Genus Amorphophallus: A Comprehensive Overview on Phytochemistry, Ethnomedicinal Uses, and Pharmacological Activities
Abstract
1. Introduction
2. Methodology
3. Ethnomedicinal Uses
4. Chemical Constituents
4.1. Steroids
4.2. Flavonoids and Other Phenolic Compounds
4.3. Xanthones
4.4. Terpenoids
4.5. Anthocyanins
4.6. Vitamins
4.7. Fatty Acids
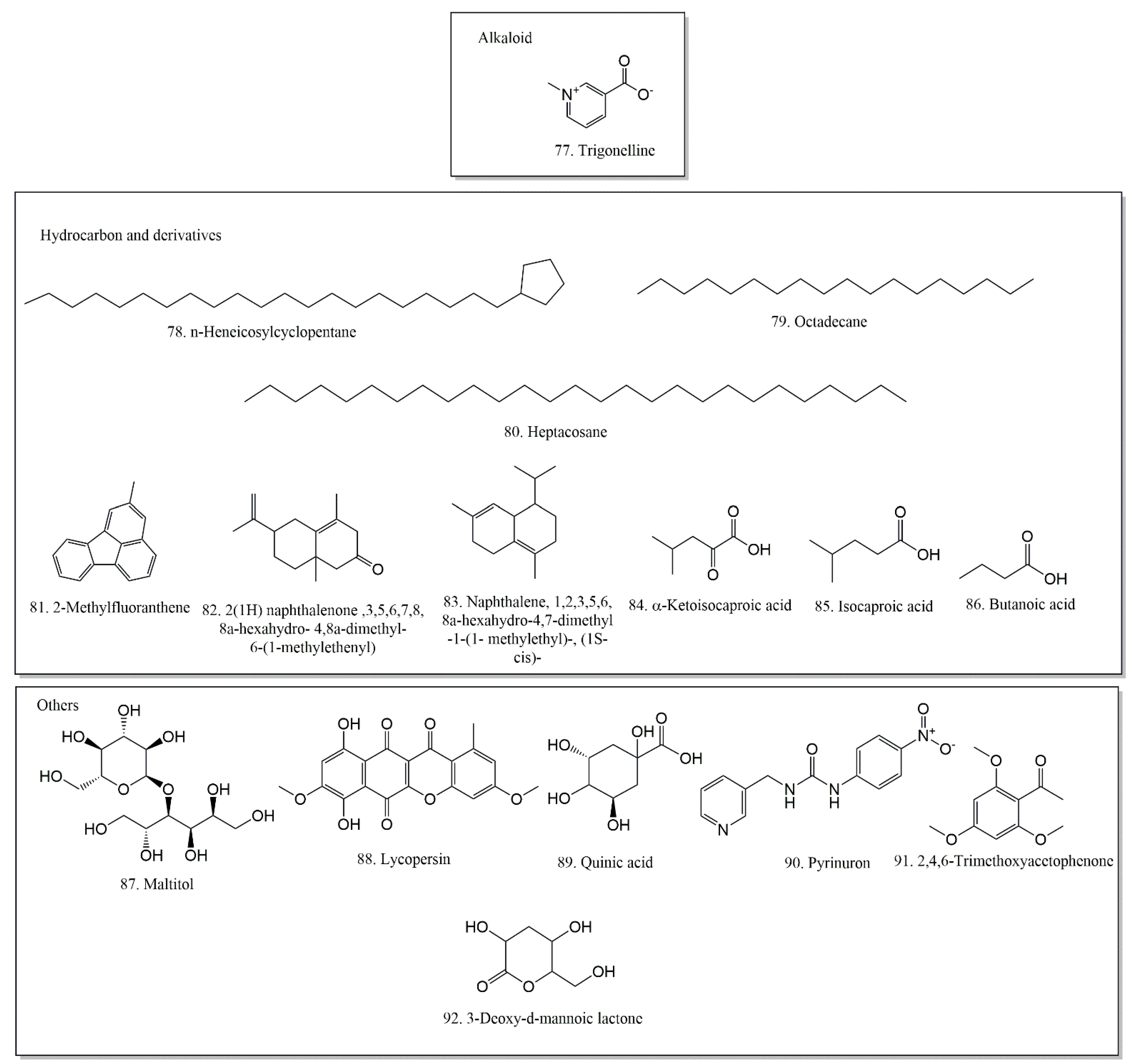
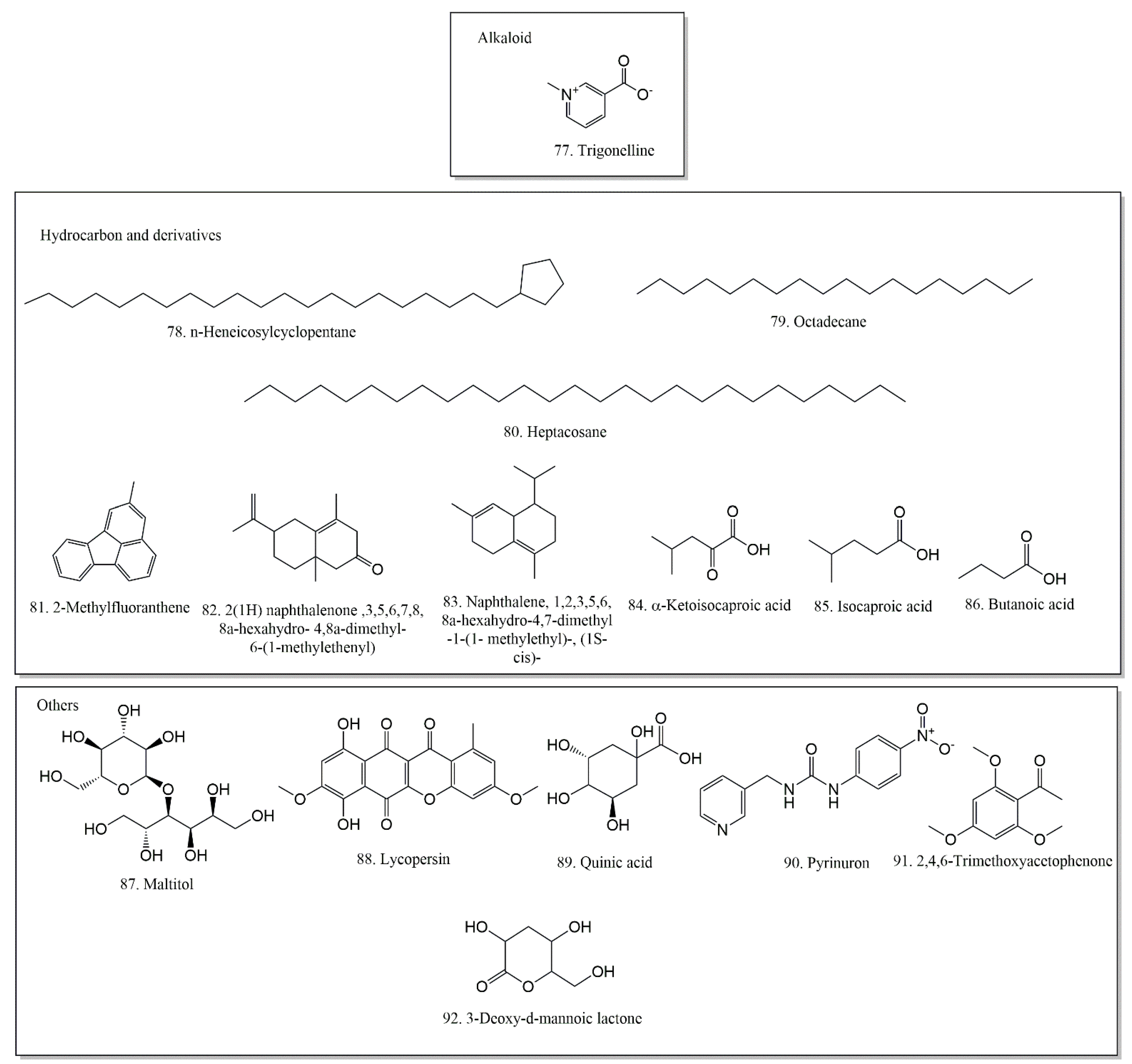
4.8. Alkaloids
4.9. Hydrocarbon and Derivatives
4.10. Others
5. Pharmacological Properties
5.1. Analgesic Activity
5.2. Neuroprotective Effects
5.3. Hepatoprotective Activity
5.4. Anti-Inflammatory Activity
5.5. Anticonvulsant Effects
5.6. Antibacterial Activity
5.7. Antioxidant Activity
5.8. Prevention of Gastrointestinal Disturbance
5.9. Anticancer Effect
5.9.1. Breast Cancer
5.9.2. Colon Cancer
5.9.3. Gastric Cancer
5.9.4. Hepatocellular Carcinoma
5.10. Reduction of Blood Glucose
5.11. Antiobesity Effect
5.12. Other Activities
6. Safety and Toxicity Studies
7. Concluding Remarks and Future Directions
Author Contributions
Funding
Institutional Review Board Statement
Informed Consent Statement
Data Availability Statement
Acknowledgments
Conflicts of Interest
Abbreviations
| APAE | Aqueous extracts of A. paeoniifolius |
| ALP | Alkaline phosphatase |
| BRN | Bilirubin |
| CAT | Catalase |
| DTH | Delayed-type hypersensitivity |
| GPx | Gutathione peroxidase |
| GSH | Glutathione |
| GST | Glutathione-S-transferase |
| GR | Glutathione reductase |
| MEAC | Methanolic extract of A. campanulatus |
| APME | Methanolic extracts of A. paeoniifolius |
| ACME | Methanol extracts of the A. campanulatus |
| OS | Oxidative stresses |
| PEEs | Petroleum ether extracts |
| SGOT | Serum oxaloacetate transaminase |
| SOD | Superoxide dismutase |
| SGPT | Serum glutamate pyruvate transaminase |
| TPS | Terpene synthase |
| TAA | Thioacetamide |
| TuAK | Tuber extracts of A. konjac |
| TBARS | Thiobarbituric acid reactive substances |
References
- Claudel, C. The Many Elusive Pollinators in the Genus Amorphophallus. Arthropod. Plant Interact. 2021, 15, 833–844. [Google Scholar] [CrossRef]
- Singh, A.; Wadhwa, N. A Review on Multiple Potential of Aroid: Amorphophallus paeoniifolius. Int. J. Pharm. Sci. Rev. Res. 2014, 24, 55–60. [Google Scholar]
- Misra, R.S.; Shivlingaswamy, T.M.; Maheshwari, S.K. Improved Production Technology for Commercial and Seed Crops of Elephant Foot Yam. J. Root Crops 2001, 27, 197–201. [Google Scholar]
- O’Hair, S.K.; Maynard, D.N. Vegetables of Tropical Climates | Edible Aroids. In Encyclopedia of Food Sciences and Nutrition; ScienceDirect: Amsterdam, The Netherlands, 2003; pp. 5970–5973. [Google Scholar] [CrossRef]
- McClatchey, W.C. Wild Food Plants of Remote Oceania. Acta Soc. Bot. Pol. 2012, 81, 371–380. [Google Scholar] [CrossRef][Green Version]
- Chua, M.; Baldwin, T.C.; Hocking, T.J.; Chan, K. Traditional Uses and Potential Health Benefits of Amorphophallus konjac K. Koch Ex N.E.Br. J. Ethnopharmacol. 2010, 128, 268–278. [Google Scholar] [CrossRef]
- Dey, Y.N.; Wanjari, M.M.; Srivastava, B.; Kumar, D.; Sharma, D.; Sharma, J.; Gaidhani, S. Beneficial Effect of Standardized Extracts of Amorphophallus paeoniifolius Tuber and Its Active Constituents on Experimental Constipation in Rats. Heliyon 2020, 6, e04023. [Google Scholar] [CrossRef] [PubMed]
- Butnariu, M.; Quispe, C.; Koirala, N.; Khadka, S.; Salgado-Castillo, C.M.; Akram, M.; Anum, R.; Yeskaliyeva, B.; Cruz-Martins, N.; Kumar, M.M.M.; et al. Bioactive Effects of Curcumin in Human Immunodeficiency Virus Infection Along with the Most Effective Isolation Techniques and Type of Nanoformulations. Int. J. Nanomed. 2022, 17, 3619–3632. [Google Scholar] [CrossRef] [PubMed]
- Dey, Y.; Srikanth, N.; Wanjari, M.; Ota, S.; Jamal, M. A Phytopharmacological Review on an Important Medicinal Plant—Amorphophallus Paeoniifolius. AYU (Int. Q. J. Res. Ayurveda) 2012, 33, 27. [Google Scholar] [CrossRef]
- Behera, S.S.; Ray, R.C. Konjac Glucomannan, a Promising Polysaccharide of Amorphophallus konjac K. Koch in Health Care. Int. J. Biol. Macromol. 2016, 92, 942–956. [Google Scholar] [CrossRef]
- Shilpi, J.A.; Ray, P.K.; Sarder, M.M.; Uddin, S.J. Analgesic Activity of Amorphophallus campanulatus Tuber. Fitoterapia 2005, 76, 367–369. [Google Scholar] [CrossRef] [PubMed]
- Santosa, E.; Sugiyama, N. Amorphophallus Species in East Nusa Tenggara Islands, Indonesia. Trop. Agric. Dev. 2016, 60, 53–57. [Google Scholar]
- Reddy, S.K.; Kumar, S.A.; Kumar, V.D.; Ganapaty, S. Anti-Inflammatory and Analgesic Activities of Amorphophallus Bulbifer (Roxb) Kunth Whole Plant. Trop. J. Pharm. Res. 2012, 11, 971–976. [Google Scholar] [CrossRef][Green Version]
- Raj, S.; Gothandam, K.M. Immunomodulatory Activity of Methanolic Extract of Amorphophallus commutatus Var. Wayanadensis under Normal and Cyclophosphamide Induced Immunosuppressive Conditions in Mice Models. Food Chem. Toxicol. 2015, 81, 151–159. [Google Scholar] [CrossRef] [PubMed]
- Norman, A.W.; Litwack, G. Steroid Hormones: Chemistry, Biosynthesis, and Metabolism. Hormones 1987, 49–100. [Google Scholar] [CrossRef]
- Tzankova, D.; Mateeva, A.; Mitkov, J.; Peikova, L.; Georgieva, M. Development and Validation of RP-HPLC Method for Analytical Characterization of the Anabolic Steroid Methenolone Acetate in Food Supplements. Pharmacia 2022, 69, 151–155. [Google Scholar] [CrossRef]
- Srivastava, S. Phytochemical and Nutritional Evaluation of Amorphophallus campanulatus (Roxb.) Blume Corm. J. Nutr. Food Sci. 2014, 4, 1000274. [Google Scholar] [CrossRef]
- Muthukumaran, P.; Karthikeyan, R.; Ramasamy, N.K. GC-MS Analysis of Bio-Active Compounds in the Ethanolic Extract of Amorphophallus Sylvaticus. Int. J. Agric. Life Sci. 2020, 6, 284–287. [Google Scholar] [CrossRef]
- Dey, Y.N.; Sharma, G.; Wanjari, M.M.; Kumar, D.; Lomash, V.; Jadhav, A.D. Beneficial Effect of Amorphophallus paeoniifolius Tuber on Experimental Ulcerative Colitis in Rats. Pharm. Biol. 2017, 55, 53–62. [Google Scholar] [CrossRef]
- Dey, Y.N.; De, S.; Ghosh, A.K. Evaluation of Analgesic Activity of Methanolic Extract of Amorphophallus paeoniifolius Tuber by Tail Flick and Acetic Acid-Induced Writhing Response Method. Int. J. Pharma Bio Sci. 2010, 1, 662–668. [Google Scholar]
- Hurkadale, P.J.; Shelar, P.A.; Palled, S.G.; Mandavkar, Y.D.; Khedkar, A.S. Hepatoprotective Activity of Amorphophallus paeoniifolius Tubers against Paracetamol-Induced Liver Damage in Rats. Asian Pac. J. Trop. Biomed. 2012, 2, S238–S242. [Google Scholar] [CrossRef]
- Muthukumaran, P.; Saraswathy, N.; Yuvapriya, S.; Balan, R.; Gokhul, V.B.; Indumathi, P. In Vitro Phytochemical Screening and Antibacterial Activity of Amorphophallus paeonifolius (Dennst. Nicolson) against Some Human Pathogens. J. Chem. Pharm. Res. 2016, 8, 388–392. [Google Scholar]
