Silicon Induces Heat and Salinity Tolerance in Wheat by Increasing Antioxidant Activities, Photosynthetic Activity, Nutrient Homeostasis, and Osmo-Protectant Synthesis
Abstract
1. Introduction
2. Material and Methods
2.1. Growth Conditions and Plant Materials
2.2. Experimental Treatments
2.3. Measurement of Growth Traits
2.4. Determination of Photosynthetic Pigments, Leaf Relative Water Content, and Electrolyte Leakage
2.5. Determination of Osmolytes and Oxidative Stress Markers
2.6. Determination of Antioxidant Activities
2.7. Ionic Concentration
2.8. Determination of Yield Traits
2.9. Data Analysis
3. Results
3.1. Growth and Morphological Traits
3.2. Photosynthetic Pigments, Relative Water Contents, and Electrolyte Leakage
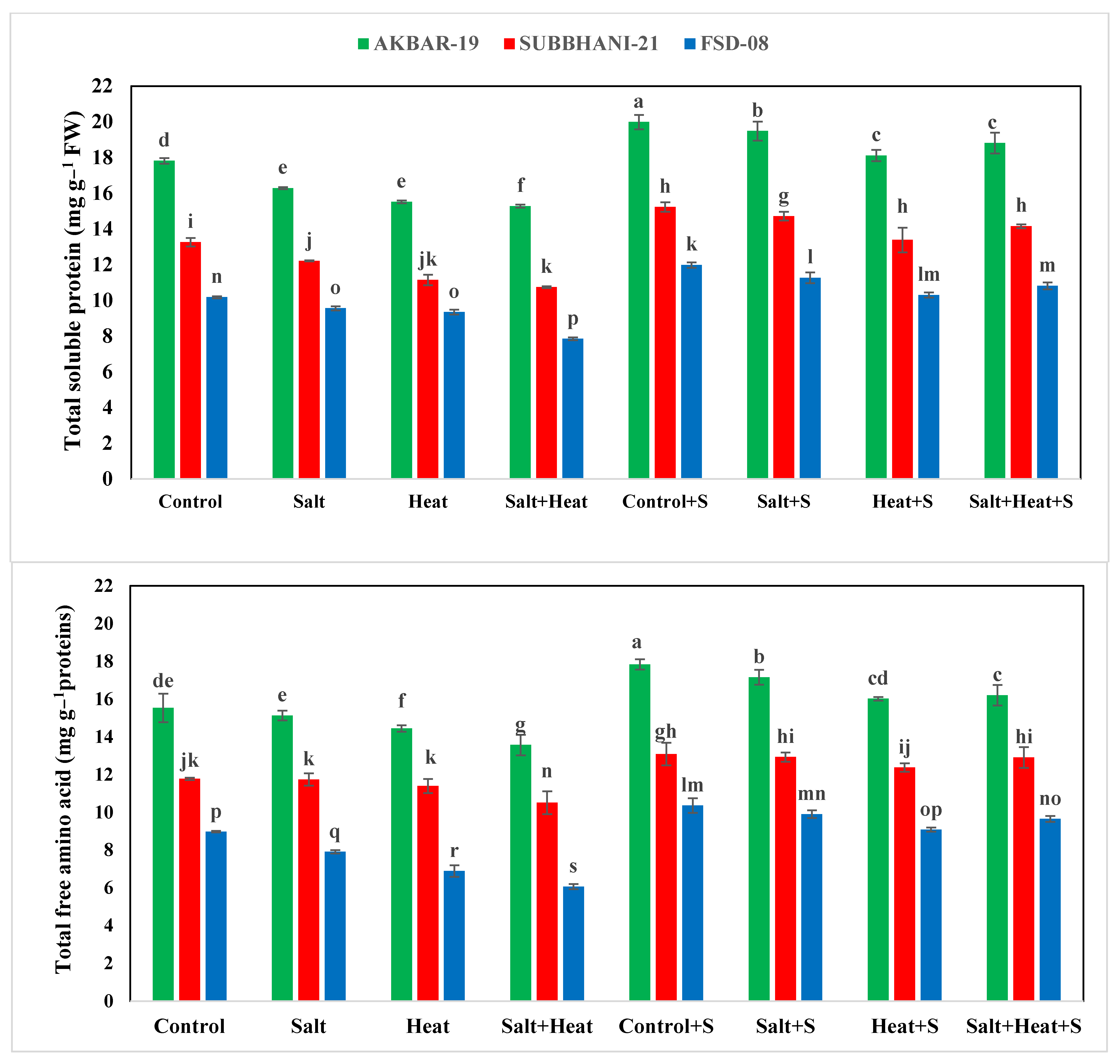
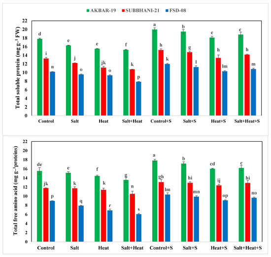
3.3. Osmo-Protectants, Antioxidant Activities, and Oxidative Stress Causes
3.4. Yield Traits
3.5. Nutrient Concentration
3.6. Principle Component Analysis
4. Discussion
5. Conclusions
Author Contributions
Funding
Data Availability Statement
Acknowledgments
Conflicts of Interest
References
- Shrivastava, P.; Kumar, R. Soil salinity: A serious environmental issue and plant growth promoting bacteria as one of the tools for its alleviation. Saudi J. Biol. Sci. 2015, 22, 123–131. [Google Scholar] [CrossRef]
- Dustgeer, Z.M.; Seleiman, M.F.; Khan, I.; Chattha, M.U.; Ali, E.F.; Alhammad, B.A.; Jalal, R.S.; Refay, Y.; Hassan, M.U. Glycine-betaine induced salinity tolerance in maize by regulating the physiological attributes, antioxidant defense system and ionic homeostasis. Not. Bot. Horti Agrobot. Cluj Napoca 2021, 49, 12248. [Google Scholar] [CrossRef]
- Bhattarai, S.; Biswas, D.; Fu, Y.B.; Biligetu, B. Morphological, physiological, and genetic responses to salt stress in alfalfa: A Review. Agronomy 2020, 10, 577. [Google Scholar] [CrossRef]
- Zhao, S.; Zhang, Q.; Liu, M.; Zhou, H.; Ma, C.; Wang, P. Regulation of plant responses to salt stress. Int. J. Mol. Sci. 2021, 22, 4609. [Google Scholar] [CrossRef] [PubMed]
- Hussain, S.; Shaukat, M.; Ashraf, M.; Zhu, C.; Jin, Q.; Zhang, J. Salinity stress in arid and semi-arid climates: Effects and management in field crops. J. Clim. Change Agric. 2019, 13, 197–222. [Google Scholar]
- Pour-Aboughadareh, A.; Mehrvar, M.R.; Sanjani, S.; Amini, A.; Nikkhah-Chamanabad, H.; Asadi, A. Effects of salinity stress on seedling biomass, physiochemical properties, and grain yield in different breeding wheat genotypes. Acta Physiol. Plantarum 2021, 43, 1–14. [Google Scholar] [CrossRef]
- Seleiman, M.F.; Aslam, M.T.; Alhammad, B.A.; Hassan, M.U.; Maqbool, R.; Chattha, M.U.; Khan, I.; Gitari, H.I.; Uslu, O.S.; Rana, R.; et al. Salinity stress in wheat: Effects, mechanisms and management strategies. Phyton 2022, 91, 667. [Google Scholar] [CrossRef]
- Shaheen, S.; Baber, M.; Aslam, S.; Aslam, S.; Shaheen, M.; Waheed, R.; Seo, H.; Azhar, M.T. Effect of nacl on morphophysiological and biochemical responses in Gossypium hirsutum L. Agronomy 2023, 13, 1012. [Google Scholar] [CrossRef]
- Abdelaal, K.A.; EL-Maghraby, L.M.; Elansary, H.; Hafez, Y.M.; Ibrahim, E.I.; El-Banna, M.; El-Esawi, M.; Elkelish, A. Treatment of sweet pepper with stress tolerance-inducing compounds alleviates salinity stress oxidative damage by mediating the physio-biochemical activities and antioxidant systems. Agronomy 2019, 10, 26. [Google Scholar] [CrossRef]
- Alnusairi, G.S.; Mazrou, Y.S.; Qari, S.H.; Elkelish, A.A.; Soliman, M.H.; Eweis, M.; Abdelaal, K.; El-Samad, G.A.; Ibrahim, M.F.; ElNahhas, N. Exogenous nitric oxide reinforces photosynthetic efficiency, osmolyte, mineral uptake, antioxidant, expression of stress-responsive genes and ameliorates the effects of salinity stress in wheat. Plants 2021, 10, 1693. [Google Scholar] [CrossRef]
- EL-Sabagh, A.; Islam, M.S.; Skalicky, M.; Ali Raza, M.; Singh, K.; Anwar, H.M.; Hossain, A.; Mahboob, W.; Iqbal, M.A.; Ratnasekera, D.; et al. Salinity stress in wheat (Triticum aestivum L.) in the changing climate: Adaptation and management strategies. Front. Agron. 2021, 3, 661932. [Google Scholar] [CrossRef]
- Chen, W.L.; Yang, W.J.; Lo, H.F.; Yeh, D.M. Physiology, anatomy, and cell membrane thermostability selection of leafy radish (Raphanus sativus var. Oleiformis Pers.) with different tolerance under heat stress. Sci. Hortic. 2014, 179, 367–375. [Google Scholar] [CrossRef]
- Hassan, M.U.; Chattha, M.U.; Khan, I.; Chattha, M.B.; Barbanti, L.; Aamer, M.; Iqbal, M.M.; Nawaz, M.; Mahmood, A.; Ali, A.; et al. Heat stress in cultivated plants: Nature, impact, mechanisms, and mitigation strategies—A review. Plant Biosyst. 2021, 155, 211–234. [Google Scholar] [CrossRef]
- Zha, Q.; Xi, X.; He, Y.; Jiang, A. Transcriptomic analysis of the leaves of two grapevine cultivars under high-temperature stress. Sci. Hortic. 2020, 265, 109265. [Google Scholar] [CrossRef]
