Abstract
Ongoing climatic change is threatening the survival of drought-sensitive tree species, such as silver fir (Abies alba). Drought-induced dieback had been previously explored in this conifer, although the role played by tree-level genetic diversity and its relationship with growth patterns and soil microsite conditions remained elusive. We used double digest restriction-site-associated DNA sequencing (ddRADseq) to describe different genetic characteristics of five silver fir forests in the Spanish Pyrenees, including declining and non-declining trees. Single nucleotide polymorphisms (SNPs) were used to investigate the relationships between genetics, dieback, intraspecific trait variation (functional dendrophenotypic traits and leaf traits), local bioclimatic conditions, and rhizosphere soil properties. While there were no noticeable genetic differences between declining and non-declining trees, genome–environment associations with selection signatures were abundant, suggesting a strong influence of climate, soil physicochemical properties, and soil microbial diversity on local adaptation. These results provide novel insights into how genetics and diverse environmental factors are interrelated and highlight the need to incorporate genetic data into silver fir forest dieback studies to gain a better understanding of local adaptation.
Keywords:
Abies alba; climate warming; forest die-off; ddRADseq; SNPs; dendroecology; soil nutrients; soil microbiome; PLFAs 1. Introduction
Climate-change-induced disturbances are increasing in frequency and severity, threatening the persistence of numerous tree species, as well as the diversity and dynamics of forest ecosystems worldwide [1]. Together with variations in the average value of climatic variables, forests will also have to deal with the risks posed by the increase in adverse weather events, broadly represented by extreme droughts and heat waves [2,3].
Tree populations can follow two main strategies to cope with major changes in climatic conditions: migration and adaptation [4]. Migration rates will likely be surpassed by the current pace of climate change [5] and could be hindered by natural barriers and human-induced habitat transformations [6]. On the other hand, the genetic diversity of populations could be key to mitigating the effects of climate change [7] and achieving adaptation through the selection of potentially beneficial alleles present in the populations [8]. Therefore, understanding the relationship between genomes and adaptive phenotypic characteristics and the extent to which they are influenced by the environment may be essential for predicting the fate of tree species coping with climate change [9,10].
Regarding genomic information, single nucleotide polymorphism (SNP) genotyping allows one to make extensive use of genetic markers, as they are found at a high frequency across genomes [11]. Genotyping by sequencing (GBS) methods for SNP discovery are particularly useful to study the genetic structures of natural populations [12,13], identify genome–environment associations [14,15], and detect selection signatures [16,17]. In addition, they are particularly appropriate for conifer genomes, allowing for a reduction in their intrinsic complexity derived from their large sizes and high percentage of repetitions [18] by reducing the sequenced portion. More specifically, double digest restriction-site-associated DNA sequencing (ddRADseq) including methylation-sensitive enzymes in the digestion step seems to be especially beneficial [14], as demonstrated by the increasing number of studies following this approach, e.g., [15,19,20]. Repetitive DNA sequences and transposable elements are highly methylated in plants [21], so the use of at least one methylation-sensible enzyme is conducive to a reduction in their representation and to an increase in the coverage of coding regions [22].
The combination of genetic data with environmental factors and dendrochronology can help provide a comprehensive vision of how genomes are shaped by their interactions with the environment, and how much of an impact they make on functional traits and growth patterns [23].
Genome–environment associations look for statistical associations between allele frequencies and ecological variations with the aim of identifying genes involved in local adaptation [24]. With climate change notably altering the abiotic environmental factors that are known to affect plants [25], the need to understand the molecular basis of such evolutionary processes is particularly important in order to be able to design conservation plans if necessary to protect plant species.
While genome–environment associations can help identify putatively adaptive loci [26], genotype–phenotype associations give cause for other approaches in the path to understanding adaptation. Particularly, dendrophenotypes offer an exceptional opportunity to determine how each tree responded to documented stress periods in the past by analyzing past growth rates, and have become a potent resource for genetic association studies [27]. Leaf functional traits can also add relevant information regarding responses to drought events. For instance, high leaf mass area seems to lead to better tolerance to dehydration [28], just like leaf dry matter content is positively correlated with endurance to dry conditions [29,30].
In this context, this study focuses on silver fir (Abies alba Mill.), which is among the tree species affected by extensive dieback and increased mortality rates [31,32]. Forest decline in populations of silver fir has been reported since the 1980s in the Pyrenees (Europe), coinciding with a succession of dry years [33]. Although it was generally agreed that this conifer is quite resistant to drought [34,35], water stress has been linked to growth decline [36], crown defoliation [37], nutritional impairments in carbon–water balance [38], and uncoupled patterns of seed dispersal and regeneration [39] in Pyrenean silver fir forests in recent decades. Predictions point to more frequent and intense droughts in the Mediterranean area [40], concurrent to global warming [41], which will further challenge the species’ ability to cope with the new environmental conditions.
Consequently, the main objective of this study was to identify molecular markers (SNPs) in the A. alba genome that could be used to characterize silver fir populations in the Pyrenees and contain enlightening information regarding their potential adaptive capacity to climate change. Hence, we combined genotype information with environmental data, soil physicochemical properties and soil microbial diversity, and functional and dendrophenotypic traits with the following aims: (i) to describe and compare the genetic characteristics of declining and non-declining stands, as well as declining and non-declining trees, (ii) to detect genomic regions under selection in such trees, and (iii) to identify genetic markers (SNPs) associated with environmental and phenotypic variables potentially involved in responses to climate stress. This information could help gain a better insight into this conifer’s declining process.
2. Results
2.1. SNP Genotyping
After trimming, an average of 96.87% of the reads were retained (93.54% minimum, 98.37% maximum). An average of 68.74% of those reads were successfully mapped to the reference genome (37.42% minimum, 85.19% maximum). A total of 55,803 SNPs were identified in the 266 sequenced samples, of which 3958 SNPs and 254 individuals were retained after the filtering step (Table S1).
2.2. Genetic Characteristics of Populations
The SNP dataset showed a percentage of polymorphic loci of 99.44, 88.53, 99.62, 99.72, and 98.79 in the five studied stands (CO, GA, PE, PM, and SO, respectively; see Section 4.1 for details). Significant genetic differences, measured by fixation index (FST), were detected between all population pairs (Table 1). The analysis of molecular variance (AMOVA) also showed significant genetic differences among populations (Table S2). When accounting for FST differences between declining and non-declining individuals, no statistical differences were found within any population (Table 2).
Table 1.
Fixation indexes (FST) above diagonal between the studied A. alba populations in the Pyrenees and their associated p-values below diagonal.
Table 2.
Fixation indexes (FST) and their associated p-values between non-declining (ND) and declining (D) A. alba individuals within each declining population (declining individuals were present only in CO, PE, and PM populations; see Section 4.1 for details).
The principal component analysis (PCA) showed, in agreement with the FST and AMOVA results, that each population can be genetically distinguished, with their respective individuals grouping together (Figure 1). CO was the most isolated one, in consonance with a larger geographic distance between itself and the other study sites (see Section 4.1). The two healthy populations (GA and SO) appeared close to each other, in the center of the plot. GA overlapped with PE, while SO partially overlapped with PM. This pairing was in line with the existence of geographical barriers between the two populations more to the west and the two more to the east (GA and SO are separated by a mountain, and PE and PM are on different sides of a valley).
Figure 1.
Principal component analysis (PCA) of the 3958 A. alba SNPs showing the first and second principal components. Each color represents a different population (CO, GA, PE, PM, SO).
2.3. Selection Signatures
Selection signatures were found in 41 SNPs taking into account the five genetically different populations (Figure S1). The rest of the comparisons (considering health state and age) did not uncover any genomic region under selection. Eleven of those SNPs were located within an annotated gene or close to one (Table 3). Among the proteins produced by these genes, there was an abscisic acid (ABA) receptor, which is part of a family involved in responses to adaptive stresses in plants, coordinating complex networks that allow responses to drought, salinity, and temperature fluctuations [42]. A heavy metal-associated protein (HIPP) also showed signs of selection. While they are mainly known for their detoxification purposes, it has been seen that they also play a role in response to ABA, and, therefore, in response to different abiotic stress conditions [43,44]. In addition, a chaperone could also be found among the obtained proteins, which is also linked to the ABA signaling pathway. These proteins can sense the epigenetic environment created by some chromatin-remodeling factors that interact with ABA, playing a role in inducing stress memory by ensuring the dynamic epigenetic mechanisms that control gene expression [45]. Their allele frequencies in each population can be seen in Figure 2.
Table 3.
Molecular markers (SNPs) under selection found within or close to an annotated gene (“Position”) in A. alba, specifying their exact location in the genome, as well as the protein encoded by such genes.
Figure 2.
