Chemical Composition, Antibacterial and Anti-Quorum Sensing Activities of Pimenta dioica L. Essential Oil and Its Major Compound (Eugenol) against Foodborne Pathogenic Bacteria
Abstract
:1. Introduction
2. Results
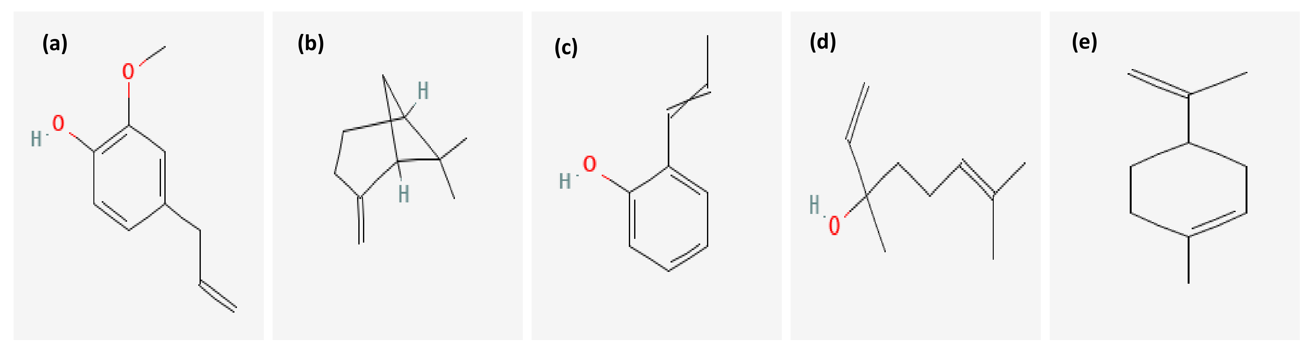
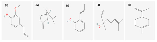
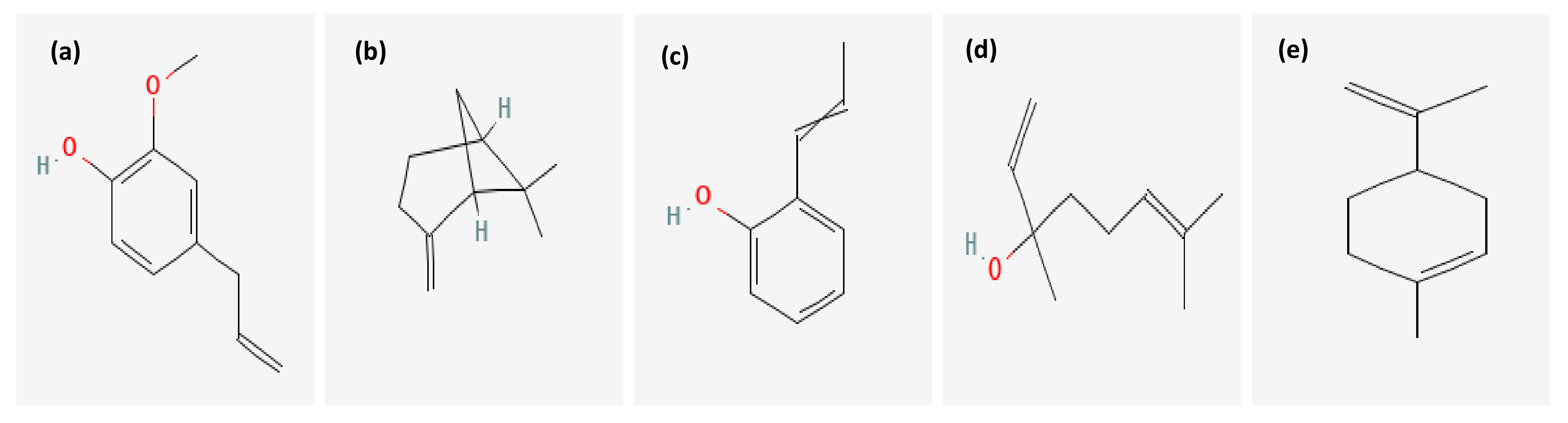
2.1. Chemical Composition of P. dioica Essential Oil
2.2. Antibacterial Activity of P. dioica Essential Oil and Eugenol
2.3. Adhesive Properties and Biofilm Formation on Abiotic Materials
2.4. Anti-Biofilm Activity of P. dioica and Eugenol on Polystyrene and Glass Surfaces
2.5. Violacein Inhibition Assay in C. violaceum
2.6. Anti-Swarming Assay
3. Discussion
4. Materials and Methods
4.1. Bacterial Strains
4.2. Chemical Characterization of the Essential Oil
4.3. Antimicrobial Activities
4.3.1. Disk-Diffusion Assay
4.3.2. Microdilution Method for the Determination of the MIC and MBC
4.4. Biofilm Formation Ability of Tested Isolates
4.4.1. Phenotypic Characterization of Bacteria-Producing Slime
4.4.2. Test Tube Method
4.4.3. Biofilm Formation in 96-well Polystyrene Plates and Glass
4.5. Determination of Anti-Biofilm Activity on Polystyrene and Glass
4.6. Violacein Inhibition Assay
4.7. Swarming Assay
4.8. Statistical Analysis
5. Conclusions
Author Contributions
Funding
Institutional Review Board Statement
Informed Consent Statement
Data Availability Statement
Acknowledgments
Conflicts of Interest
References
- Todd, E.C.D. Preliminary estimates of costs of foodborne disease in Canada and costs to reduce Salmonellosis. J. Food Prot. 1989, 52, 586–594. [Google Scholar] [CrossRef] [PubMed]
- Dorman, H.J.D.; Deans, S.G. Antimicrobial agents from plants: Antibacterial activity of plant volatile oils. J. Appl. Microbiol. 2000, 88, 308–316. [Google Scholar] [CrossRef]
- Burt, S.A.; Reinders, R.D. Antimicrobial activity selected plant essential oils against Escherichia coli O157:H7. Lett. Appl. Microbiol. 2003, 36, 162–167. [Google Scholar] [CrossRef] [Green Version]
- Seaforth, C.; Tikasingh, T.; Gupta, M.; Robertson, D. St. Rose, G.A. Study for the Development of a Handbook of Selected Caribbean Herbs for Industry; Technical Centre for Agricultural and Rural Cooperation ACP-EU (CTA): Wageningen, The Netherlands, 2008; pp. 77–80. [Google Scholar]
- Bakkali, F.; Averbeck, S.; Averbeck, D.; Idaomar, M. Biological effects of essential oils—A review. Food Chem. Toxicol. 2008, 46, 446–475. [Google Scholar] [CrossRef]
- Mollova, S.; Fidan, H.; Antonova, D.; Bozhilov, D.; Stanev, S.; Kostova, I.; Stoyanova, A. Chemical composition and antimicrobial and antioxidant activity of Helichrysum italicum (Roth) G. Don subspecies essential oils. Turk. J. Agric. For. 2020, 44, 371–378. [Google Scholar] [CrossRef]
- Paula, J.; Reis, J.; Ferreira, L.; Menezes, A.; Paula, J. Pimenta genus: Botanical aspects, chemical composition and pharmacological potential. Rev. Bras. Pl. Med. 2010, 12, 363–379. [Google Scholar] [CrossRef] [Green Version]