- Ullah, A.; Nadeem, F.; Nawaz, A.; Siddique, K.H.; Farooq, M. Heat stress effects on the reproductive physiology and yield of wheat. J. Agron. Crop Sci. 2022, 208, 1–17. [Google Scholar] [CrossRef]
- Iqbal, N.; Fatma, M.; Gautam, H.; Umar, S.; Sofo, A.; D’ippolito, I.; Khan, N.A. The crosstalk of melatonin and hydrogen sulfide determines photosynthetic performance by regulation of carbohydrate metabolism in wheat under heat stress. Plants 2021, 10, 1778. [Google Scholar] [CrossRef]
- Fu, J.; Krishna, J.S.V.; Bowden, R.L. Effects of post-flowering heat stress on chlorophyll content and yield components of a spring wheat diversity panel. Crop Sci. 2022, 62, 1926–1936. [Google Scholar] [CrossRef]
- Li, M.; Feng, J.; Zhou, H.; Najeeb, U.; Li, J.; Song, Y.; Zhu, Y. Overcoming reproductive compromise under heat stress in wheat: Physiological and genetic regulation, and breeding strategy. Front. Plant Sci. 2022, 13, 881813. [Google Scholar] [CrossRef]
- Khan, I.; Wu, J.; Sajjad, M. Pollen viability-based heat susceptibility index (HSIpv): A useful selection criterion for heat-tolerant genotypes in wheat. Front. Plant Sci. 2022, 13, 1064569. [Google Scholar] [CrossRef]
- Pandey, P.; Ramegowda, V.; Senthil-Kumar, M. Shared and unique responses of plants to multiple individual stresses and stress combinations: Physiological and molecular mechanisms. Front. Plant Sci. 2015, 6, 723. [Google Scholar] [CrossRef]
- Kumarathunge, D.P.; Medlyn, B.E.; Drake, J.E.; Tjoelker, M.G.; Aspinwall, M.J.; Battaglia, M.; Cano, F.J.; Carter, K.R.; Cavaleri, M.A.; Cernusak, L.A. Acclimation and adaptation components of the temperature dependence of plant photosynthesis at the global scale. New Phytol. 2019, 222, 768–784. [Google Scholar] [CrossRef] [PubMed]
- Liu, Y.; Lin-Wang, K.; Espley, R.V.; Wang, L.; Li, Y.; Liu, Z.; Zhou, P.; Zeng, L.; Zhang, X.; Zhang, J. StMYB44 negatively regulates anthocyanin biosynthesis at high temperatures in tuber flesh of potato. J. Exp. Bot. 2019, 70, 3809–3824. [Google Scholar] [CrossRef] [PubMed]
- Petretto, G.L.; Urgeghe, P.P.; Massa, D.; Melito, S. Effect of salinity (NaCl)on plant growth, nutrient content, and glucosinolate hydrolysis products trends in rocket genotypes. Plant Physiol. Biochem. 2019, 141, 30–39. [Google Scholar] [CrossRef] [PubMed]
- Luyckx, M.; Hausman, J.F.; Lutts, S.; Guerriero, G. Silicon and plants: Current knowledge and technological perspectives. Front. Plant Sci. 2017, 8, 411. [Google Scholar] [CrossRef]
- Shunkao, S.; Thitisaksakul, M.; Pongdontri, P.; Theerakulpisut, P. Additive effects of combined heat and salt stress is manifested in an enhanced sodium ions accumulation and increased membrane damage in wheat seedlings. Chilean J. Agri. Res. 2022, 82, 552–563. [Google Scholar] [CrossRef]
- Malhotra, C.; Kapoor, R.T. Silicon: A sustainable tool in abiotic stress tolerance in plants. In Plant Abiotic Stress Tolerance: Agronomic; Springer: Berlin/Heidelberg, Germany, 2019; pp. 333–356. [Google Scholar]
- Mushtaq, A.; Khan, Z.; Khan, S.; Rizwan, S.; Jabeen, U.; Bashir, F.; Ismail, T.; Anjum, S.; Masood, A. Effect of silicon on antioxidant enzymes of wheat (Triticum aestivum L.) grown under salt stress. Silicon 2020, 12, 2783–2788. [Google Scholar] [CrossRef]
- Singh, P.; Kumar, V.; Sharma, J.; Saini, S.; Sharma, P.; Kumar, S.; Sinhmar, Y.; Kumar, D.; Sharma, A. Silicon supplementation alleviates the salinity stress in wheat plants by enhancing the plant water status, photosynthetic pigments, proline content and antioxidant enzyme activities. Plants 2022, 1, 252. [Google Scholar] [CrossRef]
- Javaid, T.; Farooq, M.A.; Akhtar, J.; Saqib, Z.A.; Anwar-ul-Haq, M. Silicon nutrition improves growth of salt-stressed wheat by modulating flows and partitioning of Na+, Cl− and mineral ions. Plant Physiol. Biochem. 2019, 141, 291–299. [Google Scholar] [CrossRef]
- Daoud, A.M.; Hemada, M.M.; Saber, N.; Moussa, E.A. Effect of silicon on the tolerance of wheat (Triticum aestivum L.) to salt stress at different growth stages: Case study for the management of irrigation water. Plants 2018, 7, 29. [Google Scholar]
- Ali, A.; Mahmood, R.; Jaan, M.; Abbas, M.N. Stimulating the anti-oxidative role and wheat growth improvement through silicon under salt stress. Silicon 2019, 11, 2403–2406. [Google Scholar] [CrossRef]
- Farouk, S.; Elhindi, K.M.; Alotaibi, M.A. Silicon supplementation mitigates salinity stress on Ocimum basilicum L. via improving water balance, ion homeostasis, and antioxidant defense system. Ecotoxicol. Environ. Saf. 2020, 206, 111396. [Google Scholar] [CrossRef]
