Abstract
The benefits of cereal-legume mixed cropping is a sustainable agricultural practice. However, knowledge of the genotypic differences of semi-leafless pea varieties is not enough to help them compete with cereals. In this study, the effects of Lithuania’s newest Pisum sativum cultivars (‘Egle DS’ and ‘Lina DS’) and, for comparison, a control cultivar (‘Jūra DS’) established with Avena sativa in mixed cropping system were investigated. Three years of field trials (2018, 2019 and 2020) with four experiments involved three different mixtures of each field pea cultivar with oat. The aboveground biomass of mixed cropped new field pea cultivars was found to be significantly higher: biomass of cultivars ‘Egle DS’ increased by 17.0% and ‘Lina DS’ by 7.2% on average compared with the control cultivar ‘Jūra DS’. For the mixed cropping system, statistically greater total aboveground biomass was observed with plant ratios of 50% pea + 50% oat and 60% pea + 40% oat compared to peas monocultures. Mixed cropped oat was the dominant species in all tested mixture compositions; however, the highest total grain yield of mixed crops was obtained when new pea ‘Lina DS’ and ‘Egle DS’ cultivars were included in the mixtures compared with the control cultivar. The new pea cultivar ‘Egle DS’ had a greater effect on protein content compared to other tested pea cultivars. In the new pea cultivars ‘Lina DS’ and ‘Egle DS’, the higher photosynthetic capacity and aboveground biomass of mixed cropped pea with oat showed mixture effects in the mixed cropped system and could increase total yield compared with pea monoculture. Generally, the new pea cultivars displayed a greater Land Equivalent Ratio (LER) value, resulting in the greatest yield among the mixtures on average for all three years and all four experiments. Future research could optimize the effects of pea cultivar mixtures with cereals to further improve the yield of organic mixed cropping systems.
1. Introduction
Mixed cropping is a sustainable agricultural practice used all over the world to make a very efficient use of resources [1]. Most of the studied is legumes and cereals mixed cultivation systems [2,3,4]. This leads to improved utilisation of environmental resources such as light, water and nutrients [5,6,7,8]. The ability of legume crops to complement the N–soil system is a clear benefit that depends on crop systems to maintain the soil nitrogen supply at sustainable productivity levels [9,10,11]. Grain legumes cultivated in mixed cropping systems with cereal include pea, vetch, soya, lupin and bean [12,13,14,15]. The cultivation of nitrogen-fixing legumes in mixed cropping systems can also improve the content of organic carbon in the soil and the availability of phosphorus, which are the main factors for soil fertility [16]. Cereal -legumes intercrops improve soil conservation [17,18] and yield stability [19,20] are favourable for controlling weeds, pests and diseases [21,22,23,24]; and improve the quality of cereal grains [25]. Thus, this intercropping meets not only the need to reduce chemical inputs (fertilizers and phytosanitary products) and their associated production costs but also protects the environment [4]. Many intercropping studies focus on variables such as the relative plant population of the constituent crops, planting dates, treatment with fertilizers and the spatial orientation of the crop, etc. [1,26,27].
Mixed cropping systems are focused on the ecological principles of competition, complementarity, and facilitation [28]. The components of the intercropping crop are closely related and interact with each other [1,29]. If interspecific competition for crop yield factors is lower than intraspecific competition, these crop species can share just a part of the same land area and the reduced competition principle is in action [30]. An important aspect of the intercropping system is the scale of competition between crops. In the face of greater competition, the interaction between the genotype and agronomic practices is very important [29]. In cereal and semi-leafless pea mixed cropping systems, cereals are more competitive than peas, therefore the yield most often are decreases in mixed cropping system at the expense of pea yields [31]. Similar results are given by other researchers [26,32]. In mixed cropping system less, competitive semi-leafless peas grow in the shade of tall cereals. It is claimed that the shadow adversely affects photosynthesis, getting into the roots of assimilates, fixation of N and yield [32,33]. Such varietal indicators as leaf area, content and quality of chlorophyll, photosynthetic capacity can increase shade tolerance [33].
To reduce the negative competition between crop species, it is necessary to explore the cultivation of the strongest new varieties of legume crops that have simpler requirements for growth conditions [34], stronger competencies for nutrients and higher, more stable grain yields [35,36]. Studies have shown that different pea varieties, harvested from two subsequent years at various locations, produced grain with a different general chemical composition [37]. Moreover, field pea varieties can respond differently to high growth temperature, revealing their diverse potential to resist heat stress [38]. Adapted field pea breeding lines have been developed that combine the ability to grow under sustainable conditions with other desirable agronomic traits with maintaining adequate productivity [39]. An investigation of pea varieties in a mixed cropping system showed that variety diversification may increase yield and promote microbial interactions by affecting the soil, plant health and broader ecosystem functions [40]. However, selecting individual plant varieties and different species for mixed cropping at different proportions might influence and reduce intraspecific competition. The selection of field pea genotypes with comparable phenology but contrasting stature and growth when intercropped with cereals in breeding programmes helped to determine pea proportion, height, and yield in dual crops, indicating the strict association of pea stature with yield and competitive ability [6,41].
The morphological and physiological features of new breeds in relation to the tolerance and avoidance of the shadow, such as the height, density is important [33]. However, not enough is known about the strategy that peas can use when competing with cereals.
Mixed cropping systems most often grown on low-yielding or low-cost farms. But despite the potential benefits due to the additional workforce and more complex management, mixed cropping is not widely used in modern, mechanized grain cultivation systems [42]. The implementation of the Green Deal program, reducing the use of fertilizers, pesticides, energy costs will stimulate (in part) the cultivation of mixed crops. Therefore, improving the practice of growing mixed crops will make these crops more attractive and at the same time gain greater confidence from growers. The present investigation was carried out with the objectives to quantify genotypic differences between crop species and their most suitable combination for mixed cropping in an organic farming system.
2. Materials and Methods
2.1. Experimental Sites
The study was carried out at the Lithuanian Research Centre for Agriculture and Forestry, situated in Central Lithuania’s lowland region in three subsequent years (2018–2020) via four experiments: 2018, 2019 and 2020 at the Akademija site (55°24′ N, 23°51′ E) and 2020 at the Tiskūnai site (55°348′ N, 24°15′ E). The soil of the Akademija experimental site is an Endocalcari–Endohypogleyic Cambisol (CMg-n-w-can) with a loam texture. The topsoil (0–25 cm) had a pH of 7.5, 74–79 mg·kg−1 available P2O5, 2.3% humus content and 135–140 mg·kg−1 potassium. At the experimental site in Tiskūnai, the topsoil had a pH of 7.9, 81–94 mg·kg−1 available P2O5, 1.5% humus contents and 420 mg·kg−1 potassium. In the region of the experiments, the total annual rainfall and average temperature are 570.1 mm and 6.5 °C, respectively.
