Effects of Low Light after Heading on the Yield of Direct Seeding Rice and Its Physiological Response Mechanism
Abstract
:1. Introduction
2. Results
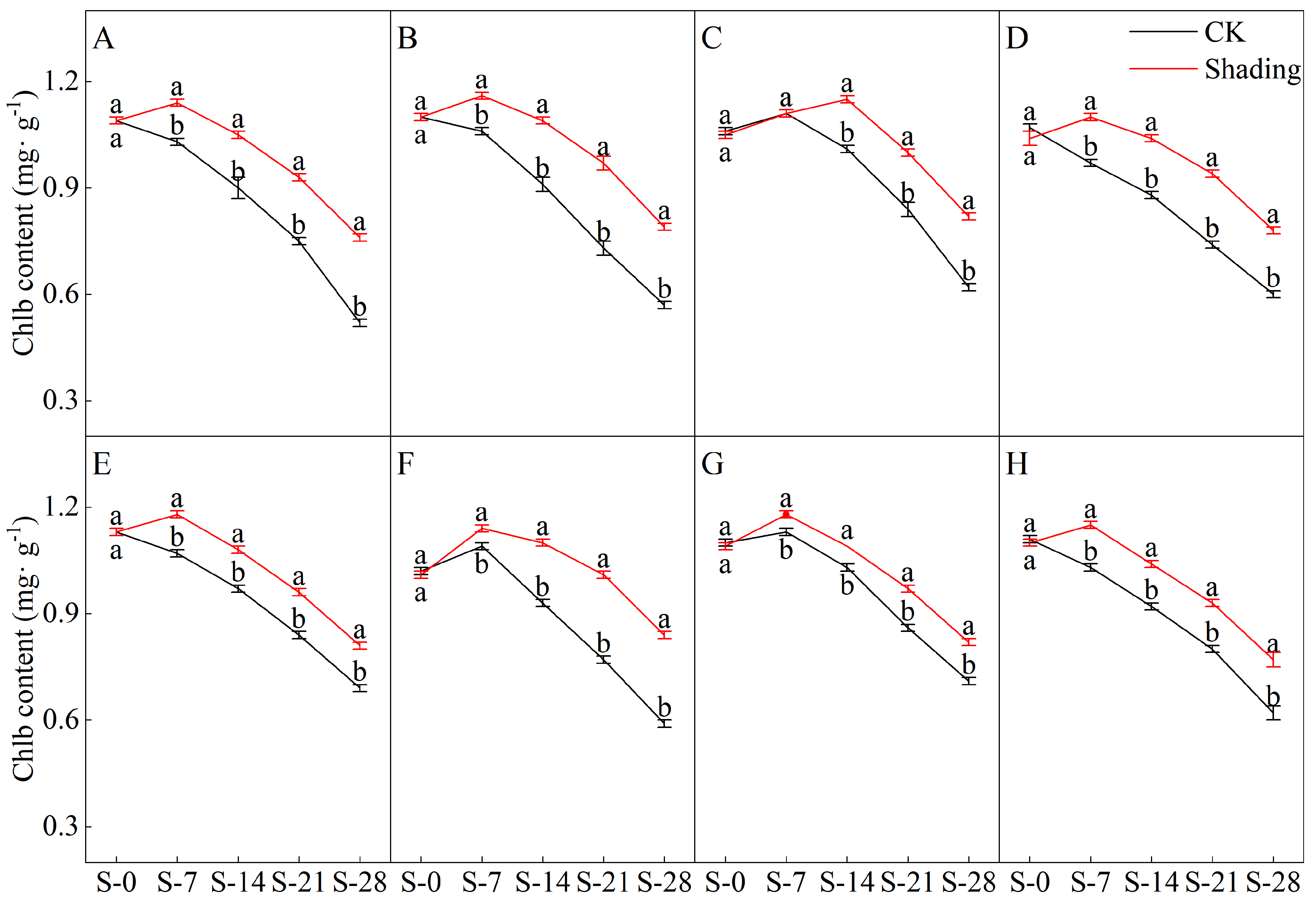
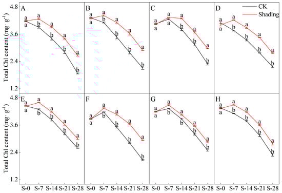
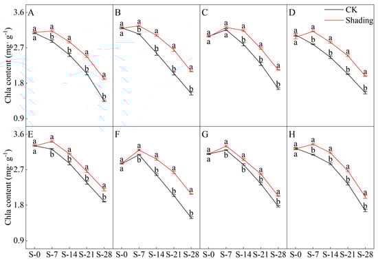
2.1. Effects of Shading on the Chlorophyll Content of Direct-Seeded Rice
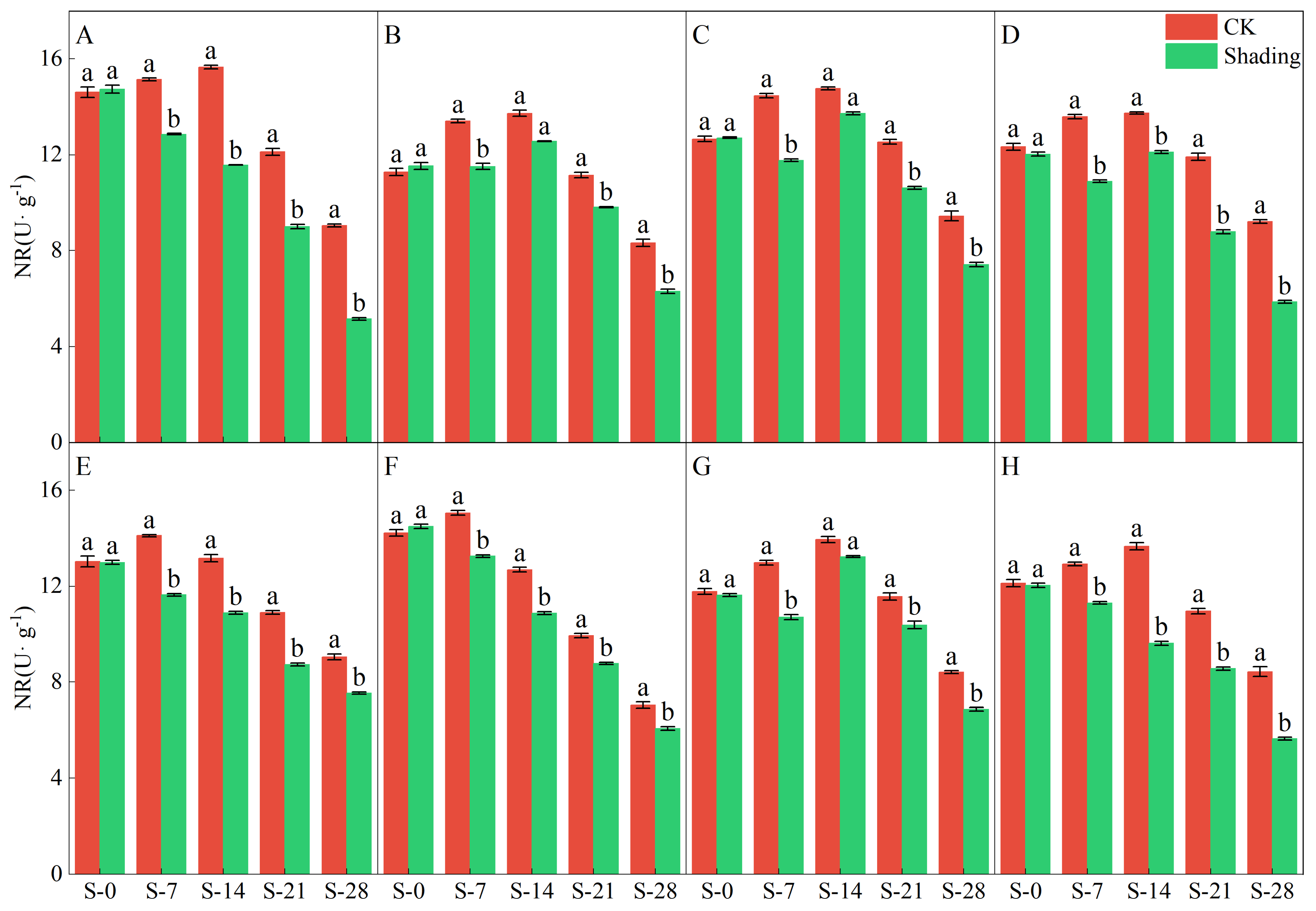
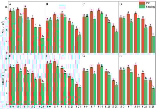
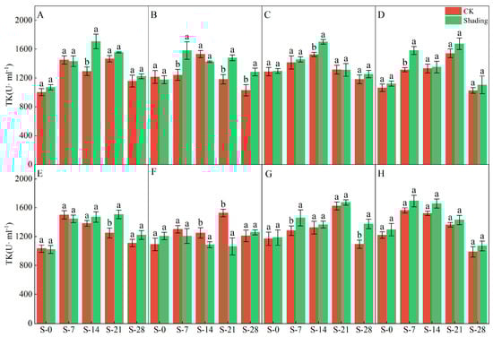
2.2. Effects of Shading on NR, POD, and Other Enzyme Activity in Directly Seeded Rice
2.3. Effects of Shading on Dry Matter Accumulation in Direct-Seeded Rice
2.4. Effects of Shading on Direct-Seeded Rice Yield
2.5. Correlation Analysis between the Yield and Yield Components of Direct-Seeding Rice
3. Discussion
3.1. Changes in the Physiological Characteristics of Directly Seeded Rice under Shading Treatment
3.2. Changes in Yield under the Shading Treatment
4. Materials and Methods
4.1. Test Materials and Sites
4.2. Experimental Design
4.3. Determination of Content and Methods
4.3.1. Determination of Dry Matter Content
4.3.2. Leaf Physiological Indices
4.3.3. Rice Yield and Yield Components
4.3.4. Data Analysis
5. Conclusions
Author Contributions
Funding
Data Availability Statement
Acknowledgments
Conflicts of Interest
References
- Kobayashi, K.; Wang, X.; Wang, W. Genetically Modified Rice Is Associated with Hunger, Health, and Climate Resilience. Foods 2023, 14, 2776. [Google Scholar] [CrossRef] [PubMed]
- Dutta, S.S.; Tyagi, W.; Rai, M. Physiological and molecular response to low light intensity in rice: A review. Agric. Rev. 2017, 3, 209–215. [Google Scholar] [CrossRef]
- Wu, W.; Nie, X.; Liao, Y.; Shah, F.; Cui, K.; Wang, Q.; Lian, Y.; Huang, J. Toward yield improvement of early-season rice: Other options under double rice-croppin system in central China. Eur. J. Agron. 2013, 45, 75–86. [Google Scholar] [CrossRef]
- Sahu, S.; Gupta, P.; Gowtham, T.P.; Yogesh, K.S.; Sanjay, T.D.; Singh, A.; Duong, H.V.; Pradhan, S.K.; Bisht, D.S.; Singh, N.K. Generation of High-Value Genomic Resource in Rice: A “Subgenomic Library” of Low-Light Tolerant Rice Cultivar Swarnaprabha. Biology 2023, 12, 428. [Google Scholar] [CrossRef]