- Mushtaq, A.; Khan, Z.; Khan, S.; Rizwan, S.; Jabeen, U.; Bashir, F.; Ismail, T.; Anjum, S.; Cheraghi, M.; Motesharezadeh, B.; et al. Silicon (Si): A regulator nutrient for optimum growth of wheat under salinity and drought stresses—A review. J. Plant Growth Reg. 2023, 1–25. [Google Scholar]
- Abdelrahman, M.; El-Sayed, M.; Jogaiah, S.; Burritt, D.J.; Tran, L.S.P. The “stay-green” trait and phytohormone signaling networks in plants under heat stress. Plant Cell Rep. 2017, 36, 1009–1025. [Google Scholar] [CrossRef] [PubMed]
- Saddiq, M.S.; Iqbal, S.; Hafeez, M.B.; Ibrahim, A.M.; Raza, A.; Fatima, E.M.; Baloch, H.; Woodrow, P.; Ciarmiello, L.F. Effect of salinity stress on physiological changes in winter and spring wheat. Agron 2021, 11, 1193. [Google Scholar] [CrossRef]
- Choudhary, M.; Yan, G.; Siddique, K.H.; Cowling, W.A. Heat stress during meiosis has lasting impacts on plant growth and reproduction in wheat (Triticum aestivum L.). Agronomy 2022, 12, 987. [Google Scholar] [CrossRef]
- Ahmed, A.H.; Harb, E.; Higazy, M.; Morgan, S.H. Effect of silicon and boron foliar applications on wheat plants grown under saline soil conditions. Intern. J. Agric. Res. 2008, 3, 1–26. [Google Scholar] [CrossRef]
- Arnon, D.I. Copper enzymes in isolated chloroplasts. Polyphe-noloxidase in Beta vulgaris. Plant Physiol. 1949, 24, 1–15. [Google Scholar] [CrossRef]
- Bradford, M.M. A rapid and sensitive method for the quantitation of microgram quantities of protein utilizing the principle of protein-dye binding. Anal. Biochem. 1976, 72, 248–254. [Google Scholar] [CrossRef]
- Hamilton, P.B.; Van-Slyke, D.D. Amino acid determination with ninhydrin. J. Biol. Chem. 1943, 150, 231–250. [Google Scholar] [CrossRef]
- Aebi, H. Catalase in vitro. Methods Enzymol. 1984, 105, 121–126. [Google Scholar]
- Nakano, Y.; Asada, K. Purification of ascorbate peroxidase in spinach chloroplasts; its inactivation in ascorbate-depleted medium and reactivation by monodehydroascorbate radical. Plant Cell Physiol. 1987, 28, 131–140. [Google Scholar]
- Zhang, X. The measurement and mechanism of lipid peroxidation and SOD, POD and CAT activities in biological system. In Research Methodology of Crop Physiology; Agriculture Press: Beijing, China, 1992; pp. 208–211. [Google Scholar]
- Mukherjee, S.; Choudhuri, M. Implications of water stress-induced changes in the levels of endogenous ascorbic acid and hydrogen peroxide in Vigna seedlings. Physiol. Plant 1983, 58, 166–170. [Google Scholar] [CrossRef]
- Steel, R.G.; Torrie, J.H. Principles and Procedures of Statistics: A Biometrical Approach; McGraw-Hill: New York, NY, USA, 1980. [Google Scholar]
- Kakar, N.; Jumaa, S.H.; Redoña, E.D.; Warburton, M.L.; Reddy, K.R. Evaluating rice for salinity using pot-culture provides a systematic tolerance assessment at the seedling stage. Rice 2019, 12, 1–14. [Google Scholar] [CrossRef]
- Wu, C.; Cui, K.; Li, Q.; Li, L.; Wang, W.; Hu, Q.; Ding, Y.; Li, G.; Fahad, S.; Huang, J. Estimating the yield stability of heat-tolerant rice genotypes under various heat conditions across reproductive stages: A 5-year case study. Sci. Rep. 2021, 11, 1–11. [Google Scholar] [CrossRef] [PubMed]
- Farooq, M.; Park, J.R.; Jang, Y.H.; Kim, E.G.; Kim, K.M. Rice cultivars under salt stress Show differential expression of genes related to the regulation of Na+/K+ balance. Front. Plant Sci. 2021, 12, 680131. [Google Scholar] [CrossRef] [PubMed]
- Abdi, N.; Van Biljon, A.; Steyn, C.; Labuschagne, M.T. Salicylic acid improves growth and physiological attributes and salt tolerance differentially in two bread wheat cultivars. Plants 2022, 11, 1853. [Google Scholar] [CrossRef]
- Khan, I.; Muhammad, A.; Chattha, M.U.; Skalicky, M.; Bilal, C.M.; Ahsin, A.M.; Rizwan, A.M.; Soufan, W.; Hassan, M.U.; Rahman, M.A.; et al. Mitigation of salinity-induced oxidative damage, growth, and yield reduction in fine rice by sugarcane press mud application. Front. Plant Sci. 2022, 13, 840900. [Google Scholar] [CrossRef]
- Kaya, C.; Higgs, D.; Ashraf, M.; Alyemeni, M.N.; Ahmad, P. Integrative roles of nitric oxide and hydrogen sulfide in melatonin-induced tolerance of pepper (Capsicum annuum L.) plants to iron deficiency and salt stress alone or in combination. Physio Planta. 2020, 168, 256–277. [Google Scholar] [CrossRef]
- Dugasa, M.T.; Cao, F.B.; Ibrahim, W.; Wu, F.B. Genotypic difference in physiological and biochemical characteristics in response to single and combined stresses of drought and salinity between the two wheat genotypes (Triticum aestivum) differing in salt tolerance. Physio. Planta 2019, 165, 134–143. [Google Scholar] [CrossRef]
- Hannachi, S.; Van Labeke, M.-C. Salt stress affects germination, seedling growth and physiological responses differentially in eggplant cultivars (Solanum melongena L.). Sci. Hortic. 2018, 228, 56–65. [Google Scholar] [CrossRef]
