A.; Avila, C.; Cánovas, F.M.; Ordás, R.J. Analysis of the WUSCHEL-related homeobox Gene Family in Pinus Pinaster: New Insights into the Gene Family Evolution. Plant Physiol. Biochem. 2018, 123, 304–318. [Google Scholar] [CrossRef]
- Lerceteau, E.; Plomion, C.; Andersson, B. AFLP Mapping and Detection of Quantitative Trait Loci (QTLs) for Economically Important Traits in Pinus Sylvestris: A Preliminary Study. Mol. Breed. 2000, 6, 451–458. [Google Scholar] [CrossRef]
- Stevens, K.A.; Wegrzyn, J.L.; Zimin, A.; Puiu, D.; Crepeau, M.; Cardeno, C.; Paul, R.; Gonzalez-Ibeas, D.; Koriabine, M.; Holtz-Morris, A.E.; et al. Sequence of the Sugar Pine Megagenome. Genetics 2016, 204, 1613–1626. [Google Scholar] [CrossRef]
- Wegrzyn, J.L.; Liechty, J.D.; Stevens, K.A.; Wu, L.-S.; Loopstra, C.A.; Vasquez-Gross, H.A.; Dougherty, W.M.; Lin, B.Y.; Zieve, J.J.; Martínez-García, P.J.; et al. Unique Features of the Loblolly Pine (Pinus Taeda L.) Megagenome Revealed Through Sequence Annotation. Genetics 2014, 196, 891–909. [Google Scholar] [CrossRef] [PubMed]
- Nardmann, J.; Werr, W. Symplesiomorphies in the WUSCHEL Clade Suggest That the Last Common Ancestor of Seed Plants Contained at Least Four Independent Stem Cell Niches. New Phytol. 2013, 199, 1081–1092. [Google Scholar] [CrossRef]
- Zobel, B.J.; Sprague, J.R. General Concepts of Juvenile Wood. In Juvenile Wood in Forest Trees; Springer Science & Business Media: Berlin/Heidelberg, Germany, 2012. [Google Scholar]
- Garcés, M.; Le Provost, G.; Lalanne, C.; Claverol, S.; Barré, A.; Plomion, C.; Herrera, R. Proteomic Analysis during Ontogenesis of Secondary Xylem in Maritime Pine. Tree Physiol. 2014, 34, 1263–1277. [Google Scholar] [CrossRef]
- de Carvalho, M.C.C.G.; Caldas, D.G.G.; Carneiro, R.T.; Moon, D.H.; Salvatierra, G.R.; Franceschini, L.M.; de Andrade, A.; Celedon, P.A.F.; Oda, S.; Labate, C.A. SAGE Transcript Profiling of the Juvenile Cambial Region of Eucalyptus Grandis. Tree Physiol. 2008, 28, 905–919. [Google Scholar] [CrossRef]
- Yang, K.C.; Hazenberg, G. Impact of Spacing on Tracheid Length, Relative Density, and Growth Rate of Juvenile Wood and Mature Wood in Picea Mariana. Can. J. For. Res. 1994, 24, 996–1007. [Google Scholar] [CrossRef]
- Alonso-Serra, J.; Safronov, O.; Lim, K.; Fraser-Miller, S.J.; Blokhina, O.B.; Campilho, A.; Chong, S.; Fagerstedt, K.; Haavikko, R.; Helariutta, Y.; et al. Tissue-specific Study across the Stem Reveals the Chemistry and Transcriptome Dynamics of Birch Bark. New Phytol. 2019, 222, 1816–1831. [Google Scholar] [CrossRef]
- Tvorogova, V.E.; Krasnoperova, E.Y.; Potsenkovskaia, E.A.; Kudriashov, A.A.; Dodueva, I.E.; Lutova, L.A. What Does the WOX Say? Review of Regulators, Targets, Partners. Mol. Biol. 2021, 55, 311–337. [Google Scholar] [CrossRef]