Weather data were collected at a stationary meteorological station located in Akademija using temperature and rainfall sensors (Figure 1). In 2018, the temperature of the growing season was higher than the average. In 2019, the temperature was higher than the perennial temperature during the vegetative phase and harvesting, but the precipitation was very uneven. In 2020, the temperature and precipitation decreased during the sowing period but increased during the vegetative phase.

Figure 1.
Meteorological conditions from 2018–2020 in Akademija.
2.2. Experimental Design and Plant Material
In this study, two species (field pea and oat) were planted as monocrops and mixtures. For the experiment, two new cultivars of semi-leafless field pea Egle DS and Lina DS, and cultivar one old cultivar Jūra DS, one oat Viva DS were used. The experimental plots were laid out in a complete one-factor randomized block design with four replications. The individual plots had an area of 15 m2 (10 m × 1.5 m) with 12.5 cm spacing between rows. Three different mixtures of each field pea (Pisum sativum L.) cultivar and oat (Avena sativa L.) (50% pea + 50% oat (1:1), 60% pea + 40% oat (3:2), 70% pea + 30% oat (7:3)) and monocultures of the three field pea cultivars (100% pea (1:0)) and pure oat (100% oat (1:0)) were used as the experimental treatments. The intercrop design was based on the proportional replacement principle, with mixed pea seeds and oat seeds planted at the same depth in the same rows at the appropriate proportion of pea and oat. The oat seed rate was 6.0 mln. seeds ha−1 and that of pea was 1.0 mln. seeds ha−1 for the monocrop treatments. The following crop cultivars were used: standard field pea (cv. Jūra DS) with a medium vegetation period (91 days) and a plant height of 90.4 cm; the new field pea cultivar cv. Egle DS with a longer duration of vegetation (94 days) and a plant height of 98.9 cm; the new field pea cultivar cv. Lina DS with a medium vegetation period (91 days) and a plant height of 85.6 cm; and oat (cv. Viva DS) with a short vegetation period (85 days) and a plant height of 106 cm. During the experimentation, chlorophyll content was measured in leaf tissues at different vegetative stages, by non-destructive SPAD method, using SPAD 502 Plus Chlorophyll Meter [43].
Plants were harvested by a harvesting machine in all experimental plots. Before harvesting, plants were manually selected by cutting at the soil surface at full ripeness in 1.0 m2 sampling plots (0.25 m × 0.25 m) in 4 places for productivity analysis. Plant samples were divided into the component species, which were then used to determine yield components including grain and straw yield and 1000-kernel weight.
2.3. Expected Grain Yields vs. Actual
The combined total grain yield was calculated for all the mixture, and yield was calculated separately for pea and oat in the mixtures. The value was defined by the difference between actual grain yield and expected yield. For this, expected yield was calculated from the monocrop multiplied by the plant ratio used in the mixtures.
The Land Equivalent Ratio (LER) was calculated using the equation proposed by Wiley and Rao (1980) [44]. It denotes the relative land area under a monocrop required to give the same yield as that obtained under a mixed or an intercropping system at the same level of management [45]. The equation includes the pure yield of the main crop (Yaa), the yield of the intercrop (Ybb), and the proportion of the main crop (Yab) and the intercrop (Yba) (1).
2.4. The Relative (k) Crowding Coefficient
The coefficient (k) gives the yield per unit of area for calculating the ‘expected’ yields on the basis of how much of the area is initially allocated to each crop [44]. In this equation, kab is the relative crowding coefficient of Crop a intercropped with Crop b, Yab is the yield per unit area of Crop a intercropped with Crop b, Yaa is the yield per unit of area of pure Crop a, Zab is the proportion of the intercropped area initially allocated to Crop a and Zba is the proportion of intercropped area initially allocated to Crop b.
2.5. (A) Aggressivity Value
Aggressivity(A) was calculated using the equation proposed by McGilchrist (1965) [46] (3). It measures the relative yield increase or decrease in Component a growing together with Component b. The aggressivity could be calculated for both crops in the mixture.
2.6. Competitive Ratio
The competitive ratio (CR) gives the yield per unit of area, calculating the ‘expected’ yields on the basis of how much of the area is initially allocated to each crop [44] (4).
2.7. Statistical Analysis
Statistical analysis was performed using SAS software version 9.4 (SAS Institute Inc., Cary, NC, USA, 2002–2010). Homogeneity and normality were verified using Bartlett’s test. Interactions between years were tested and no significant interactions were found. Experimental data were analysed by one-way analysis of variance (ANOVA), and mean comparisons between treatments were performed using Duncan’s means separation test. The least significant difference was calculated using a probability level of p < 0.05.
3. Results
Crop quality and productivity had no significant effect in the three cropping seasons, but the effect of the mixing crop system × field pea cultivar interaction on 1000-kernel weight was found to be significant (p < 0.001). On average across the three-year experimental period, the oat mixed with field pea had a significantly higher protein concentration in grain compared with oat grown as a monocrop (Table 1). In the mixtures, we found that the tested field pea cultivars improved different quality parameters of oat compared with that of the monoculture. The new pea cultivar Egle DS had a greater effect on protein content, ranging from 13.1% up to 13.4% in mixtures with sowing ratios of 3:2 and 7:3, respectively.
Table 1.
The crops’ 1000-kernel weights and protein content in the grains, averaged over the three years, depending on the pea sowing rate and the different cultivars.
On average, the protein content in the grains of pea cultivars grown as a monocrop was significantly higher (<0.001) for the new cultivar Egle DS compared with the control cultivar Jūra DS and second new cultivar Lina DS. The protein concentration in oat grain was significantly higher under mixed cropping with pea than in the oat monoculture crop. The maximum protein concentration in oat was found for the Viva DS and Egle DS mixed crop at a ratio of 60% pea + 40% oat (3:2). Other mixed cropping treatments showed marginally lower crude protein concentration in oat grains.
On average across the experimental period, the pea 1000-kernel weight was significantly lower for the new cultivars compared with the control cultivar Jūra DS grown as a monocrop.
However, the new cultivar Egle DS showed essentially higher productivity in terms of 1000-kernel weight in mixtures with oat as well as protein concentration in the grains. There was a significant difference in plant height among the different mixed treatments on average during the three growing seasons (Table 2).
Table 2.
Crop height and number of oat grains per ear, averaged across the three years, depending on the pea sowing rate and the different cultivars.
The height of field pea mixed with oat was significantly greater for the new cultivar Egle DS compared with the control cultivar Jūra DS on average (Table 2). In general, the plant mixture ratio had a significant effect (p < 0.001) on field pea height regardless of what cultivar was incorporated in the mixture. All cultivars had a lower height in mixtures compared with field pea sown as a monoculture. For oat, the mixture ratio configurations had no significant effect on plant height compared with oat grown as a monoculture. The mixture ratio significantly influenced the oat grain number per ear, and there was significant difference between the mixtures with pea and oat grown as a monoculture. The new field pea cultivars Egle DS and Lina DS showed significantly greater effects on oat productivity and quality parameters compared with mixtures with the control pea cultivar Jūra DS or oat grown as a monoculture.