- Fantini, M.; Benvenuto, M.; Masuelli, L.; Frajese, G.V.; Tresoldi, I.; Modesti, A.; Bei, R. In Vitro and in Vivo Antitumoral Effects of Combinations of Polyphenols, or Polyphenols and Anticancer Drugs: Perspectives on Cancer Treatment. Int. J. Mol. Sci. 2015, 16, 9236–9282. [Google Scholar] [CrossRef]
- Iwashina, T.; Destri; Rahayu, S.; Tsutsumi, C.; Yuzammi; Mizuno, T.; Widyatmoko, D. Flavonoids and Xanthones from the Leaves of Amorphophallus titanum (Araceae). Biochem. Syst. Ecol. 2020, 90, 104036. [Google Scholar] [CrossRef]
- Van, H.T.; My Nguyen, H.H.; An Huynh, N.T.; Le, V.S.; Tran, G.B. Chemical Composition and Antibacterial Activities of the Ethanol Extracts from the Leaves and Tubers of Amorphophallus pusillus. Plant Sci. Today 2020, 7, 296–301. [Google Scholar] [CrossRef]
- Iwashina, T.; Uehara, A.; Kitajima, J. Anthocyanins and Other Flavonoids from Amorphophallus titanium Having Largest Inflorescence in Plant Kingdom, and Other Two Species. Bull. Natl. Mus. Nat. Sci. Ser. B Bot. 2015, 41, 33–44. [Google Scholar]
- Khan, A.; Rahman, M.; Islam, M.S. Antibacterial, Antifungal and Cytotoxic Activities of 3,5-Diacetyltambulin Isolated from Amorphophallus campanulatus Blume Ex. Decne. Daru 2008, 16, 239–244. [Google Scholar]
- Majumder, M.; Sharma, M.; Maiti, S.; Mukhopadhyay, R. Edible Tuber Amorphophallus paeoniifolius (Dennst.) Extract Induces Apoptosis and Suppresses Migration of Breast Cancer Cells. Nutr. Cancer 2021, 73, 2477–2490. [Google Scholar] [CrossRef]
- Shete, C.C.; Wadkar, S.S.; Gaikwad, N.B.; Patil, K.S. Antioxidant Activity and Antibacterial Screening of Tubers of Amorphophallus Konkanensis and Amorphophallus Bulbifer (Araceae). Int. J. Pharm. Pharm. Sci. 2014, 6, 431–436. [Google Scholar]
- Sharstry, R.A.; Biradar, S.M.; Mahadevan, K.M.; Habbu, P.V. Isolation and Characterization of Secondary Metabolite from Amorphophallus paeoniifolius for Hepatoprotective Activity. Res. J. Pharm. Biol. Chem. Sci. 2010, 1, 429–437. [Google Scholar]
- Dey, Y.N.; Mahor, S.; Kumar, D.; Wanjari, M.; Gaidhani, S.; Jadhav, A. Gastrokinetic Activity of Amorphophallus paeoniifolius Tuber in Rats. J. Intercult. Ethnopharmacol. 2016, 5, 36–42. [Google Scholar] [CrossRef]
- Dey, Y.N.; Wanjari, M.M.; Kumar, D.; Lomash, V.; Jadhav, A.D. Curative Effect of Amorphophallus paeoniifolius Tuber on Experimental Hemorrhoids in Rats. J. Ethnopharmacol. 2016, 192, 183–191. [Google Scholar] [CrossRef]
- Angayarkanni, J.; Ramkumar, K.M.; Priyadharshini, U.; Ravendran, P. Antioxidant Potential of Amorphophallus paeoniifolius in Relation to Their Phenolic Content. Pharm. Biol. 2010, 48, 659–665. [Google Scholar] [CrossRef] [PubMed]
- Niwa, T.; Murakami, K.; Ohtake, T.; Etoh, H.; Shimizu, A.; Shimizu, Y.; Kato, Y.; Tanaka, H. Peroxynitrite Scavenging Activities of Aromatic Compounds Isolated from Konnyaku, Amorphophallus konjac K.Koch. Biosci. Biotechnol. Biochem. 2002, 66, 1386–1388. [Google Scholar] [CrossRef]
- Kite, G.C.; Hetterscheid, W.L.A. Phylogenetic Trends in the Evolution of Inflorescence Odours in Amorphophallus. Phytochemistry 2017, 142, 126–142. [Google Scholar] [CrossRef] [PubMed]
- Khan, A.; Rahman, M.; Islam, M.S. Antibacterial, Antifungal and Cytotoxic Activities of Salviasperanol Isolated from Amorphophallus campanulatus. Pharm. Biol. 2009, 12, 1187–1191. [Google Scholar] [CrossRef]
- Khan, A.; Rahman, M.; Islam, M. Antibacterial, Antifungal and Cytotoxic Activities of Amblyone Isolated from Amorphophallus campanulatus. Indian J. Pharmacol. 2008, 40, 41–44. [Google Scholar] [CrossRef] [PubMed]
- Li, B.; Xia, J.; Wang, Y.; Xie, B. Grain-Size Effect on the Structure and Antiobesity Activity of Konjac Flour. J. Agric. Food Chem. 2005, 53, 7404–7407. [Google Scholar] [CrossRef]
- Pradeepika, C.; Field, A.; Krishnakumar, I.; Sajeev, I.; Nabi, U.N.; Ms, S. Pharmacology and Phytochemistry of Underexploited Tuber Crops: A Review. J. Pharmacogn. Phytochem. 2018, 7, 1007. [Google Scholar]
- Vijayakumar, G.; MohanKumar, B.S. A Potential Biopesticide from Amorphophallus Paeoniifolious to Increase the Shelf Life of Stored Food Grains. J. Food Process. Preserv. 2021, 45, 15121. [Google Scholar] [CrossRef]
- Van, H.-T.; Tran, N.-B.; Trinh, T.-T.; Vo, N.-T.T.; Le, V.; Pham, T.-V.; Tran, G.-B.; Le, T.-Q.P. Phytochemical Composition and Antibacterial Activity of Ethanol Extract of Amorphophallus lanceolatus Tuber (Araceae). Banat. J. Biotechnol. 2019, X, 5–12. [Google Scholar] [CrossRef]
- Mitra, S.; Tareq, A.M.; Das, R.; Emran, T.B.; Nainu, F.; Chakraborty, A.J.; Ahmad, I.; Tallei, T.E.; Idris, A.M.; Simal-Gandara, J. Polyphenols: A First Evidence in the Synergism and Bioactivities. Food Rev. Int. 2022, 39, 4419–4441. [Google Scholar] [CrossRef]
- Alzand, K.I.; Mohamed, M.A. Flavonoids : Chemistry, Biochemistry and Antioxidant Activity. J. Pharm. Res. 2012, 5, 4013–4020. [Google Scholar]
- Shan, T.; Ma, Q.; Guo, K.; Liu, J.; Li, W.; Wang, F.; Wu, E. Xanthones from Mangosteen Extracts as Natural Chemopreventive Agents: Potential Anticancer Drugs. Curr. Mol. Med. 2011, 11, 666–677. [Google Scholar] [CrossRef]
- Graßmann, J. Terpenoids as Plant Antioxidants. Vitam. Horm. 2005, 72, 505–535. [Google Scholar] [CrossRef] [PubMed]
- Shang, Y.; Venail, J.; Mackay, S.; Bailey, P.C.; Schwinn, K.E.; Jameson, P.E.; Martin, C.R.; Davies, K.M. The Molecular Basis for Venation Patterning of Pigmentation and Its Effect on Pollinator Attraction in Flowers of Antirrhinum. New Phytol. 2011, 189, 602–615. [Google Scholar] [CrossRef]
- Zhang, Y.; Butelli, E.; Martin, C. Engineering Anthocyanin Biosynthesis in Plants. Curr. Opin. Plant Biol. 2014, 19, 81–90. [Google Scholar] [CrossRef]
- Wang, L.S.; Stoner, G.D. Anthocyanins and Their Role in Cancer Prevention. Cancer Lett. 2008, 269, 281–290. [Google Scholar] [CrossRef]
- Tsuda, T.; Horio, F.; Uchida, K.; Aoki, H.; Osawa, T. Dietary Cyanidin 3-O-β-D-Glucoside-Rich Purple Corn Color Prevents Obesity and Ameliorates Hyperglycemia in Mice. J. Nutr. 2003, 133, 2125–2130. [Google Scholar] [CrossRef]
- Mitra, S.; Paul, S.; Roy, S.; Sutradhar, H.; Emran, T.B.; Nainu, F.; Khandaker, M.U.; Almalki, M.; Wilairatana, P.; Mubarak, M.S. Exploring the Immune-Boosting Functions of Vitamins and Minerals as Nutritional Food Bioactive Compounds: A Comprehensive Review. Molecules 2022, 27, 555. [Google Scholar] [CrossRef]
- Calder, P.C. Functional Roles of Fatty Acids and Their Effects on Human Health. J. Parenter. Enter. Nutr. 2015, 39, 18S–32S. [Google Scholar] [CrossRef]
- Qiu, S.; Sun, H.; Ah, Z.; Xu, H.-Y.; Yan, G.-L.; Han, Y.; Wang, X.-J. Natural Alkaloids: Basic Aspects, Biological Roles, and Future Perspectives. Chin. J. Nat. Med. 2014, 12, 401–406. [Google Scholar] [CrossRef]
- Koppmann, R. Chemistry of Volatile Organic Compounds in the Atmosphere. In Handbook of Hydrocarbon and Lipid Microbiology; SpringerLink: Berlin/Heidelberg, Germany, 2010; pp. 267–277. [Google Scholar] [CrossRef]