- Schrader, J.; Baba, K.; May, S.T.; Palme, K.; Bennett, M.; Bhalerao, R.P.; Sandberg, G. Polar auxin transport in the wood-forming tissues of hybrid aspen is under simultaneous control of developmental and environmental signals. Proc. Natl. Acad. Sci. USA 2003, 100, 10096–10101. [Google Scholar] [CrossRef] [PubMed]
- Hirakawa, Y.; Shinohara, H.; Kondo, Y.; Inoue, A.; Nakanomyo, I.; Ogawa, M.; Sawa, S.; Ohashi-Ito, K.; Matsubayashi, Y.; Fukuda, H. Non-Cell-Autonomous Control of Vascular Stem Cell Fate by a CLE Peptide/Receptor System. Proc. Natl. Acad. Sci. USA 2008, 105, 15208–15213. [Google Scholar] [CrossRef] [PubMed]
- Lehesranta, S.J.; Lichtenberger, R.; Helariutta, Y. Cell-to-Cell Communication in Vascular Morphogenesis. Curr. Opin. Plant Biol. 2010, 13, 59–65. [Google Scholar] [CrossRef]
- Etchells, J.P.; Turner, S.R. The PXY-CLE41 Receptor Ligand Pair Defines a Multifunctional Pathway That Controls the Rate and Orientation of Vascular Cell Division. Development 2010, 137, 767–774. [Google Scholar] [CrossRef]
- Etchells, J.P.; Provost, C.M.; Turner, S.R. Plant Vascular Cell Division Is Maintained by an Interaction between PXY and Ethylene Signalling. PLoS Genet. 2012, 8, e1002997. [Google Scholar] [CrossRef] [PubMed]
- Jansson, S.; Douglas, C.J. Populus: A Model System for Plant Biology. Annu. Rev. Plant Biol. 2007, 58, 435–458. [Google Scholar] [CrossRef] [PubMed]
- Douglas, C.J. Populus as a Model Tree. In Comparative and Evolutionary Genomics of Angiosperm Trees; Springer: Cham, Switzerland, 2017. [Google Scholar]
- Groover, A.; Cronk, Q. (Eds.) Plant Genetics and Genomics: Crops and Models; Springer International Publishing: Cham, Switzerland, 2017; Volume 21, pp. 61–84. ISBN 978-3-319-49327-5. [Google Scholar]
- Etchells, J.P.; Mishra, L.S.; Kumar, M.; Campbell, L.; Turner, S.R. Wood Formation in Trees Is Increased by Manipulating Pxy-Regulated Cell Division. Curr. Biol. 2015, 25, 1050–1055. [Google Scholar] [CrossRef]
- Shi, D.; Lebovka, I.; López-Salmerón, V.; Sanchez, P.; Greb, T. Bifacial Cambium Stem Cells Generate Xylem and Phloem during Radial Plant Growth. Development 2019, 146, dev171355. [Google Scholar] [CrossRef]
- Smetana, O.; Mäkilä, R.; Lyu, M.; Amiryousefi, A.; Sánchez Rodríguez, F.; Wu, M.-F.; Solé-Gil, A.; Leal Gavarrón, M.; Siligato, R.; Miyashima, S.; et al. High Levels of Auxin Signalling Define the Stem-Cell Organizer of the Vascular Cambium. Nature 2019, 565, 485–489. [Google Scholar] [CrossRef]
- Galibina, N.A.; Moshchenskaya, Y.L.; Tarelkina, T.V.; Chirva, O.V.; Nikerova, K.M.; Serkova, A.A.; Semenova, L.I.; Ivanova, D.S. Changes in the Activity of the CLE41/PXY/WOX Signaling Pathway in the Birch Cambial Zone under Different Xylogenesis Patterns. Plants 2022, 11, 1727. [Google Scholar] [CrossRef] [PubMed]