Th aboveground total biomass of field pea and oat was significantly influenced by the mixture ratio treatment with the control cultivar Jūra DS on average during three growing seasons (Table 3). The biomass of pea in mixtures was significantly increased (p < 0.001) in the two new cultivars Egle DS and Lina DS. The new field pea cultivar Lina DS was observed to have lower aboveground biomass, which varied from 128 to 181 g m−2 but showed no significant difference from mixtures with the cultivar Egle DS, where pea biomass varied from 168 to 250 g m−2 depending on the pea ratio in the mixtures with oat. The aboveground biomass of new field pea cultivars in mixed cropping was found to be significantly higher for Egle DS by 17.0% on average and for Lina DS by 7.2% on average compared with the control cultivar Jūra DS. For the mixed cropping system, greater total aboveground biomass was observed with plant ratios of 50% pea + 50% oat (1:1) and 60% pea + 40% oat (3:2).
Table 3.
The biomass and straw weight of crops per unit of area (g m−2), averaged across the three years, depending on the pea sowing rate and the different cultivars.
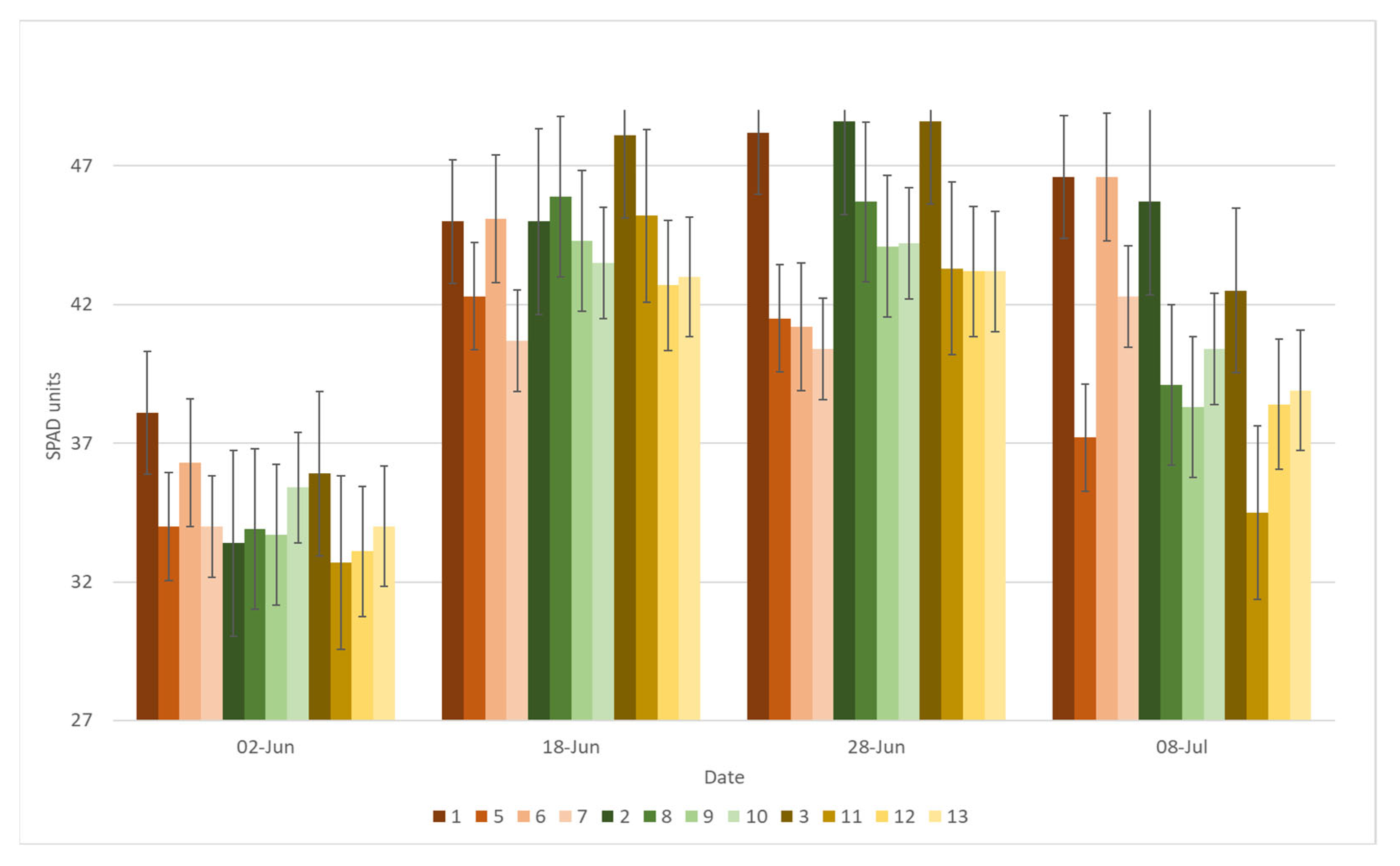
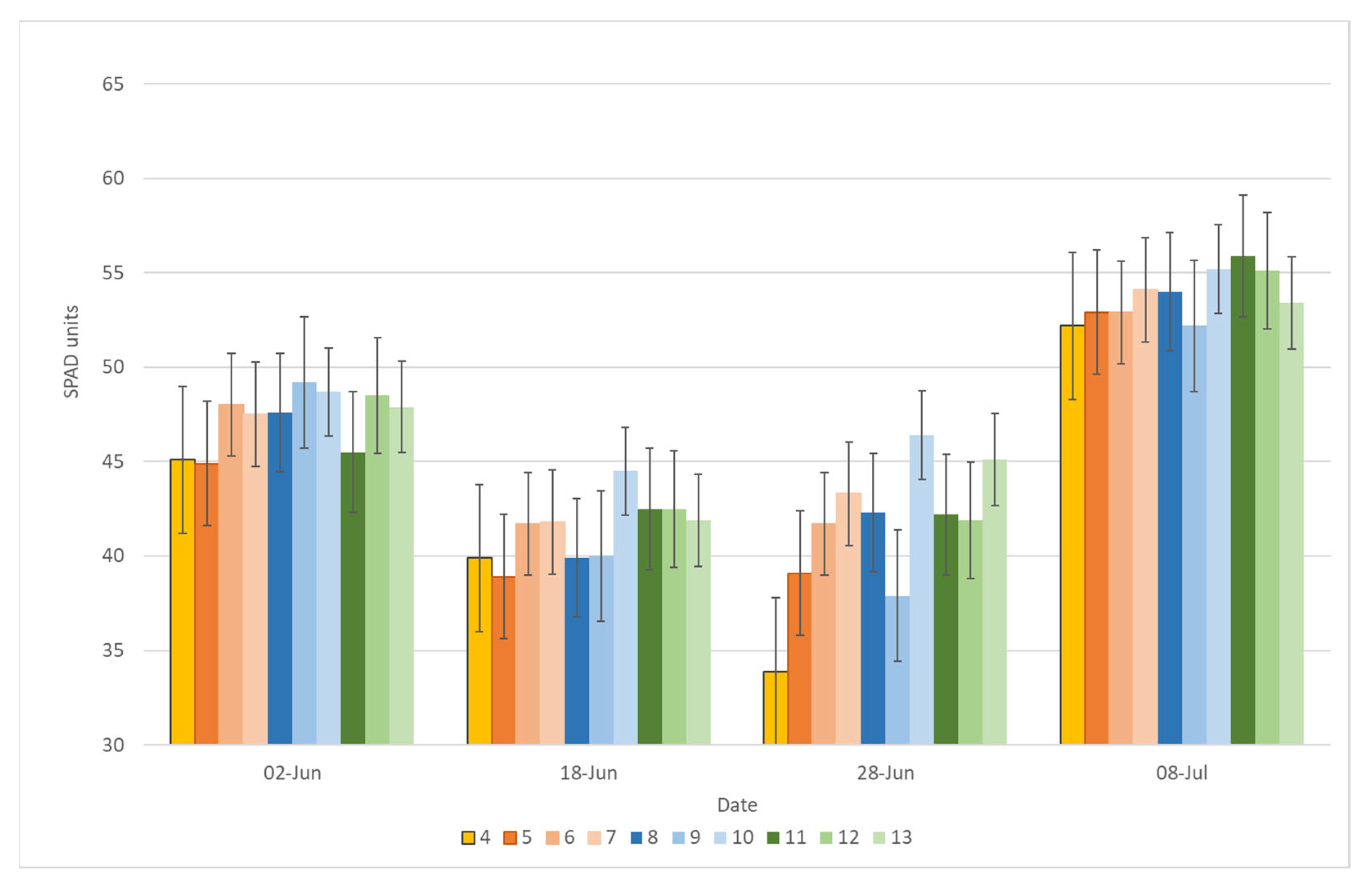
Field pea grown as monoculture showed higher SPAD values compared with the mixed cropping treatments, and a significant difference was found between the new pea cultivars Egle DS and Lina DS, and the control cultivar Jūra DS (Figure 2). The SPAD value of the field pea monoculture with Egle DS was 12.3% lower and that with Lina DS was 5.8% lower than that with the control cultivar Jūra DS on average at the beginning of the vegetation period (June 2). For oat, all mixed cropping treatments had no significant difference in the SPAD value compared with oat grown as monoculture at the same growing stage (Figure 3). In the later vegetation period, the SPAD value of oat in the mixed cropping system was found to be significantly different from oat grown as monoculture. On 8 July, the SPAD values were found to be the highest in oat mixed with all tested pea cultivars at a ratio of 7:3; however, the new cultivar Lina DS significantly influenced the SPAD value at all ratios, but the greatest effect was found for the ratio 50% pea + 50% oat (1:1).
Figure 2.
SPAD value of field pea in different treatments, averaged over the three years, depending on the vegetation date. Note: 1, Pea Jūra DS; 2, Pea Egle DS; 3, Pea Lina DS; 4, Oat Viva DS; 5, Pea Jūra DS 50% + 50% oat; 6, Pea Jūra DS 60% pea + 40% oat; 7, Pea Jūra DS 70% + 30% oat; 8, Pea Egle DS 50% + 50% oat; 9, Pea Egle DS 60% pea + 40% oat; 10, Pea Egle DS 70% + 30% oat; 11, Pea Lina DS 50% + 50% oat; 12, Pea Lina DS 60% pea + 40% oat; 13, Pea Lina DS 70% + 30% oat.
