Comparative Analysis of Tolerance to Salt Stress and Water Deficit in Two Invasive Weeds of the Genus Erigeron (Asteraceae)
Abstract
:1. Introduction
2. Results
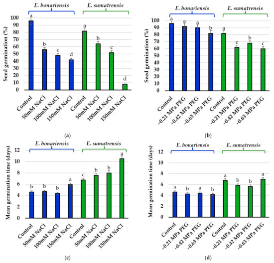
2.1. Effects of NaCl and PEG on Seed Germination
2.2. Effects of Salinity and Water Stress on Plant Growth
2.3. Effect of Stress Treatments on Ion Homeostasis
2.4. Effect of Stress on Biochemical Parameters
2.5. Regression and Correlation Analyses
2.6. Multivariate Analysis of Data
3. Discussion
4. Materials and Methods
4.1. Seed Collection
4.2. Seed Germination
4.3. Plant Growth and Stress Treatments
4.4. Ion Quantification
4.5. Photosynthetic Pigments
4.6. Proline Quantification
4.7. MDA, Phenolics and Flavonoids Determination
4.8. Statistical Analysis
5. Conclusions
Author Contributions
Funding
Data Availability Statement
Conflicts of Interest
References
- Kaur, G.; Asthir, B. Molecular responses to drought stress in plants. Biol. Plant. 2017, 61, 201–209. [Google Scholar] [CrossRef]
- FAO. Management of Salt Affected Soils: ’Soil Management’ under ’Fao Soils Portal’; Food and Agriculture Organization’ of the ’United Nations’: Rome, Italy, 2020. [Google Scholar]
- Singh, A. Soil salinization management for sustainable development: A review. J. Environ. Manag. 2021, 277, 111383. [Google Scholar] [CrossRef] [PubMed]
- Cattivelli, L.; Rizza, F.; Badeck, F.-W.; Mazzucotelli, E.; Mastrangelo, A.M.; Francia, E.; Marè, C.; Tondelli, A.; Stanca, A.M. Drought tolerance improvement in crop plants: An integrated view from breeding to genomics. Field Crops Res. 2008, 105, 1–14. [Google Scholar] [CrossRef]
- Shahbaz, M.; Ashraf, M.; Al-Qurainy, F.; Harris, P.J.C. Salt Tolerance in Selected Vegetable Crops. Crit. Rev. Plant Sci. 2012, 31, 303–320. [Google Scholar] [CrossRef]
- Kotula, L.; Garcia Caparros, P.; Zörb, C.; Colmer, T.D.; Flowers, T.J. Improving crop salt tolerance using transgenic approaches: An update and physiological analysis. Plant Cell Environ. 2020, 43, 2932–2956. [Google Scholar] [CrossRef]
- Rosero, A.; Granda, L.; Berdugo-Cely, J.A.; Šamajová, O.; Šamaj, J.; Cerkal, R. A dual strategy of breeding for drought tolerance and introducing drought-tolerant, underutilized crops into production systems to enhance their resilience to water deficiency. Plants 2020, 9, 1263. [Google Scholar] [CrossRef]
- Plazas, M.; González-Orenga, S.; Nguyen, H.T.; Morar, I.M.; Fita, A.; Boscaiu, M.; Prohens, J.; Vicente, O. Growth and antioxidant responses triggered by water stress in wild relatives of eggplant. Sci. Hortic. 2022, 293, 110685. [Google Scholar] [CrossRef]
- Pintó-Marijuan, M.; Munné-Bosch, S. Ecophysiology of invasive plants: Osmotic adjustment and antioxidants. Trends Plant Sci. 2013, 18, 660–666. [Google Scholar] [CrossRef]
- Onen, H.; Farooq, S.; Gunal, H.; Ozaslan, C.; Erdem, H. Higher tolerance to abiotic stresses and soil types may accelerate common ragweed (Ambrosia artemisiifolia) invasion. Weed Sci. 2017, 65, 115–127. [Google Scholar] [CrossRef] [Green Version]