- Farooq, M.; Ahmad, R.; Shahzad, M.; Sajjad, Y.; Hassan, A.; Shah, M.M.; Naz, S.; Khan, S.A. Differential variations in total flavonoid content and antioxidant enzymes activities in pea under different salt and drought stresses. Sci. Hortic. 2021, 287, 110258. [Google Scholar] [CrossRef]
- Guo, X.; Ahmad, N.; Zhao, S.; Zhao, C.; Zhong, W.; Wang, X.; Li, G. Effect of salt stress on growth and physiological properties of Asparagus seedlings. Plants 2022, 11, 2836. [Google Scholar] [CrossRef] [PubMed]
- Djanaguiraman, M.; Narayanan, S.; Erdayani, E.; Prasad, P.V.V. Effects of high temperature stress during anthesis and grain filling periods on photosynthesis, lipids and grain yield in wheat. BMC Plant Biol. 2020, 20, 268. [Google Scholar] [CrossRef] [PubMed]
- Kumar, R.R.; Ahuja, S.; Rai, G.K.; Kumar, S.; Mishra, D.; Kumar, S.N.; Rai, A.; Singh, B.; Chinnusamy, V.; Praveen, S. Silicon triggers the signalling molecules and stress-associated genes for alleviating the adverse effect of terminal heat stress in wheat with improved grain quality. Acta Physiol. Plant 2022, 44, 30. [Google Scholar] [CrossRef]
- Langridge, P.; Reynolds, M. Breeding for drought and heat tolerance in wheat. Theor. Appl. Genet. 2021, 134, 1753–1769. [Google Scholar] [CrossRef] [PubMed]
- Rehman, H.U.; Tariq, A.; Ashraf, I.; Ahmed, M.; Muscolo, A.; Basra, S.M.A.; Reynolds, M. Evaluation of physiological and morphological traits for improving spring wheat adaptation to terminal heat stress. Plants 2021, 10, 455. [Google Scholar] [CrossRef]
- Yadav, M.R.; Choudhary, M.; Singh, J.; Lal, M.K.; Jha, P.K.; Udawat, P.; Gupta, N.K.; Rajput, V.D.; Garg, N.K.; Maheshwari, C. Impacts, tolerance, adaptation, and mitigation of heat stress on wheat under changing climates. Int. J. Mol. Sci. 2022, 23, 2838. [Google Scholar] [CrossRef]
- Choudhary, A.; Kumar, A.; Kaur, N. ROS and oxidative burst: Roots in plant development. Plant Divers. 2020, 42, 33–43. [Google Scholar] [CrossRef]
- Iqbal, N.; Sehar, Z.; Fatma, M.; Umar, S.; Sofo, A.; Khan, N.A. Nitric oxide and abscisic acid mediate heat stress tolerance through regulation of osmolytes and antioxidants to protect photosynthesis and growth in wheat plants. Antioxidants 2022, 11, 372. [Google Scholar] [CrossRef]
- Irshad, A.; Ahmed, R.I.; Ur Rehman, S.; Sun, G.; Ahmad, F.; Sher, M.A.; Aslam, M.Z.; Hassan, M.M.; Qari, S.H.; Aziz, M.K.; et al. Characterization of salt tolerant wheat genotypes by using morpho-physiological, biochemical, and molecular analysis. Front. Plant Sci. 2022, 13, 956298. [Google Scholar] [CrossRef]
- Sharma, V.; Singh, C.M.; Chugh, V.; Prajapati, P.K.; Mishra, A.; Kaushik, P.; Dhanda, P.S.; Yadav, A. Morpho-physiological and biochemical responses of field pea genotypes under terminal heat stress. Plants 2023, 12, 256. [Google Scholar] [CrossRef]
- Tao, R.; Ding, J.; Li, C.; Zhu, X.; Guo, W.; Zhu, M. Evaluating and screening of agro-physiological indices for salinity stress tolerance in wheat at the seedling stage. Front. Plant Sci. 2021, 12, 646175. [Google Scholar] [CrossRef] [PubMed]
- Zeeshan, M.; Lu, M.; Sehar, S.; Holford, P.; Wu, F. Comparison of biochemical, anatomical, morphological, and physiological responses to salinity stress in wheat and barley genotypes deferring in salinity tolerance. Agronomy 2020, 10, 127. [Google Scholar] [CrossRef]
- Thorne, S.J.; Stirnberg, P.M.; Hartley, S.E.; Maathuis, F.J. The ability of silicon fertilisation to alleviate salinity stress in rice is critically dependent on cultivar. Rice 2022, 15, 1–10. [Google Scholar] [CrossRef] [PubMed]
- Conceição, S.S.; Oliveira Neto, C.F.d.; Marques, E.C.; Barbosa, A.V.C.; Galvão, J.R.; Oliveira, T.B.d.; Okumura, R.S.; Martins, J.T.d.S.; Costa, T.C.; Gomes-Filho, E. Silicon modulates the activity of antioxidant enzymes and nitrogen compounds in sunflower plants under salt stress. Archiv. Agron. Soil Sci. 2019, 65, 1237–1247. [Google Scholar] [CrossRef]
- Ahmad, P.; Ahanger, M.A.; Alam, P.; Alyemeni, M.N.; Wijaya, L.; Ali, S.; Ashraf, M. Silicon (Si) supplementation alleviates NaCl toxicity in mung bean [Vigna radiata (L.) Wilczek] through the modifications of physio-biochemical attributes and key antioxidant enzymes. J. Plant Growth Regul. 2019, 38, 70–82. [Google Scholar] [CrossRef]
- Akhter, M.S.; Noreen, S.; Ummara, U.; Aqeel, M.; Saleem, N.; Ahmed, M.M.; Mahmood, S.; Athar, H.U.R.; Alyemeni, M.N.; Kaushik, P.; et al. Silicon-induced mitigation of NaCl stress in barley (Hordeum vulgare L.), associated with enhanced enzymatic and non-enzymatic antioxidant activities. Plants 2022, 11, 2379. [Google Scholar] [CrossRef]
- Mahmoud, A.W.M.; Abdeldaym, E.A.; Abdelaziz, S.M.; El-Sawy, M.B.; Mottaleb, S.A. Synergetic effects of zinc, boron, silicon, and zeolite nanoparticles on confer tolerance in potato plants subjected to salinity. Agronomy 2020, 10, 19. [Google Scholar] [CrossRef]
