The Physiological Impact of GFLV Virus Infection on Grapevine Water Status: First Observations
Abstract
:1. Introduction
2. Results
2.1. The Influence of Drought and GFLV Infection on Plant Water Status of Grapevines
2.2. The Influence of Drought and GFLV Infection on Grapevine Xylem Vessel Occlusion
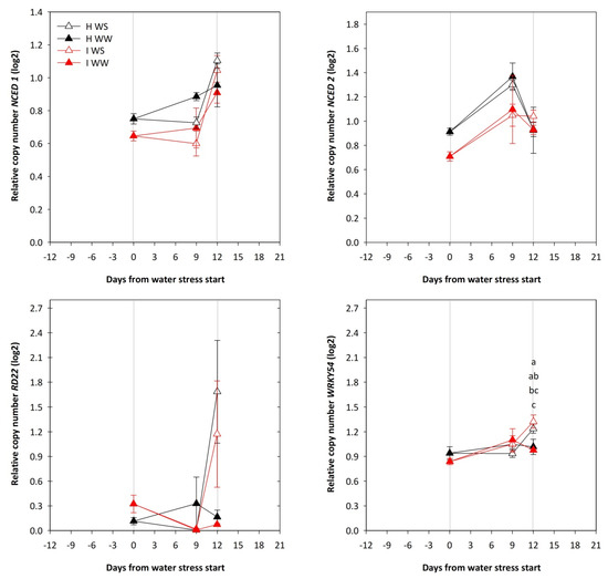
2.3. The Influence of Drought and GFLV Infection on Expression Patterns of NCED1, NCED2, RD22 and WRKY54 Genes in Grapevines
3. Discussion
4. Materials and Methods
4.1. Plant Material
4.2. Stem Water Potential (ΨSTEM) and Root Hydraulic Conductivity (RHC) Measurements
4.3. Microscopy of Stem Sections
4.4. Gene Expression Analysis
4.5. Statistical Data Processing
Supplementary Materials
Author Contributions
Funding
Institutional Review Board Statement
Informed Consent Statement
Acknowledgments
Conflicts of Interest
References
- Martelli, G.P.; Boudon-Padieu, E. Directory of Infectious Diseases of Grapevines and Viroses and Virus-Like Diseases of the Grapevine: Bibliographic Report 1998–2004; CIHEAM: Bari, Italy, 2006; 279p. [Google Scholar]
- Bovey, R.; Gartel, W.; Hewitt, W.B.; Martelli, G.P.; Vuittenez, A. Virus and Virus-Like Diseases of Grapevines. Colour Atlas of Symptoms; Payot Publishing Co.: Lausanne, Switzerland, 1980; ISBN 2601000341. [Google Scholar]
- Fuchs, M.; Pinck, M.; Serghini, M.A.; Ravelonandro, M.; Walter, B.; Pinck, L. The Nucleotide Sequence of Satellite RNA in Grapevine Fanleaf Virus, Strain F13. J. Gen. Virol. 1989, 70, 955–962. [Google Scholar] [CrossRef]
- Martelli, G.P. Graft-Transmissible Diseases of Grapevines: Handbook for Detection and Diagnosis; FAO: Rome, Italy, 1993; ISBN 9251032459. [Google Scholar]
- Andret-Link, P.; Laporte, C.; Valat, L.; Ritzenthaler, C.; Demangeat, G.; Vigne, E.; Laval, V.; Pfeiffer, P.; Stussi-Garaud, C.; Fuchs, M. Grapevine Fanleaf Virus: Still a Major Threat to the Grapevine Industry. J. Plant Pathol. 2004, 86, 183–195. [Google Scholar]
- Sanfaçon, H.; Wellink, J.; Gall, O.L.; Karasev, A.; Vlugt, R.; van der Wetzel, T. Secoviridae: A Proposed Family of Plant Viruses within the Order Picornavirales That Combines the Families Sequiviridae and Comoviridae, the Unassigned Genera Cheravirus and Sadwavirus, and the Proposed Genus Torradovirus. Arch. Virol. 2009, 154, 899–907. [Google Scholar] [CrossRef] [Green Version]
- Mekuria, T.A.; Gutha, L.R.; Martin, R.R.; Naidu, R.A. Genome Diversity and Intra- and Interspecies Recombination Events in Grapevine Fanleaf Virus. Phytopathology 2009, 99, 1394–1402. [Google Scholar] [CrossRef]
- Raski, D.J.; Goheen, A.C.; Lider, L.A.; Meredith, C.P. Strategies against Grapevine Fanleaf Virus and Its Nematode Vector. Plant Dis. 1983, 67, 335–339. [Google Scholar] [CrossRef]