- Raj, S.; Jayaraj, R.; Gothandam, K. Anti-Inflammatory and Analgesic Potential of Amorphophallus commutatus Var. Wayanadensis and Its Inhibitory Effect on Inflammatory Mediators in Lipopolysaccharide-Stimulated Macrophages. Pharmacogn. Mag. 2021, 17, 205. [Google Scholar] [CrossRef]
- Mitrofanis, J. Neuroprotection in Animal Models of Parkinson’s Disease: Exploring Exercise, Sound, and Light. Genet. Neurol. Behav. Diet Park. Dis. 2020, 2, 663–676. [Google Scholar] [CrossRef]
- Das, S.S.; Sen, M.; Dey, Y.N.; De, S.; Ghosh, A.K. Effects of Petroleum Ether Extract of Amorphophallus paeoniifolius Tuber on Central Nervous System in Mice. Indian J. Pharm. Sci. 2009, 71, 651–655. [Google Scholar] [CrossRef]
- Dey, Y.N.; De, S.; Ghosh, A.K.; Gaidhani, S.; Kumari, S.; Jamal, M. Synergistic Depressant Activity of Amorphophallus paeoniifolius in Swiss Albino Mice. J. Pharmacol. Pharmacother. 2011, 2, 121–123. [Google Scholar] [CrossRef] [PubMed]
- Saha, A.; Bose, S.; Banerjee, S. Anti-Anxiety Activity of Amorphophallus paeoniifolius Tuber in Mice. J. Pharm. Res. 2013, 6, 748–752. [Google Scholar] [CrossRef]
- Chen, D. Neuroprotective Effect of Amorphophallus campanulatus in STZ Induced Alzheimer Rat Model. Afr. J. Tradit. Complement. Altern. Med. 2016, 13, 47–54. [Google Scholar] [CrossRef] [PubMed]
- Nie, S.; Cui, S.W.; Xie, M. Tea Polysaccharide. Bioact. Polysacch. 2018, 349–394. [Google Scholar] [CrossRef]
- Singh, S.K.; Rajasekar, N.; Armstrong Vinod Raj, N.; Paramaguru, R. Hepatoprotective and Antioxidant Effects of Amorphophallus campanulatus against Acetaminophen-Induced Hepatotoxicity in Rats. Int. J. Pharm. Pharm. Sci. 2011, 3, 202–205. [Google Scholar]
- Jain, S.; Dixit, V.K.; Malviya, N.; Ambawatia, V. Antioxidant and Hepatoprotective Activity of Ethanolic and Aqueous Extracts of Amorphophallus campanulatus Roxb. Tubers. Acta Pol. Pharm.-Drug Res. 2009, 66, 423–428. [Google Scholar]
- Basu, S.; Das, M.; Datta, G. Protective Activity of Ethanolic Extract of Amorphophallus campanulatus against Ethanol Induced Hepatotoxicity in Rats. Int. J. Pharm. Pharm. Sci. 2013, 5, 412–417. [Google Scholar]
- Raj, S.; Gothandam, K.M. Hepatoprotective Effect of Polyphenols Rich Methanolic Extract of Amorphophallus commutatus Var. Wayanadensis against CCl4 Induced Hepatic Injury in Swiss Albino Mice. Food Chem. Toxicol. 2014, 67, 105–112. [Google Scholar] [CrossRef]
- Ginwala, R.; Bhavsar, R.; Chigbu, D.G.I.; Jain, P.; Khan, Z.K. Potential Role of Flavonoids in Treating Chronic Inflammatory Diseases with a Special Focus on the Anti-Inflammatory Activity of Apigenin. Antioxidants 2019, 8, 35. [Google Scholar] [CrossRef]
- Miles, E.A.; Calder, P.C. Effects of Citrus Fruit Juices and Their Bioactive Components on Inflammation and Immunity: A Narrative Review. Front. Immunol. 2021, 12, 712608. [Google Scholar] [CrossRef] [PubMed]
- Butnariu, M.; Quispe, C.; Herrera-Bravo, J.; Sharifi-Rad, J.; Singh, L.; Aborehab, N.M.; Bouyahya, A.; Venditti, A.; Sen, S.; Acharya, K.; et al. The Pharmacological Activities of Crocus Sativus L.: A Review Based on the Mechanisms and Therapeutic Opportunities of Its Phytoconstituents. Oxid. Med. Cell. Longev. 2022, 2022, 8214821. [Google Scholar] [CrossRef] [PubMed]
- Butnariu, M.; Quispe, C.; Herrera-Bravo, J.; Fernández-Ochoa, Á.; Emamzadeh-Yazdi, S.; Adetunji, C.O.; Memudu, A.E.; Otlewska, A.; Bogdan, P.; Antolak, H.; et al. A Review on Tradescantia: Phytochemical Constituents, Biological Activities and Health-Promoting Effects. Front. Biosci.—Landmark 2022, 27, 197. [Google Scholar] [CrossRef] [PubMed]
- Fioranelli, M.; Bottaccioli, A.G.; Bottaccioli, F.; Bianchi, M.; Rovesti, M.; Roccia, M.G. Stress and Inflammation in Coronary Artery Disease: A Review Psychoneuroendocrineimmunology-Based. Front. Immunol. 2018, 9, 2031. [Google Scholar] [CrossRef]
- De, S.; Dey, Y.N.; Ghosh, A.K. Anti-Inflammatory Activity of Methanolic Extract Of Amorphophallus paeoniifolius and Its Possible Mechanism. Int. J. Pharma Bio Sci. 2010, 1, 1–8. [Google Scholar]
- Onishi, N.; Kawamoto, S.; Nishimura, M.; Nakano, T.; Aki, T.; Shigeta, S.; Shimizu, H.; Hashimoto, K.; Ono, K. The Ability of Konjac-Glucomannan to Suppress Spontaneously Occurring Dermatitis in NC/Nga Mice Depends upon the Particle Size. BioFactors 2004, 21, 163–166. [Google Scholar] [CrossRef]
- Dey, Y.; Ota, S.; De, S.; Gaidhani, S. Effects of the Petroleum Ether Extract of Amorphophallus paeoniifolius on Experimentally Induced Convulsion in Mice. Int. J. Nutr. Pharmacol. Neurol. Dis. 2012, 2, 132. [Google Scholar] [CrossRef]
- Kadali, V.N.; Ramesh, T.; Pola, S.R.; Sandeep, B. V Assessment of Antibacterial Activity of Amorphophallus paeoniifolius Tuber and Its Peel Extracts. Trop. Plant Res. 2016, 3, 172–175. [Google Scholar]
- Abu Nayem, S.M.; Sultana, N.; Haque, M.A.; Miah, B.; Hasan, M.M.; Islam, T.; Hasan, M.M.; Awal, A.; Uddin, J.; Aziz, M.A.; et al. Green Synthesis of Gold and Silver Nanoparticles by Using Amorphophallus paeoniifolius Tuber Extract and Evaluation of Their Antibacterial Activity. Molecules 2020, 25, 4773. [Google Scholar] [CrossRef] [PubMed]
- Kim, D.S.; Lim, S. Bin Extraction of Flavanones from Immature Citrus Unshiu Pomace: Process Optimization and Antioxidant Evaluation. Sci. Rep. 2020, 10, 19950. [Google Scholar] [CrossRef] [PubMed]
- Butnariu, M.; Quispe, C.; Herrera-Bravo, J.; Pentea, M.; Sarac, I.; Küşümler, A.S.; Özçelik, B.; Painuli, S.; Semwal, P.; Imran, M.; et al. Papaver Plants: Current Insights on Phytochemical and Nutritional Composition Along with Biotechnological Applications. Oxid. Med. Cell. Longev. 2022, 2022, 2041769. [Google Scholar] [CrossRef]
- Ansil, P.N.; Prabha, S.P.; Nitha, A.; Wills, P.J.; Jazaira, V.; Latha, M.S. Curative Effect of Amorphophallus campanulatus (Roxb.) Blume. Tuber Methanolic Extract against Thioacetamide Induced Oxidative Stress in Experimental Rats. Asian Pac. J. Trop. Biomed. 2012, 2, S83–S89. [Google Scholar] [CrossRef]
- Ansil, P.N.; Nitha, A.; Prabha, S.P.; Wills, P.J.; Jazaira, V.; Latha, M.S. Protective Effect of Amorphophallus campanulatus (Roxb.) Blume Tuber against Thioacetamide Induced Oxidative Stress in Rats. Asian Pac. J. Trop. Med. 2011, 4, 870–877. [Google Scholar] [CrossRef]
- Basu, S.; Das, M.; Sen, A.; Datta, G. Protective Role of Crude Extract of Amorphophallus campanulatus Against Ethanol-Induced Oxidative Renal Damage. Asian J. Pharm. Clin. Res. 2018, 11, 240. [Google Scholar] [CrossRef][Green Version]
- Madhurima, P.; Kuppast, I.J.; Mankani, K.L. A Review on Amorphophallus Paeoniifolius. Int. J. Adv. Sci. Res. Technol. Issue 2012, 2, 99–111. [Google Scholar]
- Nataraj, H.N.; Murthy, R.L.N.; Setty, S.R. In Vitro Evaluation of Gastro-Protective Activity of Suran—A Possible Explanation Through Hptlc Analysis. Int. Res. J. Pharm. 2011, 2, 103–106. [Google Scholar]
- Widjanarko, S.B.; Wijayanti, N.; Sutrisno, A. Laxative Potential of the Konjac Flour (Amorphophallus Muelleri Blume) in Treatment of Loperamide Induced Constipation on Sprague Dawley Rats. Int. J. Med. Heal. Biomed. Bioeng. Pharm. Eng. 2013, 7, 729–733. [Google Scholar]