- Alitonou, G.A.; Noudogbessi, J.; Sessou, P.; Tonouhewa, A.; Avlessi, F.; Menut, C. Chemical composition and biological activities of essential oils of Pimenta racemosa (Mill) JW Moore from Benin. Int. J. Biosci. 2012, 2, 1–12. [Google Scholar]
- Meneses, R.; Ocazionez, R.; Torres, F.; Stashenko, E. Essentials oils from seven aromatic plants grown in Colombia: Chemical composition, cytotoxicity and in vitro virucidal effect on the dengue virus. Int. J. Essent. Oil Ther. 2009, 3, 1–7. [Google Scholar]
- Sessou, P.; Farougou, S.; Ahounou, S.; Hounnankpon, Y.; Azokpota, P.; Youssao, I. Comparative study of antifungal activities of six selected essential oils against fungal isolates from cheese wagashi in Benin. Pak. J. Biol. Sci. 2013, 16, 1751–1757. [Google Scholar] [CrossRef] [Green Version]
- Ali, S.M.; Khan, A.A.; Ahmed, I.; Musaddiq, M.; Ahmed, K.S.; Polasa, H.; Rao, L.V.; Habibullah, C.M.; Sechi, L.A.; Ahmed, N. Antimicrobial activities of eugenol and cinnamaldehyde against the human pathogen Heliobacter pylori. Ann. Clin. Microbiol. Antimicrob. 2005, 4, 20–26. [Google Scholar] [CrossRef] [Green Version]
- Faria, T.J.; Ferreira, R.S.; Yassumoto, L.; Souza, J.R.P.; Ishikawa, N.K.; Barbosa, A.M. Antifungal Activity of Essential Oil Isolated from Ocimum gratissimum L. (eugenol chemotype) against Phytopathogenic Fungi. Braz. Arch. Biol. Techn. 2006, 49, 867–871. [Google Scholar] [CrossRef]
- Rao, S.K.; Iyengar, M.A.; Rao, G. Anti-microbial activity of the essential oil of the leaves of Pimenta dioica, Linn (Family: Myrtaceae). Indian Drugs 2001, 38, 458–461. [Google Scholar]
- Marzouk, M.S.A.; Moharram, F.A.; Mohamed, M.A.; Gamal-Eldeen, A.M.; Aboutabl, E.A. Anticancer and Antioxidant Tannins from Pimenta dioica Leaves. Zeitschrift Für Naturforschung C 2007, 62, 526–536. [Google Scholar] [CrossRef] [PubMed]
- Oussalah, M.; Caillet, S.; Lacroix, L.S.M. Inhibitory effects of selected plant essential oils on the growth of four pathogenic bacteria: E coli 0157: H7, Salmonella typhimurium, Staphylococcus aureus and Listeria monocytogenes. Food Control 2007, 18, 414–420. [Google Scholar] [CrossRef]
- da Silva Meira, Q.G.; de Medeiros Barbosa, I.; Alves Aguiar Athayde, A.J.; de Siqueira-Júnior, J.P.; de Souza, E.L. Influence of temperature and surface kind on biofilm formation by Staphylococcus aureus from food-contact surfaces and sensitivity to sanitizers. Food Control 2012, 25, 469–475. [Google Scholar] [CrossRef] [Green Version]
- Packiavathy, I.A.S.V.; Agilandeswari, P.; Musthafa, K.S.; Karutha Pandian, S.; Veera Ravi, A. Antibiofilm and quorum sensing inhibitory potential of Cuminum cyminum and its secondary metabolite methyl eugenol against Gram negative bacterial pathogens. Food Res. Int. 2012, 45, 85–92. [Google Scholar] [CrossRef]