Allele frequencies of SNPs showing selection signs (SNP 333, SNP 1034, SNP 2697) in the studied A. alba populations (CO, GA, PE, PM, SO). Dark gray represents the frequency of allele 1; light gray represents the frequency of allele 2.
2.4. Genome–Environment Associations (GEA)
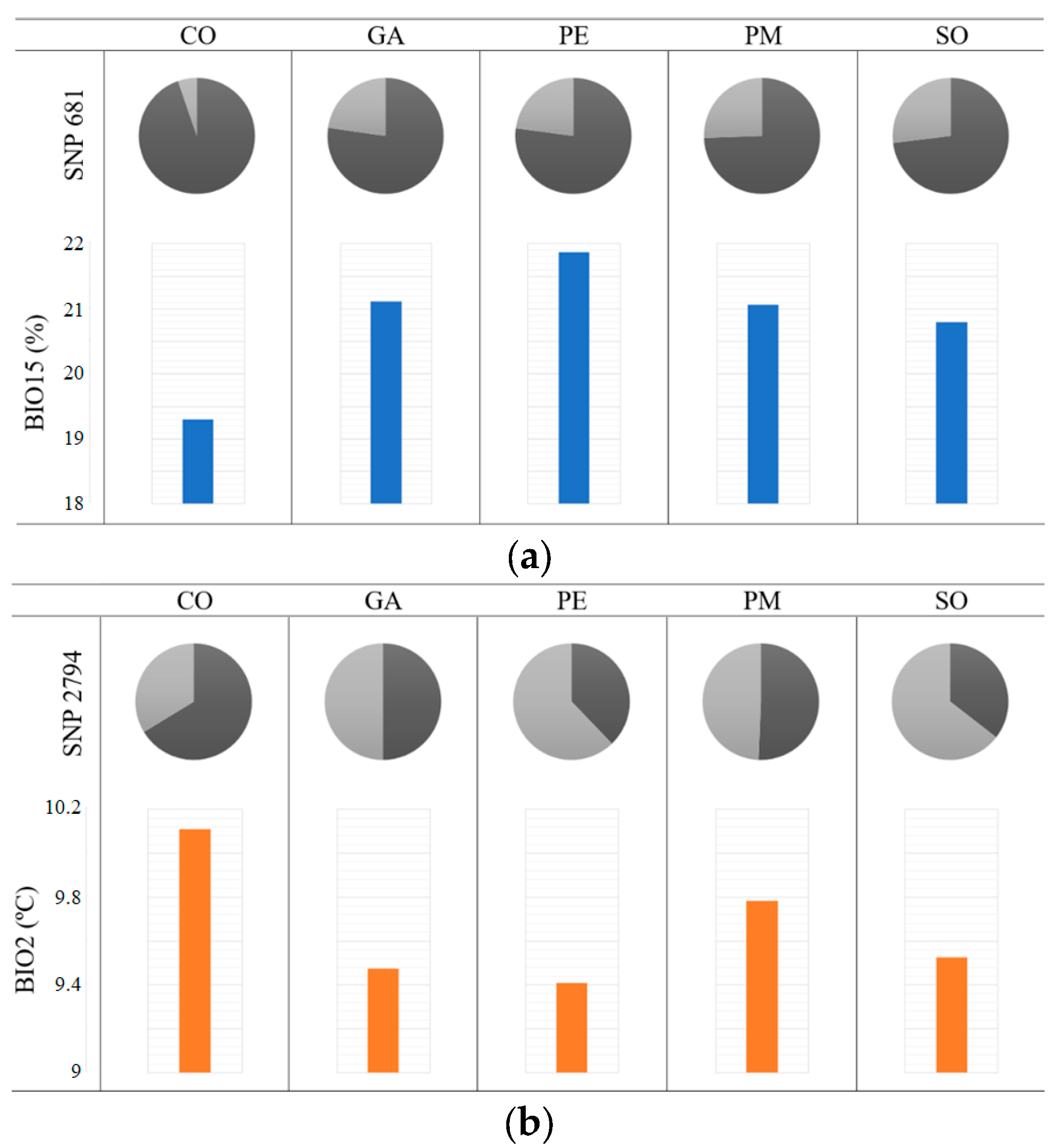
Genome–environment associations were found between 47 different SNPs and the five bioclimatic variables, giving a total of 71 associations (Table S3). Of these, 4 also showed selection signatures, and 15 were located within an annotated gene or close to one (Table 4). BIO15 (precipitation seasonality) showed the highest number of associations, while BIO3 (isothermality) only had one. Among the proteins associated with precipitation variables, there was an aquaporin, which is part of a family of water channels crucial for maintaining water balance in plants [46]. There was an SNP in one of the introns which are part of the gene that encodes this protein, with the frequency of its allele 2 (T) increasing as BIO15 increased (Figure 3a). Temperature variables also showed associations with proteins related to response to abiotic stress, such as RAD7, which is involved in DNA repair after UV light damage [47]. In this case, the frequency of allele 1 (T) of its associated SNP increased as BIO2 (mean diurnal range) increased (Figure 3b).
Table 4.
Molecular markers (SNPs) associated with bioclimatic variables found within or close to an annotated gene (“Position”) in A. alba, specifying their exact location in the genome, as well as the protein encoded by such genes. SNPs with selection signatures are marked in bold.
Figure 3.
Allele frequencies of SNP 681, associated with a precipitation variable (BIO15, precipitation seasonality, represented in blue) (a), and SNP 2794, associated with a temperature variable (BIO2, mean diurnal range, represented in orange) (b). Dark gray represents the frequency of allele 1 in each population; light gray represents the frequency of allele 2 in each population.
Genome–environment associations were found between 35 different SNPs and the eight abiotic soil variables, giving a total of 80 associations (Table S4). Of these, 5 also showed selection signatures, and 13 were located within an annotated gene or close to one (Table 5). The Saxton value showed the highest number of associations, while the percentage of silt only had two.
Table 5.
Molecular markers (SNPs) associated with abiotic soil variables found within or close to an annotated gene (“Position”) in A. alba, specifying their exact location in the genome, as well as the protein encoded by such genes. SNPs with selection signatures are marked in bold.
Regarding the eight biotic soil variables, 33 different SNPs were significantly associated with them, giving a total of 81 associations (Table S5). Of these, 4 also showed selection signatures, and 13 were located within an annotated gene or close to one (Table 6). The concentration of Gram-positive bacteria showed the highest number of associations, while fungi only had one.
Table 6.
Molecular markers (SNPs) associated with biotic soil variables found within or close to an annotated gene (“Position”) in A. alba, specifying their exact location in the genome, as well as the protein encoded by such genes. SNPs with selection signatures are marked in bold.
A high proportion of SNPs were found to be associated with several types of environmental variables and/or to be under selective pressure (Figure 4), showing the influence of the environment on this species genome and the existence of a correlation between soil and climatic variables.
Figure 4.
Venn diagram showing the number of SNPs associated with different environmental variables (bioclimatic variables, soils—abiotic, soils—biotic) or showing selection signs, and the coincidences among them.
2.5. Genotype–Phenotype Associations (GPA)
Genotype–phenotype associations were found between 19 SNPs and 2 functional traits (out of 5) and 7 dendrophenotypic traits (out of 46) related to response to past drought events, with resilience to the 1998 drought (Rs98) as the variable with the highest number of associations (Table S6). Of these, eight were located within an annotated gene or close to one, and none of them showed either signatures of selection or associations with environmental variables (Table 7).
Table 7.
Molecular markers (SNPs) associated with phenotypic traits found within or close to an annotated gene (“Position”) in A. alba, specifying their exact location in the genome, as well as the protein encoded by such genes.
Regarding the 2005–2006 drought, there were two proteins with functions involved in drought response associated with resistance and resilience to this extreme climatic period. One of them was a zinc finger transcription factor which has been linked to drought and heat response multiple times, e.g., [48,49,50]. Homozygous individuals for the T allele of its associated SNP had a higher resistance to the 2005–2006 drought (Figure 5a). The other one was an expansin, which contributes to drought-resistance by maintaining cell turgor and taking part in ABA-mediated cell-wall extension [51]. Homozygous individuals for the C allele of its associated SNP showed a higher resilience to the 2005–2006 drought (Figure 5b).
Figure 5.
Mean values of resistance to the 2005–2006 drought (Rt0506), resilience to the 2005–2006 drought (Rs0506), and response to the 1998 drought (Rs98) with respect to genotypes (allele 1/allele 2) of SNP 887 (a), SNP 1769 (b), and SNP 3878 (c), respectively.
Also associated with resilience, but to the 1998 drought period, there was an aluminum-activated malate transporter, which influences the cellular gamma-aminobutyric acid (GABA) concentration [52]. This amino acid is rapidly accumulated in response to multiple stresses, including drought [53]. Homozygous individuals for the G allele of its associated SNP had a higher resilience to the 1998 drought (Figure 5c).