- Kucukoglu, M. Molecular Regulation of Vascular Cambium Identity and Activity. Ph.D. Thesis, Swedish University of Agricultural Sciences, Umeå, Sweden, 2015. [Google Scholar]
- Etchells, J.P.; Smit, M.E.; Gaudinier, A.; Williams, C.J.; Brady, S.M. A Brief History of the TDIF-PXY Signalling Module: Balancing Meristem Identity and Differentiation during Vascular Development. New Phytol. 2016, 209, 474–484. [Google Scholar] [CrossRef] [PubMed]
- Fisher, K.; Turner, S. PXY, a receptor-like kinase essential for maintaining polarity during plant vascular-tissue development. Curr. Biol. 2007, 17, 1061–1066. [Google Scholar] [CrossRef] [PubMed]
- Catesson, A.-M. Cambial Ultrastructure and Biochemistry: Changes in Relation to Vascular Tissue Differentiation and the Seasonal Cycle. Int. J. Plant Sci. 1994, 155, 251–261. [Google Scholar] [CrossRef]
- Lachaud, S.; Catesson, A.-M.; Bonnemain, J.-L. Structure and Functions of the Vascular Cambium. Comptes Rendus De L’académie Sci. Ser. III Sci. Vie 1999, 322, 633–650. [Google Scholar] [CrossRef] [PubMed]
- Lebedenko, L.A. Cambial activity of larch in relation to the phenotype. In Lesnaya Genetika, Selektsiya i Semenovodstvo (Forest Genetics, Breeding, and Seed Production); Karelia: Petrozavodsk, Russia, 1970; pp. 47–55. [Google Scholar]
- Lebedenko, L.A. Dinamika Razmnozheniya Kambial’nyh Kletok u Sosny i Eli. In Vosstanovlenie Lesa na Severo-Zapade RSFSR; LenNIILH: Leningrad, Russia, 1978; pp. 101–111. [Google Scholar]
- Antonova, G.F.; Stasova, V.V. Seasonal Development of Phloem in Scots Pine Stems. Russ. J. Dev. Biol. 2006, 37, 306–320. [Google Scholar] [CrossRef]
- Schmitt, U.; Jalkanen, R.; Eckstein, D. Cambium Dynamics of Pinus sylvestris and Betula spp. in the Northern Boreal Forest in Finland. Silva Fenn. 2004, 38, 167–178. [Google Scholar] [CrossRef]
- Esau, K.; Cheadle, V.I. Significance of Cell Divisions in Differentiating Secondary Phloem. Acta Bot. Neerl. 1955, 4, 348–357. [Google Scholar] [CrossRef]
- Bannan, M.W. The Relative Frequency of the Different Types of Anticlinal Divisions in Conifer Cambium. Can. J. Bot. 1957, 35, 875–884. [Google Scholar] [CrossRef]
- Larson, P.R. Vascular Cambium: Development and Structure; Springer: Berlin/Heidelberg, Germany, 1994; ISBN 978-3-642-78466-8. [Google Scholar]
- Nilsson, J.; Karlberg, A.; Antti, H.; Lopez-Vernaza, M.; Mellerowicz, E.; Perrot-Rechenmann, C.; Sandberg, G.; Bhalerao, R.P. Dissecting the Molecular Basis of the Regulation of Wood Formation by Auxin in Hybrid Aspen. Plant Cell 2008, 20, 843–855. [Google Scholar] [CrossRef]
- Brackmann, K.; Qi, J.; Gebert, M.; Jouannet, V.; Schlamp, T.; Grünwald, K.; Wallner, E.-S.; Novikova, D.D.; Levitsky, V.G.; Agustí, J.; et al. Spatial Specificity of Auxin Responses Coordinates Wood Formation. Nat. Commun. 2018, 9, 875. [Google Scholar] [CrossRef] [PubMed]