- Kim, Y.H.; Khan, A.L.; Waqas, M.; Lee, I.J. Silicon regulates antioxidant activities of crop plants under abiotic-induced oxidative stress: A review. Front. Plant Sci. 2017, 8, 510. [Google Scholar] [CrossRef]
- Mustafa, T.; Sattar, A.; Sher, A.; Ul-Allah, S.; Ijaz, M.; Irfan, M.; Butt, M.; Cheema, M. Exogenous application of silicon improves the performance of wheat under terminal heat stress by triggering physio-biochemical mechanisms. Sci. Rep. 2021, 11, 23170. [Google Scholar] [CrossRef]
- Naz, N.; Durrani, F.; Shah, Z.; Khan, N.; Ullah, I. Influence of heat stress on growth and physiological activities of potato (Solanum tuberosum L.). Phyton. Int. J. Exp. Bot. 2018, 87, 225–230. [Google Scholar]
- Chalanika, D.H.C.; Asaeda, T. effects of heat stress on growth, photosynthetic pigments, oxidative damage and competitive capacity of three submerged macrophytes. J. Plant Interact. 2017, 12, 228–236. [Google Scholar] [CrossRef]
- Li, X.; Wei, J.P.; Scott, E.; Liu, J.W.; Guo, S.; Li, Y.; Zhang, L.; Han, W.Y. Exogenous melatonin alleviates cold stress by promoting antioxidant defense and redox homeostasis in Camellia sinensis L. Molecules 2018, 23, 165. [Google Scholar] [CrossRef]
- Khan, A.; Khan, A.L.; Imran, M.; Asaf, S.; Kim, Y.H.; Bilal, S.; Numan, M.; Al-Harrasi, A.; Al-Rawahi, A.; Lee, I.J. Silicon-induced thermotolerance in Solanum lycopersicum L. via activation of antioxidant system, heat shock proteins, and endogenous phytohormones. BMC Plant Biol. 2022, 20, 1–18. [Google Scholar] [CrossRef] [PubMed]
- Ashfaq, W.; Fuentes, S.; Brodie, G.; Gupta, D. The role of silicon in regulating physiological and biochemical mechanisms of contrasting bread wheat cultivars under terminal drought and heat stress environments. Front. Plant Sci. 2022, 13, 955490. [Google Scholar] [CrossRef] [PubMed]
- Nahar, L.; Aycan, M.; Hanamata, S.; Baslam, M.; Mitsui, T. Impact of single and combined salinity and high-temperature stresses on agro-physiological, biochemical, and transcriptional responses in rice and stress-release. Plants 2022, 11, 501. [Google Scholar] [CrossRef]
- Khan, A.; Khan, A.L.; Muneer, S.; Kim, Y.H.; Al-Rawahi, A.; Al-Harrasi, A. Silicon and salinity: Crosstalk in crop-mediated stress tolerance mechanisms. Front. Plant Sci. 2019, 10, 1429. [Google Scholar] [CrossRef]
- Ismail, L.M.; Soliman, M.I.; Abd El-Aziz, M.H.; Abdel-Aziz, H.M. Impact of silica ions and nano silica on growth and productivity of pea plants under salinity stress. Plants 2022, 11, 494. [Google Scholar] [CrossRef] [PubMed]
- Morales, F.; Ancín, M.; Fakhet, D.; González-Torralba, J.; Gámez, A.L.; Seminario, A.; Soba, D.; Ben Mariem, S.; Garriga, M.; Aranjuelo, I. Photosynthetic metabolism under stressful growth conditions as a bases for crop breeding and yield improvement. Plants 2020, 9, 88. [Google Scholar] [CrossRef]
- Sharma, A.; Kumar, V.; Shahzad, B.; Ramakrishnan, M.; Singh-Sidhu, G.P.; Bali, A.S.; Handa, N.; Kapoor, D.; Yadav, P.; Khanna, K.; et al. Photosynthetic response of plants under different abiotic stresses: A review. J. Plant Growth Regul. 2020, 39, 509–531. [Google Scholar] [CrossRef]
- Alsaeedi, A.; El-Ramady, H.; Alshaal, T.; El-Garawany, M.; Elhawat, N.; Al-Otaibi, A. Silica nanoparticles boost growth and productivity of cucumber under water deficit and salinity stresses by balancing nutrients uptake. Plant Physiol. Biochem. 2019, 139, 1–10. [Google Scholar] [CrossRef]
- Sehar, Z.; Jahan, B.; Masood, A.; Anjum, N.A.; Khan, N.A. Hydrogen peroxide potentiates defense system in presence of sulfur to protect chloroplast damage and photosynthesis of wheat under drought stress. Physiol Plant 2021, 172, 922–934. [Google Scholar] [CrossRef]
- Khan, A.; Bilal, S.; Khan, A.L.; Imran, M.; Al-Harrasi, A.; Al-Rawahi, A.; Lee, I.J. Silicon-mediated alleviation of combined salinity and cadmium stress in date palm (Phoenix dactylifera L.) by regulating physio-hormonal alteration. Ecotoxicol. Environ. Saf. 2020, 188, 109885. [Google Scholar] [CrossRef]
- Hryvusevich, P.; Navaselsky, I.; Talkachova, Y.; Straltsova, D.; Keisham, M.; Viatoshkin, A.; Samokhina, V.; Smolich, I.; Sokolik, A.; Huang, X.; et al. Sodium influx and potassium efflux currents in sunflower root cells under high salinity. Front. Plant Sci. 2021, 11, 613936. [Google Scholar] [CrossRef]
- Otie, V.; Udo, I.; Shao, Y.; Itam, M.O.; Okamoto, H.; An, P. Salinity effects on morpho-physiological and yield traits of soybean (Glycine max L.) as mediated by foliar spray with brassinolide. Plants 2021, 10, 541. [Google Scholar] [CrossRef]
- Taha, R.S.; Seleiman, M.F.; Shami, A.; Alhammad, B.A.; Mahdi, A.H. Integrated application of selenium and silicon enhances growth and anatomical structure, antioxidant defense system and yield of wheat grown in salt-stressed soil. Plants 2021, 10, 1040. [Google Scholar] [CrossRef]