3. Discussion
This study aimed to gain a better understanding of how genetics could be involved in tree decline and mortality, determining local variability in healthy trees and neighboring individuals showing a declining process towards death. Furthermore, we provide information about the genetic characteristics of contrasting Pyrenean populations of silver fir and their relationship with the environment and phenotypic traits, finding climate and soil microsite conditions as the main factors affecting their local adaptation.
Previously, microsatellites were the most widely employed method to study genetic diversity, structure, and adaptation in silver fir populations, e.g., [54,55,56]. More recently, SNPs have gained popularity as molecular markers in this species, predominantly in the form of genotyping a predefined list of them in candidate genes, e.g., [27,57,58]. In spite of its robustness, it is a limited approach, not accounting for genetic variability in non-coding regions. Additionally, its potential for adaptation in forest trees could rely on quantitative trait loci (QTL), which tend to be scattered across the genome [4], rather than just specific genes of major effect. QTL mapping requires a large number of genetic markers to be successful [59], stressing the need for genome-wide identification of SNPs. RADseq had already proved to be a useful technique for genome-wide genotyping in A. alba [60], and our results show that ddRADseq can be used for that purpose too.
However, genome-wide identification of SNPs in conifers, although possible, remains a complex process hindered by the lack of reference genomes and their quality. For instance, 70% of the reads used in this study mapped to the silver fir reference genome, possibly due to the highly fragmented nature of this assembly. This means 30% of the generated information was lost. It is clear that efforts must be made to improve the existing references and sequence new species.
To our knowledge, this is the first study comparing the genetics of declining or non-declining silver fir individuals. Our results showed that there were no genetic differences between them within their respective populations. A. alba is known to have high phenotypic plasticity, mainly attributed to the effect of environmental factors rather than genetic variability [61]. Thus, epigenomics could be playing a more important role in the fate of each tree in populations subjected to increasingly unfavorable environmental conditions than their differences in genetic molecular markers, especially since climate change is surpassing their adaptive changes in allele frequency rates [5,18]. The lack of selection signatures between adult trees and saplings could also be indicative of a slow adaptation process happening in the studied populations which is not detectable yet and, thus, clearly slower than the ongoing climatic changes. This means this species could probably be threatened in the Pyrenees if conditions continue as they are currently.
Regarding the comparison between populations and considering that they are placed in regions with different environmental conditions, it is not surprising that several SNPs showed signs of selection. Some of these could be used as molecular markers of nearby genes that are involved in stress responses, mainly related to ABA signaling pathways. Whole-genome scans in other coniferous species have demonstrated that genes under selection are often involved in responses to abiotic stress and are rapidly evolving to enable trees to cope with such demanding conditions [62,63]. Therefore, this finding suggests that the environment is impacting the silver fir’s genome by causing different levels of abiotic stress to the populations. The fact that approximately 22% of these SNPs were associated with environmental variables supports this affirmation.
Temperature and precipitation had a similar number of associated SNPs whose allele frequencies changed between populations in line with the variable’s variation. Precipitation seasonality (BIO15) had the highest number of associations, including an aquaporin, which has been directly linked to drought stress in A. alba [64]. Additionally, this variable seems to drive the growth timing of populations of silver fir [65], revealing itself as a key environmental factor for this species [66]. On the other hand, the most relevant temperature variable was mean diurnal range (BIO2), which has been identified as a potential modifier of the effect of drought on tree growth, alleviating the degree of stress caused by drought events when its range is narrow [67].
Soil variables also had a high number of associations, with a large percentage of SNPs associated with both biotic and abiotic parameters. Vegetation, microbial community, and physicochemical properties of soil are closely linked to each other, interacting in a process known as plant–soil feedback [68]. It has been described that plant genotype can significantly influence microbial community composition [69], which, in turn, has an impact on soil properties, such as pH, organic matter content, and soil structure [70,71], and vice versa, with the microbial community being the one affected when there are changes in soil conditions and vegetation [72,73]. Therefore, it is no wonder that almost 50% of the associated markers appear both for soil composition and soil microorganisms and are strongly related to the sampled trees’ genotype.
In addition, it has been described that forest management affects soil microbial composition, increasing soil microbial stress [74] and affecting its resistance and resilience to drought [75,76]. For instance, CO, which has been protected by the “Ordesa and Monte Perdido” National Park since 1918 with strict conservation policies [38], presents higher biomasses of the different tested groups of microorganisms (except for fungi) than the rest of the studied stands (Table S9), which suffered from intense logging activity in the past [33]. Therefore, although climate change and drought are usually the most discussed reasons behind tree dieback, human perturbations, such as logging and selective thinning, should be considered too.
Finally, the genotype–phenotype associations were fewer and almost unique for each variable. While genome–environment associations identify general trends due to their population-level nature, phenotype data can produce much more finely tuned results, as they consider tree-level information. Thus, a strong genetic signal related to growth traits is less likely to be found [27,77,78].
In accordance with this, only 7 out of the 46 dendrophenotypic variables related to growth patterns were associated with genetic markers. More specifically, these traits define how each tree responded to past drought periods. Survival to one-time extreme events, such as extended drought periods, might not be driven as much by adaptation as by each tree’s genetic variability, which could be key to increasing its chances of carrying a variant that could help it cope with the adverse climatic situation [8]. Thus, the small number of associations found for the variables related to response to past drought events could be pointing to genome regions that were helpful in maintaining certain growth rates and vitality while dealing with a specific unfavorable event but were not particularly useful in the long run. Additionally, none of these regions showed signs of selection, proving that they are not directly involved in long-term adaptation to the environment.
Two traits related to leaf characteristics also showed a low number of associated SNPs, in line with a weak differentiation in leaf morphology between individuals [38]. Lastly, the lack of associations to growth pattern variables based on tree-level BAI might be due to the influence of the environment on growth rates rather than the effect of the genotype itself, as the succession of severe drought events in combination with increasingly higher temperatures during the last 40 years has led to growth decline in different silver fir populations across the Pyrenees [33,79].
In summary, integrative studies incorporating genetic, phenotypic, and environmental data represent a powerful tool for the uncovering adaptation mechanisms of natural tree populations, as demonstrated by the growing number of publications following this approach, e.g., [14,27,58].
In this regard, improved reference genomes for conifer species are of utmost importance in the pursuit of understanding their genetic vulnerability to climate change. In addition to allowing more efficient genome-wide identification of molecular markers and adaptive candidate loci, they would pave the way for the accurate identification of epigenomic marks [18]. Epigenetic mechanisms reflect to a large extent the effect of environmental factors on gene expression [80], which would complement the existing information about how these variables affect the genome. Given that our results did not identify any genomic region under selection between declining and non-declining trees, epigenomic studies should also be put in the spotlight following their potential explanatory power regarding trees’ response to climate change.
4. Materials and Methods
4.1. Study Species and Sites
Silver fir (Abies alba Mill.) is a large conifer distributed in montane areas in Europe (Figure 6). It can live up to half a millennium, reaching its reproductive maturity at 30–40 years old [81]. It is commonly found in elevated areas (500–2000 m a.s.l) with 700–1800 mm of mean annual precipitation [82]. It is highly shade-tolerant, finding its best growth conditions in locations with at least 1500 mm of annual precipitation and mean temperature around 9 °C [83]. It can grow in soils with a pH from acid to neutral, preferring moist soils but not too wet [81]. The silver fir forests of the Pyrenees constitute the European southwestern limit of the distribution of this species, where it usually grows in mesic sites on north-facing slopes, creating pure or mixed forests with European beech (Fagus sylvatica L.) or Scots pine (Pinus sylvestris L.), with the understory vegetation dominated by several shrubs such as European box (Buxus sempervirens L.) [38].
Figure 6.
Silver fir, Abies alba, distribution in purple, as described by EUFORGEN, and study sites in the Pyrenees (GA, CO, PE, PM, SO), marked with black circles.
The study sites were the four A. alba stands included in a previous study [38] plus an extra one, all of them placed in north-western Aragón, in the central-western Spanish Pyrenees (Figure 6, Table 8). Three of these sites show signs of forest decline, with declining and non-declining trees coexisting (Cotatuero, CO; Paco Ezpela, PE; and Paco Mayor, PM), while the other two are populated only by healthy individuals (Selva de Oza, SO; and Gamueta, GA). Samples from different types of individuals were collected at all sites: adult trees (between 40 and 220 years old, with a mean age of 111) and saplings growing nearby (no taller than 1.5 m). Additionally, adult trees were sampled regarding two additional categories at sites where it was possible: declining individuals and non-declining (healthy) individuals. Their health state was determined by their crown defoliation levels [38], considering only trees that did not show signs of any disease. This sampling design allowed us to look for differences between age cohorts and health cohorts, as well as between stands. Tree age was determined by the preformed-growth pattern found in firs [15].