- Zhang, J.; Eswaran, G.; Alonso-Serra, J.; Kucukoglu, M.; Xiang, J.; Yang, W.; Elo, A.; Nieminen, K.; Damén, T.; Joung, J.-G.; et al. Transcriptional Regulatory Framework for Vascular Cambium Development in Arabidopsis Roots. Nat. Plants 2019, 5, 1033–1042. [Google Scholar] [CrossRef]
- Wang, D.; Chen, Y.; Li, W.; Li, Q.; Lu, M.; Zhou, G.; Chai, G. Vascular Cambium: The Source of Wood Formation. Front. Plant Sci. 2021, 12, 700928. [Google Scholar] [CrossRef]
- Xu, C.; Shen, Y.; He, F.; Fu, X.; Yu, H.; Lu, W.; Li, Y.; Li, C.; Fan, D.; Wang, H.C.; et al. Auxin-mediated Aux/IAA-ARF-HB Signaling Cascade Regulates Secondary Xylem Development in Populus. New Phytol. 2019, 222, 752–767. [Google Scholar] [CrossRef]
- Bagdassarian, K.S.; Brown, C.M.; Jones, E.T.; Etchells, P. Connections in the Cambium, Receptors in the Ring. Curr. Opin. Plant Biol. 2020, 57, 96–103. [Google Scholar] [CrossRef]
- Bagdassarian, K.S.; Etchells, J.P.; Savage, N.S. A mathematical model integrates diverging PXY and MP interactions in cambium development. arXiv 2022. [Google Scholar] [CrossRef]
- Galibina, N.A.; Tarelkina, T.V.; Chirva, O.V.; Moshchenskaya, Y.L.; Nikerova, K.M.; Ivanova, D.S.; Semenova, L.I.; Serkova, A.A.; Novitskaya, L.L. Molecular Genetic Characteristics of Different Scenarios of Xylogenesis on the Example of Two Forms of Silver Birch Differing in the Ratio of Structural Elements in the Xylem. Plants 2021, 10, 1593. [Google Scholar] [CrossRef] [PubMed]
- Denis, E.; Kbiri, N.; Mary, V.; Claisse, G.; Conde e Silva, N.; Kreis, M.; Deveaux, Y. WOX14 promotes bioactive gibberellin synthesis and vascular cell differentiation in Arabidopsis. Plant J. 2017, 90, 560–572. [Google Scholar] [CrossRef]
- He, P.; Zhang, Y.; Liu, H.; Yuan, Y.; Wang, C.; Yu, J.; Xiao, G. Comprehensive Analysis of WOX Genes Uncovers That WOX13 Is Involved in Phytohormone-Mediated Fiber Development in Cotton. BMC Plant Biol. 2019, 19, 312. [Google Scholar] [CrossRef]
- Galibina, N.A.; Moshnikov, S.A.; Nikerova, K.M.; Afoshin, N.V.; Ershova, M.A.; Ivanova, D.S.; Kharitonov, V.A.; Romashkin, I.V.; Semenova, L.I.; Serkova, A.A.; et al. Changes in the Intensity of Heartwood Formation in Scots Pine (Pinus sylvestris L.) Ontogenesis. IAWA J. 2022, 43, 299–321. [Google Scholar] [CrossRef]
- Novitskaya, L.L.; Tarelkina, T.V.; Galibina, N.A.; Moshchenskaya, Y.L.; Nikolaeva, N.N.; Nikerova, K.M.; Podgornaya, M.N.; Sofronova, I.N.; Semenova, L.I. The Formation of Structural Abnormalities in Karelian Birch Wood Is Associated with Auxin Inactivation and Disrupted Basipetal Auxin Transport. J. Plant Growth Regul. 2020, 39, 378–394. [Google Scholar] [CrossRef]
- IAWA List of Microscopic Features for Hardwood Identification. IAWA Bull. 1989, 10, 219–332.