- Fei, D.; Yuling, Z.; Qiu, P.L.; Chen, Y.H.; Bo, L.; You, Y.Z.; Xing, Z.; Fan, Y.; Xiao, Y.Z.; Li, W.; et al. Decreased anther dehiscence contributes to a lower fertilization rate of rice subjected to shading stress. Field Crops Res. 2021, 273, 108291. [Google Scholar] [CrossRef]
- Hatzianastassiou, N.; Ioannidis, E.; Korras-Carraca, M.-B.; Gavrouzou, M.; Papadimas, C.D.; Matsoukas, C.; Benas, N.; Fotiadi, A.; Wild, M.; Vardavas, I. Global Dimming and Brightening Features during the First Decade of the 21st Century. Atmosphere 2020, 11, 308. [Google Scholar] [CrossRef]
- Tie, X.X.; Huang, R.J.; Dai, W.T.; Cao, J.J.; Long, X.; Su, X.L. Effect of heavy haze and aerosol pollution on rice and wheat productions in China. Sci. Rep. 2016, 6, 29612. [Google Scholar] [CrossRef]
- Liu, Q.H.; Xiu, W.U.; Chen, B.C.; Jie, G.A.O. Effects of low light on agronomic and physiological characteristics of rice including grain yield and quality. Rice Sci. 2014, 21, 243–251. [Google Scholar] [CrossRef]
- Wang, L.; Deng, F.; Lu, T.Q.; Zhao, M.; Pu, S.L.; Li, S.X.; Ren, W.J. The relationships between carbon isotope discrimination and photosynthesis and rice yield under shading. Int. J. Plant Prod. 2016, 10, 4. [Google Scholar] [CrossRef]
- Hu, X.L.; Wang, W.; Li, C.; Zhang, J.H.; Lin, F.; Zhang, A.Y.; Jiang, M.Y. Cross-talk between Ca2+/CaM and H2O2 in abscisic acid-induced antioxidant defense in leaves of maize plants exposed to water stress. Plant Growth Regul. 2008, 55, 183–198. [Google Scholar] [CrossRef]
- Volkov, R.A.; Panchuk, I.I.; Mullineaux, P.M.; Schöffl, F. Heatstress-induced H2O2 is required for effective expression of heat shock genes in Arabidopsis. Plant Mol Biol. 2006, 61, 733–746. [Google Scholar] [CrossRef] [PubMed]
- Luo, k.; Zeng, Y.J.; Hu, Q.X.; Chen, L.; Yi, Y.H.; Sui, F.; Li, X. Effects of weak light stress at different stages on sink-source characteristics and protective enzyme activities in leaf of late rice varieties with different tolerance. Chin. J. Rice Sci. 2018, 32, 581–590. (In Chinese) [Google Scholar] [CrossRef]