- Kamble Vilas, A.; Patil, S.D. Spice derived essential oils: Effective antifungal and possible therapeutic agents. J Herbs Spices Med Plants 2008, 14, 129–143. [Google Scholar] [CrossRef]
- NIIR Board of Consultants and Engineers. The Complete Book on Spices and Condiments (with Cultivation, Processing and Uses), 2nd ed.; Asia Pacific Business Press Inc.: New Delhi, India, 2008; pp. 37–38. [Google Scholar]
- Nakatani, N. Antioxidative and antimicrobial constituents of herbs and spices. In Spices, Herbs and Edible Fungi, 1st ed.; Charalambous, G., Ed.; Elsevier: Amsterdam, The Netherlands, 1994; pp. 251–271. [Google Scholar]
- Volpato, G.; Godínez, D.; Beyra, A.; Barreto, A. Uses of medicinal plants by Haitian immigrants and their descendants in the Province of Camagüey, Cuba. J. Ethnobiol. Ethnomed. 2012, 13, 1900–1906. [Google Scholar] [CrossRef] [Green Version]
- Nayak, Y.; Abhilash, D.; Vijaynarayana, K.; Fernandes, J. Antioxidant and hepatoprotective activity of Pimenta dioica leaves extract. J. Cell Tissue Res. 2008, 8, 1571–1576. [Google Scholar]
- Priya, S.R.; Sheth, N.; Jayaveera, K.N. An important spice, Pimenta dioica (Linn.) Merill: A Review. Int. Curr. Pharm. J. 2012, 1, 221–225. [Google Scholar]
- Kikuzaki, H.; Hara, S.; Kawai, Y.; Nakatani, N. Antioxidative phenylpropanoids from berries of Pimenta dioica. Phytochemistry 1999, 52, 1307–1312. [Google Scholar] [CrossRef]
- Jirovetz, L.; Buchbauer, G.; Stoilova, I.; Krastanov, A.; Stoyanova, A.; Schmidt, E. Spice plants: Chemical composition and antioxidant properties of Pimenta Lindl. essential oils, part 1: Pimenta dioica (L.) Merr. leaf oil from Jamaica. Nutr. Vienna 2007, 31, 55. [Google Scholar]
- Tenne, P.C.R.K.; Karunaratne, M.M.S.C. Phytochemical profile and bioactivity of essential oil from Pimenta dioica leaves on cowpea beetle, Callosobruchus maculatus (F.) (Coleoptera: Bruchidae): A farmer friendly solution for postharvest pest management. Open Agric. 2018, 3, 301–309. [Google Scholar]
- Mérida-Reyes, M.S.; Muñoz-Wug, M.A.; Oliva-Hernández, B.E.; Gaitán-Fernández, I.C.; Reis Simas, D.L.; Ribeiro da Silva, A.J.; Pérez-Sabino, J.F. Composition and Antibacterial Activity of the Essential Oil from Pimenta dioica (L.) Merr. from Guatemala. Medicines 2020, 7, 59. [Google Scholar] [CrossRef]
- Pino, J.A.; Bello, A.; Urquiola, A. The leaf oil of Pimenta adenoclada (Urb.) Burret from Cuba. J. Essent. Oil Res. 2002, 14, 400–401. [Google Scholar] [CrossRef]
- Tucker, A.O.; Maciarello, M.J.; Landrum, L.R. Volatile leaf oils of Caribbean Myrtaceae. II. Pimenta dioica (L.) Merr. of Jamaica. J. Essent. Oil Res. 1991, 3, 195–196. [Google Scholar] [CrossRef]
- García-Fajardo, J.; Martínez-Sosa, M.; Estarrón-Espinosa, M.; Vilarem, G.; Gaset, A.; de Santos, J.M. Comparative study of the oil and supercritical CO2 extract of Mexican pimento (Pimenta dioica Merrill). J. Essent. Oil Res. 1997, 9, 181–185. [Google Scholar] [CrossRef]