Figure 3.
SPAD value of oat in different mixed cropping treatments, averaged over the three years, depending on the vegetation date. Note: 1, Pea Jūra DS; 2, Pea Egle DS; 3, Pea Lina DS; 4, Oat Viva DS; 5, Pea Jūra DS 50% + 50% oat; 6, Pea Jūra DS 60% pea + 40% oat; 7, Pea Jūra DS 70% + 30% oat; 8, Pea Egle DS 50% + 50% oat; 9, Pea Egle DS 60% pea + 40% oat; 10, Pea Egle DS 70% + 30% oat; 11, Pea Lina DS 50% + 50% oat; 12, Pea Lina DS 60% pea + 40% oat; 13, Pea Lina DS 70% + 30% oat.
The grain yield did not differ significantly among the treatments (p = 0.068) in 2018 (Table 4). The lowest yields were found in the mixtures with the new pea cultivar Jūra DS, the highest yield was found for the new cultivar Egle DS.
Table 4.
The grain yield of crops during three years in four experiments, depending on the pea sowing rate and different cultivars.
Lina DS was the best pea grown as a as monoculture. In 2019, the treatments in which pea was grown as a monoculture had significantly lower grain yields (p <0.001) and the monoculture of oat had the greatest. If we compare the mixed cropping systems, the treatments with the pea variety Egle DS had the highest yields. Oat and pea intercrops proved more productive than monocultures of pea. The differences in production, however, between the mixed cropping and pea monoculture proved to be smaller than expected. In 2020, the monocrop of field pea varied between the different sites, but the trends were determined to be similar. Jūra DS and Lina DS produced near two times lower grain yields at Tiskūnai compared with those at Akademija. Generally, the highest grain yield was obtained when the new pea cultivar Egle DS was grown together with oat, where the higher yield of the mixed cropping treatment was due to the oat component. The difference between actual total mixed cropping grain yield and the yield expected showed that the pea cultivar Egle DS increased the total mixed grain yield compared with the other pea cultivars (Figure 4), especially when the ratio in the mixture of Egle DS was 60% and that of oat was 40% (3:2).
Figure 4.
The combined total grain yield: difference between actual and expected grain yield.
However, the grain yield of pea in the mixed cropping systems showed was higher with the new cultivar Lina DS (Figure 5). However, oat grain yield decreased when field pea yield was higher in the mixed cropping systems (Figure 6).
Figure 5.
The grain yield of pea in the mixed cropping: difference between actual and expected grain yield.
Figure 6.
The grain yield of oat in the mixtures: difference between actual and expected grain yield.