- Yang, D.; Duan, L.S.; Xie, H.A.; Li, Z.H.; Huang, T.X. Effect of pre-flowering light deficiency on biomass accumulation and physio logical characteristics of rice. Chin. J. Eco-Agric. 2011, 19, 347–352. [Google Scholar] [CrossRef]
- Baslam, M.; Mitsui, T.; Sueyoshi, K.; Ohyama, T. Recent Advances in Carbon and Nitrogen Metabolism in C3 Plants. Int. J. Mol. Sci. 2021, 22, 318. [Google Scholar] [CrossRef] [PubMed]
- Henkes, S.; Sonnewald, U.; Badur, R.; Flachmann, R.; Stitt, M. A small decrease of plastid transketolase activity in antisense tobacco transformants has dramatic effects on photosynthesis and phenylpropanoid metabolism. Plant Cell. 2001, 13, 535–551. [Google Scholar] [CrossRef] [PubMed]
- Khozaei, M.; Fisk, S.; Lawson, T.; Gibon, Y.; Sulpice, R.; Stitt, M.; Lefebvre, S.C.; Raines, C.A. Overexpression of plastid transketolase in tobacco results in a thiamine auxotrophic phenotype. Plant Cell. 2015, 27, 432–447. [Google Scholar] [CrossRef]
- Suzuki, Y.; Kondo, E.; Makino, A. Effects of co-overexpression of the genes of Rubisco and transketolase on photosynthesis in rice. Photosynth. Res. 2017, 131, 281–289. [Google Scholar] [CrossRef] [PubMed]
- Panda, D.; Biswal, M.; Behera, L.; Baig, M.J.; Dey, P.; Nayak, L.; Kumar, A. Impact of low light stress on physiological, biochemical and agronomic attributes of rice. J. Pharmacogn. Phytochem. 2019, 8, 1814–1821. [Google Scholar]
- Kumar, S.; Kumar, P.; Kumar, D.; Kumar, M.; Singh, P. Effect of water stress on leaf chlorophyll content (chl-a, b & total chlorophyll) of potato cultivars. Plant Arch. 2020, 20, 3439–3444. [Google Scholar]
- Wang, L.; Deng, F.; Ren, W.J. Shading tolerance in rice is related to better light harvesting and use efficiency and grain filling rate during grain filling period. Field Crops Res. 2015, 180, 54–62. [Google Scholar] [CrossRef]
- Deng, F.; Wang, L.; Yao, X.; Wang, J.J.; Ren, W.J.; Yang, W.Y. Effects of different-growing-stage shading on rice grain-filling and yield. J. Sichuan Agric. Univ. 2009, 27, 265–269. (In Chinese) [Google Scholar]