Table 8.
Brief characterization of the study sites, including their geographical position and climate information. Altitude was measured in meters above sea level, mean temperature (T) was measured in °C, and annual precipitation (P) was measured in mm.
4.2. SNP Genotyping
Fresh leaf samples were collected from 266 A. alba individuals. In total, 100 mg of each sample was lyophilized and used for total genomic DNA extraction with DNeasy Plant Mini Kit (Qiagen®, Berlin, Germany). DNA yield and purity were determined using a NanoDropTM spectrophotometer and visually inspected after electrophoresis on agarose gels. Paired-End (PE) libraries for ddRADseq [84] were constructed using ApeKI and PstI restriction enzymes and sequenced by LGC Genomics (Berlin, Germany), with a sequencing depth of 1M. Quality of raw reads was assessed using FastQC v0.11.9 [85]. They were trimmed using fastp v0.12.4 [86] to remove low-quality bases/reads and adapter contamination. The processed reads were mapped to the A. alba reference genome (Abal.1_1) [87] using ipyrad v0.9.65 [88]. This reference genome had over 37 million scaffolds, with a mean scaffold length of 488.5 pb; therefore, in order to reduce the computational cost of this process while retaining its usefulness as much as possible, a shorter version of this genome was created and used as reference. It was made of the first 62,061 scaffolds, which were the longest and had annotated genetic features. The same software (ipyrad) was then used to perform an SNP calling. The obtained SNPs were filtered with VCFtools v0.1.16 [89] to retain high-quality, informative SNPs for subsequent analyses: biallelic, minor allele frequency (MAF) > 5%, maximum missingness < 50%, and only 1 SNP per 10,000 bp to remove strong linkage disequilibrium.
4.3. Genetic Characteristics of Populations
Different descriptive statistics were calculated. GenAlEx v6.5 [90,91] was used to calculate the percentage of polymorphic loci and allele frequencies of relevant SNPs in each population. Genodive v3.06 [92] was used to test population differentiation due to genetic structure (fixation indexes, FST [93]) and to perform an analysis of molecular variance (AMOVA [94,95]) with 9999 permutations. In addition, plink2 v2.00a2.3 [96] was used to carry out a principal component analysis (PCA).
4.4. Selection Signatures
Detection of selection signatures was performed using BayeScan 2.1 [97] with default parameters. SNPs with q-values < 0.05 were considered to be under selective pressure. Different configurations of groups were tested looking for significant differences in allele frequency measured by their FST coefficient: sampling points as groups, condition as groups (non-declining vs. declining), condition as groups within each population, age as groups (adult vs. young), and age as groups within each population.
4.5. Genome–Environment Associations (GEA)
Three types of environmental variables were considered for genome–environment associations (GEA): (1) bioclimatic variables, (2) abiotic soil variables, and (3) biotic soil variables (microbial communities). The associations were identified using BayEnv2 [98] with 100,000 iterations after estimation of the marker’s covariance matrix as indicated by the manual. SNP–variable combinations scoring a Bayes Factor (BF) > 100 were considered to be associated [99].
For each sampling point’s location, 19 bioclimatic variables were obtained from the WorldClim database [100], with a grid cell resolution of 30 s, using QGIS 3.18 (QGIS Development Team, 2022). Highly correlated variables (Pearson’s coefficient > 0.9) were removed, keeping only 5 bioclimatic variables (Table 9), of which 3 were related to temperature (BIO1, BIO2, BIO3) and 2 were related to precipitation (BIO12, BIO15).
Table 9.
Bioclimatic variables for each A. alba population’s location. BIO1: annual mean temperature (°C). BIO2: mean diurnal range (°C). BIO3: isothermality (%). BIO12: annual precipitation (mm). BIO15: precipitation seasonality (%).
The 8 abiotic soil variables were obtained at individual-level [38] and then their mean values were calculated for each population (Table 10). Briefly, soil samples were processed to determine percentage of N, percentage of C (organic and total, used to calculate the C/N ratio), assimilable P (ppm), and 4 soil texture variables (percentage of clay, silt, and sand, and Saxton value to integrate them in a single variable).
Table 10.
Abiotic soil variables for each A. alba population (mean value ± standard error): percentage of nitrogen (% N), carbon-to-nitrogen ratio (C/N), percentage of organic carbon (% org C), assimilable phosphorus (P); percentage of clay (% clay), percentage of silt (% silt), percentage of sand (% sand), and Saxton value (Saxton).
Finally, the 8 biotic soil variables (Table 11) were based on Phospholipid Fatty Acid (PLFA) analysis [101] to assess the microbial community found in the soils where the sampled trees lived. General fatty acid methyl esters (FAMEs) were obtained and then individually identified to calculate the biomasses of eukaryotes, Gram-negative bacteria, Gram-positive bacteria (not including actinobacteria), Actinomycetes, fungi, arbuscular mycorrhizal (AM) fungi, and anaerobic bacteria.
Table 11.
Biotic soil variables for each A. alba population (mean values ± standard error in nmoles): general phospholipid fatty acid (FAME) content, eukaryote biomass, Gram-negative bacteria biomass, Gram-positive bacteria biomass, Actinomycetes biomass, fungi biomass, arbuscular mycorrhizal (AM) fungi biomass, and anaerobic bacteria biomass.
4.6. Genotype–Phenotype Associations (GPA)
Two types of tree-level phenotypic data were considered for genotype–phenotype associations (GPA): (1) functional traits related to leaf characteristics, and (2) dendrophenotypic traits related to growth patterns, climate sensitivity, and response to past drought events. Only adult trees were used for this analysis as saplings were not big enough to sample wood cores from their logs. The associations were determined using the R package rrBLUP v4.6.1 [102,103], including the 19 bioclimatic variables as fixed effects. SNP–trait combinations with q-values < 0.05 after FDR correction were considered to be associated.
The 4 functional traits (Table S7) included leaf area (LA, in mm2), which was measured while needles were fresh, and leaf mass per area (LMA, in mg mm2), which was calculated after they were dried [38]. Leaf dry weight (LDW, in g) was also measured, as well as leaf dry matter content (LDMC, in g g−1) [101].
The 46 dendrophenotypic traits were obtained from dendrochronological studies carried out using data obtained from sampled cores [38]. For the 13 dendrophenotypic traits (Table 12 and Table S8) related to tree-level growth patterns, several variables based on the basal area increment (BAI) were calculated [15], which reflect the growth of the whole tree rather than just the one-dimensional ring width. The periods 1979–1999 and 1999–2019 were selected to account for a time span prior to extensive decline symptoms in the studied Abies alba forests, and a near-to-present period when this fir dieback was widely reported [33].
Table 12.
Description of functional dendrophenotypic traits related to tree-level growth patterns, which were based on the basal area increment (BAI). See [15,38] for details.
For the 21 dendrophenotypic traits (Table 13 and Table S9) related to climate sensitivity, BAI values were correlated with different temperature and precipitation variables [15]. The period used to investigate climate sensitivity was from 1961 to 2019 to ensure the reliability of the climate data and because it included growth data from all sampled trees, excluding juvenile effects [38].
Table 13.
Description of functional dendrophenotypic traits related to tree-level climate sensitivity. They represent the Pearson’s correlation coefficient of the basal area increment (BAI) and the described climate variable for the time span from 1961 to 2019. SPEI stands for Standardized Precipitation Evapotranspiration Index. See [15,38] for details.
For the 12 dendrophenotypic traits (Table S10) related to tree-level response to documented drought periods, resistance (Rt), recovery (Rc), and resilience (Rs) indexes were calculated based on the ratios between different BAI values (reflecting pre-drought, drought, and post-drought growth during documented past extreme drought events) for the 1986 drought, the 1998 drought, the 2005–2006 drought, and the 2012 drought [38].
5. Conclusions
The sampled stands of silver fir in the central-western Spanish Pyrenees showed genetic differences among them. However, no significant genetic differentiation was obtained between declining and non-declining trees within populations. Associations between genome and environment were abundant, linking tree genetics, climate, and soil composition and microbial communities. A high percentage of them also showed signs of selection, supporting a strong impact of environmental factors on this species’ genome. Genotype–phenotype associations were scarce, indicating that growth patterns might be shaped by mechanisms beyond the tree’s genotype itself, such as phenotypic plasticity in response to extreme climatic events. All in all, we provide an integrative vision of how the silver fir genome, the environment, and its phenotype are interrelated, which could be a valuable source of information in the context of climate change.