- Butnariu, M.; Quispe, C.; Herrera-Bravo, J.; Helon, P.; Kukula-Koch, W.; López, V.; Les, F.; Vergara, C.V.; Alarcón-Zapata, P.; Alarcón-Zapata, B.; et al. The Effects of Thymoquinone on Pancreatic Cancer: Evidence from Preclinical Studies. Biomed. Pharmacother. 2022, 153, 113364. [Google Scholar] [CrossRef] [PubMed]
- Raj, S.; Jayaraj, R.; Kodiveri Muthukaliannan, G. Chemical Profiling and Evaluation of Antioxidant and Anticancer Potential of Tuber Crop Amorphophallus commutatus Var. Wayanadensis. Plant Foods Hum. Nutr. 2022, 77, 68–76. [Google Scholar] [CrossRef] [PubMed]
- Ansil, P.N.; Wills, P.J.; Varun, R.; Latha, M.S. Cytotoxic and Apoptotic Activities of Amorphophallus campanulatus (Roxb.) Bl. Tuber Extracts against Human Colon Carcinoma Cell Line HCT-15. Saudi J. Biol. Sci. 2014, 21, 524–531. [Google Scholar] [CrossRef] [PubMed]
- Ansil, P.N.; Prabha, S.P.; Nitha, A.; Latha, M.S. Chemopreventive Effect of Amorphophallus campanulatus (Roxb.) Blume Tuber against Aberrant Crypt Foci and Cell Proliferation in 1, 2-Dimethylhydrazine Induced Colon Carcinogenesis. Asian Pac. J. Cancer Prev. 2013, 14, 5331–5339. [Google Scholar] [CrossRef]
- Chen, X.; Yuan, L.Q.; Li, L.J.; Lv, Y.; Chen, P.F.; Pan, L. Suppression of Gastric Cancer by Extract from the Tuber of Amorphophallus konjac via Induction of Apoptosis and Autophagy. Oncol. Rep. 2017, 38, 1051–1058. [Google Scholar] [CrossRef] [PubMed]
- Ansil, P.N.; Nitha, A.; Prabha, S.P.; Latha, M.S. Curative Effect of Amorphophallus campanulatus (Roxb.) Blume. Tuber on N-Nitrosodiethylamine-Induced Hepatocellular Carcinoma in Rats. J. Environ. Pathol. Toxicol. Oncol. 2014, 33, 205–218. [Google Scholar] [CrossRef]
- Pan, L.; Chen, P. In Vitro and in Vivo Suppression of Hepatocellular Carcinoma by Amorphophallus konjac Tuber through Regulation of Survivin and Bax. Transl. Cancer Res. 2018, 7, 240–247. [Google Scholar] [CrossRef]
- Ansil, P.N.; Wills, P.J.; Varun, R.; Latha, M.S. Cytotoxic and Apoptotic Activities of Amorphophallus campanulatus Tuber Extracts against Human Hepatoma Cell Line. Res. Pharm. Sci. 2014, 9, 269–277. [Google Scholar]
- Goel, R.; Bhatia, D.; Gilani, S.J.; Katiyar, D. Medicinal Plants as Antidiabetics: A Review. Int Bull Drug Res. 2012, 1, 100–107. [Google Scholar]
- Papathanasopoulos, A.; Camilleri, M. Dietary Fiber Supplements: Effects in Obesity and Metabolic Syndrome and Relationship to Gastrointestinal Functions. Gastroenterology 2010, 138, 65–72.e2. [Google Scholar] [CrossRef]
- Gamboa-Gómez, C.I.; Guerrero-Romero, F.; Sánchez-Meraz, M.A.; Simental-Mendía, L.E. Hypoglycemic and Antioxidant Properties of Konjac (Amorphophallus Konjac) in Vitro and in Vivo. J. Food Biochem. 2020, 44, 13503. [Google Scholar] [CrossRef]
- Rahaman, M.M.; Mehdi Hasan, M.; Hasan Badal, I.; Swarna, A.; Rahman, S.; Rahmatullah, M. A Preliminary Antihyperglycemic and Antinociceptive Activity Evaluation of Amorphophallus campanulatus Corms. Int. J. Pharm. Pharm. Sci. 2014, 6, 613–616. [Google Scholar]
- Harijati, N.; Widyarti, S.; Azrianingsih, R. Effect of Dietary Amorphophallus Sp From East Java on LDL-C Rats (Rattus novergicus Wistar Strain). J. Trop. Life Sci. 2012, 1, 50–54. [Google Scholar] [CrossRef][Green Version]
- Benil, P.B.; Lekshmi, R.; Viswanathan, N.; Jollykutty, E.; Rajakrishnan, R.; Thomas, J.; Alfarhan, A.H. Combined Efficacy of Vigna radiata (L.) R. Wilczek and Amorphophallus paeoniifolius (Dennst.) Nicolson on Serum Lipids in Albino Rats. Saudi J. Biol. Sci. 2017, 24, 1249–1254. [Google Scholar] [CrossRef]
- Safitri, A.H.; Tyagita, N.; Nasihun, T. Porang Glucomannan Supplementation Improves Lipid Profile in Metabolic Syndrome Induced Rats. J. Nat. Remedies 2017, 17, 131–143. [Google Scholar] [CrossRef]
- Akhlaghi, M.; Ghobadi, S.; Mohammad Hosseini, M.; Gholami, Z.; Mohammadian, F. Flavanols Are Potential Anti-Obesity Agents, a Systematic Review and Meta-Analysis of Controlled Clinical Trials. Nutr. Metab. Cardiovasc. Dis. 2018, 28, 675–690. [Google Scholar] [CrossRef]
- Butnariu, M.; Fratantonio, D.; Herrera-Bravo, J.; Sukreet, S.; Martorell, M.; Ekaterina Robertovna, G.; Les, F.; López, V.; Kumar, M.; Pentea, M.; et al. Plant-Food-Derived Bioactives in Managing Hypertension: From Current Findings to Upcoming Effective Pharmacotherapies. Curr. Top. Med. Chem. 2023, 23, 589–617. [Google Scholar] [CrossRef] [PubMed]
- Huang, X.; He, J. Effects of Amorphophallus konjac Refined Powder and Ginkgo Biloba Flavonids on Antioxidation and Antiobesity in RaTS. Acta Nutr. Sin. 2004, 6, wpr-560261. [Google Scholar]
- Li, B.; Xia, J.; Wang, Y.; Xie, B. Structure Characterization and Its Antiobesity of Ball-Milled Konjac Flour. Eur. Food Res. Technol. 2005, 221, 814–820. [Google Scholar] [CrossRef]
- Keithley, J.; Swanson, B. Glucomannan and Obesity: A Critical Review. Altern. Ther. Health Med. 2005, 11, 30–34. [Google Scholar]
- Vasques, C.A.R.; Rossetto, S.; Halmenschlager, G.; Linden, R.; Heckler, E.; Fernandez, M.S.P.; Alonso, J.L.L. Evaluation of the Pharmacotherapeutic Efficacy of Garcinia Cambogia plus Amorphophallus konjac for the Treatment of Obesity. Phyther. Res. 2008, 22, 1135–1140. [Google Scholar] [CrossRef]
- Tripathi, A.S.; Chitra, V.; Sheikh, N.W.; Mohale, D.S.; Dewani, A.P. Immunomodulatory Activity of the Methanol Extract of Amorphophallus campanulatus (Araceae) Tuber. Trop. J. Pharm. Res. 2010, 9, 451–454. [Google Scholar] [CrossRef][Green Version]
- Nandan Dey, Y.; Ghosh, A.K.; Nandan, Y. Evaluation of Anthelmintic Activity of the Methanolic Extract of Amorphophallus paeoniifolius Tuber. Int. J. Pharm. Sci. Res. 2010, 1, 117. [Google Scholar]
- Heggar Venkataramana, S.; Puttaswamy, N.; Kodimule, S. Potential Benefits of Oral Administration of Amorphophallus konjac Glycosylceramides on Skin Health—A Randomized Clinical Study. BMC Complement. Med. Ther. 2020, 20, 26. [Google Scholar] [CrossRef]
- A’yun, R.Q.; Hasanah, U.; Hadi, H.; Mustofa, M.; Nurinda, E.; Kurniasari, Y.; Aprilia, V. Acute Toxicity Study of Porang (Amorphophallus oncophyllus) Flour Macerated with Strobilanthes Crispus in Wistar Rats. Open Access Maced. J. Med. Sci. 2021, 9, 976–981. [Google Scholar] [CrossRef]
- Donowarti, I.; Widjanarko, S.B.; Yunianta, Y.; Pudjiastuti, P. Acute Toxicity Test of Low Calcium Oxalate Porang (Amorphophallus Mueleri BLUME) Flour. Iraqi J. Agric. Sci. 2021, 52, 218–231. [Google Scholar] [CrossRef]
- Nandan De, Y.; Wanjari, M.M.; Kumar, D.; Lomash, V.; Gaidhani, S.N.; Jadhav, A.D. Oral Toxicity of Elephant Foot Yam (Amorphophallus paeoniifolius) Tuber in Mice. J. Pharm. Pharmacogn. Res. 2017, 5, 55–68. [Google Scholar]






| Accepted Names | Common Names | Geographical Location | Plant Part Used | Traditional Uses | References |
|---|---|---|---|---|---|
