Physio-Biochemical Responses of Sweet Cherry Leaf to Natural Cold Conditions
Abstract
1. Introduction
2. Results
2.1. Chlorophyll Fluorescence Parameters
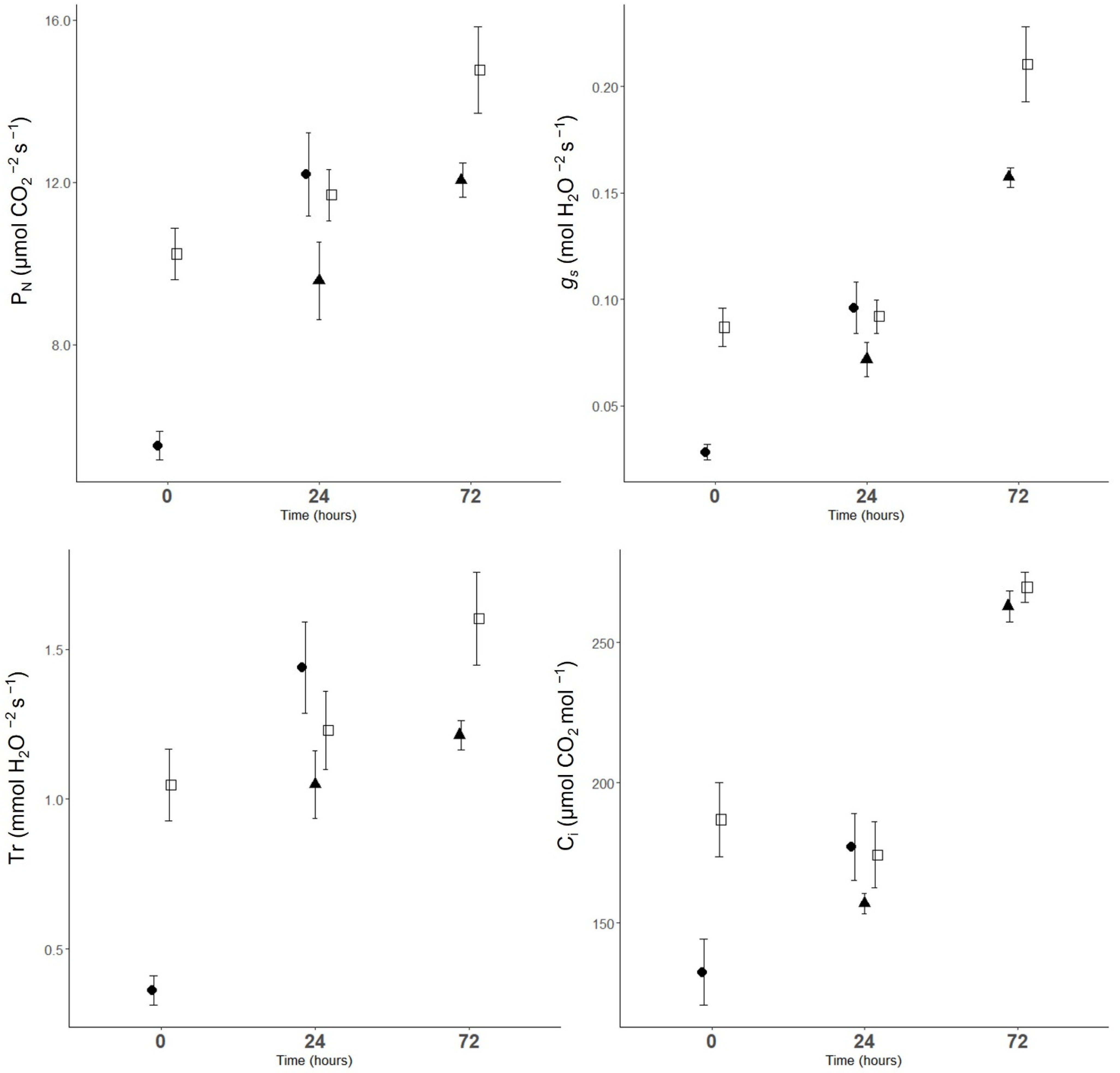
2.2. Gas Exchange Parameters
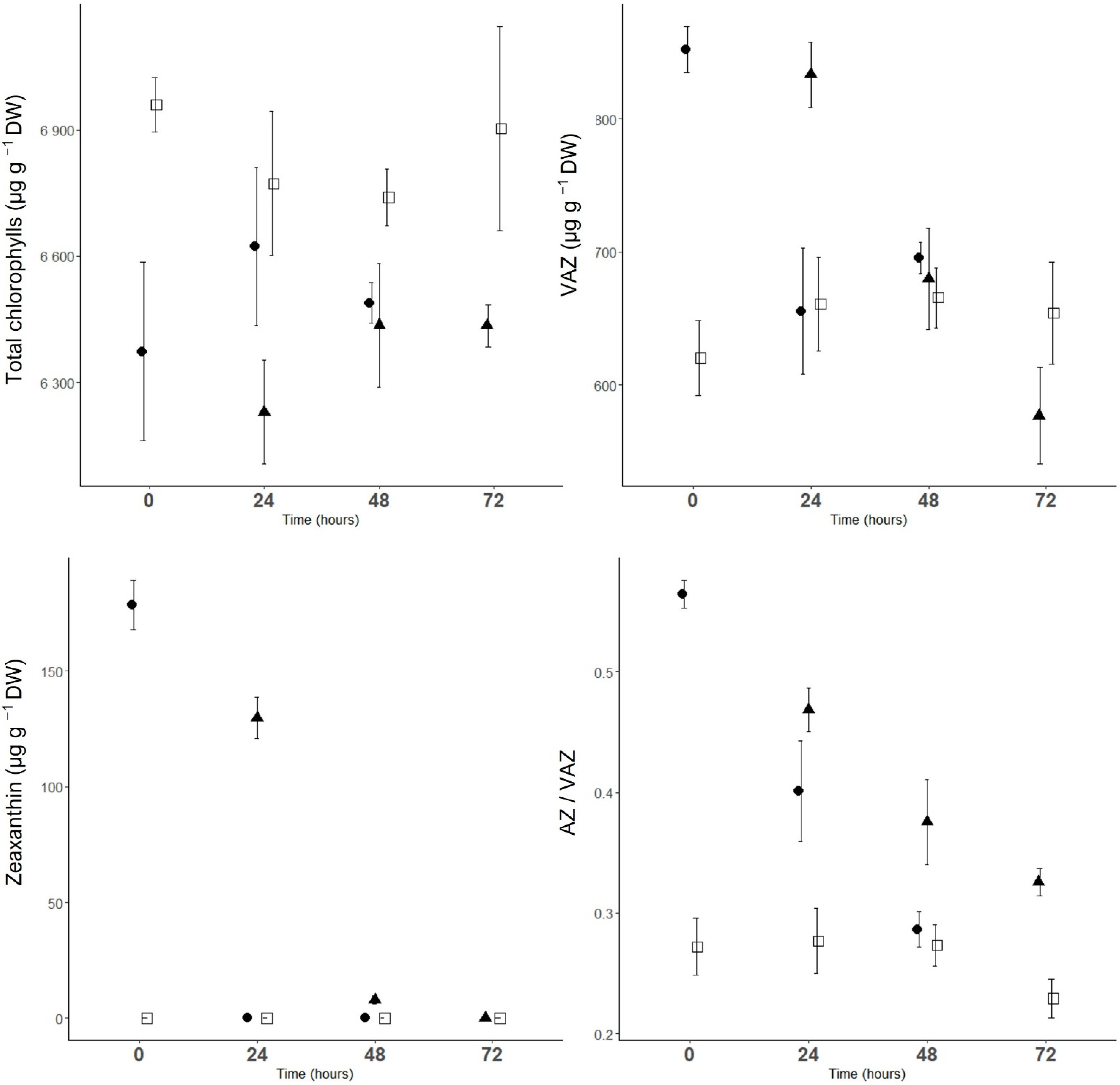
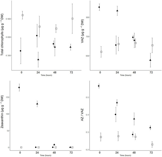
2.3. Biochemical Parameters
3. Discussion
4. Materials and Methods
4.1. Plant Material and Experimental Design
4.2. Physiological Parameters
4.2.1. Measurements
4.2.2. Chlorophyll Fluorescence Parameters
4.2.3. Gas Exchange Parameters
4.3. Biochemical Parameters
4.3.1. Samplings and Sample Preparation
4.3.2. Extraction and HPLC Analysis of Chloroplast Pigments
4.4. Statistical Analysis
5. Conclusions
Author Contributions
Funding
Institutional Review Board Statement
Informed Consent Statement
Data Availability Statement
Conflicts of Interest
References
- Wenden, B.; Campoy, J.A.; Jensen, M.; López-Ortega, G. Climatic limiting factors: Temperature. In Cherries: Botany, Production and Uses; CABI: Wallingford, UK, 2017; pp. 166–188. [Google Scholar]
- Ahmad, P.; Prasad, M.N.V. Abiotic Stress Responses in Plants: Metabolism, Productivity and Sustainability; Springer Science & Business Media: Berlin/Heidelberg, Germany, 2011; ISBN 146140634X. [Google Scholar]
- Szymańska, R.; Ślesak, I.; Orzechowska, A.; Kruk, J. Physiological and biochemical responses to high light and temperature stress in plants. Environ. Exp. Bot. 2017, 139, 165–177. [Google Scholar] [CrossRef]
- Jan, N.; Andrabi, K.I. Cold resistance in plants: A mystery unresolved. Electron. J. Biotechnol. 2009, 12, 14–15. [Google Scholar] [CrossRef]
- Gill, S.S.; Tuteja, N. Reactive oxygen species and antioxidant machinery in abiotic stress tolerance in crop plants. Plant Physiol. Biochem. 2010, 48, 909–930. [Google Scholar] [CrossRef]
- Allen, D.J.; Ratner, K.; Giller, Y.E.; Gussakovsky, E.E.; Shahak, Y.; Ort, D.R. An overnight chill induces a delayed inhibition of photosynthesis at midday in mango (Mangifera indica L.). J. Exp. Bot. 2000, 51, 1893–1902. [Google Scholar] [CrossRef]
- Allen, D.J.; Ort, D.R. Impacts of chilling temperatures on photosynthesis in warm-climate plants. Trends Plant Sci. 2001, 6, 36–42. [Google Scholar] [CrossRef]