- Li, H.; Jiang, D.; Wollenweber, B.; Dai, T.; Cao, W. Effects of shading on morphology, physiology and grain yield of winter wheat. Eur. J. Agron. 2010, 33, 267–275. [Google Scholar] [CrossRef]
- Mauro, R.P.; Occhipinti, A.; Longo, A.M.G.; Mauromicale, G. Effects of shading on chlorophyll content, chlorophyll fluorescence and photosynthesis of subterranean clover. J. Agron. Crop Sci. 2011, 197, 57–66. [Google Scholar] [CrossRef]
- Wang, Y.Y.; Zhang, X.T.; Zhang, W.J.; Meng, X.P.; Guo, Q.T.; Mirza, F.Q.; Hui, L.; Ai, M.W. Physiological and transcriptomic responses to magnesium deficiency in Neolamarckia Cadamba. Plant Physiol. Biochem. 2023, 197, 107645. [Google Scholar] [CrossRef] [PubMed]
- Luo, W.G.; Liang, Q.W.; Su, Y.; Chao, H.; Bei, X.M.; Yu, Y.; Lang, T.X. Auxin inhibits chlorophyll accumulation through ARF7-IAA14-mediated repression of chlorophyll biosynthesis genes in Arabidopsis. Front. Plant Sci. 2023, 14, 1172059. [Google Scholar] [CrossRef] [PubMed]
- Xu, H.; Chu, X.; Gou, K.J.; Jiang, D.X.; Li, Q.Q.; Lv, C.G.; Gao, Z.P.; Chen, G.X. The photosynthetic function analysis for leaf photooxidation in rice. Photosynthetica 2023, 61, 48–57. [Google Scholar] [CrossRef]
- Sekhar, S.; Das, S.; Panda, D.; Mohanty, S.; Mishra, B.; Kumar, A.; Navadagi, D.B.; Sah, R.P.; Pradhan, S.K.; Samantaray, S.; et al. Identification of microRNAs That Provide a Low Light Stress Tolerance-Mediated Signaling Pathway during Vegetative Growth in Rice. Plants 2022, 11, 2558. [Google Scholar] [CrossRef]
- Li, D.; Yu, F.; Zhang, Y.; Hu, K.; Dai, D.; Song, S.; Zhang, F.; Sa, R.; Lian, H.; Sheng, Y. Integrative analysis of different low-light-tolerant cucumber lines in response to low-light stress. Front. Plant Sci. 2023, 13, 1093859. [Google Scholar] [CrossRef]
- Cao, Y.; Yang, K.; Liu, W.; Feng, G.; Peng, Y.; Li, Z. Adaptive responses of common and hybrid bermudagrasses to shade stress associated with changes in morphology, photosynthesis, and secondary metabolites. Front. Plant Sci. 2022, 13, 817105. [Google Scholar] [CrossRef]