- Leeuwen, C.; van Friant, P.; Chone, X.; Tregoat, O.; Koundouras, S.; Dubourdieu, D. Influence of Climate, Soil, and Cultivar on Terroir. Am. J. Enol. Vitic. 2004, 55, 207–217. [Google Scholar]
- Leeuwen, C.V.; Tregoat, O.; Choné, X.; Bois, B.; Pernet, D.; Gaudillére, J.P. Vine Water Status Is a Key Factor in Grape Ripening and Vintage Quality for Red Bordeaux Wine. How Can It Be Assessed for Vineyard Management Purposes? Oeno One 2009, 43, 121–134. [Google Scholar] [CrossRef]
- Pandey, P.; Irulappan, V.; Bagavathiannan, M.V.; Senthil-Kumar, M. Impact of Combined Abiotic and Biotic Stresses on Plant Growth and Avenues for Crop Improvement by Exploiting Physio-Morphological Traits. Front. Plant Sci. 2017, 8, 537. [Google Scholar] [CrossRef] [PubMed] [Green Version]
- Chini, A.; Grant, J.J.; Seki, M.; Shinozaki, K.; Loake, G.J. Drought Tolerance Established by Enhanced Expression of the CC-NBS-LRR Gene, ADR1, Requires Salicylic Acid, EDS1 and ABI1. Plant J. 2004, 38, 810–822. [Google Scholar] [CrossRef] [PubMed]
- Timmusk, S.; Wagner, E.G.H. The Plant-Growth-Promoting Rhizobacterium Paenibacillus polymyxa Induces Changes in Arabidopsis thaliana Gene Expression: A Possible Connection between Biotic and Abiotic Stress Responses. Mol. Plant-Microbe Interact. 1999, 12, 951–959. [Google Scholar] [CrossRef] [PubMed] [Green Version]
- Xiong, L.; Yang, Y. Disease Resistance and Abiotic Stress Tolerance in Rice Are Inversely Modulated by an Abscisic Acid-Inducible Mitogen-Activated Protein Kinase. Plant Cell 2003, 15, 745–759. [Google Scholar] [CrossRef] [Green Version]
- Jones, J.D.G.; Dangl, J.L. The Plant Immune System. Nature 2006, 444, 323–329. [Google Scholar] [CrossRef] [PubMed] [Green Version]
- Dodds, P.N.; Rathjen, J.P. Plant Immunity: Towards an Integrated View of Plant-Pathogen Interactions. Nat. Rev. Genet. 2010, 11, 539–548. [Google Scholar] [CrossRef] [PubMed]
- Xu, P.; Chen, F.; Mannas, J.P.; Feldman, T.; Sumner, L.W.; Roossinck, M.J. Virus Infection Improves Drought Tolerance. New Phytol. 2008, 180, 911–921. [Google Scholar] [CrossRef]
- Nyalugwe, E.P.; Barbetti, M.J.; Clode, P.L.; Jones, R.A.C. Systemic Hypersensitive Resistance to Turnip mosaic virus in Brassica juncea Is Associated with Multiple Defense Responses, Especially Phloem Necrosis and Xylem Occlusion. Plant Dis. 2016, 100, 1261–1270. [Google Scholar] [CrossRef] [PubMed] [Green Version]
- Micco, V.D.; Balzano, A.; Čufar, K.; Aronne, G.; Gričar, J.; Merela, M.; Battipaglia, G. Timing of False Ring Formation in Pinus halepensis and Arbutus unedo in Southern Italy: Outlook from an Analysis of Xylogenesis and Tree-Ring Chronologies. Front. Plant Sci. 2016, 7, 705. [Google Scholar] [CrossRef] [Green Version]
- Murmanis, L. Formation of Tyloses in Felled Quercus rubra L. Wood Sci. Technol. 1975, 9, 3–14. [Google Scholar] [CrossRef]