| A. konjac K. Koch | Devil’s tongue | China, Japan, Southeast Asia | Corm | Detoxification, tumor-suppression, phlegm liquefaction, coughing, asthma, hernia, burns, breast pain, skin, and hematological disorders | [6] |
| A. paeoniifolius | Elephant foot yam, white spot giant arum | India | Corm | Anti-inflammatory, anti-hemorrhoidal, hemostatic, carminative, expectorant, digestive, stomachic, appetizer, anthelmintic, aphrodisiac, liver tonic, emmenagogue, hemorrhoids, rejuvenating and tonic, hemorrhages, coughing, vomiting | [9] |
| A. konjac K. Koch | - | China, Korea, Japan, Indonesia | Tuber | Liver diseases, asthma, piles, abdominal pains, rheumatism, and spleen enlargement | [10] |
| A. campanulatus (Roxb.) Blume | Pungapung, telingo potato, Elephant Yam | Bangladesh | Tuber | Piles, spleen enlargement, asthma, abdominal tumors, boils, abdominal pain, and acute rheumatism | [11] |
| A. muelleri | Porang | Indonesia | Leaves | Astringent, analgesic agent | [12] |
| A. bulbifer (Schott) Blume | Devil’s Tongue | India, Myanmar, Nepal | Rhizomes, petiole, and bulbils | Piles, gonorrhea, hemorrhoids, diarrhea, rheumatic muscular and joint pain | [13] |
| A. commutates var. wayanadensis | Dragon stalk yam | Tropical forest regions of peninsular India | Corms, tubers | Mouth diseases, antidote for snake bites, scabies, antibacterial, hepatoprotective | [14] |
| Compound No. | Compounds | Sources | Plant Part(s) | Ref. |
|---|---|---|---|---|
| Steroids | ||||
| 1 | β-sitosterol | A. campanulatus (Roxb.) Blume | Whole plant | [18] |
| A. paeoniifolius (Dennst.) Nicolson | Tuber | [7,19] | ||
| 2 | γ-sitosterol | A. commutatus var. wayanadensis | Tuber | [14] |
| 3 | Campesterol | A. commutatus var. wayanadensis | Tuber | [14] |
| 4 | Stigmasterol | A. commutatus var. wayanadensis | Tuber | [14] |
| Flavonoids | ||||
| 5 | Vitexin | A. titanum (Becc.) | Leaves | [24] |
| A. pusillus Hett. | Tuber and leaves | [25] | ||
| A. paeoniifolius (Dennst.) Nicolson | Inflorescence | [26] | ||
| A. titanium (Becc.) | Spathe and spadix appendix | [26] | ||
| 6 | Orientin | A. titanum (Becc.) | Leaves | [24] |
| A. pusillus Hett. | Tuber and leaves | [25] | ||
| A. paeoniifolius (Dennst.) Nicolson | Inflorescenes | [26] | ||
| A. titanum (Becc.) | Spathe and spadix appendix | [26] | ||
| 7 | Isovitexin | A. titanum (Becc.) | Leaves | [24] |
| A. rivieri Durieu | Inflorescenes | [26] | ||
| A. paeoniifolius (Dennst.) Nicolson | Inflorescenes | [26] | ||
| A. titanum (Becc.) | Spathe and spadix appendix | [26] | ||
| A. rivieri Durieu | Inflorescenes | [26] | ||
| 8 | Isoorientin | A. titanum (Becc.) | Leaves | [24] |
| A. titanum (Becc.) | Spathe and spadix appendix | [26] | ||
| A. rivieri Durieu | Inflorescenes | [26] | ||
| 9 | Schaftoside | A. titanum (Becc.) | Leaves | [24] |
| A. paeoniifolius (Dennst.) Nicolson | Inflorescenes | [26] | ||
| A. titanum (Becc.) | Spathe and spadix appendix | [26] | ||
| A. pusillus Hett. | Tuber, leaves | [25] | ||
| 10 | Isoschaftoside | A. titanum (Becc.) | Leaves | [24] |
| A. titanum (Becc.) | Spathe | [26] | ||
| 11 | Vicenin-2 | A. paeoniifolius (Dennst.) Nicolson | Inflorescenes | [26] |
| A. titanum (Becc.) | Leaves | [24] | ||
| A. titanum (Becc.) | Spathe | [26] | ||
| 12 | Lucenin-2 | A. titanum (Becc.) | Leaves | [24] |
| A. titanum (Becc.) | Spathe | [26] | ||
| 13 | 3,5-Diacetyltambulin | A. campanulatus (Roxb.) Blume | Corms | [27] |
| 14 | Vitexin 2″-O-glucoside | A. titanum (Becc.) | Spathe | [26] |
| 15 | Isovitexin 2″-O-glucoside | A. titanum (Becc.) | Spathe | [26] |
| 16 | Isovitexin 2″-O-rhamnoside | A. titanum (Becc.) | Spathe | [26] |
| 17 | Isoscoparin X″-O-glucoside | A. titanum (Becc.) | Spathe | [26] |
| 18 | Chrysoeriol 7-O-glucoside | A. titanum (Becc.) | Inflorescenes | [26] |
| 19 | Kaempferol 3-O-robinobioside | A. titanum (Becc.) | Leaves | [24] |
| 20 | Quercetin 3-O-robinobioside | A. titanum (Becc.) | Leaves | [24] |
| 21 | Quercetin 3-O-glucoside | A. paeoniifolius (Dennst.) Nicolson | Inflorescenes | [26] |
| A. rivieri Durieu | Inflorescenes | [26] | ||
| 22 | Kaempferol 3-O-glucoside | A. paeoniifolius (Dennst.) Nicolson | Inflorescenes | [26] |
| 23 | Fisetin | A. paeoniifolius (Dennst.) Nicolson | Tuber | [28] |
| 24 | Luteolin 7-O-glucoside | A. titanum (Becc.) | Leaves | [24] |
| 25 | Quercetin | A. bulbifer (Schott) Blume | Tuber and leaves | [29] |
| A. paeoniifolius (Dennst.) Nicolson | Corms | [30] | ||
| 26 | Cosmosiin | A. paeoniifolius (Dennst.) Nicolson | Tuber | [28] |
| Xanthones | ||||
| 27 | Mangiferin | A. titanum (Becc.) | Leaves | [24] |
| 28 | Isomangiferin | A. titanum (Becc.) | Leaves | [24] |
| Phenolic compounds | ||||
| 29 | Betulinic acid | A. paeoniifolius (Dennst.) Nicolson | Tuber | [19,31,32] |
| 30 | Tannic acid | A. konkanensis | Tuber | [29] |
| 31 | p-coumaric acid | A. bulbifer (Schott) Blume | Tuber, leaves | [33] |
| A. paeoniifolius (Dennst.) Nicolson | Tuber, leaves | [33] | ||
| 32 | Gallic acid | A. bulbifer (Schott) Blume | Tuber, leaves | [29] |
| A. paeoniifolius (Dennst.) Nicolson | Tuber, leaves | [29] | ||
| 33 | Resveratrol | A. paeoniifolius (Dennst.) Nicolson | Tuber, leaves | [29,33] |
| 34 | Catechin | A. bulbifer (Schott) Blume | Tuber | [29] |
| 35 | Phenol, 2-methoxy-4-(2-propenyl)-, acetate | A. sylvaticus (Roxb.) Kunth | Seeds | [18] |
| 36 | 3,4-dihydroxybenzoic acid | A. konjac K. Koch | Roots | [34] |
| Terpenoids | ||||
| 37 | Aromadendrene | A. impressus Ittenb. | Inflorescenes | [35] |
| 38 | Citronellol | A. pulchellus Hett. and Schuit. | Inflorescenes | [35] |
| 39 | Linalool | A. pulchellus Hett. and Schuit. | Inflorescenes | [35] |
| 40 | Nerolidol | A. pulchellus Hett. and Schuit. | Inflorescenes | [35] |
| A. hottae Bogner and Hett. | Inflorescenes | [35] | ||
| 41 | 2,7-Dimethyl-1,7-octadiene | A. abyssinicus (A.Rich.) N.E.Br. | Inflorescenes | [35] |
| 42 | 3,7-Dimethyl 2-octene | A. abyssinicus (A.Rich.) N.E.Br. | Inflorescenes | [35] |
| 43 | Salviasperanol | A. campanulatus (Roxb.) Blume | Tuberous roots | [36] |
| 44 | Amblyone | A. campanulatus (Roxb.) Blume | Tuberous root | [37] |
| 45 | α-Cadinol | A. sylvaticus (Roxb.) Kunth | Seeds | [18] |
| 46 | Cubenol | A. sylvaticus (Roxb.) Kunth | Seeds | [18] |
| 47 | Farnesol | A. sylvaticus (Roxb.) Kunth | Seeds | [18] |
| 48 | α-copaene | A. sylvaticus (Roxb.) Kunth | Seeds | [18] |
| 49 | Caryophyllene | A. sylvaticus (Roxb.) Kunth | Seeds | [18] |
| 50 | Humulene | A. sylvaticus (Roxb.) Kunth | Seeds | [18] |
| 51 | γ-Muurolene | A. sylvaticus (Roxb.) Kunth | Seeds | [18] |
| 52 | Chavibetol | A. sylvaticus (Roxb.) Kunth | Seeds | [18] |
| 53 | α-Cubebene | A. sylvaticus (Roxb.) Kunth | Seeds | [18] |
| 54 | Trans-calamenene | A. sylvaticus (Roxb.) Kunth | Seeds | [18] |
| 55 | Isoaromadendrene epoxide | A. sylvaticus (Roxb.) Kunth | Seeds | [18] |
| 56 | Calarene epoxide | A. sylvaticus (Roxb.) Kunth | Seeds | [18] |
| 57 | Eugenol | A. sylvaticus (Roxb.) Kunth | Seeds | [18] |