- Marongiu, B.; Piras, A.; Porcedda, S.; Casu, R.; Pierucci, P. Comparative analysis of supercritical CO2 extract and oil of Pimenta dioica leaves. J. Essent. Oil 2005, 17, 530–532. [Google Scholar] [CrossRef]
- Monteiro, O.S.; Souza, A.G.; Soledade, L.E.B.; Queiroz, N.; Souza, A.L.; Mouchrek Filho, V.E.; Vasconcelos, A.F.F. Chemical evaluation and thermal analysis of the essential oil from the fruits of the vegetable species Pimenta dioica Lindl. J. Therm. Anal. Calori 2011, 106, 595–600. [Google Scholar] [CrossRef]
- Padmakumari, K.P.; Sasidharan, I.; Sreekumar, M.M. Composition and antioxidant activity of essential oil of pimento (Pimenta dioica (L) Merr.) from Jamaica. Nat. Prod. Res. 2011, 25, 152–160. [Google Scholar] [CrossRef] [PubMed]
- Lorenzo-Leal, A.C.; Palou, E.; López-Malo, A.; Bach, H. Antimicrobial, cytotoxic, and anti-inflammatory activities of Pimenta dioica and Rosmarinus officinalis essential oils. BioMed Res. Int. 2019, 2019, 1639726. [Google Scholar] [CrossRef] [PubMed] [Green Version]
- Sabino, F.P.; Reyes, M.M.; Taracena, E.; Oliva, B.; Wug, M.M.; Martínez, J.V.; Simas, D.L.R.; Silva, A.J.R. Chemical composition of the essential oil of Pimenta dioica (L.) Merrill from Guatemala. Rev. Virtual Quim. 2015, 8, 75. [Google Scholar]
- Oussualah, M.; Caillet, S.; Saucier, L.; Lacroix, M. Antimicrobial effects of selected plant essential oils on the growth of Pseudomonas putida strain isolated from meat. Meat Sci. 2006, 73, 236–244. [Google Scholar] [CrossRef]
- Asha, M.M.; Chaithra, M.; Yashoda, K.; Vivek, M.N.; Prashith Kekuda, T.R. Antibacterial activity of leaf and bark extracts of Pimenta dioica (Linn.) Merill against clinical isolates of Staphylococcus aureus and Streptococcus mutans. World J. Pharm. Pharm. Sci. 2013, 2, 3207–3215. [Google Scholar]
- Lowe, H.I.C.; Daley, D.K.; Lindo, J.; Davis, C.; Rainford, L.; Hartley, S.-A.; Watson, C.; Chambers, C.; Reynolds-Campbell, G.; Foster, S.R.; et al. The antibacterial and antifungal analysis of crude extracts from leaves and bark of Pimenta species found in Jamaica. J. Med. Plant Res. 2017, 11, 591–595. [Google Scholar]
- Boyd, F.A.H.; Benkeblia, N. In vitro evaluation of antimicrobial activity of crude extracts of Pimenta dioica L. (Merr.). In Proceedings of the III International Conference on Postharvest and Quality Management of Horticultural Products of Interest for Tropical Regions, Port of Spain, Trinidad and Tobago, 1–5 July 2013; Volume 1047, pp. 199–205. [Google Scholar]
- Park, I.-K.; Kim, J.; Lee, S.-G.; Shin, S.-C. Nematicidal activity of plant essential oils and components from Ajowan (Trachyspermum ammi), Allspice (Pimenta dioica) and Litsea (Litsea cubeba) essential oils against pine Wood Nematode (Bursaphelenchus xylophilus). J. Nematol. 2007, 39, 275–279. [Google Scholar]