- Gerry, E. Tyloses; Their Occurrence and Practical Significance in Some American Woods. J. Agric. Res. 1914, 1, 445–469. [Google Scholar]
- Klein, G. Zur Aetiologie Der Thyllen. Z. Bot. 1923, 15, 418–439. [Google Scholar]
- Brodersen, C.R.; McElrone, A.J.; Choat, B.; Matthews, M.A.; Shackel, K.A. The Dynamics of Embolism Repair in Xylem: In Vivo Visualizations Using High-Resolution Computed Tomography. Plant Physiol. 2010, 154, 1088–1095. [Google Scholar] [CrossRef] [Green Version]
- Sun, Q.; Rost, T.L.; Reid, M.S.; Matthews, M.A. Ethylene and Not Embolism Is Required for Wound-Induced Tylose Development in Stems of Grapevines. Plant Physiol. 2007, 145, 1629–1636. [Google Scholar] [CrossRef] [Green Version]
- Esau, K. Plant Anatomy, 2nd ed.; John Wiley: New York, NY, USA, 1965. [Google Scholar]
- Kitin, P.; Funada, R. Earlywood Vessels in Ring-Porous Trees Become Functional for Water Transport after Bud Burst and before the Maturation of the Current-Year Leaves. IAWA J. 2016, 37, 315–331. [Google Scholar] [CrossRef]
- Evert, R.F.; Eichhorn, S.E. Esau’s Plant Anatomy: Meristems, Cells, and Tissues of the Plant Body: Their Structure, Function, and Development, 3rd ed.; John Wiley & Sons: Hoboken, NJ, USA, 2006; 624p. [Google Scholar]
- Peleg, Z.; Blumwald, E. Hormone Balance and Abiotic Stress Tolerance in Crop Plants. Curr. Opin. Plant Biol. 2011, 14, 290–295. [Google Scholar] [CrossRef] [PubMed]
- Iuchi, S.; Kobayashi, M.; Taji, T.; Naramoto, M.; Seki, M.; Kato, T.; Tabata, S.; Kakubari, Y.; Yamaguchi-Shinozaki, K.; Shinozaki, K. Regulation of Drought Tolerance by Gene Manipulation of 9-Cis-Epoxycarotenoid Dioxygenase, a Key Enzyme in Abscisic Acid Biosynthesis in Arabidopsis. Plant J. 2001, 27, 325–333. [Google Scholar] [CrossRef] [Green Version]
- Hao, G.P.; Zhang, X.H.; Wang, Y.Q.; Wu, Y.Y.; Huang, C.L. Nucleotide Variation in the NCED 3 Region of Arabidopsis Thaliana and Its Association Study with Abscisic Acid Content under Drought Stress. J. Integr. Plant Biol. 2009, 51, 175–183. [Google Scholar] [CrossRef] [PubMed]
- Su, Z.; Li, X.; Hao, Z.; Xie, C.; Li, M.; Weng, J.; Zhang, D.; Liang, X.; Wang, Z.; Gao, J.; et al. Association Analysis of the nced and rab28 Genes with Phenotypic Traits under Water Stress in Maize. Plant Mol. Biol. Rep. 2011, 29, 714–722. [Google Scholar] [CrossRef]
- Wasilewska, A.; Vlad, F.; Sirichandra, C.; Redko, Y.; Jammes, F.; Valon, C.; Frey, N.F.D.; Leung, J. An Update on Abscisic Acid Signaling in Plants and More. Mol. Plant 2008, 1, 198–217. [Google Scholar] [CrossRef] [PubMed] [Green Version]
- Reguera, M.; Peleg, Z.; Blumwald, E. Targeting Metabolic Pathways for Genetic Engineering Abiotic Stress-Tolerance in Crops. Biochim. Biophys. Acta 2012, 1819, 186–194. [Google Scholar] [CrossRef]