The highest oat grain yield in the mixed cropping treatments was obtained when the ratio of oat was 50% in the mixture with pea Egle DS (Table 5). The LER of grain yields was generally below unity except, mixtures with control cultivar Jūra DS and new cultivar Egle DS at 7:3 rate, indicating the lower grain productivity of mixed cropping systems with the control pea cultivar Jūra DS (Table 5). Relatively, the crop of mixed intercrops resulted in in LER values > 1 for grain yields. Mixed intercrops with a higher share of oat in the mixtures with Jūra DS and Egle DS showed a trend towards lower LER values for grain yields. Only the three-year mean of the control cultivar Jūra DS was less than one. The component crops did not exhibit equal competitive intensity based on aggressivity. In the three sowing years, the aggressivity index (A) of oat relative to field pea’s A value was positive in all the mixed cropping treatments. Furthermore, the average A values of the three years were significantly greater than zero (p = 0.0646), indicating that oat was the dominant species and had much greater competitiveness in the mixed cropping system of oat with field pea, especially when oat was mixed with the pea cultivar Egle DS. The interspecific competitive abilities were determined by the relative crowding coefficient (k). Regarding the k values of all mixed cropping systems, on average across the three years, the k value of oat was always greater than the k of pea (Table 5). However, at the 1:1 sowing ratio with the new pea cultivar Lina DS, the k value was greater than that of the other tested field pea cultivars at the same sowing ratio. The new pea cultivar Lina DS was more competitive than Jūra DS and Egle DS. Similar results were observed for the competitive ratio (CR). The CR value in different oat–pea mixed cropping systems always exceeded 1.0 on average for all three years and all four experiments, and thus were higher than the competitive ratios of all field pea cultivars (Table 5). The average CR value of oat over the study period was also higher than 1.0 for each mixed cropping configuration. In contrast, the average field pea CR values were less than 1, suggesting that oat had greater competitive intensity relative to field pea in all tested combinations. However, the new pea cultivar Lina DS mixed with oat utilized the resources more aggressively than the other tested pea cultivars and its CR values were significantly higher compared with those of the cultivars Jūra DS and Egle DS (p = 0.0813).
Table 5.
Land equivalent ratio for grain (LER), relative crowding coefficient of Crop a intercropped with Crop b (k), aggressivity (A) and competitive ratio (CR) of oat–pea mixed crops as affected by the ratio (%), averaged over the three years.
4. Discussion
Determining the crop yield indicators involved in growing mixes is the most important component in developing at mixed cropping system. The results reported by Ghaley et al. (2005) [14] showed that fertilization with nitrogen improved the competitive ability of mixed crop due to increases in aboveground dry matter, grain and straw. In eastern Austria, growing oat–pea mixed crops did not achieve a greater grain yield than monocultures of these crops on fertile soil. Oat was the dominant crop in the mixtures and strongly overcame pea, especially with additional N fertilization [47]. Lauk and Lauk (2008) [48] found that when growing pea–oat in mixes, the higher yield of the mixed cropping system was more productive than that of monoculture crops. However, it has been established that mixed cropping reduces the yield of the separate components compared with the yields of the individual crops as monocultures [21]. Numerous researchers have presented theories and models that confirm the total yield stability in mixed cropping systems. Mead and Willey (1980) [49] analysed mixed cropping systems in detail and found that such systems’ crop yields are more stable. Research into modern agricultural practices tend to involve more crop cultivars in mixed cropping due to the plants’ root microbial community composition in comparison with cropping with a single cultivar [40]. Our results suggest that mixed cropping of oat with different field pea cultivars produced varying grain yields. Regardless of the crop ratio in mixtures and the field pea cultivar, the competitive ability was different and the new pea cultivars may be more suitable to be grown in different systems: Egle DS was suitable for monocropping, but Lina DS was superior in an organic mixed cropping system. New field pea cultivars mixed with oat achieved the greatest mixed cropping advantage, which was mainly influenced by the effects of biological nitrogen fixed by pea on the higher concentration of crude protein in oat grain compared with the oat monocrop. The higher CR values of the pea cultivar Lina DS in our study indicated that on average, this cultivar was more competitive than the other tested pea cultivars at different sowing ratios in the mixtures. Oat production was the major factor that determined the overall yield compared with the yield of the pea monoculture. On average across the three experimental years at two sites, the highest crop grain yield was found for the oat monoculture. However, the concentration of crude protein in the oat grain was higher in oat grown in a mixture with field pea. The results of a meta-analysis suggested that mixed cropping consistently stimulates complementary nitrogen use between legumes and cereals [50]. Other researchers have also indicated that mixed cropping improves the stability of crop production and provides greater crop security and quality [51,52]. Furthermore, mixed cropping systems are a preferred land-use system to compensate for the disadvantages of arable land [53].
It has been reported that short strong-strawed pea cultivars appear to be unsuitable for mixtures with oat. Mixtures with long-strawed pea cultivars were more successful and increased the competitive ability of pea in the mixed crop system [54]. As pea plants grown in a mixed crop system are shaded by oat, this may have contributed to the reduced TKW [47]. Typically, cereals are established as the dominant crop in a cereal–legume mixed cropping system [55,56,57]. It has also been found that oats have outstanding tillering ability and peculiarities of nutrition: they grow tall and therefore their competitive characteristics are strong [31,58]. A significant change in productivity assumes that mixed crops are possible when the morphological characteristics of the two mixed crops are different [59]. Previous studies have also reported that this complementarity exists due to the different crop species such as Panicum miliaceum L. and Vigna radiata L. with morphological differences in the root systems and crop heights [60]. The new pea cultivars Egle DS and Lina DS investigated here are long-strawed semi-leafless varieties and, unlike the control pea cultivar Jūra DS, increased the competition with oat in a mixture, and the 1000-kernel weight of pea was found to be similar to that of the new pea cultivars grown as a monoculture.
Agricultural practices such as cultivation modify the soil’s physical and chemical properties and, consequently, change the soil nutrient conditions and enzyme activities, including soil nitrogen [50]. Therefore, meteorological factors such as precipitation during the growing season are very important. Higher precipitation in the growing season is more favourable to the growth of microorganisms and produces more nutrients [61]. Our results revealed an increase in crop productivity in the mixed cropping systems at both experimental sites in 2020, when the amount of precipitation was highest during the vegetative growth stage compared with previous years. Increased competitive properties of field pea with oat were observed in mixtures of new field pea cultivars and oat. Our results support previous researchers’ results showing that various factors such as crop density, design and mixed crop composition should be considered to regulate the interaction between diverse crop species and maximize crop growth in mixed cropping systems [62]. Rodriguez et al. (2020) [28] reported the results of a meta-analysis that showed a great opportunity to improve the efficiency of soil nitrogen usage in global crop growing systems by mixing cereals and grain legumes, due to the sharing of the mineral nitrogen because of the competitive ability of the cereal for mineral nitrogen while also stimulating symbiotic nitrogen fixation in the legume crops.