| Wheat Cultivars | Treatments | PH (cm) | LPP | RFW (g) | SFW (g) | RDW (g) | SDW (g) |
|---|---|---|---|---|---|---|---|
| Akbar-2019 | Control | 53.00 ± 0.47 c | 10.93 ± 0.32 df | 9.90 ± 0.12 d | 14.30 ± 0.19 d | 8.43 ± 0.09 c | 6.58 ± 0.037 d |
| Salt stress (8 dS m−1) | 43.66 ± 0.55 gh | 10.50 ± 0.29 ef | 9.46 ± 0.21 c | 14.26 ± 0.21 d | 8.26 ± 0.12 d | 6.44 ± 0.019 f | |
| Heat stress | 41.33 ± 0.29 hi | 9.23 ± 0.20 g | 8.83 ± 0.15 f | 13.23 ± 0.13 e | 7.93 ± 0.021 e | 6.35 ± 0.020 f | |
| Salt + Heat | 38.66 ± 0.48 ij | 8.50 ± 0.22 hi | 8.26 ± 0.20 g | 13.13 ± 0.21 e | 7.81 ± 0.14 f | 6.21 ± 0.022 g | |
| Si (500 mg kg−1) | 58.00 ± 0.72 a | 14.50 ± 0.12 a | 12.93 ± 0.7 a | 16.40 ± 0.25 a | 8.84 ± 0.10 a | 6.95 ± 0.015 a | |
| Salt + Si | 57.00 ± 0.63 ab | 14.16 ± 0.29 ab | 11.36 ± 0.12 b | 15.43 ± 0.15 b | 8.75 ± 0.08 a | 6.84 ± 0.029 b | |
| Heat + Si | 53.33 ± 0.55 c | 11.50 ± 0.28 cd | 10.83 ± 0.14 c | 14.43 ± 0.19 cd | 8.56 b ± 0.10 b | 6.62 ± 0.031 d | |
| Salt + Heat + Si | 54.66 b ± 0.49 bc | 13.83 ± 0.42 b | 11.00 ± 0.19 bc | 14.80 ± 0.32 c | 8.64 ± 0.12 b | 6.71 ± 0.03 c | |
| Subhani-2021 | Control | 45.33 ± 0.33 fg | 10.23 ± 0.12 f | 7.66 ± 0.20 ij | 10.86 ± 0.12 hi | 7.34 ± 0.024 i | 5.62 ± 0.049 k |
| Salt stress (8 dS m−1) | 45.00 ± 0.66 fg | 8.60 ± 0.22 hi | 7.30 ± 0.22 k | 10.43 ± 0.09 ij | 6.80 ± 0.10 j | 5.38 ± 0.018 l | |
| Heat stress | 40.00 ± 0.82 ij | 8.16 ± 0.24 i-k | 6.60 ± 0.18 l | 10.06 ± 0.18 gh | 6.78 ± 0.09 j | 5.16 ± 0.026 m | |
| Salt + Heat | 37.00 ± 0.33 j | 7.10 ± 0.29 m | 6.26 ± 0.15 m | 9.70 ± 0.06 jk | 6.64 ± 0.014 k | 6.96 ± 0.012 n | |
| Si (500 mg kg−1) | 54.66 ± 0.22 bc | 11.93 ± 0.32 c | 8.80 ± 0.09 gh | 12.93 ± 0.32 e | 7.82 ± 0.019 f | 6.12 ± 0.040 h | |
| Salt + Si | 53.33 ± 0.19 c | 10.66 ± 0.13 ef | 7.40 ± 0.12 jk | 12.06 ± 0.38 f | 7.62 ± 0.020 g | 5.87 ± 0.020 i | |
| Heat + Si | 51.66 ± 0.38 cd | 10.26 ± 0.42 f | 7.33 ± 0.05 k | 11.06 ± 0.12 gh | 7.46 ± 0.12 h | 5.64 ± 0.019 k | |
| Salt + Heat + Si | 52.66 ± 0.42 c | 10.63 ± 0.21 ef | 7.93 ± 0.12 hi | 11.46 ± 0.14 g | 7.53 ± 0.10 gh | 5.73 ± 0.064 j | |
| Faisalabad-2008 | Control | 47.00 ± 0.26 ef | 7.60 ± 0.34 k-m | 4.96 ± 0.22 p | 6.73 ± 0.06 o | 5.77 ± 0.05 op | 4.28 ± 0.042 r |
| Salt stress (8 dS m−1) | 46.00 ± 0.48 fg | 7.33 ± 0.42 lm | 4.76 ± 0.24 pq | 5.96 ± 0.10 p | 5.69 ± 0.07 pq | 3.91 ± 0.032 s | |
| Heat stress | 41.66 ± 0.55 hi | 7.23 ± 0.37 lm | 4.53 ± 0.15 q | 4.83 ± 0.05 q | 5.64 ± 0.08 q | 3.61 ± 0.074 t | |
| Salt + Heat | 31.00 ± 0.41 k | 7.20 ± 0.22 m | 3.86 ± 0.11 r | 3.56 ± 0.06 r | 5.38 ± 0.012 r | 3.43 ± 0.09 u | |
| Si (500 mg kg−1) | 51.66 ± 0.56 cd | 8.83 ± 0.19 gh | 6.13 ± 0.07 m | 9.16 ± 0.14 l | 6.45 ± 0.029 l | 4.77 ± 0.11 o | |
| Salt + Si | 49.33 ± 0.43 df | 8.30 ± 0.28 h-j | 5.80 ± 0.08 n | 8.56 ± 0.12 m | 6.30 ± 0.026 m | 4.61 ± 0.025 p | |
| Heat + Si | 47.33 ± 0.40 ef | 7.80 ± 0.22 j-l | 5.46 ± 0.04 o | 7.90 ± 0.10 n | 5.84 ± 0.041 o | 4.33 ± 0.013 r | |
| Salt + Heat + Si | 47.66 ± 0.59 ef | 8.03 ± 0.20 i-k | 5.70 ± 0.11 no | 8.20 ± 0.16 mn | 6.12 ± 0.033 n | 4.43 ± 0.021 p |
| Wheat Cultivars | Treatments | Carotenoids (mg g−1 FW) | Electrolyte Leakage (%) | Relative Water Contents (%) |
|---|---|---|---|---|
| Akbar-2019 | Control | 4.34 ± 0.019 c | 54.45 ± 1.26 c | 79.94 ± 0.34 d |
| Salt stress (8 dS m−1) | 4.18 ± 0.035 cd | 56.11 ± 1.15 b | 78.78 ± 1.16 df | |
| Heat stress | 4.08 ± 0.060 df | 57.17 ± 1.29 b | 77.89 ± 1.38 e–g | |
| Salt + Heat | 3.99 ± 0.087 ef | 58.58 ± 0.78 a | 77.14 ± 0.89 fg | |
| Si (500 mg kg−1) | 4.83 ± 0.015 a | 50.39 ± 0.98 f | 86.48 ± 0.38 a | |
| Salt + Si | 4.60 ± 0.021 b | 54.27 ± 0.56 cd | 84.26 ± 0.37 b | |
| Heat + Si | 4.36 ± 0.012 c | 53.10 ± 1.10 de | 82.36 ± 0.46 c | |
| Salt + Heat + Si | 4.69 ± 0.020 ab | 51.90 ± 0.78 e | 84.54 ± 0.66 b | |
| Subhani-2021 | Control | 3.26 ± 0.016 h | 47.33 ± 0.97 hi | 70.16 ± 0.56 j |
| Salt stress (8 dS m−1) | 3.15 ± 0.11 h | 48.10 ± 0.42 gh | 68.89 ± 0.78 j | |
| Heat stress | 2.82 ± 0.062 i | 48.97 ± 1.10 g | 65.42 ± 0.89 k | |
| Salt + Heat | 2.68 ± 0.014 ij | 50.40 ± 0.92 f | 63.37 ± 0.33 l | |
| Si (500 mg kg−1) | 3.83 ± 0.029 f | 42.57 ± 0.42 l | 78.59 ± 0.35 df | |
| Salt + Si | 3.59 ± 0.022 g | 46.24 ± 0.31 ij | 76.48 ± 1.11 g | |
| Heat + Si | 3.25 ± 0.040 h | 45.42 ± 0.98 j | 72.3 ± 0.88 i | |
| Salt + Heat + Si | 3.48 ± 0.034 g | 43.99 ± 1.14 k | 74.39 ± 0.78 h | |
| Faisalabad-2008 | Control | 1.90 ± 0.022 n | 37.98 ± 1.29 no | 49.43 ± 0.36 p |
| Salt stress (8 dS m−1) | 1.55 ± 0.031 o | 39.04 ± 1.41 n | 46.17 ± 0.99 q | |
| Heat stress | 1.35 ± 0.025 p | 40.90 ± 1.56 m | 44.94 ± 0.89 q | |
| Salt + Heat | 1.23 ± 0.02 p | 42.72 ± 1.12 l | 41.36 ± 1.12 r | |