- Shinozaki, K.; Yamaguchi-Shinozaki, K. Gene Networks Involved in Drought Stress Response and Tolerance. J. Exp. Bot. 2007, 58, 221–227. [Google Scholar] [CrossRef] [Green Version]
- Roy, S.J.; Tucker, E.J.; Tester, M. Genetic Analysis of Abiotic Stress Tolerance in Crops. Curr. Opin. Plant Biol. 2011, 14, 232–239. [Google Scholar] [CrossRef]
- Rupnik-Cigoj, M.; Jež-Krebelj, A.; Castellarin, S.D.; Trošt, K.; Sivilotti, P.; Pompe-Novak, M. Grapevine Fanleaf Virus Affects Grape (Vitis vinifera) Berry Anthocyanin Content via the Transcriptional Regulation of Anthocyanin Biosynthetic Genes. Funct. Plant Biol. 2018, 45, 771–782. [Google Scholar] [CrossRef] [PubMed]
- Pantaleo, V.; Vitali, M.; Boccacci, P.; Miozzi, L.; Cuozzo, D.; Chitarra, W.; Mannini, F.; Lovisolo, C.; Gambino, G. Novel Functional MicroRNAs from Virus-Free and Infected Vitis vinifera Plants under Water Stress. Sci. Rep. 2016, 6, 20167. [Google Scholar] [CrossRef]
- Karasov, T.L.; Chae, E.; Herman, J.J.; Bergelson, J. Mechanisms to Mitigate the Trade-Off between Growth and Defense. Plant Cell 2017, 29, 666–680. [Google Scholar] [CrossRef] [Green Version]
- Perrone, I.; Chitarra, W.; Boccacci, P.; Gambino, G. Grapevine–Virus–Environment Interactions: An Intriguing Puzzle to Solve. New Phytol. 2017, 213, 983–987. [Google Scholar] [CrossRef] [Green Version]
- Chitarra, W.; Cuozzo, D.; Ferrandino, A.; Secchi, F.; Palmano, S.; Perrone, I.; Boccacci, P.; Pagliarani, C.; Gribaudo, I.; Mannini, F.; et al. Dissecting Interplays between Vitis vinifera L. and Grapevine Virus B (GVB) under Field Conditions. Mol. Plant Pathol. 2018, 19, 2651–2666. [Google Scholar] [CrossRef] [PubMed] [Green Version]
- Aguilar, E.; Toro, F.J.D.; Figueira-Galán, D.; Hou, W.; Canto, T.; Tenllado, F. Virus Infection Induces Resistance to Pseudomonas syringae and to Drought in both Compatible and Incompatible Bacteria- Host Interactions, Which Are Compromised under Conditions of Elevated Temperature and CO2 Levels. J. Gen. Virol. 2020, 101, 122–135. [Google Scholar] [CrossRef] [PubMed]
- Gilardi, G.; Chitarra, W.; Moine, A.; Mezzalama, M.; Boccacci, P.; Pugliese, M.; Gullino, M.L.; Gambino, G. Biological and Molecular Interplay between Two Viruses and Powdery and Downy Mildews in Two Grapevine Cultivars. Hortic. Res. 2020, 7, 188. [Google Scholar] [CrossRef]
- Tobar, M.; Fiore, N.; Pérez-Donoso, A.G.; León, R.; Rosales, I.M.; Gambardella, M. Divergent Molecular and Growth Responses of Young “Cabernet Sauvignon” (Vitis vinifera) Plants to Simple and Mixed Infections with Grapevine Rupestris Stem Pitting-Associated Virus. Hortic. Res. 2020, 7, 2. [Google Scholar] [CrossRef] [Green Version]
- Mukherjee, S.; Mishra, A.; Trenberth, K.E. Climate Change and Drought: A Perspective on Drought Indices. Curr. Clim. Chang. Rep. 2018, 4, 145–163. [Google Scholar] [CrossRef]