5. Conclusions
Mixed cropping with field pea and oat can lead to grain yield advantages when the proportions and crop densities are at the optimal ratio (3:2). The proportion of pea can be high, depending on the field pea cultivar’s architecture. Therefore, new long-strawed pea cultivars mixed with oat could be an efficient approach for organically grown grain production in mixed cropping systems. In the new pea cultivars Lina DS and Egle DS, the higher photosynthetic capacity and aboveground biomass of a mixed crop of pea and oat showed that mixture effects in a mixed cropped system can increase the total yield compared with a pea monoculture. Generally, the new pea cultivars Lina DS and Egle DS displayed a greater LER value, resulting in the greatest yield of the mixtures on average for all three years and all four experiments. Future research may optimize the effects of pea cultivar mixtures with cereals to further improve the yield of organic mixed cropping systems.
Author Contributions
Conceptualization, L.Š., A.A. and Ž.K.; Methodology, L.Š. and A.A.; Software M.T.; Validation, L.Š., Ž.K. and S.S.; Formal Analysis, L.Š., A.A. and S.S.; Investigation, L.Š., K.R., I.D. and R.S.; Resources, L.Š. and A.A.; Data Curation, L.Š., M.T. and K.R.; Writing—Original Draft Preparation, L.Š.; Writing—Review & Editing, L.Š., M.T. and A.A.; Visualization, I.D. and M.T.; Supervision, Ž.K.; Project Administration, Ž.K.; Funding Acquisition, Ž.K. All authors have read and agreed to the published version of the manuscript.
Funding
This project has received funding from European Regional Development Fund under grant agreement with the Research Council of Lithuania (LMT LT) through the high-level R&D project Enhancement of the multifunctional properties of legumes in feed and food value chains (SmartLegume), (No. 01.2.2-LMT-K-718-01-0068).
Institutional Review Board Statement
Not applicable.
Informed Consent Statement
Not applicable.
Data Availability Statement
All data included in the main text.
Conflicts of Interest
The authors declare no conflict of interest.
References
- Maitra, S.; Palai, J.B.; Manasa, P.; Kumar, D.P. Potential of Intercropping System in Sustaining Crop Productivity. Int. J. Agric. Environ. Biotechnol. 2019, 12, 39–45. [Google Scholar] [CrossRef]
- Jensen, E.S.; Chongtham, I.R.; Dhamala, N.R.; Rodriguez, C.; Carton, N.; Carlsson, G. Diversifying European agricultural systems by intercropping grain legumes and cereals. Int. J. Agric. Nat. Resour. 2020, 47, 174–186. [Google Scholar]
- Li, B.; Li, Y.; Wu, H.; Zhang, F.; Li, C.; Li, X.; Lambers, H.; Li, L. Root exudates drive interspecific facilitation by enhancing nodulation and N2 fixation. Proc. Natl. Acad. Sci. USA 2016, 113, 6496–6501. [Google Scholar] [CrossRef] [PubMed]
- Mamine, F.; Farès, M. Barriers and Levers to Developing Wheat–Pea Intercropping in Europe: A Review. Sustainability 2020, 12, 6962. [Google Scholar] [CrossRef]
- Alcon, F.; Marin-Minano, C.; Zabala, J.A.; de-Miguel, M.-D.; Martinez-Pazb, J.M. Valuing diversification benefits through intercropping in Mediterranean agroecosystems: A choice experiment approach. Ecol. Econ. 2020, 171, 106593. [Google Scholar] [CrossRef]
- Alemayehu, D.; Shumi, D.; Afeta, T. Effect of Variety and Time of Intercropping of Common Bean (Phaseolus vulgaris L.) With Maize (Zea mays L.) on Yield Components and Yields of Associated Crops and Productivity of the System at Mid-Land of Guji, Southern Ethiopia. Adv. Crop Sci. Technol. 2018, 6, 324. [Google Scholar] [CrossRef]
- Hauggaard-Nielsen, H.; Jensen, E. Facilitative root interactions in intercrops. In Root Physiology: From Gene to Function. Plant Ecophysiology; Lambers, H., Colmer, T.D., Eds.; Springer: Dordrecht, The Netherlands, 2005; Volume 4. [Google Scholar] [CrossRef]
- Tuna, C.; Orak, A. The role of intercropping on yield potential of common vetch-oat cultivated in pure stand and mixtures. J. Agric. Biol. Sci. 2007, 2, 14–19. [Google Scholar]
- Jensen, E.S.; Carlsson, G.; Hauggaard-Nielsen, H. Intercropping of grain legumes and cereals improves the use of soil N resources and reduces the requirement for synthetic fertilizer N: A global-scale analysis. Agron. Sustain. Dev. 2020, 40, 5. [Google Scholar] [CrossRef]
- Li, C.J.; Hoffland, E.; Kuyper, T.W.; Yu, Y.; Zhang, C.; Li, H.; Zhang, F.; van der Werf, W. Syndromes of production inintercropping impact yield gains. Nat. Plants 2020, 6, 653–660. [Google Scholar] [CrossRef]
- Toleikiene, M.; Brophy, C.; Arlauskiene, A.; Rasmussen, J.; Gecaite, V.; Kadziuliene, Z. The introduction of soybean in an organic crop rotation in the Nemoral zone: The impact on subsequent spring wheat productivity. Zemdirb.-Agric. 2019, 106. [Google Scholar] [CrossRef]
- Andersen, M.K.; Hauggaard-Nielsen, H.; Weiner, J.; Jensen, E.S. Competitive dynamics in two-component intercrops. J. Appl. Ecol. 2007, 44, 545–551. [Google Scholar] [CrossRef]
- Cheriere, T.; Lorin, M.; Corre- Hellou, G. Species choice and spatial arrangement in soybean-based intercropping:Levers that drive yield and weed control. Field Crops Res. 2020, 256, 107923. [Google Scholar] [CrossRef]
- Ghaley, B.B.; Hauggaard-Nielsen, H.; Høgh-Jensen, H.; Jensen, E.S. Intercropping of Wheat and Pea as Influenced by Nitrogen Fertilization. Nutr Cycl Agroecosyst 2005, 73, 201–212. [Google Scholar] [CrossRef]
- Hauggaard-Nielsen, H.; Ambus, P.; Jensen, E.S. Interspecific competition, N use and interference with weeds in pea-barley intercropping. Field Crops Res. 2001, 70, 101–109. [Google Scholar] [CrossRef]