- Narayanankutty, A.; Kuttithodi, A.M.; Alfarhan, A.; Rajagopal, R.; Barcelo, D. Chemical composition, insecticidal and mosquito larvicidal activities of Allspice (Pimenta dioica) essential oil. Molecules 2021, 26, 6698. [Google Scholar] [CrossRef] [PubMed]
- Mak, K.-K.; Kamal, M.B.; Ayuba, S.B.; Sakirolla, R.; Kang, Y.-B.; Mohandas, K.; Balijepalli, M.K.; Ahmad, S.H.; Pichika, M.R. A comprehensive review on eugenol’s antimicrobial properties and industry applications: A transformation from ethnomedicine to industry. Pharmacogn. Rev. 2019, 13, 1–9. [Google Scholar]
- Sechi, L.A.; Deriu, A.; Falchi, M.P.; Fadda, G.; Zanetti, S. Distribution of virulence genes in Aeromonas spp. isolated from Sardinian waters and from patients with diarrhoea. J. Appl. Microbiol. 2002, 92, 221–227. [Google Scholar] [CrossRef] [Green Version]
- Okoh, S.O.; Iweriegbor, B.C.; Okoh, O.O.; Nwodo, U.U.; Okoh, A.I. Bactericidal and antioxidant properties of essential oils from the fruits Dennettia tripetala G. Baker. BMC Complementary Altern. Med. 2016, 16, 1–12. [Google Scholar] [CrossRef] [Green Version]
- Anusriha, S.; Ponnarmadha, S. A review on anti-biofilm inhibitor from plant essential oils. Int. J. Pharm. Sci. Res. 2020, 11, 14–24. [Google Scholar]
- Borges, A.; Serra, S.; Cristina, A.A.; Saavedra, M.J.; Salgado, A.; Simões, M. Evaluation of the effects of selected phytochemicals on quorum sensing inhibition and in vitro cytotoxicity. Biofouling 2014, 30, 183–195. [Google Scholar] [CrossRef]
- Cervantes-Ceballos, L.; Caballero-Gallardo, K.; Olivero-Verbel, J. Repellent and anti-quorum sensing activity of six aromatic plants occurring in Colombia. Nat. Prod. Commun. 2015, 10, 1753–1757. [Google Scholar] [CrossRef] [Green Version]
- Burt, S. Essential oils: Their antibacterial properties and potential applications in foods—A review. Int. J. Food Microbiol. 2004, 94, 223–253. [Google Scholar] [CrossRef]
- Kerekes, E.B.; Deák, É.; Takó, M.; Tserennadmid, R.; Petkovits, T.; Vágvölgyi, C. Anti-biofilm forming and anti-quorum sensing activity of selected essential oils and their main components on food-related micro-organisms. J. Appl. Microbiol. 2013, 115, 933–942. [Google Scholar] [CrossRef]
- Ippolito, C.; Elshafie, H.S.; Caputo, L.; De Feo, V. Anti-quorum Sensing and Antimicrobial Effect of Mediterranean Plant Essential Oils Against Phytopathogenic Bacteria. Front. Microbiol. 2019, 10, e2619. [Google Scholar]
- Al-Haidari, R.A.; Shaaban, M.I.; Ibrahim, S.R.M.; Mohamed, G.A. Anti-quorum sensing activity of some medicinal plants. Afr. J. Tradit. Complementary Altern. Med. 2016, 13, 67–71. [Google Scholar]
- Aligiannis, N.; Kalpotzakis, E.; Mitaku, S.; Chinou, I.B. Composition and antimicrobial activity of the essential oil of two Origanum species. J. Agric. Food Chem. 2001, 40, 4168–4170. [Google Scholar] [CrossRef] [PubMed]