- Garrett, K.A.; Dendy, S.P.; Frank, E.E.; Rouse, M.N.; Travers, S.E. Climate Change Effects on Plant Disease: Genomes to Ecosystems. Annu. Rev. Phytopathol. 2006, 44, 489–509. [Google Scholar] [CrossRef] [Green Version]
- Aou-ouad, H.E.; Pou, A.; Tomás, M.; Montero, R.; Ribas-Carbo, M.; Medrano, H.; Bota, J. Combined Effect of Virus Infection and Water Stress on Water Flow and Water Economy in Grapevines. Physiol. Plant. 2017, 160, 171–184. [Google Scholar] [CrossRef]
- Choné, X.; Leeuwen, C.; Dubourdieu, D.; Gaudillère, J.P. Stem Water Potential Is a Sensitive Indicator of Grapevine Water Status. Ann. Bot. 2001, 87, 477–483. [Google Scholar] [CrossRef] [Green Version]
- Acevedo-Opazo, C.; Ortega-Farias, S.; Fuentes, S. Effects of Grapevine (Vitis vinifera L.) Water Status on Water Consumption, Vegetative Growth and Grape Quality: An Irrigation Scheduling Application to Achieve Regulated Deficit Irrigation. Agric. Water Manag. 2010, 97, 956–964. [Google Scholar] [CrossRef]
- Schultz, H.R.; Matthews, M.A. Resistance to Water Transport in Shoots of Vitis vinifera L.: Relation to Growth at Low Water Potential. Plant Physiol. 1988, 88, 718–724. [Google Scholar] [CrossRef] [Green Version]
- Lovisolo, C.; Schubert, A. Effects of Water Stress on Vessel Size and Xylem Hydraulic Conductivity in Vitis vinifera L. J. Exp. Bot. 1998, 49, 693–700. [Google Scholar] [CrossRef] [Green Version]
- Tyree, M.T.; Zimmermann, M.H. Xylem Structure and the Ascent of Sap; Springer: Heidelberg/Berlin, Germany, 2002; Volume 12. [Google Scholar] [CrossRef]
- Sun, Q.; Rost, T.L.; Matthews, M.A. Wound-Induced Vascular Occlusions in Vitis vinifera (Vitaceae): Tyloses in Summer and Gels in Winter. Am. J. Bot. 2008, 95, 1498–1505. [Google Scholar] [CrossRef] [Green Version]
- Rio, J.A.D.; Gonzalez, A.; Fuster, M.D.; Botia, J.M.; Gomez, P.; Frias, V.; Ortuño, A. Tylose Formation and Changes in Phenolic Compounds of Grape Roots Infected with Phaeomoniella chlamydospora and Phaeoacremonium Species. Phytopathol. Mediterr. 2001, 40, 394–399. [Google Scholar] [CrossRef]
- Pearce, R.B. Antimicrobial Defences in the Wood of Living Trees. New Phytol. 1996, 132, 203–233. [Google Scholar] [CrossRef]
- Wheeler, E.; Baas, P.; Rodgers, S. Variations In Dieot Wood Anatomy: A Global Analysis Based on the Insidewood Database. IAWA J. 2007, 28, 229–258. [Google Scholar] [CrossRef]
- Pouzoulet, J.; Scudiero, E.; Schiavon, M.; Santiago, L.S.; Rolshausen, P.E. Modeling of Xylem Vessel Occlusion in Grapevine. Tree Physiol. 2019, 39, 1438–1445. [Google Scholar] [CrossRef] [PubMed]
- Loveys, B.R. Abscisic Acid Transport and Metabolism in Grapevine (Vitis vinifera L.). New Phytol. 1984, 98, 575–582. [Google Scholar] [CrossRef]