- Ren, M.; Liu, S.; Mao, G.; Tang, C.; Gai, P.; Guo, X.; Zheng, H.; Wang, W.; Tang, Q. Simultaneous Application of Red and Blue Light Regulate Carbon and Nitrogen Metabolism, Induces Antioxidant Defense System and Promote Growth in Rice Seedlings under Low Light Stress. Int. J. Mol. Sci. 2023, 24, 10706. [Google Scholar] [CrossRef]
- Wang, H.; Zhong, L.; Fu, X.; Huang, S.; Fu, H.; Shi, X.; Hu, L.; Cai, Y.; He, H.; Chen, X. Physiological and Transcriptomic Analyses Reveal the Mechanisms of Compensatory Growth Ability for Early Rice after Low Temperature and Weak Light Stress. Plants 2022, 11, 2523. [Google Scholar] [CrossRef] [PubMed]
- Liu, S.; Yang, R. Regulations of reactive oxygen species in plants abiotic stress: An integrated overview. Plant Life Chang. Environ. 2020, 323–353. [Google Scholar] [CrossRef]
- Lichtenthaler, H.K. Fifty-five years of research on photosynthesis, chloroplasts, and stress physiology of plants: 1958–2013. Prog. Bot. 2014, 76, 3–42. [Google Scholar]
- Bi, H.; Li, F.; Wang, H.; Ai, X. Overexpression of transketolase gene promotes chilling tolerance by increasing the activities of photosynthetic enzymes, alleviating oxidative damage and stabilizing cell structure in Cucumis sativus L. Physiol. Plant. 2019, 167, 502–515. [Google Scholar] [CrossRef]
- Li, Q.; Deng, F.; Zeng, Y.; Li, B.; He, C.; Zhu, Y.; Zhou, X.; Zhang, Z.; Wang, L.; Tao, Y.; et al. Low Light Stress Increases Chalkiness by Disturbing Starch Synthesis and Grain Filling of Rice. Int. J. Mol. Sci. 2022, 23, 9153. [Google Scholar] [CrossRef]
- Deng, F.; Li, B.; Yuan, Y.; He, C.; Zhou, X.; Li, Q.; Ren, W. Increasing the number of seedlings per hill with reduced number of hills improves rice grain quality by optimizing canopy structure and light utilization under shading stress. Field Crops Res. 2022, 287, 108668. [Google Scholar] [CrossRef]
- Panda, D.; Mohanty, S.; Das, S.; Mishra, B.; Baig, M.J.; Behera, L. Light intensity–mediated auxin homeostasis in spikelets links carbohydrate metabolism enzymes with grain filling rate in rice. Protoplasma 2023, 260, 1233–1251. [Google Scholar] [CrossRef]