| Si (500 mg kg−1) | 2.56 ± 0.022 jk | 34.30 ± 1.14 q | 59.48 ± 0.88 m | |
| Salt + Si | 2.40 ± 0.016 kl | 36.92 ± 1.38 op | 57.99 ± 0.99 m | |
| Heat + Si | 2.16 ± 0.011 m | 36.29 ± 1.42 p | 52.46 ± 0.99 o | |
| Salt + Heat + Si | 2.25 ± 0.012 lm | 35.33 ± 1.56 pq | 54.72 ± 1.12 n |
| Wheat Cultivars | Treatments | MDA (µ mol g−1 FW) | H2O2 µ mol g−1 FW) |
|---|---|---|---|
| Akbar-2019 | Control | 3.92 ± 0.12 n | 2.62 ± 0.26 j |
| Salt stress (8 dS m−1) | 4.81 ± 0.41 ij | 3.49 ± 0.21 f | |
| Heat stress | 4.92 ± 0.10 j | 3.61 ± 0.09 ef | |
| Salt + Heat | 5.11 ± 0.22 i | 3.72 ± 0.10 e | |
| Si (500 mg kg−1) | 3.70 ± 0.31 p | 2.50 ± 0.19 k | |
| Salt+ Si | 4.52 ± 0.15 l | 3.39 ± 0.10 g | |
| Heat + Si | 4.60 ± 0.30 k | 3.41 ± 0.12 g | |
| Salt + Heat + Si | 4.72 ± 0.21 jk | 3.52 ± 0.29 f | |
| Subhani-2021 | Control | 4.02 ± 0.10 o | 2.83 ± 0.22 i |
| Salt stress (8 dS m−1) | 5.59 ± 0.14 g | 4.13 ± 0.10 v | |
| Heat stress | 5.70 ± 0.11 g | 4.19 ± 0.15 v | |
| Salt + Heat | 5.88 ± 0.40 f | 4.32 ± 0.12 b | |
| Si (500 mg kg−1) | 3.81 ± 0.19 p | 2.72 ± 0.21 i | |
| Salt + Si | 5.20 ± 0.12 i | 3.86 ± 0.18 ef | |
| Heat + Si | 5.34 ± 0.33 h | 3.92 ± 0.15 e | |
| Salt + Heat + Si | 5.42 ± 0.22 h | 4.04 ± 0.20 d | |
| Faisalabad-2008 | Control | 4.22 ± 0.12 m | 2.99 ± 0.31 h |
| Salt stress (8 dS m−1) | 6.92 ± 0.19 b | 4.62 ± 0.19 a | |
| Heat stress | 7.02 ± 0.31 b | 4.70 ± 0.22 a | |
| Salt + Heat | 7.14 ± 0.22 a | 4.72 ± 0.15 a | |
| Si (500 mg kg−1) | 3.98 ± 0.18 n | 2.80 ± 0.11 i | |
| Salt + Si | 6.51 ± 0.26 e | 4.33 ± 0.20 b | |
| Heat + Si | 6.65 ± 0.14 d | 4.41 ± 0.14 b | |
| Salt + Heat + Si | 6.80 ± 0.10 c | 4.52 ± 0.19 ab |
| Wheat Cultivars | Treatments | TPP | GPS | SL (cm) | 100 GW (g) | GYPP (g) | BYPP (g) |
|---|---|---|---|---|---|---|---|
| Akbar-2019 | Control | 11.63 ± 0.04 d | 50.97 ± 0.69 e | 9.57 ± 0.018 d | 8.22 ± 0.035 d | 9.17 ± 0.10 c | 27.60 ± 0.23 e |
| Salt stress (8 dS m−1) | 11.16 ± 0.03 e | 50.20 ± 0.21 ef | 9.51 ± 0.012 df | 8.15 ± 0.023 d | 8.81 ± 0.23 d | 27.41 ± 0.10 f | |
| Heat stress | 10.26 ± 0.09 f | 50.09 ± 0.54 ef | 9.44 ± 0.024 e | 7.95 ± 0.062 e | 8.56 ± 0.14 e | 26.63 ± 0.11 g | |
| Salt + Heat | 10.06 ± 0.02 fg | 49.88 ± 0.29 f | 9.36 ± 0.046 f | 7.77 ± 0.090 f | 8.31 ± 0.22 f | 26.35 ± 0.11 h | |
| Si (500 mg kg−1) | 13.76 ± 0.10 a | 58.91 ± 0.34 a | 9.84 ± 0.052 a | 8.82 ± 0.054 a | 9.79 ± 0.15 a | 29.50 ± 0.17 a | |
| Salt + Si | 13.23 ± 0.09 b | 56.53 ± 0.41 b | 9.81 ± 0.11 ab | 8.66 ± 0.042 b | 9.69 ± 0.075 a | 29.35 ± 0.22 b | |
| Heat + Si | 11.83 ± 0.12 d | 52.68 ± 0.65 d | 9.67 ± 0.098 c | 8.47 ± 0.061 c | 9.29 ± 0.038 bc | 28.42 ± 0.23 d | |
| Salt + Heat + Si | 12.90 ± 0.14 c | 47.83 ± 0.56 g | 9.75 ± 0.012 b | 8.50 ± 0.050 c | 9.45 b ± 0.18 b | 28.67 ± 0.17 e | |
| Subhani-2021 | Control | 8.93 ± 0.10 j | 39.55 ± 0.49 j | 8.42 ± 0.033 jk | 6.89 ± 0.038 j | 7.29 ± 0.042 i | 22.61 ± 0.056 m |
| Salt stress (8 dS m−1) | 8.46 ± 0.09 k | 39.21 ± 0.62 jk | 8.38 ± 0.11 k | 6.72 ± 0.027 k | 6.89 ± 0.015 j | 21.50 ± 0.22 n | |
| Heat stress | 8.26 ± 0.19 k | 38.96 ± 0.54 jk | 8.30 ± 0.012 l | 6.46 ± 0.035 l | 6.43 ± 0.12 k | 21.22 ± 0.21 o | |
| Salt + Heat | 7.80 ± 0.18 l | 38.23 ± 0.48 k | 8.14 ± 0.029 m | 6.22 ± 0.10 m | 6.21 ± 0.044 l | 20.71 ± 0.18 p | |
| Si (500 mg kg−1) | 9.83 ± 0.20 g | 47.83 ± 0.50 g | 9.22 ± 0.034 g | 7.62 ± 0.078 g | 7.90 ± 0.015 g | 25.53 ± 0.32 i | |
| Salt+ Si | 9.43 ± 0.14 h | 46.43 ± 0.26 h | 8.84 ± 0.012 h | 7.35 ± 0.053 h | 7.54 ± 0.044 h | 24.66 ± 0.098 j | |
| Heat + Si | 9.13 ± 0.010 ij | 39.94 ± 0.39 j | 8.46 ± 0.10 j | 7.09 ± 0.042 i | 7.42 ± 0.078 hi | 23.57 ± 0.11 l | |
| Salt + Heat+ Si | 9.36 ± 0.012 hi | 44.90 ± 0.42 j | 8.54 ± 0.018 i | 7.13 ± 0.054 i | 7.49 ± 0.065 h | 24.35 ± 0.12 k | |
| Faisalabad-2008 | Control | 5.26 ± 0.014 p | 24.22 ± 0.31 p | 7.20 ± 0.019 r | 5.24 ± 0.029 q | 4.89 ± 0.053 p | 16.59 ± 0.13 u |
| Salt stress (8 dS m−1) | 4.80 ± 0.024 q | 21.77 ± 0.46 q | 7.14 ± 0.069 r | 4.87 ± 0.49 r | 4.42 ± 0.046 q | 15.74 ± 0.29 v | |
| Heat stress | 4.26 ± 0.039 r | 19.73 ± 0.12 r | 6.93 ± 0.12 s | 4.52 ± 0.54 s | 4.36 ± 0.035 q | 14.59 ± 0.24 w | |
| Salt + Heat | 3.83 ± 0.043 s | 18.29 ± 0.19 s | 6.74 ± 0.043 t | 3.87 ± 0.042 t | 3.93 ± 0.052 r | 13.26 ± 0.12 x | |
| Si (500 mg kg−1) | 6.66 ± 0.053 l | 35.53 ± 0.29 l | 7.94 ± 0.023 n | 5.82 ± 0.031 m | 5.87 ± 0.016 m | 19.70 ± 0.13 q | |
| Salt + Si | 6.23 ± 0.044 n | 33.27 ± 0.25 m | 7.82 ± 0.017 o | 5.65 ± 0.064 n | 5.62 ± 0.029 n | 18.66 ± 0.22 r | |
| Heat + Si | 5.06 ± 0.029 pq | 29.83 ± 0.21 o | 7.35 ± 0.015 q | 5.38 ± 0.05 pq | 5.26 ± 0.043 o | 17.47 ± 0.24 t | |
| Salt + Heat + Si | 5.66 ± 0.11 o | 31.92 ± 0.14 n | 7.49 ± 0.025 p | 5.45 ± 0.039 p | 5.33 ± 0.040 o | 17.60 ± 0.36 s |