- Tanveer, M.; Shah, A.N. An insight into salt stress tolerance mechanisms of Chenopodium album. Environ. Sci. Pollut. Res. 2017, 24, 16531–16535. [Google Scholar] [CrossRef]
- Yuan, X.; Wen, B. Seed germination response to high temperature and water stress in three invasive Asteraceae weeds from Xishuangbanna, SW China. PLoS ONE 2018, 13, e0191710. [Google Scholar] [CrossRef] [Green Version]
- Campoy, J.G.; Lema, M.; Fenollosa, E.; Munné-Bosch, S.; Retuerto, R. Functional responses to climate change may increase invasive potential of Carpobrotus edulis. Am. J. Bot. 2021, 108, 1902–1916. [Google Scholar] [CrossRef] [PubMed]
- Bellache, M.; Allal Benfekih, L.; Torres-Pagan, N.; Mir, R.; Verdeguer, M.; Vicente, O.; Boscaiu, M. Effects of four-week exposure to salt treatments on germination and growth of two Amaranthus species. Soil Syst. 2022, 6, 57. [Google Scholar] [CrossRef]
- Bellache, M.; Moltó, N.; Benfekih, L.A.; Torres-Pagan, N.; Mir, R.; Verdeguer, M.; Boscaiu, M.; Vicente, O. Physiological and biochemical responses to water stress and salinity of the invasive moth plant, Araujia sericifera Brot., during seed germination and vegetative growth. Agronomy 2022, 12, 361. [Google Scholar] [CrossRef]
- Thébaud, C.; Abbott, R.J. Characterization of invasive Conyza species (Asteraceae) in Europe: Quantitative trait and isozyme analysis. Am. J. Bot. 1995, 82, 360–368. [Google Scholar] [CrossRef]
- Galkina, M.A.; Vinogradova, Y.K. Invasive Species of Erigeron sect. Conyza in the Mediterranean and Their Hybridogenic Activity. Biol. Bull. Russ. Acad. Sci. 2020, 47, 40–48. [Google Scholar] [CrossRef]
- Vinogradova, Y.K.; Maiorov, S.R.; Khorun, L.V. Chernaya Kniga Flory Srednei Rossii [Black Book of Flora of Middle Russia]; Geos: Moscow, Russia, 2009; p. 494. [Google Scholar]
- Michael, P.W. Some weedy species of Amaranthus (amaranths) and Conyza/Erigeron (fleabanes) naturalised in the Asian-Pacific region. In Proceedings of the 6th Asian-Pacific Weed Science Society Conference, Jakarta, Indonesia, 11–17 July 1977; pp. 87–95. [Google Scholar]
- CABI. Conyza bonariensis (hairy fleabane). In Invasive Species Compendium; CABI: Wallingford, UK, 2022. [Google Scholar]
- Negrean, G.; Ciortan, I. Conyza bonariensis, a new plant with invasive character in Romanian flora. Ann. Univ. Craiova 2012, 17, 743–748. [Google Scholar]
- Wu, H. The biology of Australian weeds Conyza bonariensis (L.) Cronquist. Plant Prot. Q. 2007, 22, 122–131. [Google Scholar]
- Qureshi, R.; Raana, S. Conyza sumatrensis (Retz.) E. H. Walker: A new record from Pakistan. Plant Biol. 2014, 148, 1035–1039. [Google Scholar] [CrossRef]
- Wurzell, B. Conyza sumatrensis (Retz.) E. Walker established in England. Watsonia 1988, 17, 145–148. [Google Scholar]
- Case, C.M.; Crawley, M.J. Effect of Interspecific Competition and Herbivory on the Recruitment of an Invasive Alien Plant: Conyza sumatrensis. Biol. Invasions 2000, 2, 103–110. [Google Scholar] [CrossRef]