| Variety | Treatment | Aboveground Dry Matter Mass in 2021 | Aboveground Dry Matter Mass in 2022 | ||
|---|---|---|---|---|---|
| Heading Stage | Maturity | Heading Stage | Maturity | ||
| Zhenliangyou 2018 | CK | 11.29 a | 16.01 a | 11.16 a | 16.9 a |
| S | 10.73 b | 13.27 b | 11.55 a | 15.28 b | |
| C Liangyou 0861 | CK | 10.64 a | 16.19 a | 10.75 a | 16.09 a |
| S | 10.22 b | 14.12 b | 9.65 b | 12.54 b | |
| Jingliangyou 534 | CK | 9.89 a | 16.43 a | 11.66 a | 16.63 a |
| S | 9.68 b | 11.86 b | 9.87 b | 12.51 b | |
| Yangxianyou 919 | CK | 11.97 a | 16.53 a | 11.14 b | 18.31 a |
| S | 10.41 b | 13.44 b | 12.12 a | 15.29 b | |
| Jiuyou 27 zhan | CK | 9.92 b | 16.42 a | 10.28 a | 17.58 a |
| S | 10.56 a | 13.90 b | 10.08 a | 13.90 b | |
| Huiliang Youyuehesimiao | CK | 11.95 a | 15.83 a | 9.77 a | 14.84 a |
| S | 9.80 b | 13.72 b | 10.46 a | 13.82 a | |
| Longliang Youyuehesimiao | CK | 11.39 a | 16.17 a | 12.22 a | 16.06 a |
| S | 10.74 b | 13.39 b | 9.57 b | 12.89 b | |
| C Liangyou Huazhan | CK | 10.06 a | 14.95 a | 10.57 a | 16.70 a |
| S | 9.76 a | 13.12 b | 9.47 b | 13.49 b | |
| F-value | V | 42.54 ** | 2.26 | 12.55 ** | 8.19 ** |
| T | 120.92 ** | 210.50 ** | 23.65 ** | 159.09 ** | |
| V × T | 26.01 ** | 2.75 * | 13.53 ** | 2.55 * | |
| Year | Variety | Treatment | Effective Panicles | Grain Number per Panicle | Seeding Rate/% | 1000-Grain Weight/g | Yield/(t·hm−2) |
|---|---|---|---|---|---|---|---|
| /(104·hm−2) | |||||||
| 2021 | Zhenliangyou 2018 | CK | 269.81 a | 187.37 a | 91.56 a | 24.83 a | 11.49 a |
| S | 253.33 b | 178.94 b | 76.18 b | 24.13 b | 8.33 b | ||
| C Liangyou 0861 | CK | 218.97 a | 191.73 a | 86.63 a | 26.71 a | 9.72 a | |
| S | 207.29 b | 165.32 b | 76.10 b | 25.67 b | 6.69 b | ||
| Jingliangyou 534 | CK | 244.68 a | 205.43 a | 83.93 a | 23.40 a | 9.87 a | |
| S | 238.69 b | 184.08 b | 70.04 b | 23.11 a | 7.11 b | ||
| Yangxianyou 919 | CK | 219.76 a | 193.97 a | 83.75 a | 29.89 a | 10.67 a | |
| S | 201.78 b | 177.16 b | 67.45 b | 29.19 b | 7.04 b | ||
| Jiuyou 27 zhan | CK | 246.67 a | 195.15 a | 87.04 a | 27.68 a | 11.60 a | |
| S | 244.16 a | 180.00 b | 71.15 b | 26.93 b | 8.42 b | ||