Supplementary Materials
The following supporting information can be downloaded at: https://www.mdpi.com/article/10.3390/plants12142607/s1, Figure S1: Detection of selection signatures considering all populations. SNPs to the right of the vertical line show significant signatures of selection (q-value < 0.05).; Table S1: Original number of samples from each sampling point and final number of retained samples after filtering; Table S2: Analysis of molecular variance (AMOVA); Table S3: Genome–environment associations (GEA) with bioclimatic variables. SNPs with selection signatures are marked in bold; Table S4: Genome–environment associations (GEA) with abiotic soil variables. SNPs with selection signatures are marked in bold; Table S5: Genome–environment associations (GEA) with biotic soil variables. SNPs with selection signatures are marked in bold; Table S6: Genotype–phenotype associations; Table S7: Tree-level values of functional traits related to leaf characteristics; Table S8: Tree-level values of dendrophenotypic traits related to growth patterns; Table S9: Tree-level values of dendrophenotypic traits related to climate sensitivity; Table S10: Tree-level values of dendrophenotypic traits related to responses to documented drought periods.
Author Contributions
Conceptualization, J.C.L. and F.J.G.; Formal analysis, I.G.-G.; Funding acquisition, J.C.L. and F.J.G.; Investigation, I.G.-G., B.M.-C. and D.M.-M.; Resources, E.G.d.A., A.G., R.S.-S. and J.J.C.; Writing—original draft, I.G.-G.; Writing—review and editing, I.G.-G., B.M.-C., J.L.H., J.C.L. and F.J.G. All authors have read and agreed to the published version of the manuscript.
Funding
This research was funded by Junta de Andalucía, grant number PAIDI, P18-RT-1170, and by the Spanish Ministry of Science and Innovation (MICINN), grant numbers TED2021-129770B-C22 and PID2021-123675OB-C44. A.G. is supported by the “Ramón y Cajal” Program of the Spanish MICINN under grant RyC2020-030647-I, and by the Spanish National Research Council (CSIC) under grant PIE-20223AT003.
Data Availability Statement
Raw genomic sequences can be accessed at NCBI’s Sequence Read Archive (SRA), under the BioProject with accession number PRJNA947483.
Acknowledgments
The authors gratefully acknowledge the computational resources provided by the Supercomputing and Bioinnovation Center (SCBI) of the University of Malaga (UMA). The authors would also like to thank Carmen Cuadrado and Mercedes M. Pedrosa (INIA-CSIC) for the technical assistance provided to lyophilize the samples.
Conflicts of Interest
The authors declare no conflict of interest.
References
- Allen, C.D.; Macalady, A.K.; Chenchouni, H.; Bachelet, D.; Mcdowell, N.; Vennetier, M.; Kitzberger, T.; Rigling, A.; Breshears, D.D.; Hogg, E.H.; et al. A global overview of drought and heat-induced tree mortality reveals emerging climate change risks for forests. For. Ecol. Manag. 2010, 259, 660–684. [Google Scholar] [CrossRef]
- Lindner, M.; Maroschek, M.; Netherer, S.; Kremer, A.; Barbati, A.; Garcia-Gonzalo, J.; Seidl, R.; Delzon, S.; Corona, P.; Kolström, M.; et al. Climate change impacts, adaptive capacity, and vulnerability of European forest ecosystems. For. Ecol. Manag. 2010, 259, 698–709. [Google Scholar] [CrossRef]
- Senf, C.; Buras, A.; Zang, C.S.; Ramming, A.; Seidl, R. Excess forest mortality is consistently linked to drought across Europe. Nat. Commun. 2020, 11, 6200. [Google Scholar] [CrossRef] [PubMed]
- Aitken, S.N.; Yeaman, S.; Holliday, J.A.; Wang, T.; Curtis-McLane, S. Adaptation, migration or extirpation: Climate change outcomes for tree populations. Evol. Appl. 2008, 1, 95–111. [Google Scholar] [CrossRef] [PubMed]
- Davis, M.B.; Shaw, R.G. Range shifts and adaptive responses to quaternary climate change. Science 2001, 292, 673–679. [Google Scholar] [CrossRef]
- Hoegh-Guldberg, O.; Hughes, L.; McIntyre, S.; Lindenmayer, D.B.; Parmesan, C.; Possingham, H.P.; Thomas, C.D. Ecology. Assisted colonization and rapid climate change. Science 2008, 321, 345–346. [Google Scholar] [CrossRef]
- Mosca, E.; Eckert, A.J.; Di Pierro, E.A.; Rocchini, D.; La Porta, N.; Belletti, P.; Neale, D.B. The geographical and environmental determinants of genetic diversity for four alpine conifers of the European Alps. Mol. Ecol. 2012, 21, 5530–5545. [Google Scholar] [CrossRef]
- Barret, R.D.H.; Schluter, D. Adaptation from standing genetic variation. Trends Ecol. Evol. 2008, 23, 38–44. [Google Scholar] [CrossRef]
- Babst, F.; Bouriaud, O.; Poulter, B.; Trouet, V.; Girardin, M.P.; Frank, D.C. Twentieth century redistribution in climatic drivers of global tree growth. Sci. Adv. 2019, 5, eaat4313. [Google Scholar] [CrossRef]
- Alberto, F.J.; Aitken, S.N.; Alia, R.; Gonzalez-Martinez, S.C.; Hanninen, H.; Kremer, A.; Lefèvre, F.; Lenormand, T.; Yeaman, S.; Whetten, R.; et al. Potential for evolutionary responses to climate change evidence from tree populations. Glob. Chang. Biol. 2013, 19, 1645–1661. [Google Scholar] [CrossRef]
- Parchman, T.L.; Gompert, Z.; Mudge, J.; Schilkey, F.D.; Benkman, C.W.; Buerkle, C.A. Genome-wide association genetics of an adaptive trait in lodgepole pine. Mol. Ecol. 2012, 21, 2991–3005. [Google Scholar] [CrossRef] [PubMed]
- Hall, D.; Olsson, J.; Zhao, W.; Kroon, J.; Wennström, U.; Wang, W.R. Divergent patterns between phenotypic and genetic variation in Scots pine. Plant Commun. 2020, 2, 100139. [Google Scholar] [CrossRef] [PubMed]
- Slavov, G.T.; DiFazio, S.P.; Martin, J.; Schackwitz, W.; Muchero, W.; Rodgers-Melnick, E.; Lipphardt, M.F.; Pennacchio, C.P.; Hellsten, U.; Pennacchio, L.A.; et al. Genome resequencing reveals multiscale geographic structure and extensive linkage disequilibrium in the forest tree Populus trichocarpa. New Phytol. 2012, 196, 713–725. [Google Scholar] [CrossRef]
- Méndez-Cea, B.; García-García, I.; Gazol, A.; Camarero, J.J.; de Andrés, E.G.; Colangelo, M.; Valeriano, C.; Gallego, F.J.; Weak, J.C.L. genetic differentiation but strong climate-induced selective pressure toward the rear edge of mountain pine in north-eastern Spain. Sci. Total Environ. 2023, 858 Pt 2, 159778. [Google Scholar] [CrossRef] [PubMed]
- Méndez-Cea, B.; García-García, I.; Sánchez-Salguero, R.; Lechuga, V.; Gallego, F.J.; Linares, J.C. Tree-Level Growth Patterns and Genetic Associations Depict Drought Legacies in the Relict Forests of Abies marocana. Plants 2023, 12, 873. [Google Scholar] [CrossRef] [PubMed]
- DeSilva, R.; Dodd, R.S. Association of genetic and climatic variability in giant sequoia, Sequoiadendron giganteum, reveals signatures of local adaptation along moisture-related gradients. Ecol. Evol. 2020, 10, 10619–10632. [Google Scholar] [CrossRef]
- Talbot, B.; Chen, T.W.; Zimmerman, S.; Joost, S.; Eckert, A.J.; Crow, T.M.; Semizer-Cuming, D.; Seshadri, C.; Manel, S. Combining Genotype, Phenotype, and Environment to Infer Potential Candidate Genes. J. Hered. 2017, 108, 207–216. [Google Scholar] [CrossRef]
- García-García, I.; Méndez-Cea, B.; Martín-Gálvez, D.; Seco, J.I.; Gallego, F.J.; Linares, J.C. Challenges and Perspectives in the Epigenetics of Climate Change-Induced Forests Decline. Front. Plant Sci. 2022, 12, 797958. [Google Scholar] [CrossRef]