- Taiz, L.; Zeiger, E.; Møller, I.M.; Murphy, A. Plant Physiology and Development; Sinauer Associates Incorporated: Sunderland, CT, USA, 2015. [Google Scholar]
- Liu, Y.; Qi, M.; Li, T. Photosynthesis, photoinhibition, and antioxidant system in tomato leaves stressed by low night temperature and their subsequent recovery. Plant Sci. 2012, 196, 8–17. [Google Scholar] [CrossRef]
- Kalisz, A.; Jezdinský, A.; Pokluda, R.; Sękara, A.; Grabowska, A.; Gil, J. Impacts of chilling on photosynthesis and chlorophyll pigment content in juvenile basil cultivars. Hortic. Environ. Biotechnol. 2016, 57, 330–339. [Google Scholar] [CrossRef]
- Miao, M.; Xu, X.; Chen, X.; Xue, L.; Cao, B. Cucumber carbohydrate metabolism and translocation under chilling night temperature. J. Plant Physiol. 2007, 164, 621–628. [Google Scholar] [CrossRef]
- Ikkonen, E.; Shibaeva, T.; Sysoeva, M.; Sherudilo, E. Stomatal conductance in Cucumis sativus upon short-term and long-term exposures to low temperatures. Russ. J. Plant Physiol. 2012, 59, 696–699. [Google Scholar] [CrossRef]
- Shibaeva, T.; Ikkonen, E.; Sherudilo, E.; Titov, A. Effects of a daily short-term temperature drop on chilling-sensitive and cold-resistant plants. Russ. J. Plant Physiol. 2019, 66, 530–539. [Google Scholar] [CrossRef]
- Liu, X.; Xu, N.; Wu, Y.; Zhong, H.; Zhang, H. Photosynthesis, chilling acclimation and the response of antioxidant enzymes to chilling stress in mulberry seedlings. J. For. Res. 2019, 30, 2021–2029. [Google Scholar] [CrossRef]
- Bertamini, M.; Muthuchelian, K.; Rubinigg, M.; Zorer, R.; Nedunchezhian, N. Low-night temperature (LNT) induced changes of photosynthesis in grapevine (Vitis vinifera L.) plants. Plant Physiol. Biochem. 2005, 43, 693–699. [Google Scholar] [CrossRef]
- Bertamini, M.; Muthuchelian, K.; Rubinigg, M.; Zorer, R.; Velasco, R.; Nedunchezhian, N. Low-night temperature increased the photoinhibition of photosynthesis in grapevine (Vitis vinifera L. cv. Riesling) leaves. Environ. Exp. Bot. 2006, 57, 25–31. [Google Scholar] [CrossRef]
- Leng, P.; Qi, J. Effect of anthocyanin on David peach (Prunus davidiana Franch) under low temperature stress. Sci. Hortic. 2003, 97, 27–39. [Google Scholar] [CrossRef]