- Touati, A.; Achour, W.; Abbassi, M.S.; Ben Hassen, A. Detection of ica genes and slime production in a collection of Staphylococcus epidermidis strains from catheter-related infections in neutropenic patients. Pathol. Biol. 2007, 55, 277–282. [Google Scholar] [CrossRef] [PubMed]
- Christensen, G.D.; Simpson, W.A.; Bisno, A.L.; Beachey, E.H. Adherence of slime-producing strains of Staphylococcus epidermidis to smooth surfaces. Infect. Immun. 1982, 37, 318–326. [Google Scholar] [CrossRef] [Green Version]
- Mack, D.; Bartscht, K.; Fischer, C.; Rohde, H.; de Grahl, C.; Dobinsky, S. Genetic and biochemical analysis of Staphylococcus epidermidis biofilm accumulation. Methods Enzymol. 2001, 336, 215–239. [Google Scholar] [PubMed]
- McLafferty, F.W. Wiley Registry of Mass Spectral Data, with NIST Spectral Data CD Rom, 7th ed.; John Wiley and Sons: New York, NY, USA, 1998. [Google Scholar]
- Noumi, E.; Merghni, A.; Alreshidi, M.M.; Haddad, O.; Akmada, G.; De Martino, L.; Mastouri, M.; Ceylan, O.; Snoussi, M.; Al-sieni, A.; et al. Chromobacterium violaceum and Pseudomonas aeruginosa PAO1: Models for Evaluating Anti-Quorum Sensing Activity of Melaleuca alternifolia Essential Oil and Its Main Component Terpinen-4-ol. Molecules 2018, 23, 2672. [Google Scholar] [CrossRef] [PubMed] [Green Version]
- Hajlaoui, H.; Mighri, H.; Noumi, E.; Snoussi, M.; Trabelsi, N.; Ksouri, R.; Bakhrouf, A. Chemical composition and biological activities of Tunisian Cuminum cyminum L. essential oil, a high effectiveness against Vibrio spp. strains. Food Chem. Toxicol. 2010, 48, 2186–2192. [Google Scholar] [CrossRef]
- Snoussi, M.; Noumi, E.; Punchappady-Devasya, R.; Trabelsi, N.; Kanekar, S.; Nazzaro, F.; Fratianni, F.; Flamini, G.; De Feo, V.; Al-Sieni, A. Antioxidant properties and anti-quorum sensing potential of Carum copticum essential oil and phenolics against Chromobacterium violaceum. J. Food Sci. Technol. 2018, 55, 2824–2832. [Google Scholar] [CrossRef] [PubMed]
- Noumi, E.; Snoussi, M.; Alreshidi, M.M.; Rekha, P.D.; Saptami, K.; Caputo, L.; De Martino, L.; Souza, L.F.; Msaada, K.; Mancini, E.; et al. Chemical and biological evaluation of essential oils from cardamom species. Molecules 2018, 23, 2818. [Google Scholar] [CrossRef] [Green Version]





| N. | Compound | Ki a | Ki b | % c |
|---|---|---|---|---|
| 1 | α-thujene | 916 | 930 | 0.05 |
| 2 | α-Pinene | 924 | 939 | 0.42 |
| 3 | 1-Octen-3-ol | 970 | 979 | 1.42 |
| 4 | 3-Octanone | 977 | 983 | 0.42 |
| 5 | β-Pinene | 983 | 979 | 18.52 |
| 6 | 3-Octanol | 986 | 991 | 0.47 |
| 7 | δ-2-carene | 992 | 1002 | 0.52 |
| 8 | δ-3-carene | 1004 | 1011 | 0.21 |
| 9 | ρ-Cymene | 1012 | 1024 | 0.84 |
| 10 | Limonene | 1017 | 1029 | 3.55 |
| 11 | (Z)-β-Ocimene | 1038 | 1037 | 0.49 |
| 12 | γ-Terpinene | 1048 | 1059 | 0.06 |
| 13 | Benzyl Formate | 1077 | 1076 | 0.18 |
| 14 | Linalool | 1091 | 1096 | 3.68 |
| 15 | Isopulegol (neoiso) | 1167 | 1171 | 0.61 |
| 16 | α-terpineol | 1180 | 1188 | 0.17 |
| 17 | Methyl chavicol | 1187 | 1196 | 0.47 |
| 18 | 2-Propenylphenol | 1247 | 1267 | 7.61 |