- Rodrigues, M.L.; Santos, T.P.; Rodrigues, A.P.; Souza, C.R.D.; Lopes, C.M.; Maroco, J.P.; Pereira, J.S.; Chaves, M.M. Hydraulic and Chemical Signalling in the Regulation of Stomatal Conductance and Plant Water Use in Field Grapevines Growing under Deficit Irrigation. Funct. Plant Biol. 2008, 35, 565–579. [Google Scholar] [CrossRef]
- Salleo, S.; Gullo, M.A.L. Different Aspects of Cavitation Resistance in Ceratonia siliqua, a Drought-Avoiding Mediterranean Tree. Ann. Bot. 1989, 64, 325–336. [Google Scholar] [CrossRef]
- Vandeleur, R.K.; Mayo, G.; Shelden, M.C.; Gilliham, M.; Kaiser, B.N.; Tyerman, S.D. The Role of Plasma Membrane Intrinsic Protein Aquaporins in Water Transport through Roots: Diurnal and Drought Stress Responses Reveal Different Strategies between Isohydric and Anisohydric Cultivars of Grapevine. Plant Physiol. 2009, 149, 445–460. [Google Scholar] [CrossRef] [Green Version]
- Correia, M.J.; Pereira, J.S.; Chaves, M.M.; Rodrigues, M.L.; Pacheco, C.A. ABA Xylem Concentrations Determine Maximum Daily Leaf Conductance of Field-Grown Vitis vinifera L. Plants. Plant Cell Environ. 1995, 18, 511–521. [Google Scholar] [CrossRef]
- Wan, J.; Griffiths, R.; Ying, J.; McCourt, P.; Huang, Y. Development of Drought-Tolerant Canola (Brassica napus L.) through Genetic Modulation of ABA-Mediated Stomatal Responses. Crop Sci. 2009, 49, 1539. [Google Scholar] [CrossRef]
- Qin, X.; Zeevaart, J.A.D. Overexpression of a 9-Cis-Epoxycarotenoid Dioxygenase Gene in Nicotiana plumbaginifolia Increases Abscisic Acid and Phaseic Acid Levels and Enhances Drought Tolerance. Plant Physiol. 2002, 128, 544–551. [Google Scholar] [CrossRef]
- Soar, C.J.; Speirs, J.; Maffei, S.M.; Penrose, A.B.; McCarthy, M.G.; Loveys, B.R. Grape Vine Varieties Shiraz and Grenache Differ in Their Stomatal Response to VPD: Apparent Links with ABA Physiology and Gene Expression in Leaf Tissue. Aust. J. Grape Wine Res. 2006, 12, 2–12. [Google Scholar] [CrossRef]
- Lavrenčič, P.; Peterlunger, E.; Sivilotti, P. Water Stress and Root Hydraulic Conductivity in Grapevine Grafted on Different Rootstocks. Acta Hortic. 2007, 754, 283–288. [Google Scholar] [CrossRef]
- Soar, C.J.; Speirs, J.; Maffei, S.M.; Loveys, B.R. Gradients in Stomatal Conductance, Xylem Sap ABA and Bulk Leaf ABA along Canes of Vitis vinifera Cv. Shiraz: Molecular and Physiological Studies Investigating Their Source. Funct. Plant Biol. 2004, 31, 659. [Google Scholar] [CrossRef] [PubMed]
- Hausmann, L.; Koglmeier, W.; During, H.; Salakhutdinov, I.; Zyprian, E.; Korn, B.; Velasco, R.; Topfer, R. High-Density DNA Arrays for Grapevine Research. Acta Hortic. 2003, 603, 135–138. [Google Scholar] [CrossRef]