- Cansev, A.; Gulen, H.; Celik, G.; Eris, A. Alterations in total phenolic content and antioxidant capacity in response to low temperatures in olive (Olea europaea L.“Gemlik”). Plant Arch. 2012, 12, 489–494. [Google Scholar]
- Vosnjak, M.; Kastelec, D.; Vodnik, D.; Hudina, M.; Usenik, V. The physiological response of the sweet cherry leaf to non-freezing low temperatures. Hortic. Environ. Biotechnol. 2021, 62, 199–211. [Google Scholar] [CrossRef]
- Vosnjak, M.; Sircelj, H.; Hudina, M.; Usenik, V. Response of chloroplast pigments, sugars and phenolics of sweet cherry leaves to chilling. Sci. Rep. 2021, 11, 1–13. [Google Scholar] [CrossRef]
- Zhang, L.; Ferguson, L.; Whiting, M.D. Temperature effects on pistil viability and fruit set in sweet cherry. Sci. Hortic. 2018, 241, 8–17. [Google Scholar] [CrossRef]
- R Core Team. R: A Language and Environment for Statistical Computing Computer Program, Version 3.6.1; R Foundation for Statistical Computing: Vienna, Austria, 2019; Available online: http://www.r-project.org (accessed on 30 June 2019).
- Jończyk, M.; Sobkowiak, A.; Trzcinska-Danielewicz, J.; Skoneczny, M.; Solecka, D.; Fronk, J.; Sowiński, P. Global analysis of gene expression in maize leaves treated with low temperature. II. Combined effect of severe cold (8 °C) and circadian rhythm. Plant Mol. Biol. 2017, 95, 279–302. [Google Scholar] [CrossRef]
- Bilska-Kos, A.; Panek, P.; Szulc-Głaz, A.; Ochodzki, P.; Cisło, A.; Zebrowski, J. Chilling-induced physiological, anatomical and biochemical responses in the leaves of Miscanthus × giganteus and maize (Zea mays L.). J. Plant Physiol. 2018, 228, 178–188. [Google Scholar] [CrossRef]
- Krause, G.; Weis, E. Chlorophyll fluorescence and photosynthesis: The basics. Annu. Rev. Plant Biol. 1991, 42, 313–349. [Google Scholar] [CrossRef]
- Maxwell, K.; Johnson, G.N. Chlorophyll fluorescence—A practical guide. J. Exp. Bot. 2000, 51, 659–668. [Google Scholar] [CrossRef]
- Demmig-Adams, B.; Adams Iii, W. Photoprotection and other responses of plants to high light stress. Annu. Rev. Plant Biol. 1992, 43, 599–626. [Google Scholar] [CrossRef]