| 19 | 5-Indanol | 1336 | 1341 | 0.12 |
| 20 | Eugenol | 1356 | 1359 | 48.67 |
| 21 | α-copaene | 1367 | 1376 | 0.29 |
| 22 | α-gurjunene | 1409 | 1409 | 0.93 |
| 23 | α-muurolene | 1443 | 1454 | 0.26 |
| 24 | 9-epi-(E) Caryophyllene | 1466 | 1466 | 0.26 |
| 25 | Germacrene D | 1485 | 1485 | 0.10 |
| 26 | γ-amorphene | 1497 | 1495 | 0.21 |
| 27 | γ-patchoulene | 1503 | 1502 | 0.17 |
| 28 | δ-amorphene | 1513 | 1512 | 0.74 |
| 29 | γ–eudesmol | 1631 | 1631 | 0.18 |
| 30 | α-muurolol | 1644 | 1646 | 0.16 |
| Strains | P. dioica EO | Eugenol | ||||
|---|---|---|---|---|---|---|
| IZ (mm ± SD) | MIC (mg/mL) | MBC (mg/mL) | IZ (mm ± SD) | MIC (mg/mL) | MBC (mg/mL) | |
| Listeria monocytogenes CECT 933 | 26.66 ± 0.57 a | 0.048 | 12.5 | 21.33 ± 0.57 A | 0.048 | 3.125 |
| Vibrio vulnificus CECT 529 | 19.00 ± 0.01 d | 0.048 | 12.5 | 17.66 ± 0.57 B | 0.048 | 12.5 |
| Shigella flexeneri CECT 4804 | 17.00 ± 0.01 e | 0.048 | 3.125 | 18.66 ± 0.57 B | 0.048 | 12.5 |
| Bacillus subtilis CIP 5265 | 22.33 ± 0.57 c | 0.048 | 12.5 | 6.00 ± 0.01 E | 0.048 | 3.125 |
| Salmonella enterica CECT 443 | 24.33 ± 0.57 b | 0.048 | 3.125 | 22.00 ± 0.01 A | 0.048 | 3.125 |
| Escherichia coli ATCC 35218 | 16.67 ± 0.57 e | 0.048 | 3.125 | 14.33 ± 0.81 C | 0.048 | 3.125 |
| Pseudomonas aeruginosa PAO1 | 8.00 ± 0.01 f | 0.048 | 12.5 | 7.66 ± 0.57 D | 0.048 | 12.5 |
| Staphylococcus aureus ATCC 6538 | 17.00 ± 1.00 e | 0.048 | 1.562 | 18.00 ± 1.00 B | 0.048 | 3.125 |
| Strains | Adhesion to Glass | Slime Production on CRA | Adhesion to Polystyrene | ||
|---|---|---|---|---|---|
| Colour | S+/S− | OD570 ± SD | Production of Biofilm | ||
| S. aureus ATCC 6538 | ++ | Black | S+ | 1.36 ± 0.20 | High productrice |
| P. aeruginosa PAO1 | ++ | Red bordeaux | S− | 0.42 ± 0.26 | Low productrice |
| E. coli ATCC 35218 | ++ | Redwith black center | S+ | 0.17 ± 0.03 | Low productrice |
| S. flexeneri CECT 4804 | +++ | Redwith black center | S+ | 0.10 ± 0.01 | Low productrice |
| B. subtilis CIP 5265 | + | Red bordeaux | S− | 0.12 ± 0.01 | Low productrice |
| V. vulnificus CECT 529 | ++ | Redwith black center | S+ | 0.13 ± 0.02 | Low productrice |
| S. enterica CECT 443 | + | Red bordeaux | S− | 0.15 ± 0.01 | Low productrice |
| L. monocytogenes CECT 933 | +++ | Red with black center | S+ | 0.19 ± 0.07 | Low productrice |
| Essential Oil/ Main Compound | Percentage of Inhibition of S. aureus ATCC 6538 Biofilm Formed on | |||||
|---|---|---|---|---|---|---|
| Polystyrene | Glass | |||||
| MIC | 2xMIC | 4xMIC | MIC | 2xMIC | 4xMIC | |
| P. dioica | 55.05 ± 3.23 b | 60.66 ± 1.01 a | 64.41± 1.4 a | 58.01 ± 1.62 c | 63.01 ± 0.53 b | 70.25 ± 1.19 a |
| Eugenol | 73.25 ± 2.68 A | 75.31 ± 2.02 A | 75.90 ± 1.76 A | 67.25 ± 0.68 B | 72.75 ± 0.92 A | 73.79 ± 1.47 A |
| Concentration | % of Violacein Inhibition | |
|---|---|---|
| P. dioica | Eugenol | |
| MIC | 71.30 ± 1.5 a | 48.29 ± 0.9 a |