| Wheat Cultivars | Treatments | Na (mg g−1 DW) | Cl (mg g−1 DW) | Ca (mg g−1 DW) | Mg (mg g−1 DW) | K (mg g−1 DW) |
|---|---|---|---|---|---|---|
| Akbar-19 | Control | 1.64 ± 0.12 h | 2.32 ± 0.12 f | 60.12 ± 1.12 b | 46.12 ± 0.85 c | 25.90 ± 0.42 b |
| Salt stress (8 dS m−1) | 19.20 ± 1.22 c | 33.10 ± 0.78 a | 39.21 ± 1.00 g | 33.10 ± 0.92 f | 24.22 ± 0.29 c | |
| Heat stress | 1.76 ± 0.10 h | 2.65 ± 0.10 f | 42.23 ± 0.99 f | 35.22 ± 0.78 f | 25.07 ± 0.56 b | |
| Salt + Heat | 20.20 ± 1.34 b | 32.00 ± 0.89 b | 44.33 ± 1.42 e | 36.41 ± 1.11 f | 26.05 ± 0.60 b | |
| Si (500 mg kg−1) | 1.52 ± 0.10 h | 2.40 ± 0.10 f | 65.23 ± 0.68 a | 50.67 ± 1.09 a | 27.25 ± 0.42 a | |
| Salt+ Si | 18.00 ± 0.92 f | 26.12 ± 0.92 f | 50.24 ± 0.56 c | 39.10 ± 1.32 d | 15.45 ± 0.33 f | |
| Heat + Si | 1.78 ± 0.10 h | 2.42 ± 0.022 f | 49.23 ± 0.99 c | 40.11 ± 1.21 d | 17.12 ± 0.22 e | |
| Salt+ Heat+ Si | 16.44 ± 0.22 h | 26.91 ± 1.11 de | 46.88 ± 1.43 d | 42.33 ± 1.11 d | 18.15 ± 0.67 d | |
| Subhani-21 | Control | 1.70 ± 0.49 h | 2.38 ± 0.029 f | 59.12 ± 1.14 b | 44.10 ± 1.09 d | 25.90 ± 0.70 b |
| Salt stress (8 dS m−1) | 19.44 ± 0.89 c | 31.20 ± 0.82 b | 39.00 ± 1.10 g | 32.91 ± 1.05 g | 24.00 ± 0.55 c | |
| Heat stress | 1.80 ± 0.10 h | 2.70 ± 0.002 f | 41.91 ± 0.86 f | 35.10 ± 1.22 f | 25.00 ± 0.42 b | |
| Salt + Heat | 21.10 ± 0.75 a | 32.30 ± 0.89 b | 43.90 ± 0.58 e | 35.40 ± 1.10 f | 26.05 ± 0.29 b | |
| Si (500 mg kg−1) | 1.55 ± 0.40 h | 2.41 ± 0.10 f | 64.23 ± 0.72 a | 48.50 ± 0.87 b | 26.25 ± 0.33 a | |
| Salt+ Si | 18.50 ± 0.56 e | 26.88 ± 0.78 de | 50.12 ± 0.92 c | 38.99 ± 0.72 e | 15.33 ± 0.29 f | |
| Heat + Si | 1.80 ± 0.29 h | 2.46 ± 0.022 f | 49.20 ± 0.88 c | 39.98 ± 0.33 d | 17.00 ± 0.82 e | |
| Salt+ Heat+ Si | 16.99 ± 0.33 g | 27.50 ± 0.98 d | 46.80 ± 1.13 d | 40.30 ± 0.92 d | 18.00 ± 0.26 d | |
| Faisalabad-08 | Control | 1.70 ± 0.10 h | 2.40 ± 0.020 f | 59.00 ± 1.19 b | 44.00 ± 0.76 d | 25.80 ± 0.42 b |
| Salt stress (8 dS m−1) | 20.22 ± 0.45 b | 32.20 ± 0.89 b | 38.78 ± 1.21 g | 32.85 ± 0.42 g | 23.90 ± 0.33 c | |
| Heat stress | 1.85 ± 0.013 h | 2.79 ± 0.10 f | 41.90 ± 0.99 f | 35.00 ± 0.78 f | 25.00 ± 0.29 b | |
| Salt + Heat | 21.22 ± 0.22 a | 33.20 ± 1.20 a | 43.65 ± 1.40 e | 35.11 ± 0.99 f | 26.10 ± 0.40 b | |
| Si (500 mg kg−1) | 1.55 ± 0.10 h | 2.45 ± 0.033 f | 64.20 ± 1.32 a | 48.49 ± 0.72 b | 26.00 ± 0.44 a | |
| Salt+ Si | 18.76 ± 0.34 e | 27.20 ± 1.41 d | 50.10 ± 1.33 c | 38.92 ± 0.88 e | 15.12 ± 0.22 f | |
| Heat + Si | 1.80 ± 0.10 h | 2.50 ± 0.020 d | 49.01 ± 1.29 c | 39.83 ± 0.89 d | 16.92 ± 0.20 e | |
| Salt+ Heat+ Si | 17.22 ± 0.42 g | 28.96 ± 0.99 c | 46.72 ± 1.20 d | 40.22 ± 1.10 d | 17.90 ± 0.17 d |
Disclaimer/Publisher’s Note: The statements, opinions and data contained in all publications are solely those of the individual author(s) and contributor(s) and not of MDPI and/or the editor(s). MDPI and/or the editor(s) disclaim responsibility for any injury to people or property resulting from any ideas, methods, instructions or products referred to in the content. |
© 2023 by the authors. Licensee MDPI, Basel, Switzerland. This article is an open access article distributed under the terms and conditions of the Creative Commons Attribution (CC BY) license (https://creativecommons.org/licenses/by/4.0/).
Share and Cite
Aouz, A.; Khan, I.; Chattha, M.B.; Ahmad, S.; Ali, M.; Ali, I.; Ali, A.; Alqahtani, F.M.; Hashem, M.; Albishi, T.S.; et al. Silicon Induces Heat and Salinity Tolerance in Wheat by Increasing Antioxidant Activities, Photosynthetic Activity, Nutrient Homeostasis, and Osmo-Protectant Synthesis. Plants 2023, 12, 2606. https://doi.org/10.3390/plants12142606
Aouz A, Khan I, Chattha MB, Ahmad S, Ali M, Ali I, Ali A, Alqahtani FM, Hashem M, Albishi TS, et al. Silicon Induces Heat and Salinity Tolerance in Wheat by Increasing Antioxidant Activities, Photosynthetic Activity, Nutrient Homeostasis, and Osmo-Protectant Synthesis. Plants. 2023; 12(14):2606. https://doi.org/10.3390/plants12142606
Chicago/Turabian StyleAouz, Ansa, Imran Khan, Muhammad Bilal Chattha, Shahbaz Ahmad, Muqarrab Ali, Iftikhar Ali, Abid Ali, Fatmah M. Alqahtani, Mohamed Hashem, Tasahil S. Albishi, and et al. 2023. "Silicon Induces Heat and Salinity Tolerance in Wheat by Increasing Antioxidant Activities, Photosynthetic Activity, Nutrient Homeostasis, and Osmo-Protectant Synthesis" Plants 12, no. 14: 2606. https://doi.org/10.3390/plants12142606
APA StyleAouz, A., Khan, I., Chattha, M. B., Ahmad, S., Ali, M., Ali, I., Ali, A., Alqahtani, F. M., Hashem, M., Albishi, T. S., Qari, S. H., Chatta, M. U., & Hassan, M. U. (2023). Silicon Induces Heat and Salinity Tolerance in Wheat by Increasing Antioxidant Activities, Photosynthetic Activity, Nutrient Homeostasis, and Osmo-Protectant Synthesis. Plants, 12(14), 2606. https://doi.org/10.3390/plants12142606