| Huiliang Youyuehesimiao | CK | 237.39 a | 208.35 a | 83.39 a | 25.27 a | 10.42 a | |
| S | 233.22 a | 193.53 b | 65.69 b | 25.04 a | 7.42 b | ||
| Longliang Youyuehesimiao | CK | 230.22 a | 186.17 a | 88.20 a | 24.68 a | 10.09 a | |
| S | 227.10 a | 169.60 b | 70.11 b | 24.22 b | 7.08 b | ||
| C Liangyou Huazhan | CK | 284.45 a | 161.68 a | 85.29 a | 23.36 a | 9.16 a | |
| S | 263.88 b | 160.22 a | 69.77 b | 22.96 b | 6.77 b | ||
| F-value | V | 367.85 ** | 238.06 ** | 6.59 * | 830.76 ** | 19.78 ** | |
| T | 161.99 ** | 750.24 ** | 336.23 ** | 116.25 ** | 538.82 ** | ||
| V × T | 10.15 ** | 23.57 ** | 29.57 ** | 3.29 * | 119.84 ** |
| Year | Variety | Treatment | Effective Panicles | Grain Number per Panicle | Seeding Rate/% | 1000-Grain Weight/g | Yield/(t·hm−2) |
|---|---|---|---|---|---|---|---|
| /(104·hm−2) | |||||||
| 2022 | Zhenliangyou 2018 | CK | 255.57 a | 187.01 a | 87.95 a | 24.67 a | 10.36 a |
| S | 249.80 b | 185.60 a | 67.07 b | 24.19 b | 7.52 b | ||
| C Liangyou 0861 | CK | 226.30 a | 196.90 a | 82.58 a | 26.84 a | 9.87 a | |
| S | 212.34 b | 194.74 a | 61.15 b | 26.30 b | 6.65 b | ||
| Jingliangyou 534 | CK | 274.14 a | 180.49 a | 85.83 a | 23.06 a | 9.79 a | |
| S | 265.91 b | 172.43 b | 68.22 b | 22.57 b | 7.06 b | ||
| Yangxianyou 919 | CK | 194.72 a | 193.73 a | 90.56 a | 30.55 a | 10.44 a | |
| S | 182.55 b | 174.12 b | 72.46 b | 29.88 b | 6.88 b | ||
| Jiuyou 27 zhan | CK | 225.99 a | 200.80 a | 88.28 a | 28.55 a | 11.44 a | |
| S | 221.70 a | 188.80 b | 64.92 b | 27.73 b | 7.54 b | ||
| Huiliang Youyuehesimiao | CK | 227.35 a | 199.68 a | 88.61 a | 25.93 a | 10.43 a | |
| S | 221.81 b | 183.87 b | 66.94 b | 25.25 b | 6.89 b | ||
| Longliang Youyuehesimiao | CK | 211.12 a | 206.39 a | 89.16 a | 24.60 a | 9.56 a | |
| S | 210.57 a | 187.57 b | 71.58 b | 23.89 b | 6.75 b | ||
| C Liangyou Huazhan | CK | 269.05 a | 200.55 a | 81.35 a | 23.43 a | 10.28 a | |
| S | 245.01 b | 187.11 b | 69.63 b | 22.93 b | 7.32 b | ||
| F-value | V | 440.32 ** | 33.73 ** | 136.44 ** | 936.63 ** | 45.20 ** | |
| T | 104.96 ** | 172.20 ** | 11,395.86 ** | 107.96 ** | 5177.53 ** | ||