- Scholz, A.; Klepsch, M.; Karimi, Z.; Jansen, S. How to Quantify Conduits in Wood? Front. Plant Sci. 2013, 4, 56. [Google Scholar] [CrossRef]
- Angyalossy, V.; Pace, M.R.; Evert, R.F.; Marcati, C.R.; Oskolski, A.A.; Terrazas, T.; Kotina, E.; Lens, F.; Mazzoni-Viveiros, S.C.; Angeles, G.; et al. IAWA List of Microscopic Bark Features. IAWA J. 2016, 37, 517–615. [Google Scholar] [CrossRef]
- Proost, S.; Van Bel, M.; Vaneechoutte, D.; Van de Peer, Y.; Inzé, D.; Mueller-Roeber, B.; Vandepoele, K. PLAZA 3.0: An Access Point for Plant Comparative Genomics. Nucleic Acids Res. 2015, 43, D974–D981. [Google Scholar] [CrossRef] [PubMed]
- Marchler-Bauer, A.; Bryant, S.H. CD-Search: Protein Domain Annotations on the Fly. Nucleic Acids Res. 2004, 32, W327–W331. [Google Scholar] [CrossRef] [PubMed]
- Thumuluri, V.; Almagro Armenteros, J.J.; Johansen, A.R.; Nielsen, H.; Winther, O. DeepLoc 2.0: Multi-Label Subcellular Localization Prediction Using Protein Language Models. Nucleic Acids Res. 2022, 50, gkac278. [Google Scholar] [CrossRef] [PubMed]
- Hallgren, J.; Tsirigos, K.D.; Pedersen, M.D.; Armenteros, J.J.A.; Marcatili, P.; Nielsen, H.; Krogh, A.; Winther, O. DeepTMHMM predicts alpha and beta transmembrane proteins using deep neural networks. bioRxiv 2022. [Google Scholar] [CrossRef]
- Kumar, S.; Stecher, G.; Li, M.; Knyaz, C.; Tamura, K. MEGA X: Molecular Evolutionary Genetics Analysis across Computing Platforms. Mol. Biol. Evol. 2018, 35, 1547–1549. [Google Scholar] [CrossRef]
- Gouy, M.; Guindon, S.; Gascuel, O. SeaView version 4: A multiplatform graphical user interface for sequence alignment and phylogenetic tree building. Mol. Biol. Evol. 2010, 27, 221–224. [Google Scholar] [CrossRef]
- Xu, M.; Zang, B.; Yao, H.S.; Huang, M.R. Isolation of High Quality RNA and Molecular Manipulations with Various Tissues of Populus. Russ. J. Plant Physiol. 2009, 56, 716–719. [Google Scholar] [CrossRef]
- Ramakers, C.; Ruijter, J.M.; Deprez, R.H.L.; Moorman, A.F. Assumption-Free Analysis of Quantitative Real-Time Polymerase Chain Reaction (PCR) Data. Neurosci. Lett. 2003, 339, 62–66. [Google Scholar] [CrossRef] [PubMed]








| Gene Name | Gene ID | Number of Amino Acid Residues in Peptide | Location of Transmembrane Helices | Location of Protein Kinase Domain | Subcellular Localization (Likelihood) |
|---|---|---|---|---|---|
| PSY00000468 | 1145 | 738–758 | 803–1115 | Cell membrane (0.7873) | |
| PSY00008977 | 1121 | 761–781 | 830–1121 | Cell membrane (0.8066) | |
| PSY00009080 | 790 | 435–455 | 502–782 | Cell membrane (0.8222) | |
| PSY00015483 | 1003 | 638–657 | 696–988 | Cell membrane (0.7722) | |
| PsPXY | PSY00019884 | 515 | 135–155 | 204–500 | Cell membrane (0.8176) |
| Gene Name | Gene ID | Number of Amino Acid Residues in Peptide | Location of Homeobox Domain | Subcellular Localization (Likelihood) |
|---|---|---|---|---|
| PSY00000300 | 147 | 7–146 | Nucleus (0.9137) | |
| PSY00004596 | 217 | 41–100 | Nucleus (0.9163) | |
| PSY00005979 | 260 | 42–98 | Nucleus (0.9250) | |
| PSY00007295 | 273 | 55–114 | Nucleus (0.9078) | |
| PSY00007788 | 257 | 53–113 | Nucleus (0.9104) | |
| PSY00008596 | 194 | 32–90 | Nucleus (0.8805) | |
| PSY00008721 | 253 | 53–94 | Nucleus (0.9227) | |
| PsWOXA | PSY00011033 | 418 | 140–198 | Nucleus (0.8991) |