- Ngwira, A.R.; Aune, J.B.; Mkwinda, S. On-farm evaluation of yield and economic benefit of short term maize legume intercropping systems under conservation agriculture in Malawi. Field Crops Res. 2012, 132, 149–157. [Google Scholar] [CrossRef]
- Ajal, J.; Jäck, O.; Vico, G.; Weih, M. Functional trait space in cereals and legumes grown in pure and mixed cultures is influenced more by cultivar identity than crop mixing. Perspect. Plant Ecol. Evol. Syst. 2021, 50, 125612. [Google Scholar] [CrossRef]
- Anil, L.; Park, R.; Phipps, R.H.; Miller, F.A. Temperate intercropping of cereals for forage: A review of the potential for growth and utilization with particular reference to the UK. Grass Forage Sci. 1998, 53, 301–317. [Google Scholar] [CrossRef]
- Lithourgidis, A.S.; Vasilakoglou, I.B.; Dhima, K.V.; Dordas, C.A.; Yiakoulaki, M.D. Forage yield and quality of common vetch mixtures with oat and triticale in two seeding ratios. Field Crops Res. 2006, 99, 106–113. [Google Scholar] [CrossRef]
- Stomph, T.J.; Dordas, C.; Baranger, A.; de Rijk, J.; Dong, B.; Evers, J.; Gu, C.; Li, L.; Simon, J.; Jensen, E.S. Designing intercrops for high yield, yield stability and efficient use of resources: Are there principles? Adv. Agron. 2020, 161, 1–50. [Google Scholar]
- Banik, P.; Samsal, T.; Ghosal, P.K.; Bagchi, D.K. Evaluation of mustard (Brassica Compestris var. Toria) and legume intercropping under 1:1 and 1:2 row replacement series system. J. Agron. Crop Sci. 2000, 185, 9–14. [Google Scholar]
- Boudreau, M.A. Diseases in intercropping systems. Annu. Rev. Phytopathol. 2013, 51, 499–519. [Google Scholar] [CrossRef] [PubMed]
- Verret, V.; Gardarin, A.; Pelzer, E.; Médiène, S.; Makowski, D.; Valantin-Morison, M. Can legume companion plants control weeds without decreasing crop yield? A meta-analysis. Field Crops Res. 2017, 204, 158–168. [Google Scholar] [CrossRef]
- Zhang, C.C.; Dong, Y.; Tang, L.; Zheng, Y.; Makowski, D.; Yu, Y.; Zhang, F.S.; van der Werf, W. Intercropping cereals with faba bean reduces plant disease incidence regardless of fertilizer input; a meta-analysis. Eur. J. Plant Pathol. 2019, 154, 931–942. [Google Scholar] [CrossRef]
- Gronle, A.; Lux, G.; Böhma, H.; Schmidtke, K.; Wild, M.; Demmel, M.; Brandhuber, R.; Wilbois, K.-P.; Heß, J. Effect of ploughing depth and mechanical soil loading on soil physical properties, weed infestation, yield performance and grain quality in sole and intercrops of pea and oat in organic farming. Soil Tillage Res. 2015, 148, 59–73. [Google Scholar] [CrossRef]
- Masvaya, E.N.; Nyamangara, J.; Descheemaeker, K.; Giller, K.E. Is maize-cowpea intercropping a viable option for smallholder farms in the risky environments of semi-arid southern Africa? Field Crops Res. 2017, 209, 73–87. [Google Scholar] [CrossRef]
- Zhao, C.; Chai, Q.; Zhao, Y.; Mu, Y.; Zhang, Y.; Yu, A.; Feng, F.; Liu, C.; Yin, W.; Hu, F. Interspecific competition and complementation is a function of N management in maize-pea intercropping systems. Crop Sci. 2016, 56, 3286–3294. [Google Scholar] [CrossRef]
- Rodriguez, C.; Carlsson, G.; Englund, J.E.; Flöhr, A.; Pelzer, E.; Jeuffroy, M.H.; Makowski, D.; Jensen, E. Grain legume-cereal intercropping enhances the use of soil-derived and biologically fixed nitrogen in temperate agroecosystems. A Meta-Anal. Eur. J. Agron. 2020, 118, 126077. [Google Scholar] [CrossRef]
- Davis, J.H.C.; Woolley, J.N. Genotypic requirement for intercropping. Field Crops Res. 1993, 34, 407–430. [Google Scholar] [CrossRef]
- Vandermeer, J.H. The Ecology of Agroecosystems; Jones and Bartlett Learning: Burlington, MA, USA, 2011; p. 392. [Google Scholar]
- Arlauskienė, A.; Maikštėnienė, S.; Šarūnaitė, L.; Kadžiulienė, Ž.; Deveikytė, I.; Žėkaitė, V.; Česnulevičienė, R. Competitiveness and productivity of organically grown pea and spring cereal intercrops. Zemdirbyste 2011, 4, 339–348. [Google Scholar]
- Namatsheve, T.; Cardinael, R.; Corbeels, M.; Chikowo, R. Productivity and biological N2-fixation in cereal-cowpea intercropping systems in sub-Saharan Africa. A review. Agron. Sustain. Dev. 2020, 40, 30. [Google Scholar] [CrossRef]
- Gong, W.Z.; Jiang, C.D.; Wu, Y.S.; Chen, H.H.; Liu, W.Y.; Yang, W.Y. Tolerance vs. avoidance: Two strategies of soybean (Glycine max) seedlings in response to shade in intercropping. Photosynthetica 2015, 53, 259–268. [Google Scholar] [CrossRef]
- Pecetti, L.; Angelo, M.R.; Luigi, R.; Massimo, R.; Paolo, A. Adaptation of field pea varieties to organic farming across different environments of Italy. Crop Pasture Sci. 2019, 70, 327–333. [Google Scholar] [CrossRef]
- Bedoussac, L.; Journet, E.P.; Hauggaard-Nielsen, H.; Naudin, C.; Corre-Hellou, G.; Jensen, E.S.; Prieur, L.; Justes, E. Ecological principles underlying the increase of productivity achieved by cereal-grain legume intercrops in organic farming. A review. Agron. Sustain. Dev. 2015, 35, 911–935. [Google Scholar] [CrossRef]
- Singh, S.; Ladha, J.K.; Gupta, R.K.; Bhushan, L.; Rao, A.N.; Sivaprasad, B.; Singh, P.P. Evaluation of mulching, intercropping with Sesbania and herbicide use for weed management in dry-seeded rice (Oryza sativa L.). Crop Prot. 2007, 26, 518–524. [Google Scholar] [CrossRef]
- Nikolopoulou, D.; Grigorakis, K.; Stasini, M.; Alexis, M.N.; Iliadis, K. Differences in chemical composition of field pea (Pisum sativum) cultivars: Effects of cultivation area and year. Food Chem. 2007, 103, 847–852. [Google Scholar] [CrossRef]
- Liu, N.; Karunakaran, C.; Lahlali, R.; Warkentin, T.; Bueckert, R.A. Genotypic and heat stress effects on leaf cuticles of field pea using ATR-FTIR spectroscopy. Planta 2019, 249, 601–613. [Google Scholar] [CrossRef]
- Rodiño, A.P.; Hernández-Nistal, J.; Hermida, M.; Santalla, M.; De Ron, A.M. Sources of variation for sustainable field pea breeding. Euphytica 2009, 166, 95–107. [Google Scholar] [CrossRef]