| V × T | 8.13 ** | 8.09 ** | 52.31 ** | 0.61 | 11.70 ** |
| Numbering | Variety | Numbering | Variety |
|---|---|---|---|
| 1 | Zhenliangyou 2018 | 5 | Jiuyou 27 zhan |
| 2 | C Liangyou 0861 | 6 | Huiliang Youyuehesimiao |
| 3 | Jingliangyou 534 | 7 | Longliang Youyuehesimiao |
| 4 | Yangxianyou 919 | 8 | C Langyou Huazhan |
Disclaimer/Publisher’s Note: The statements, opinions and data contained in all publications are solely those of the individual author(s) and contributor(s) and not of MDPI and/or the editor(s). MDPI and/or the editor(s) disclaim responsibility for any injury to people or property resulting from any ideas, methods, instructions or products referred to in the content. |
© 2023 by the authors. Licensee MDPI, Basel, Switzerland. This article is an open access article distributed under the terms and conditions of the Creative Commons Attribution (CC BY) license (https://creativecommons.org/licenses/by/4.0/).
Share and Cite
Ma, P.; Zhou, L.; Liao, X.-H.; Zhang, K.-Y.; Aer, L.-S.; Yang, E.-L.; Deng, J.; Zhang, R.-P. Effects of Low Light after Heading on the Yield of Direct Seeding Rice and Its Physiological Response Mechanism. Plants 2023, 12, 4077. https://doi.org/10.3390/plants12244077
Ma P, Zhou L, Liao X-H, Zhang K-Y, Aer L-S, Yang E-L, Deng J, Zhang R-P. Effects of Low Light after Heading on the Yield of Direct Seeding Rice and Its Physiological Response Mechanism. Plants. 2023; 12(24):4077. https://doi.org/10.3390/plants12244077
Chicago/Turabian StyleMa, Peng, Lin Zhou, Xue-Huan Liao, Ke-Yuan Zhang, Li-Se Aer, Er-Luo Yang, Jun Deng, and Rong-Ping Zhang. 2023. "Effects of Low Light after Heading on the Yield of Direct Seeding Rice and Its Physiological Response Mechanism" Plants 12, no. 24: 4077. https://doi.org/10.3390/plants12244077
APA StyleMa, P., Zhou, L., Liao, X.-H., Zhang, K.-Y., Aer, L.-S., Yang, E.-L., Deng, J., & Zhang, R.-P. (2023). Effects of Low Light after Heading on the Yield of Direct Seeding Rice and Its Physiological Response Mechanism. Plants, 12(24), 4077. https://doi.org/10.3390/plants12244077