| Anthocyanins | ||||
| 58 | Cyanidin 3-O-glucoside | A. titanum (Becc.) | Spathe | [26] |
| A. rivieri Durieu | Inflorescenes | [26] | ||
| 59 | Cyanidin 3-O-rutinoside | A. titanum (Becc.) | Spathe | [26] |
| A. rivieri Durieu | Inflorescenes | [26] | ||
| 60 | Peonidin 3-O-glucoside | A. titanum (Becc.) | Spathe | [26] |
| A. rivieri Durieu | Inflorescenes | [26] | ||
| 61 | Peonidin 3-O-rutinoside | A. titanum (Becc.) | Spathe | [26] |
| A. rivieri Durieu | Inflorescenes | [26] | ||
| A. rivieri Durieu | Inflorescenes | [26] | ||
| 62 | Cyanidin 3-O-rutinoside | A. pusillus Hett. | Tuber, leaves | [25] |
| 63 | Pelargonidin 3-O-glucoside | A. pusillus Hett. | Tuber, leaves | [25] |
| 64 | Peonidin 3-O-rutinoside | A. pusillus Hett. | Tuber, leaves | [25] |
| Vitamins | ||||
| 65 | Pyridoxine (Vitamin B6) | A. paeoniifolius (Dennst.) Nicolson | Tuber | [28] |
| 66 | riboflavin | A. konjac K. Koch | Corm, dormant stem base | [38,39] |
| 67 | β-carotene | A. konjac K. Koch | Corm, dormant stem base | [38,39] |
| 68 | Thiamine | A. konjac K. Koch | Corm, dormant stem base | [38,39] |
| 69 | Niacin | A. konjac K. Koch | Corm, dormant stem base | [38,39] |
| Fatty acid and derivatives | ||||
| 70 | 1-Monopalmitin acid | A. paeoniifolius (Dennst.) Nicolson | Tuber | [28] |
| 71 | Linoleic acid | A. paeoniifolius (Dennst.) Nicolson | corms | [40] |
| A. sylvaticus (Roxb.) Kunth | Seeds | [18] | ||
| 72 | α-linolenic acid | A. paeoniifolius (Dennst.) Nicolson | Corms | [40] |
| A. sylvaticus (Roxb.) Kunth | Seeds | [18] | ||
| 73 | Lauric acid | A. commutatus var. wayanadensis | Tuber | [14] |
| 74 | Palmitic acid | A. commutatus var. wayanadensis | Tuber | [14] |
| 75 | Stearic acid | A. commutatus var. wayanadensis | Tuber | [14] |
| 76 | Methyl jasmonate | A. paeoniifolius (Dennst.) Nicolson | Tuber | [28] |
| Alkaloid | ||||
| 77 | Trigonelline | A. konjac K. Koch | Corm, dormant stem base | [38,39] |
| Hydrocarbon and derivatives | ||||
| 78 | n–Heneicosylcyclopentane | A. lanceolatus Hett. | Tuber | [41] |
| 79 | Octadecane | A. lanceolatus Hett. | Tuber | [41] |
| 80 | Heptacosane | A. lanceolatus Hett. | Tuber | [41] |
| 81 | 2–Methylfluoranthene | A. lanceolatus Hett. | Tuber | [41] |
| 82 | 2(1H) naphthalenone,3,5,6,7,8,8a-hexahydro-4,8a-dimethyl-6-(1-methylethenyl) | A. lanceolatus Hett. | Tuber | [41] |
| 83 | Naphthalene, 1,2,3,5,6,8a-hexahydro-4,7-dimethyl-1-(1-methylethyl)-, (1S-cis)- | A. sylvaticus (Roxb.) Kunth | Seeds | [18] |
| 84 | α-Ketoisocaproic acid | A. myosuroides | Inflorescenes | [35] |
| 85 | Isocaproic acid | A. angustispathus, A. atroviridis, A. linearis, A. saraburiensis | Inflorescenes | [35] |
| 86 | Butanoic acid | A. taurostigma Ittenb., Hett. and Bogner | Inflorescenes | [35] |
| Others | ||||
| 87 | Maltitol (Sugar alcohol) | A. lanceolatus Hett. | Tuber | [41] |
| 88 | Lycopersin (polyketide) | A. lanceolatus Hett. | Tuber | [41] |
| 89 | Quinic acid (cyclic polyol) | A. lanceolatus Hett. | Tuber | [41] |
| 90 | Pyrinuron (Nitroaromatic compound) | A. lanceolatus Hett. | Tuber | [41] |
| 91 | 2,4,6-Trimethoxyacetophenone (acetophenone) | A. sylvaticus (Roxb.) Kunth | Seeds | [18] |
| 92 | 3-Deoxy-d-mannoic lactone (Monosacharide) | A. paeoniifolius (Dennst.) Nicolson | Spathe | [40] |
| Field of Study | Subject | Extracts Used | Dose | Findings | Mechanism of Action | Ref. |
|---|---|---|---|---|---|---|
| Analgesic activity | Swiss albino mice | A. Paeoniifolius methanolic extract | 250 and 500 mg/kg b.w. | Showed analgesic activity | Cyclooxygenase enzyme is blocked, or opioid receptors in the CNS are stimulated | [20] |
| A. commutatus methanolic extract | 200 and 400 mg/kg | Showed analgesic and antinociceptive activity | Via decreasing TNF-α and COX-2 enzyme activity, prostaglandin synthesis | [54] | ||
| Methanolic extract of A. campanulatus tuber | 50–500 mg/kg | Showed analgesic activity | - | [11] | ||
| CNS effect | Swiss albino mice | A. paeoniifolius tuber extract in petroleum ether | 100–1000 mg/kg | There was a substantial reduction in sedation activity and locomotor activity | Showed a depressant effect on the CNS by altering the cortex’s function | [56] |
| A. paeoniifolius petroleum ether extract | 100, 300, and 1000 mg/kg | Showed depressive central nervous system impact mediated through the GABAA receptor | Interacting with the subunit to enhance Cl-channel opening mediated by GABA, cell hyperpolarization, and exerting depressive effects on the CNS | [57] | ||
| A. paeoniifolius tuber ether extract | 100, 300, and 1000 mg/kg | Showed intense CNS depressive action | Reducing locomotor activity | [56] | ||
| A. paeoniifolius petroleum ether extract | 100, 150, and 200 mg/kg | Showed powerful anxiolytic effects dose-dependently | Because of the presence of steroids, lipids, and fixed oil, both the number of entry and the amount of time spent in open arms increased significantly | [58] | ||
| Anti-inflammatory activity | 55 male Wister rats | Methanol extract of A. paeoniifolius | 200 and 400 mg/kg | Exhibited anti-inflammatory activity | Via inhibiting the release of histamine or serotonin | [70] |
| Wistar rats and mice | Hydroalcoholic extract of A. bulbifer | 200 mg/kg | Showed anti-inflammatory properties | Via suppressing prostaglandin synthesis | [13] | |
| Anticonvulsant effect | Isoniazid-induced male albino mice model | Petroleum ether extracts of A. paeoniifolius | 200, 300, and 400 mg/kg | Induced convulsion onset | By boosting the production and release of GABA, thereby facilitating or inhibiting allosteric receptors | [72] |
| Antibacterial activity | In vitro | Ethanolic tuber extract of A. paeoniifolius | 15 μL, 20 μL, and 25 μL | Inhibited growth of bacteria | - | [73] |
| 4 Gram (+)ve bacteria, 6 Gram(−)ve (in vitro) | Amblyone separated from A. campanulatus | 80–160 μg/disc | Amblyone was most active against Bacillus megaterium and least active against Pseudomonas aeruginosa. | - | [37] | |
| Bacterial cultures (in vitro) | Extract of A. paeoniifolius | 20 µL extracts | B. subtilis MTCC 121 and S. aureus MTCC 737 exhibited the most activity with ethyl acetate extract | Because of the extract’s glycosides, phenols, polysterols, tannins, flavonoids, terpenoids, gum, steroids, and mucilage | [22] | |
| S. aureus, B. subtillis, P. aeruginosa, S. typhimurium, E. coli, C. freundii | A. paeoniifolius tuber extract | 25 µL of tuber-mediated synthesized nanoparticles | Showed significant antibacterial activity | - | [74] | |
| Hepatoprotective activity | Albino Wistar rats | A. campanulatus tuber methanolic extract | 250–500 mg/kg | Increasing levels of SOD, CAT, and GPx observed hepatoprotective and antioxidant properties | Reducing hepatic injury biomarkers such as SGPT, SGOT, ALP, BRN, and total protein shows hepatoprotective activity | [61] |