- Haldimann, P. Low growth temperature-induced changes to pigment composition and photosynthesis in Zea mays genotypes differing in chilling sensitivity. Plant Cell Environ. 1998, 21, 200–208. [Google Scholar] [CrossRef]
- Oliveira, J.G.d.; Alves, P.L.C.; Magalhães, A.C. The effect of chilling on the photosynthetic activity in coffee (Coffea arabica L.) seedlings: The protective action of chloroplastid pigments. Braz. J. Plant Physiol. 2002, 14, 95–104. [Google Scholar] [CrossRef]
- Adams, W.I.; Hoehn, A.; Demmig-Adams, B. Chilling temperatures and the xanthophyll cycle. A comparison of warm-grown and overwintering spinach. Funct. Plant Biol. 1995, 22, 75–85. [Google Scholar] [CrossRef]
- Demmig-Adams, B.; Adams, W.W. The role of xanthophyll cycle carotenoids in the protection of photosynthesis. Trends Plant Sci. 1996, 1, 21–26. [Google Scholar] [CrossRef]
- Fernández-Marín, B.; García-Plazaola, J.I.; Hernández, A.; Esteban, R. Plant photosynthetic pigments: Methods and tricks for correct quantification and identification. In Advances in Plant Ecophysiology Techniques; Springer: Berlin/Heidelberg, Germany, 2018; pp. 29–50. [Google Scholar]
- Mohanty, S.; Grimm, B.; Tripathy, B.C. Light and dark modulation of chlorophyll biosynthetic genes in response to temperature. Planta 2006, 224, 692–699. [Google Scholar] [CrossRef]
- Latowski, D.; Kuczyńska, P.; Strzałka, K. Xanthophyll cycle–a mechanism protecting plants against oxidative stress. Redox Rep. 2011, 16, 78–90. [Google Scholar] [CrossRef]
- Savitch, L.V.; Ivanov, A.G.; Gudynaite-Savitch, L.; Huner, N.P.; Simmonds, J. Effects of low temperature stress on excitation energy partitioning and photoprotection in Zea mays. Funct. Plant Biol. 2009, 36, 37–49. [Google Scholar] [CrossRef]
- Ibrahim, M.M.; Bafeel, S.O. Photosynthetic efficiency and pigment contents in alfalfa (Medicago sativa) seedlings subjected to dark and chilling conditions. Int. J. Agric. Biol 2008, 10, 306–310. [Google Scholar]
- Lee, J.-H.; Oh, M.-M. Short-term low temperature increases phenolic antioxidant levels in kale. Hortic. Environ. Biotechnol. 2015, 56, 588–596. [Google Scholar] [CrossRef]




| CT1 | CT2 | |||||
|---|---|---|---|---|---|---|
| 0 | 24 | 48 | 24 | 48 | 72 | |
| Chlorophyll fluorescence parameters | ||||||