- Fernandez, M.C.; Hu, F.S.; Gavin, D.G.; de Lafontaine, G.; Heath, K.D. A tale of two conifers: Migration across a dispersal barrier outpaced regional expansion from refugia. J. Biogeogr. 2021, 48, 133–2143. [Google Scholar] [CrossRef]
- Novikova, S.V.; Sharov, V.V.; Oreshkova, N.V.; Simonov, E.P.; Krutovsky, K.V. Genetic Adaptation of Siberian Larch (Larix sibirica Ledeb.) to High Altitudes. Int. J. Mol. Sci. 2023, 24, 4530. [Google Scholar] [CrossRef]
- Zhang, M.; Kimatu, J.N.; Xu, K.; Liu, B. DNA cytosine methylation in plant development. J. Genet. Genomics 2010, 37, 1–12. [Google Scholar] [CrossRef] [PubMed]
- Pootakham, W.; Sonthirod, C.; Naktang, C.; Jomchai, N.; Sangsrakru, D.; Tangphatsornruang, S. Effects of methylation-sensitive enzymes on the enrichment of genic SNPs and the degree of genome complexity reduction in a two-enzyme genotyping-by-sequencing (GBS) approach: A case study in oil palm (Elaeis guineensis). Mol. Breed. 2016, 36, 154. [Google Scholar] [CrossRef] [PubMed]
- Krutovsky, K.V. Dendrogenomics Is a New Interdisciplinary Field of Research of the Adaptive Genetic Potential of Forest Tree Populations Integrating Dendrochronology, Dendroecology, Dendroclimatology, and Genomics. Russ. J. Genet. 2022, 58, 1273–1286. [Google Scholar] [CrossRef]
- Lasky, J.R.; Josephs, E.B.; Morris, G.P. Genotype-environment associations to reveal the molecular basis of environmental adaptation. Plant Cell 2023, 35, 125–138. [Google Scholar] [CrossRef]
- Chaudhry, S.; Sidhu, G.P.S. Climate change regulated abiotic stress mechanisms in plants: A comprehensive review. Plant Cell Rep. 2022, 41, 1–31. [Google Scholar] [CrossRef] [PubMed]
- MacLachlan, I.R.; McDonald, T.K.; Lind, B.M.; Rieseberg, L.H.; Yeaman, S.; Aitken, S.N. Genome-wide shifts in climate-related variation underpin responses to selective breeding in a widespread conifer. Proc. Natl. Acad. Sci. USA 2021, 118, e2016900118. [Google Scholar] [CrossRef]
- Heer, K.; Behringer, D.; Piermattei, A.; Bässler, C.; Brandl, R.; Fady, B.; Jehl, H.; Liepelt, S.; Lorch, S.; Piotti, A.; et al. Linking dendroecology and association genetics in natural populations: Stress responses archived in tree rings associate with SNP genotypes in silver fir (Abies alba Mill.). Mol. Ecol. 2018, 27, 1428–1438. [Google Scholar] [CrossRef]
- Nardini, A. Hard and tough: The coordination between leaf mechanical resistance and drought tolerance. Flora 2022, 288, 152023. [Google Scholar] [CrossRef]
- Kursar, T.A.; Engelbrecht, B.M.J.; Burke, A.; Tyree, M.T.; Omari, B.M.I.; Giraldo, J.P. Tolerance to low leaf water status of tropical tree seedlings is related to drought performance and distribution. Funct. Ecol. 2009, 23, 93–102. [Google Scholar] [CrossRef]
- Markesteijn, L.; Poorter, L.; Bongers, F.; Paz, H.; Sack, L. Hydraulics and life history of tropical dry forest tree species: Coordination of species’ drought and shade tolerance. New Phytol. 2011, 191, 480–495. [Google Scholar] [CrossRef] [PubMed]
- Camarero, J.J.; Gazol, A.; Sangüesa-Barreda, G.; Oliva, J.; Vicente-Serrano, S.M. To die or not to die: Early warnings of tree dieback in response to a severe drought. J. Ecol. 2015, 103, 44–57. [Google Scholar] [CrossRef]
- Gazol, A.; Camarero, J.J.; Gutiérrez, E.; Popa, I.; Andreu-Hayles, L.; Motta, R.; Nola, P.; Ribas, M.; Sangüesa-Barreda, G.; Urbinati, C.; et al. Distinct effects of climate warming on populations of silver fir (Abies alba) across Europe. J. Biogeogr. 2015, 42, 1150–1162. [Google Scholar] [CrossRef]
- Camarero, J.J.; Bigler, C.; Linares, J.C.; Gil-Pelegrín, E. Synergistic effects of past historical logging and drought on the decline of Pyrenean silver fir forests. For. Ecol. Manag. 2011, 262, 759–769. [Google Scholar] [CrossRef]
- Bouriaud, O.; Popa, I. Comparative dendroclimatic study of Scots pine, Norway spruce, and silver fir in the Vrancea Range, Eastern Carpathian Mountains. Trees 2009, 23, 95–106. [Google Scholar] [CrossRef]
- Elling, W.; Dittmar, C.; Pfaffelmoser, K.; Rötzer, T. Dendroecological assessment of the complex causes of decline and recovery of the growth of silver fir (Abies alba Mill.) in Southern Germany. For. Ecol. Manag. 2009, 257, 1175–1187. [Google Scholar] [CrossRef]
- Macias, M.; Andreu, L.; Bosch, O.; Camarero, J.J.; Gutiérrez, E. Increasing Aridity is Enhancing Silver Fir Abies Alba Mill.) Water Stress in its South-Western Distribution Limit. Clim. Chang. 2006, 79, 289–313. [Google Scholar] [CrossRef]
- Linares, J.C.; Camarero, J.J. Silver Fir Defoliation Likelihood Is Related to Negative Growth Trends and High Warming Sensitivity at Their Southernmost Distribution Limit. Int. Sch. Res. Notices 2012, 2012, 437690. [Google Scholar] [CrossRef]
- González de Andrés, E.; Gazol, A.; Querejeta, J.I.; Igual, J.M.; Colangelo, M.; Sánchez-Salguero, R.; Linares, J.C.; Camarero, J.J. The role of nutritional impairment in carbon-water balance of silver fir drought-induced dieback. Glob. Chang. Biol. 2022, 28, 4439–4458. [Google Scholar] [CrossRef] [PubMed]
- González de Andrés, E.; Camarero, J.J.; Martínez, I.; Coll, L. Uncoupled spatiotemporal patterns of seed dispersal and regeneration in Pyrenean silver fir populations. For. Ecol. Manag. 2014, 319, 18–28. [Google Scholar] [CrossRef]
- Ozturk, T.; Ceber, Z.P.; Türkes, M.; Kurnaz, M.L. Projections of climate change in the Mediterranean Basin by using downscaled global climate model outputs. Int. J. Clim. 2015, 35, 4276–4292. [Google Scholar] [CrossRef]
- IPCC. Climate Change 2022: Impacts, Adaptation, and Vulnerability. In Contribution of Working Group II to the Sixth Assessment Report of the Intergovernmental Panel on Climate Change; Pörtner, H.-O., Roberts, D.C., Tignor, M., Poloczanska, E.S., Mintenbeck, K., Alegría, A., Craig, M., Langsdorf, S., Löschke, S., Möller, V., et al., Eds.; Cambridge University Press: Cambridge, UK; New York, NY, USA, 2022; p. 3056. [Google Scholar] [CrossRef]
- Zhang, X.L.; Jiang, L.; Xin, Q.; Liu, Y.; Tan, J.X.; Chen, Z.Z. Structural basis and functions of abscisic acid receptors PYLs. Front. Plant Sci. 2015, 6, 88. [Google Scholar] [CrossRef]
- Zhang, H.; Zhang, X.; Liu, J.; Niu, Y.; Chen, Y.; Hao, Y.; Zhao, J.; Sun, L.; Wang, H.; Xiao, J.; et al. Characterization of the Heavy-Metal-Associated Isoprenylated Plant Protein (HIPP) Gene Family from Triticeae Species. Int. J. Mol. Sci. 2020, 21, 6191. [Google Scholar] [CrossRef] [PubMed]
- Barth, O.; Zschiesche, W.; Siersleben, S.; Humbeck, K. Isolation of a novel barley cDNA encoding a nuclear protein involved in stress response and leaf senescence. Physiol. Plant 2004, 121, 282–293. [Google Scholar] [CrossRef]
- Bulgakov, V.P.; Wu, H.C.; Jinn, T.L. Coordination of ABA and Chaperone Signaling in Plant Stress Responses. Trends Plant Sci. 2019, 24, 636–651. [Google Scholar] [CrossRef] [PubMed]
- Kaldenhoff, R.; Fischer, M. Functional aquaporin diversity in plants. Biochim. Biophys. Acta. 2006, 1758, 1134–1141. [Google Scholar] [CrossRef] [PubMed]