| Wistar rats | A. campanulatus extract | 250–500 mg/kg | Protected rat hepatic tissue against ethanol-induced oxidative damage, most likely by acting as an antioxidant | There is a decrease in serum marker enzymes, such as aspartate transaminase, alanine transaminase, and alkaline phosphatase. The levels of SOD, CAT, and GPx all increased dramatically | [21] | |
| Male albino Wistar rats | Aqueous and methanol extracts of A. paeoniifolius tubers | 300 mg/kg | Demonstrated hepatoprotective activity in the presence of paracetamol-induced liver damage | Flavonoids and steroids may be accountable for the hepatoprotective effect | [21] | |
| Male albino Wistar rats | Aqueous and ethanol extracts of A. campanulatus (Roxb.) | 500 mg/kg was given orally once a day | Demonstrated a robust hepatoprotective effect in tetrachloride-induced liver damage | Because the extracts contain flavonoids, which have the potential to scavenge free radicals | [62] | |
| Wistar rats | A. campanulatus Roxb. ethanol extract | 250–500 mg/kg | Inhibited ethanol-induced oxidative damage in rat hepatic tissue, most likely through antioxidant activity | Via reducing oxidative damage to hepatocytes by ROS scavenging activity, it also restores SOD and CAT activity in liver tissue, normalizes the levels of liver marker enzymes, reduces GSH depletion and TBARS formation, and preserves SOD and CAT activity | [63] | |
| Swiss albino mice | A. commutatus methanol extract | 100–400 mg/kg | Revealed a vigorous antioxidant activity, hepatoprotective effect, and lowered lipid peroxidation | Antioxidant enzyme activity increases, lipid peroxidation is inhibited, and hepatic marker levels are decreased | [64] | |
| Antioxidant | Wistar rats (in vitro) | Ethanol extract of A. paeoniifolius | 1–50 µg/mL | It has a significant inhibitory effect on lipid peroxidation | Inhibiting free radical generation by oxidation and H2O2 scavenging activity. Gallic acid, resveratrol, and quercetin, among the phenolic components included in the extract, may contribute to the scavenging activity | [33] |
| Wistar mice | Methanol extracts of the A. campanulatus | 125–250 mg/kg | Showed curative effect against TAA-induced OS in rats | Reducing serum ALT, LDH, AST, ALP, and tissue malondialdehyde levels | [77] | |
| Rats | Hexane and methanol extract of A. campanulatus | 125 and 250 mg/kg | Exhibit radical scavenging and antioxidant action | ACME dramatically reduced serum AST, ALT, ALP, LDH, and tissue malondialdehyde levels. GSH, GST, GR, GPx, and CAT levels were significantly elevated in the liver and kidneys | [78] | |
| Immunomodulatory Activity | Rats | A. campanulatus methanol extract | 250 and 500 mg/kg | Suppressed the immune system dose-dependently | Reducing charcoal clearance, DTH response, and spleen index | [104] |
| Antihelmintic activity | Pheretima posthuma, an adult Indian earthworm | Methanolic extracts of A. paeoniifolius | 25, 50, and 100 mg/mL | Showed antihelmintic efficacy against Pheretima posthuma | - | [105] |
| Preventing gastrointestinal disturbances (Anti-diarrheal activity and Laxative effect) | Wistar mice | Methanolic extracts of A. paeoniifolius | 250 and 500 mg/kg | It has gastrokinetic activity and has moderately increased the number of stools, feces volume, fecal matter water content, gastric emptying, and intestinal transportation | The spasmogenic and stimulatory effect on the synthesis of prostaglandins was detected due to betulinic acid and glucomannan in the extract | [31] |
| Methanolic extracts of A. paeoniifolius | 125, 250, and 500 mg/kg | Treatment with tuber extracts, glucomannan, and betulinic acid in constipated rats resulted in a considerable improvement in fecal parameters and intestinal transit | By partial agonistic action in 5HT receptors | [7] | ||
| Male albino rats | Konjac flour | 300 and 600 mg/kg | Effective in influencing increased water content, fecal pellet weight, and intestinal motility, demonstrating laxative activity | Because of its ability to absorb and retain water in the gastrointestinal tract | [82] | |
| Anticancer and antitumor effect | HT-29 cell line (in vitro) | A. commutatus methanolic extract | 50 μg/mL | MEAC increased antioxidant activity as well as cytotoxicity against HT-29 cells. | Initiating the caspase-3-dependent apoptotic pathway, inducing a G1/S cell cycle arrest, and subsequently downregulating the COX-2 pathway | [84] |
| Tumor-bearing mice model | A. commutatus methanolic extract | 400 mg/kg | Anticancer activity | Increasing antioxidant enzymes, bringing the hematological profile back to normal. The COX-2 and caspase-dependent pathways mediate the anticancer action of β-sitosterol extracted from ACW | [84] | |
| MCF-7 and MDA-MB-231 cell lines | A. paeoniifolius (Dennst.) extract | 10 and 20 mg/mL | Significant cytotoxic activity was shown to be dose and time-dependent | Apoptosis was increased in these cells, as evidenced by a decrease in antiapoptotic Bcl-2 and an increase in pro-apoptotic Bax, Caspase-7 expression, PARP breakdown, and decreased motility in both cell lines | [28] | |
| SGC-7901, HEK293, and AGS cell lines | The extract of tuber of A. konjac (TuAK) | 25–100 µg/mL | Significantly slowed the growth of cultured gastric cancer cell lines | Survivin and Bcl-2 expression was reduced, while Bax and caspase-9 expression were increased in the apoptosis-associated proteins | [87] | |
| Human colon carcinoma cell line HCT-15 (in vitro) | A. campanulatus (Roxb.) Bl. tuber extracts | 10 mg | ACME subfractions inhibited HCT-15 cell proliferation and caused apoptosis in a dose-dependent manner | Through two fundamental mechanisms: change of redox state and interference with essential cellular functions | [85] | |
| Male Wistar rats | Methanol extracts of the A. campanulatus | 125 and 250 mg/kg | Significantly cut down on the rise in hepatic nodules, nodule multiplicity, and serum biochemical markers caused by NDEA, as well as improved hepatocellular architecture | Through the restoration of antioxidant enzymes SGPT, SGOT, ALP, BRN, and total protein, as well as peroxide radical scavenging activity | [88] | |
| Male Wistar rats | Methanol extracts of the A. campanulatus | 250 mg/kg body weight orally | Has an enormous effect on chemoprotection | Significant lipid peroxidation in the intestine and colon and reduced antioxidants such as CAT, GPx, GR, GST, and GSH | [86] | |
| Hypoglycemic activity | Wistar rats | A. konjac extract | 102 mg/Kg o | Helps improve glucose metabolism by blocking the enzyme -glucosidase, which improves glucose metabolism by lowering blood sugar | By suppression of lipid peroxidation; inhibition of α-amylase and α-glucosidase activities; improvement of GPx and CAT activities; and reduction of malondialdehyde, lactate dehydrogenase, and reactive oxygen species aggregation | [93] |