| PsWOX13 | PSY00011870 | 356 | 85–143 | Nucleus (0.9085) |
| PSY00012665 | 274 | 55–116 | Nucleus (0.9178) | |
| PSY00012799 | 274 | 55–114 | Nucleus (0.9088) | |
| PSY00014262 | 194 | 29–88 | Nucleus (0.9282) | |
| PsWOXG | PSY00021883 | 294 | 100–158 | Nucleus (0.9324) |
| PSY00025585 | 186 | 10–64 | Nucleus (0.9270) | |
| PSY00028054 | 284 | 49–108 | Nucleus (0.8816) | |
| PSY00032373 | 178 | 25–84 | Nucleus (0.9336) | |
| PsWOX4 | CCP29681.1 (NCBI) | 478 | 130–189 | Nucleus (0.9157) |
| Gene Name | ID of Sequences Used for the Primer Design | Forward Primer (5′→3′) | Reverse Primer (5′→3′) | Ta, °C |
|---|---|---|---|---|
| PsGAPDH | PSY00009485 | GGACAGTGGAAGCATCAT | AACCGAATACAGCAACAGA | 54 |
| PsCLE41/44 | PTA00040742 PPI00060734 | GTATGGCGGATGGTTTTG | ATTACTAATTGGATTTGGACCG | 55 |
| PsPXY | PSY00019884 | GTTGCCTTCCATTACAGA | GGTCCGTTAAGATGATTGA | 60 |
| PsWOX4 | CCP29681.1 | ACTATACTAACGAAGAAGA | TAATACTGAGTTGTCCAT | 53 |
| PsWOX13 | PSY00011870 | TGTGTCTGGTCAAGGATT | TCTCTAAGATATGAAGTTGTGTT | 59 |
| PsWOXG | PSY00021883 | TGGATAATAGCCTTGACT | CACTGTTGAGTATCATCTT | 55 |
Disclaimer/Publisher’s Note: The statements, opinions and data contained in all publications are solely those of the individual author(s) and contributor(s) and not of MDPI and/or the editor(s). MDPI and/or the editor(s) disclaim responsibility for any injury to people or property resulting from any ideas, methods, instructions or products referred to in the content. |
© 2023 by the authors. Licensee MDPI, Basel, Switzerland. This article is an open access article distributed under the terms and conditions of the Creative Commons Attribution (CC BY) license (https://creativecommons.org/licenses/by/4.0/).
Share and Cite
Galibina, N.A.; Moshchenskaya, Y.L.; Tarelkina, T.V.; Nikerova, K.M.; Korzhenevskii, M.A.; Serkova, A.A.; Afoshin, N.V.; Semenova, L.I.; Ivanova, D.S.; Guljaeva, E.N.; et al. Identification and Expression Profile of CLE41/44-PXY-WOX Genes in Adult Trees Pinus sylvestris L. Trunk Tissues during Cambial Activity. Plants 2023, 12, 835. https://doi.org/10.3390/plants12040835
Galibina NA, Moshchenskaya YL, Tarelkina TV, Nikerova KM, Korzhenevskii MA, Serkova AA, Afoshin NV, Semenova LI, Ivanova DS, Guljaeva EN, et al. Identification and Expression Profile of CLE41/44-PXY-WOX Genes in Adult Trees Pinus sylvestris L. Trunk Tissues during Cambial Activity. Plants. 2023; 12(4):835. https://doi.org/10.3390/plants12040835
Chicago/Turabian StyleGalibina, Natalia A., Yulia L. Moshchenskaya, Tatiana V. Tarelkina, Kseniya M. Nikerova, Maxim A. Korzhenevskii, Aleksandra A. Serkova, Nikita V. Afoshin, Ludmila I. Semenova, Diana S. Ivanova, Elena N. Guljaeva, and et al. 2023. "Identification and Expression Profile of CLE41/44-PXY-WOX Genes in Adult Trees Pinus sylvestris L. Trunk Tissues during Cambial Activity" Plants 12, no. 4: 835. https://doi.org/10.3390/plants12040835
APA StyleGalibina, N. A., Moshchenskaya, Y. L., Tarelkina, T. V., Nikerova, K. M., Korzhenevskii, M. A., Serkova, A. A., Afoshin, N. V., Semenova, L. I., Ivanova, D. S., Guljaeva, E. N., & Chirva, O. V. (2023). Identification and Expression Profile of CLE41/44-PXY-WOX Genes in Adult Trees Pinus sylvestris L. Trunk Tissues during Cambial Activity. Plants, 12(4), 835. https://doi.org/10.3390/plants12040835