- Lahari, T.; Lazaro, J.; Marcus, J.J.; Schroeder, D.F. RAD7 homologues contribute to Arabidopsis UV tolerance. Plant Sci. 2018, 277, 267–277. [Google Scholar] [CrossRef]
- Faraji, S.; Rasouli, S.H.; Kazemitabar, S.K. Genome-wide exploration of C2H2 zinc finger family in durum wheat (Triticum turgidum ssp. Durum): Insights into the roles in biological processes especially stress response. Biometals 2018, 31, 1019–1042. [Google Scholar] [CrossRef] [PubMed]
- Kiełbowicz-Matuk, A. Involvement of plant C2H2-type zinc finger transcription factors in stress responses. Plant Sci. 2012, 185–186, 78–85. [Google Scholar] [CrossRef]
- Muthamilarasan, M.; Bonthala, V.S.; Mishra, A.K.; Khandelwal, R.; Khan, Y.; Roy, R. C2H2-type of zinc finger transcription factors in foxtail millet define response to abiotic stresses. Funct. Integr. Genomics 2014, 14, 531–543. [Google Scholar] [CrossRef]
- Zhao, M.; Han, Y.; Feng, Y.; Wang, W. Expansins are involved in cell growth mediated by abscisic acid and indole-3-acetic acid under drought stress in wheat. Plant Cell Rep. 2012, 31, 671–685. [Google Scholar] [CrossRef]
- Ramesh, S.A.; Kamran, M.; Sullivan, W.; Chirkova, L.; Okamoto, M.; Degryse, F.; McLaughlin, M.; Gilliham, M.; Tyerman, S.D. Aluminum-Activated Malate Transporters Can Facilitate GABA Transport. Plant Cell 2018, 30, 1147–1164. [Google Scholar] [CrossRef]
- Shelp, B.J.; Bozzo, G.G.; Zarei, A.; Simpson, J.P.; Trobacher, C.P.; Allan, W.L. Strategies and tools for studying the metabolism and function of γ-aminobutyrate in plants. II. Integrated analysis. Botany 2012, 90, 781–793. [Google Scholar] [CrossRef]
- Cremer, E.; Liepelt, S.; Sebastiani, F.; Bounamici, A.; Michalczyk, I.; Ziegenhagen, B.; Vendramin, G.G. Identification and characterization of nuclear microsatellite loci in Abies alba Mill. Mol. Ecol. Notes 2006, 6, 374–376. [Google Scholar] [CrossRef]
- Postolache, D.; Leonarduzzi, C.; Piotti, A.; Spanu, I.; Roig, A.; Fady, B.; Roschanski, A.; Liepelt, S. Transcriptome versus genomic microsatellite markers: Highly informative multiplexes for genotyping Abies alba Mill and congeneric species. Plant Mol. Biol. Rep. 2013, 32, 750–760. [Google Scholar] [CrossRef]
- Vendramin, G.G.; Degen, B.; Petit, R.J.; Anzidei, M.; Madaghiele, A.; Ziegenhagen, B. High level of variation at Abies alba chloroplast microsatellite loci in Europe. Mol. Ecol. 1999, 8, 1117–1126. [Google Scholar] [CrossRef]
- Major, E.I.; Höhn, M.; Avanzi, C.; Fady, B.; Heer, K.; Opgenoorth, L.; Piotti, A.; Popescu, F.; Postolache, D.; Vendramin, G.G.; et al. Fine-scale spatial genetic structure across the species range reflects recent colonization of high elevation habitats in silver fir (Abies alba Mill.). Mol. Ecol. 2021, 30, 5247–5265. [Google Scholar] [CrossRef] [PubMed]
- Roschanski, A.M.; Csilléry, K.; Liepelt, S.; Oddou-Muratorio, S.; Ziegenhagen, B.; Huard, F.; Ullrich, K.K.; Postolache, D.; Vendramin, G.G.; Fady, B. Evidence of divergent selection for drought and cold tolerance at landscape and local scales in Abies alba Mill. in the French Mediterranean Alps. Mol. Ecol. 2016, 25, 776–794. [Google Scholar] [CrossRef]
- Lee, J.; Izzah, N.K.; Jayakodi, M.; Perumal, S.; Joh, H.J.; Lee, H.J.; Lee, S.-C.; Park, J.Y.; Yang, K.-W.; Nou, I.-S.; et al. Genome-wide SNP identification and QTL mapping for black rot resistance in cabbage. BMC Plant Biol. 2015, 15, 32. [Google Scholar] [CrossRef]
- Balao, F.; Lorenzo, M.T.; Sánchez-Robles, J.M.; Paun, O.; García-Castaño, J.L.; Terrab, A. Early diversification and permeable species boundaries in the Mediterranean firs. Ann. Bot. 2020, 125, 495–507. [Google Scholar] [CrossRef]
- Latreille, A.C.; Pichot, C. Local-scale diversity and adaptation along elevational gradients assessed by reciprocal transplant experiments: Lack of local adaptation in silver fir populations. Ann. For. Sci. 2017, 74, 77. [Google Scholar] [CrossRef]
- De La Torre, A.R.; Lin, Y.C.; Van de Peer, Y.; Ingvarsson, P.K. Genome-wide analysis reveals diverged patterns of codon bias, gene expression, and rates of sequence evolution in Picea gene families. Genome Biol. Evol. 2015, 7, 1002–1015. [Google Scholar] [CrossRef] [PubMed]
- Neale, D.B.; Martínez-García, P.J.; De La Torre, A.; Montanari, S.; Wei, X.X. Novel Insights into Tree Biology and Genome Evolution as Revealed Through Genomics. Annu. Rev. Plant Biol. 2017, 68, 457–483. [Google Scholar] [CrossRef]
- Behringer, D.; Zimmermann, H.; Ziegenhagen, B.; Liepelt, S. Differential gene expression reveals candidate genes for drought stress response in Abies alba (Pinaceae). PLoS ONE 2015, 10, e0124564. [Google Scholar] [CrossRef] [PubMed]
- Csilléry, K.; Ovaskainen, O.; Sperisen, C.; Buchmann, N.; Widmer, A.; Gugerli, F. Adaptation to local climate in multi-trait space: Evidence from silver fir (Abies alba Mill.) populations across a heterogeneous environment. Heredity 2020, 124, 77–92. [Google Scholar] [CrossRef] [PubMed]
- Gazol, A.; Camarero, J.J.; Colangelo, M.; de Luis, M.; Martínez del Castillo, E.; Serra-Maluquer, X. Summer drought and spring frost, but not their interaction, constrain European beech and silver fir growth in their southern distribution limits. Agric. For. Meteorol. 2019, 278, 107695. [Google Scholar] [CrossRef]
- Zhang, X.; Manzanedo, R.D.; Lv, P.; Xu, C.; Hou, M.; Huang, X.; Rademacher, T. Reduced diurnal temperature range mitigates drought impacts on larch tree growth in North China. Sci. Total Environ. 2022, 848, 157808. [Google Scholar] [CrossRef]
- van der Putten, W.H.; Bradford, M.A.; Brinkman, E.P.; van de Voorde, T.F.J.; Veen, C. Where, when and how plant–soil feedback matters in a changing world. Funct. Ecol. 2016, 30, 1109–1121. [Google Scholar] [CrossRef]
- Schweitzer, J.A.; Bailey, J.K.; Fischer, D.G.; LeRoy, C.J.; Lonsdorf, E.V.; Whitham, T.G.; Hart, S.C. Plant–soil microorganism interactions: Heritable relationship between plant genotype and associated soil microorganisms. Ecology 2008, 89, 773–781. [Google Scholar] [CrossRef] [PubMed]
- Ehrenfeld, J.G.; Ravit, B.; Elgersma, K.J. Feedback in the plant-soil system. Annu. Rev. Environ. Resour. 2005, 30, 75–115. [Google Scholar] [CrossRef]
- Pugnaire, F.I.; Morillo, J.A.; Peñuelas, J.; Reich, P.B.; Bardgett, R.D.; Gaxiola, A.; Wardle, D.A.; van der Putten, W.H. Climate change effects on plant-soil feedbacks and consequences for biodiversity and functioning of terrestrial ecosystems. Sci. Adv. 2019, 5, eaaz1834. [Google Scholar] [CrossRef]
- Thébault, A.; Clement, J.C.; Ibanez, S.; Roy, J.; Geremia, R.A.; Pérez, C.A.; Buttler, A.; Estienne, Y.; Lavorel, S. Nitrogen limitation and microbial diversity at the treeline. Oikos 2014, 123, 729–740. [Google Scholar] [CrossRef]
- Hagedorn, F.; Gavazov, K.; Alexander, J.M. Above- and belowground linkages shape responses of mountain vegetation to climate change. Science 2019, 365, 1119–1123. [Google Scholar] [CrossRef]
- Chang, E.-H.; Tian, G.; Chiu, C.-Y. Soil Microbial Communities in Natural and Managed Cloud Montane Forests. Forests 2017, 8, 33. [Google Scholar] [CrossRef]