| Swiss albino mice | Methanol extract of corms of A. campanulatus, | 50, 100, 200, and 400 mg per kg body weight | Blood glucose levels were significantly lowered | Because of α-glucosidase and α-amylase inhibitory action of betulinic acid, lupeol, stigmasterol, and β-sitosterol | [94] | |
| Wistar rat | Glucomannan from Amorphophallus | 60 mg/kg/body weigh/day | A. variabilis’ diet may have lowered blood cholesterol levels | - | [95] | |
| Albino rats | Vigna radiata (L.) R. Wilczek and A. paeoniifolius (Dennst.) combination | 0.054 g and 0.216 g per 100 g body weight | Lowered cholesterol, triglycerides, low-density lipoprotein, and levels while increasing HDL | Lowering the levels of the hormone leptin with competitive inhibition of HMG-CoA reductase and reduction of LDL production | [96] | |
| 30 Sprague Dawley rats | Porang Glucomannan Supplementation | 25–100 mg/200 g BW | Enhanced lipid profile in rats induced with metabolic syndrome | Lowering total cholesterol (TC), triglycerides (TG), and LDL, while increasing HDL | [97] | |
| Neuroprotective effect | Rat | A. campanulatus petroleum ether extract | 100, 200, and 500 mg/kg, p.o. for 14 days | Exhibited neuroprotective effect | Lowering oxidative stress (SOD, CAT, and LPO), amyloid peptide (A), and acetylcholinesterase (AchE) levels in brain tissue | [59] |
| Preventing renal damage | Male albino rats of the Wistar strain | Ethanolic extract of A. campanulatus a | 250 and 500 mg/kg | The antioxidative and antiapoptotic properties of the extract were found to be effective in reducing ACE-induced nephrotoxicity | Serum urea, creatinine, pro-inflammatory cytokines, tissue TBARS, and GSH metabolizing enzyme activity were dramatically increased, but cytosolic and mitochondrial SOD, CAT, and reduced GSH levels were significantly lowered | [79] |
| Skin protection | 51 healthy humans | A. konjac extract capsules (5 mg glycosylceramides) | 100 mg/day | Improved skin metrics such as dryness, hyperpigmentation, irritation, and oiliness | Sphingolipids consumed are transformed into sphingolipid metabolites, which are absorbed by the colon and circulated in the blood | [106] |
| Male NC/Nga mice, a murine model of human AD (in vitro) | 5% (w/w) of konjac GM powders | 300 µm, 100 µm, 160 µm | Atopic illnesses such as dermatitis, asthma, allergic rhinitis, skin inflammation, and hyper-IgE production were inhibited | IFN-α, a positive regulatory cytokine of atopic skin inflammation, is suppressed through systemic downregulation | [71] | |
| Antiobesity Activity | Wistar rat | A. konjac refined powder | - | Its antioxidation is considerably enhanced, and serum lipid levels are reduced; however, the antiobesity effect is limited | In rats, decreasing MDA levels and significantly increasing SOD and GSH-Px activities, as well as lowering TC, LDL, TG levels, and rising HDL levels, reduced MDA levels and significantly increased SOD and GSH-Px activities | [100] |
| Sprague Dawley rats | Konjac flour, a powder from the tuber of the Amorphophallus | 100 g | Decreased body weight, glucose, triglyceride, and HDL levels in their blood | Slowing stomach emptying, attaching to bile acids in the gut, and transporting them out of the body in the feces | [38] | |
| 96 SD white rat | A. konjac | 0.2–0.8 (g kg−1) | Reduces rat body weight, triglyceride, glucose, cholesterol, and HDL levels in the blood | Delay stomach emptying and more gradual dietary sugar absorption | [101] | |
| Individuals who are overweight or obese | Glucomannan | 2–4 g per day | If used in conjunction with a regular caloric or hypocaloric diet, it helps people lose weight | Due to increased viscosity of gastrointestinal content, delayed stomach emptying, and decreasing colon transit time | [102] | |
| 58 obese subject | Glucomannan fibers, abundant in A. konjac | Konjac (1.5 g) daily for 12-week period | Cured obesity-related dyslipidemia because of the cholesterol-lowering action of Garcinia cambogia and A. konjac combined with their apparent low toxicity | Promoting weight loss, potentially reducing fatty acid biosynthesis, increasing water-absorbing ability, and decreasing stomach emptying speed, altering the kinetics of duodenal fat absorption | [103] |
| Species | Dose of Toxicity | Study Model | Outcomes | References |
|---|---|---|---|---|
| APME and APAE tuber | >2000 mg/kg | Wistar mice | The LD50 was above 2500 mg/kg | [31] |
| A. paeoniifolius | >1.5 g/kg | Swiss albino mice | Non-toxic up to 1.5 g/kg | [58] |
| Porang (A. oncophyllus) | >5000 mg/kg BW | Rats | Not detrimental until the maximum dose of 5000 mg/kg b.w. | [107] |
| Porang (A. muelleri Blume) | >15,000 mg/kg BW | White rats (Rattus norvegicus) | Greater than 15,000 mg/kg BW porang flour dosage caused liver cell damage in white rats, and hyperactivity among the female rats was also observed | [108] |
| APME and APAE tuber | >2000 mg/kg | Swiss albino mice | No toxicological property was reported at the doses tested | [109] |
Disclaimer/Publisher’s Note: The statements, opinions and data contained in all publications are solely those of the individual author(s) and contributor(s) and not of MDPI and/or the editor(s). MDPI and/or the editor(s) disclaim responsibility for any injury to people or property resulting from any ideas, methods, instructions or products referred to in the content. |
© 2023 by the authors. Licensee MDPI, Basel, Switzerland. This article is an open access article distributed under the terms and conditions of the Creative Commons Attribution (CC BY) license (https://creativecommons.org/licenses/by/4.0/).
Share and Cite
Islam, F.; Labib, R.K.; Zehravi, M.; Lami, M.S.; Das, R.; Singh, L.P.; Mandhadi, J.R.; Balan, P.; Khan, J.; Khan, S.L.; et al. Genus Amorphophallus: A Comprehensive Overview on Phytochemistry, Ethnomedicinal Uses, and Pharmacological Activities. Plants 2023, 12, 3945. https://doi.org/10.3390/plants12233945
Islam F, Labib RK, Zehravi M, Lami MS, Das R, Singh LP, Mandhadi JR, Balan P, Khan J, Khan SL, et al. Genus Amorphophallus: A Comprehensive Overview on Phytochemistry, Ethnomedicinal Uses, and Pharmacological Activities. Plants. 2023; 12(23):3945. https://doi.org/10.3390/plants12233945
Chicago/Turabian StyleIslam, Fahadul, Rafiuddin Khan Labib, Mehrukh Zehravi, Mashia Subha Lami, Rajib Das, Laliteshwar Pratap Singh, Jithendar Reddy Mandhadi, P. Balan, Jishan Khan, Sharuk L. Khan, and et al. 2023. "Genus Amorphophallus: A Comprehensive Overview on Phytochemistry, Ethnomedicinal Uses, and Pharmacological Activities" Plants 12, no. 23: 3945. https://doi.org/10.3390/plants12233945
APA StyleIslam, F., Labib, R. K., Zehravi, M., Lami, M. S., Das, R., Singh, L. P., Mandhadi, J. R., Balan, P., Khan, J., Khan, S. L., Nainu, F., Nafady, M. H., Rab, S. O., Emran, T. B., & Wilairatana, P. (2023). Genus Amorphophallus: A Comprehensive Overview on Phytochemistry, Ethnomedicinal Uses, and Pharmacological Activities. Plants, 12(23), 3945. https://doi.org/10.3390/plants12233945