- Hren, M.; Nikolić, P.; Rotter, A.; Blejec, A.; Terrier, N.; Ravnikar, M.; Dermastia, M.; Gruden, K. “Bois Noir” Phytoplasma Induces Significant Reprogramming of the Leaf Transcriptome in the Field Grown Grapevine. BMC Genom. 2009, 10, 460. [Google Scholar] [CrossRef] [Green Version]
- Weller, S.A.; Elphinstone, J.G.; Smith, N.C.; Boonham, N.; Stead, D.E. Detection of Ralstonia solanacearum Strains with a Quantitative, Multiplex, Real-Time, Fluorogenic PCR (TaqMan) Assay. Appl. Environ. Microbiol. 2000, 66, 2853–2858. [Google Scholar] [CrossRef] [PubMed] [Green Version]
- Castellarin, S.D.; Gaspero, G.D. Transcriptional Control of Anthocyanin Biosynthetic Genes in Extreme Phenotypes for Berry Pigmentation of Naturally Occurring Grapevines. BMC Plant Biol. 2007, 7, 46. [Google Scholar] [CrossRef] [Green Version]
- Pfaffl, M.W. A New Mathematical Model for Relative Quantification in Real-Time RT-PCR. Nucleic Acids Res. 2001, 29, e45. [Google Scholar] [CrossRef]
- Vandesompele, J.; Preter, K.D.; Pattyn, F.; Poppe, B.; Roy, N.V.; Paepe, A.D.; Speleman, F. Accurate Normalization of Real-Time Quantitative RT-PCR Data by Geometric Averaging of Multiple Internal Control Genes. Genome Biol. 2002, 3, 0034.01–0034.12. [Google Scholar] [CrossRef] [PubMed] [Green Version]
- R Core Team. R: A Language and Environment for Statistical Computing. Available online: http://www.R-project.org (accessed on 13 November 2021).






Publisher’s Note: MDPI stays neutral with regard to jurisdictional claims in published maps and institutional affiliations. |
© 2022 by the authors. Licensee MDPI, Basel, Switzerland. This article is an open access article distributed under the terms and conditions of the Creative Commons Attribution (CC BY) license (https://creativecommons.org/licenses/by/4.0/).
Share and Cite
Jež-Krebelj, A.; Rupnik-Cigoj, M.; Stele, M.; Chersicola, M.; Pompe-Novak, M.; Sivilotti, P. The Physiological Impact of GFLV Virus Infection on Grapevine Water Status: First Observations. Plants 2022, 11, 161. https://doi.org/10.3390/plants11020161
Jež-Krebelj A, Rupnik-Cigoj M, Stele M, Chersicola M, Pompe-Novak M, Sivilotti P. The Physiological Impact of GFLV Virus Infection on Grapevine Water Status: First Observations. Plants. 2022; 11(2):161. https://doi.org/10.3390/plants11020161
Chicago/Turabian StyleJež-Krebelj, Anastazija, Maja Rupnik-Cigoj, Marija Stele, Marko Chersicola, Maruša Pompe-Novak, and Paolo Sivilotti. 2022. "The Physiological Impact of GFLV Virus Infection on Grapevine Water Status: First Observations" Plants 11, no. 2: 161. https://doi.org/10.3390/plants11020161
APA StyleJež-Krebelj, A., Rupnik-Cigoj, M., Stele, M., Chersicola, M., Pompe-Novak, M., & Sivilotti, P. (2022). The Physiological Impact of GFLV Virus Infection on Grapevine Water Status: First Observations. Plants, 11(2), 161. https://doi.org/10.3390/plants11020161