- Bastida, F.; Torres, I.F.; Andrés-Abellán, M.; Baldrian, P.; López-Mondéjar, R.; Větrovský, T.; Richnow, H.H.; Starke, R.; Ondoño, S.; García, C.; et al. Differential sensitivity of total and active soil microbial communities to drought and forest management. Glob. Chang. Biol. 2017, 23, 4185–4203. [Google Scholar] [CrossRef] [PubMed]
- Felsmann, K.; Baudis, M.; Gimbel, K.; Kayler, Z.E.; Ellerbrock, R.; Bruehlheide, H.; Bruckhoff, J.; Welk, E.; Puhlmann, H.; Weiler, M.; et al. Soil bacterial community structure responses to precipitation reduction and forest management in forest ecosystems across Germany. PLoS ONE 2015, 10, e0122539. [Google Scholar] [CrossRef]
- Babusgkina, E.A.; Vaganovb, E.A.; Gracheva, A.M.; Oreshkovab, N.V.; Belokopytovaa, L.V.; Kostyakova, T.V.; Krutovsky, K.V. The effect of individual genetic heterozygosity on general homeostasis, heterosis and resilience in Siberian larch (Larix sibirica Ledeb.) using dendrochronology and microsatellite loci genotyping. Dendrochronologia 2016, 38, 26–37. [Google Scholar] [CrossRef]
- Pluess, A.R.; Weber, P. Drought-adaptation potential in Fagus sylvatica: Linking moisture availability with genetic diversity and dendrochronology. PLoS ONE 2012, 7, e33636. [Google Scholar] [CrossRef] [PubMed]
- Camarero, J.J.; Gazol, A.; Sangüesa-Barreda, G.; Cantero, A.; Sánchez-Salguero, R.; Sánchez-Miranda, A.; Granda, E.; Serra-Maluquer, X.; Ibáñez, R. Forest growth responses to drought at short- and long-term scales in Spain: Squeezing the stress memory from tree rings. Front. Ecol. Evol. 2018, 6, 9. [Google Scholar] [CrossRef]
- Duncan, E.J.; Gluckman, P.D.; Dearden, P.K. Epigenetics, plasticity, and evolution: How do we link epigenetic change to phenotype? J. Exp. Zool. B Mol. Dev. Evol. 2014, 322, 208–220. [Google Scholar] [CrossRef]
- Mauri, A.; de Rigo, D.; Caudullo, G. Abies alba in Europe: Distribution, habitat, usage and threats. In European Atlas of Forest Tree Species; San-Miguel-Ayanz, J., de Rigo, D., Caudullo, G., Houston Durrant, T., Mauri, A., Eds.; Public Office EU: Luxembourg, 2016; p. e01493b. [Google Scholar]
- Dobrowolska, D.; Bončina, A.; Klumpp, R. Ecology and silviculture of silver fir (Abies alba Mill.): A review. J. For. Res. 2017, 22, 326–335. [Google Scholar] [CrossRef]
- Robakowski, P.; Montpied, P.; Dreyer, E. Responses to temperature and shade in Abies alba seedlings from diverse provenances. Scand. J. For. Res. 2005, 20, 459–470. [Google Scholar] [CrossRef]
- Peterson, B.K.; Weber, J.N.; Kay, E.H.; Fisher, H.S.; Hoekstra, H.E. Double digest RADseq: An inexpensive method for de novo SNP discovery and genotyping in model and non-model species. PLoS ONE 2012, 7, e37135. [Google Scholar] [CrossRef] [PubMed]
- Andrews, S. FastQC: A Quality Control Tool for High Throughput Sequence Data. 2010. Available online: http://www.bioinformatics.babraham.ac.uk/projects/fastqc (accessed on 10 June 2023).
- Chen, S.; Zhou, Y.; Chen, Y.; Gu, J. fastp: An ultra-fast all-in-one FASTQ preprocessor. Bioinformatics 2018, 34, i884–i890. [Google Scholar] [CrossRef]
- Mosca, E.; Cruz, F.; Gómez-Garrido, J.; Bianco, L.; Rellstab, C.; Brodbeck, S.; Csilléry, K.; Fady, B.; Fladung, M.; Fussi, B.; et al. A Reference Genome Sequence for the European Silver Fir (Abies alba Mill.): A Community-Generated Genomic Resource. G3 Genes Genomes Genet. 2019, 9, 2039–2049. [Google Scholar] [CrossRef] [PubMed]
- Eaton, D.A.R.; Overcast, I. ipyrad: Interactive assembly and analysis of RADseq datasets. Bioinformatics 2020, 36, 2592–2594. [Google Scholar] [CrossRef] [PubMed]
- Danecek, P.; Auton, A.; Abecasis, G.; Albers, C.A.; Banks, E.; DePristo, M.A.; Handsaker, R.E.; Lunter, G.; Marth, G.T.; Sherry, S.T.; et al. The Variant Call Format and VCFtools. Bioinformatics 2011, 27, 2156–2158. [Google Scholar] [CrossRef]
- Peakall, R.; Smouse, P.E. GenAlEx 6: Genetic analysis in Excel. Population genetic software for teaching and research. Mol. Ecol. Notes 2006, 6, 288–295. [Google Scholar] [CrossRef]
- Peakall, R.; Smouse, P.E. GenAlEx 6.5: Genetic analysis I Excel. Population genetic software for teaching and research—An update. Bioinformatics 2012, 28, 2537–2539. [Google Scholar] [CrossRef]
- Meirmans, P.G. genodive version 3.0: Easy-to-use software for the analysis of genetic data of diploids and polyploids. Mol. Ecol. Resour. 2020, 20, 1126–1131. [Google Scholar] [CrossRef]
- Rousset, F. Genetic differentiation and estimation of gene flow from F-statistics under isolation by distance. Genetics 1997, 145, 1219–1228. [Google Scholar] [CrossRef]
- Excoffier, L.; Smouse, P.E.; Quattro, J.M. Analysis of molecular variance inferred from metric distances among DNA haplotypes: Application to human mitochondrial DNA restriction data. Genetics 1992, 131, 479–491. [Google Scholar] [CrossRef] [PubMed]
- Michalakis, Y.; Excoffier, L. A Generic Estimation of Population Subdivision Using Distances between Alleles with Special Reference for Microsatellite Loci. Genetics 1996, 142, 1061–1064. [Google Scholar] [CrossRef] [PubMed]
- Chang, C.C.; Chow, C.C.; Tellier, L.C.A.M.; Vattikuti, S.; Purcell, S.M.; Lee, J.J. Second-generation PLINK: Rising to the challenge of larger and richer datasets. Gigascience 2015, 4, 7. [Google Scholar] [CrossRef] [PubMed]
- Foll, M.; Gaggiotti, O.E. A genome scan method to identify selected loci appropriate for both dominant and codominant markers: A Bayesian perspective. Genetics 2008, 180, 977–993. [Google Scholar] [CrossRef] [PubMed]
- Günther, T.; Coop, G. Robust Identification of Local Adaptation from Allele Frequencies. Genetics 2013, 195, 205–220. [Google Scholar] [CrossRef]
- Jeffreys, H. Theory of Probability, 3rd ed.; Oxford University Press: Oxford, UK, 1961; p. 432. [Google Scholar]
- Fick, S.; Hijmans, R. WorldClim 2: New 1-km spatial resolution climate surfaces for global land areas. Int. J. Climatol. 2017, 37, 4302–4315. [Google Scholar] [CrossRef]
- Gazol, A.; Camarero, J.J.; Igual, J.M.; González de Andrés, E.; Colangelo, M.; Valeriano, C. Intraspecific trait variation, growth, and altered soil conditions at tree species distribution limits: From the alpine treeline to the rear edge. Agric. For. Meteorol. 2022, 315, 108811. [Google Scholar] [CrossRef]
- Endelman, J.B. Ridge regression and other kernels for genomic selection with R package rrBLUP. Plant Genome 2011, 4, 250–255. [Google Scholar] [CrossRef]
- Endelman, J.B.; Jannink, J.-L. Shrinkage estimation of the realized relationship matrix. G3 Genes Genomes Genet. 2012, 2, 1405–1413. [Google Scholar] [CrossRef]
Disclaimer/Publisher’s Note: The statements, opinions and data contained in all publications are solely those of the individual author(s) and contributor(s) and not of MDPI and/or the editor(s). MDPI and/or the editor(s) disclaim responsibility for any injury to people or property resulting from any ideas, methods, instructions or products referred to in the content. |
© 2023 by the authors. Licensee MDPI, Basel, Switzerland. This article is an open access article distributed under the terms and conditions of the Creative Commons Attribution (CC BY) license (https://creativecommons.org/licenses/by/4.0/).