| Fv/Fm | ↓ *** | ns | ns | ↓ *** | ↓ * | ns |
| Fv’/Fm’ | ↓ *** | ns | ns | ↓ * | ns | ns |
| ETR | ns | ns | ns | ↑ ** | ns | ns |
| Gas exchange parameters | ||||||
| PN | ↓ *** | ns | ― | ns | ― | ↓ ** |
| Tr | ↓ *** | ns | ― | ns | ― | ns |
| gs | ↓ *** | ns | ― | ns | ― | ↓ *** |
| Ci | ↓ *** | ns | ― | ns | ― | ns |
| Biochemical parameters | ||||||
| chlorophyll a | ns | ns | ns | ns | ns | ns |
| chlorophyll b | ↓ * | ns | ns | ↓ * | ns | ns |
| chlorophyll a/b | ↑ * | ns | ns | ns | ns | ns |
| total chlorophylls | ↓ * | ns | ns | ↓ * | ns | ns |
| β-carotene | ↓ ** | ns | ns | ↓ * | ↓ * | ↓ * |
| lutein | ↓ ** | ↓ *** | ns | ↓ * | ns | ns |
| neoxanthin | ns | ns | ns | ns | ns | ns |
| violaxanthin | ↓ ** | ns | ns | ns | ns | ↓ * |
| antheraxanthin | ↑ *** | ↑ ** | ns | ↑ ** | ↑ * | ns |
| zeaxanthin | ↑ *** | ns | ns | ↑ *** | ns | ns |
| total carotenoids | ns | ns | ns | ns | ns | ns |
| VAZ | ↑ *** | ns | ns | ↑ *** | ns | ns |
| AZ/VAZ | ↑ *** | ↑ ** | ns | ↑ *** | ↑ * | ↑ * |
Publisher’s Note: MDPI stays neutral with regard to jurisdictional claims in published maps and institutional affiliations. |
© 2022 by the authors. Licensee MDPI, Basel, Switzerland. This article is an open access article distributed under the terms and conditions of the Creative Commons Attribution (CC BY) license (https://creativecommons.org/licenses/by/4.0/).
Share and Cite
Vosnjak, M.; Sircelj, H.; Vodnik, D.; Usenik, V. Physio-Biochemical Responses of Sweet Cherry Leaf to Natural Cold Conditions. Plants 2022, 11, 3507. https://doi.org/10.3390/plants11243507
Vosnjak M, Sircelj H, Vodnik D, Usenik V. Physio-Biochemical Responses of Sweet Cherry Leaf to Natural Cold Conditions. Plants. 2022; 11(24):3507. https://doi.org/10.3390/plants11243507
Chicago/Turabian StyleVosnjak, Matej, Helena Sircelj, Dominik Vodnik, and Valentina Usenik. 2022. "Physio-Biochemical Responses of Sweet Cherry Leaf to Natural Cold Conditions" Plants 11, no. 24: 3507. https://doi.org/10.3390/plants11243507
APA StyleVosnjak, M., Sircelj, H., Vodnik, D., & Usenik, V. (2022). Physio-Biochemical Responses of Sweet Cherry Leaf to Natural Cold Conditions. Plants, 11(24), 3507. https://doi.org/10.3390/plants11243507