| MIC/2 | 67.87 ± 1.7 b | 37. 78 ± 1.8 b |
| MIC/4 | 55.74 ± 0.71 c | 33.91 ± 1.1 c |
| MIC/8 | 38.25 ± 1.8 d | 0 ± 1.5 d |
| MIC/16 | 32.34 ± 1.3 e | 6.65 ± 0.7 e |
| MIC/32 | 17.65 ± 0.7 f | 3.41 ± 1.1 f |
| Component | Concentration | ||
|---|---|---|---|
| 50 µg/mL | 75 µg/mL | 100 µg/mL | |
| P. dioica | 17 ± 0 c | 25 ± 0 b | 42 ± 0 a |
| Eugenol | 20.83 ± 1.17 B | 29.17 ± 0.17 A | 29.17 ± 0.17 A |
| Plant Species (Origin) | Organ | Extraction Method | Main Compounds | Reference |
|---|---|---|---|---|
| P. adenoclada (Cuba) | Leaves | Hydrodistillation | Caryophyllene oxide (15.4), α-muurolol (9.4), humulene epoxide II (7.6), trans-sabinol (5.6), β-pinene (5.3) | [28] |
| P. dioica (Jamaica) | Leaves | Steam distillation | Eugenol (66.38–79.24), β-caryophyllene (0.97–7.10) | [29] |
| P. dioica (México) | Berries | Steam distillation | Methyl-eugenol (48.3), myrcene (17.7), eugenol (17.3), β-caryophyllene (6.2) | [30] |
| P. dioica (Australia) | Leaves | Supercritical CO2 | Eugenol (77.9), β-caryophyllene (5.1), squalene (4.1) | [31] |
| P. dioica (Brazil) | Fruits | Hydrodistillation | Eugenol (76.98), β-pinene (6.52), limonene (4.09) | [32] |
| P. dioica | Fruits | Hydrodistillation | Eugenol (48.67%), β-pinene (18.52%), (1E)-Phenol-2-propenyl (7.61%) | This study |
Publisher’s Note: MDPI stays neutral with regard to jurisdictional claims in published maps and institutional affiliations. |
© 2022 by the authors. Licensee MDPI, Basel, Switzerland. This article is an open access article distributed under the terms and conditions of the Creative Commons Attribution (CC BY) license (https://creativecommons.org/licenses/by/4.0/).
Share and Cite
ALrashidi, A.A.; Noumi, E.; Snoussi, M.; Feo, V.D. Chemical Composition, Antibacterial and Anti-Quorum Sensing Activities of Pimenta dioica L. Essential Oil and Its Major Compound (Eugenol) against Foodborne Pathogenic Bacteria. Plants 2022, 11, 540. https://doi.org/10.3390/plants11040540
ALrashidi AA, Noumi E, Snoussi M, Feo VD. Chemical Composition, Antibacterial and Anti-Quorum Sensing Activities of Pimenta dioica L. Essential Oil and Its Major Compound (Eugenol) against Foodborne Pathogenic Bacteria. Plants. 2022; 11(4):540. https://doi.org/10.3390/plants11040540
Chicago/Turabian StyleALrashidi, Ayshah Aysh, Emira Noumi, Mejdi Snoussi, and Vincenzo De Feo. 2022. "Chemical Composition, Antibacterial and Anti-Quorum Sensing Activities of Pimenta dioica L. Essential Oil and Its Major Compound (Eugenol) against Foodborne Pathogenic Bacteria" Plants 11, no. 4: 540. https://doi.org/10.3390/plants11040540
APA StyleALrashidi, A. A., Noumi, E., Snoussi, M., & Feo, V. D. (2022). Chemical Composition, Antibacterial and Anti-Quorum Sensing Activities of Pimenta dioica L. Essential Oil and Its Major Compound (Eugenol) against Foodborne Pathogenic Bacteria. Plants, 11(4), 540. https://doi.org/10.3390/plants11040540