- Horner, A.; Browett, S.S.; Antwis, R.E. Mixed-Cropping Between Field Pea Varieties Alters Root Bacterial and Fungal Communities. Sci. Rep. 2019, 9, 16953. [Google Scholar] [CrossRef]
- Annicchiarico, P.; Ruda, P.; Sulas, C.; Pitzalis, M.; Salis, M.; Romani, M.; Carroni, A.M. Optimal Plant Type of Pea for Mixed Cropping with Cereals. In Breeding Strategies for Sustainable Forage and Turf Grass Improvement; Barth, S., Milbourne, D., Eds.; Springer: Dordrecht, The Netherlands, 2013. [Google Scholar] [CrossRef]
- Fletcher, A.L.; Kirkegaard, J.A.; Peoples, M.B.; Robertson, M.J.; Whish, J.; Swan, A.D. Prospects to utilise intercrops and crop variety mixtures in mechanised, rain-fed, temperate cropping systems. Crop Pasture Sci. 2016, 67, 1252–1267. [Google Scholar] [CrossRef]
- Ling, Q.; Huang, W.; Jarvis, P. Use of a SPAD-502 meter to measure leaf chlorophyll concentration in Arabidopsis thaliana. Photosynth. Res. 2011, 107, 209–214. [Google Scholar] [CrossRef] [PubMed]
- Willey, R.W.; Rao, M.R. A competitive ratio for quantifying competition between intercrops. Expl Agric. 1980, 16, 117–125. [Google Scholar] [CrossRef]
- Chongtham, M.; Devi, K.N.; Shahni, N.; Athokpam, H.S.; Singh, N.G.; Bokado, K.; Singh, A.D. Evaluation of Pea (Pisum sativum L.) and Indian Mustard (Brassica juncea L.) Intercropping system on growth, yield and competition indices. Int. J. Curr. Microbiol. App. Sci. 2018, 7, 2502–2508. [Google Scholar] [CrossRef]
- McGilchrist, C.A. Analysis of competition experiments. Biometrics 1965, 21, 975–985. [Google Scholar] [CrossRef]
- Neugschwandtner, R.W.; Kaul, H.P. Sowing Ratio and N Fertilization Affect Yield and Yield Components of Oat and Pea in Intercrops. Field Crops Res. 2014, 155, 159–163. [Google Scholar] [CrossRef]
- Lauk, R.; Lauk, E. Pea-oat intercrops are superior to pea-wheat and pea-barley intercrops. Acta Agric. Scand. Sect. B-Soil Plant Sci. 2008, 58, 139–144. [Google Scholar] [CrossRef]
- Mead, R.; Willey, R.W. The concept of a ‘land equivalent ratio’ and advantages in yields from intercropping. Exp Agr 1980, 16, 217–228. [Google Scholar] [CrossRef]
- Jia, X.; Zhong, Y.; Liu, J.; Zhu, G.; Shangguan, Z.; Yan, W. Effects of nitrogen enrichment on soil microbial characteristics: From biomass to enzyme activities. Geoderma 2020, 366, 114256. [Google Scholar] [CrossRef]
- Jalilian, J.; Najafabadi, A.; Zardashti, M.R. Intercropping patterns and different farming systems affect the yield and yield components of safflower and bitter vetch. J. Plant Interact. 2017, 12, 92–99. [Google Scholar] [CrossRef]
- Skelton, L.E.; Barrett, G.W. A comparison of conventional and alternative agro ecosystems using alfalfa (Medicago sativa) and winter wheat (Triticum aestivum). Renew Agric Food Syst. 2005, 20, 38–47. [Google Scholar] [CrossRef]
- Abdel Magid, H.M.; Ghoneim, M.F.; Rabie, R.K.; Sabrah, R.E. Productivity of wheat and alfalfa under intercropping. Exp Agric. 1991, 27, 391–395. [Google Scholar] [CrossRef]
- Rauber, R.; Schmidtke, K.; Kimpel-Freund, H. The performance of pea (Pisumsativum L.) and its role in determining yield advantages in mixed stands of peaand oat (Avena sativa L.). J. Agron. Crop Sci. 2001, 187, 137–144. [Google Scholar] [CrossRef]
- Agegnehu, G.; Ghizaw, A.; Sinebo, W. Yield potential and land-use efficiency of wheat and faba bean mixed intercropping. Agron. Sustain. Dev. 2008, 28, 257–263. [Google Scholar] [CrossRef]
- Dhima, K.V.; Lithourgidis, A.S.; Vasilakoglou, I.B.; Dordas, C.A. Competition indices of common vetch and cereal intercrops in two seeding ratio. Field Crops Res. 2007, 100, 249–256. [Google Scholar] [CrossRef]
- Wang, R.; Sun, Z.; Zhang, L.; Yang, N.; Feng, L.; Bai, W.; Zhang, D.; Wang, Q.; Evers, J.B.; Liu, Y.; et al. Border-row proportion determines strength of interspecific interactions and crop yields in maize/peanut strip intercropping. Field Crops Res. 2020, 253, 107819. [Google Scholar] [CrossRef]
- Lundkvist, A.; Salomonsson, L.; Karlsson, L.; Gustavsson, A.M.D. Effects of organic farming on weed flora composition in a long-term perspective. Eur. J. Agron. 2008, 28, 570–578. [Google Scholar] [CrossRef]
- Yang, F.; Liao, D.; Wu, X.; Gao, R.; Fan, Y.; Raza, M.A.; Wang, X.; Yong, T.; Liu, W.; Liu, J.; et al. Effect of aboveground and belowground interactions on the intercrop yields in maize-soybean relay intercropping systems. Field Crops Res. 2017, 203, 16–23. [Google Scholar] [CrossRef]
- Gong, X.; Dang, K.; Lv, S.; Zhao, G.; Wang, H.; Feng, B. Interspecific competition and nitrogen application alter soil ecoenzymatic stoichiometry, microbial nutrient status, and improve grain yield in broomcorn millet/mung bean intercropping systems. Field Crops Res. 2021, 270, 108227. [Google Scholar] [CrossRef]
- Strukelj, M.; Parker, W.; Corcket, E.; Augusto, L.; Khlifa, R.; Jactel, H.; Munson, A.D. Tree species richness and water availability interact to affect soil microbial processes. Soil Biol. Bioch. 2021, 155, 108180. [Google Scholar] [CrossRef]
- Hauggaard-Nielsen, H.; Andersen, M.K.; Jørnsgaard, B.; Jensen, E.S. Density and relative frequency effects on competitive interactions and resource use in pea–barley intercrops. Field Crops Res. 2006, 95, 256–267. [Google Scholar] [CrossRef]
Publisher’s Note: MDPI stays neutral with regard to jurisdictional claims in published maps and institutional affiliations. |
© 2022 by the authors. Licensee MDPI, Basel, Switzerland. This article is an open access article distributed under the terms and conditions of the Creative Commons Attribution (CC BY) license (https://creativecommons.org/licenses/by/4.0/).