- Thebaud, C.; Finzi, A.C.; Affre, L.; Debussche, M.; Escarre, J. Assessing Why Two Introduced Conyza Differ in Their Ability to Invade Mediterranean Old Fields. Ecology 1996, 77, 791–804. [Google Scholar] [CrossRef]
- Wu, H.; Walker, S.; Robinson, G.; Coombes, N. Control of flaxleaf fleabane (Conyza bonariensis) in wheat and sorghum. Weed Technol. 2010, 24, 102–107. [Google Scholar] [CrossRef]
- Bajwa, A.A.; Sadia, S.; Ali, H.H.; Jabran, K.; Peerzada, A.M.; Chauhan, B.S. Biology and management of two important Conyza weeds: A global review. Environ. Sci. Pollut. Res. 2016, 23, 24694–24710. [Google Scholar] [CrossRef] [PubMed]
- Xu, Y.; Ye, J.; Khalofah, A.; Zuan, A.T.K.; Ullah, R.; El-Shehawi, A.M. Seed germination ecology of Conyza sumatrensis populations stemming from different habitats and implications for management. PLoS ONE 2021, 16, e0260674. [Google Scholar] [CrossRef]
- Trezzi, M.M.; Vidal, R.A.; Patel, F.; Miotto Jr, E.; Debastiani, F.; Balbinot Jr, A.A.; Mosquen, R. Impact of Conyza bonariensis density and establishment period on soyabean grain yield, yield components and economic threshold. Weed Res. 2015, 55, 34–41. [Google Scholar] [CrossRef]
- Heap, I. The International Herbicide-Resistant Weed Database. Available online: https://www.weedscience.org (accessed on 18 July 2022).
- Hao, J.H.; Qiang, S.; Liu, Q.Q.; Cao, F. Reproductive traits associated with invasiveness in Conyza sumatrensis. J. Syst. Evol. 2009, 47, 245–254. [Google Scholar] [CrossRef]
- Ren, M.-X.; Li, X.-Q.; Ding, J.-Q. Genetic variation and spread pattern of invasive Conyza sumatrensis around China’s Three Gorges Dam. Acta Oecol. 2010, 36, 599–603. [Google Scholar] [CrossRef]
- Ferreira, P.J.; Zonetti, P.d.C.; Albrecht, A.J.P.; Rosset, I.G.; Silva, A.F.M.; Albrecht, L.P.; Vieira, A.H.; Paulert, R. Conyza sumatrensis allelopathy effect on Bidens pilosa (Asteraceae) seed germination. Bot. Sci. 2020, 98, 348–354. [Google Scholar] [CrossRef]
- Dinelli, G.; Marotti, I.; Bonetti, A.; Catizone, P.; Urbano, J.M.; Barnes, J. Physiological and molecular bases of glyphosate resistance in Conyza bonariensis biotypes from Spain. Weed Res. 2008, 48, 257–265. [Google Scholar] [CrossRef]
- Kleinman, Z.; Rubin, B. Non-target-site glyphosate resistance in Conyza bonariensis is based on modified subcellular distribution of the herbicide. Pest Manag. Sci. 2017, 73, 246–253. [Google Scholar] [CrossRef] [PubMed]
- Palma-Bautista, C.; Tataridas, A.; Kanatas, P.; Travlos, I.S.; Bastida, F.; Domínguez-Valenzuela, J.A.; De Prado, R. Can Control of Glyphosate Susceptible and Resistant Conyza sumatrensis Populations Be Dependent on the Herbicide Formulation or Adjuvants? Agronomy 2020, 10, 1599. [Google Scholar] [CrossRef]
- Leal, J.F.L.; Souza, A.d.S.; Borella, J.; Araujo, A.L.S.; Langaro, A.C.; Chapeta, A.C.; Amorim, E.S.; Silva, G.S.; Morran, S.; Zobiole, L.H.S.; et al. Sumatran fleabane (Conyza sumatrensis) resistant to PSI-inhibiting herbicides and physiological responses to paraquat. Weed Sci. 2022, 70, 46–54. [Google Scholar] [CrossRef]
- Valencia-Gredilla, F.; Supiciche, M.L.; Chantre, G.R.; Recasens, J.; Royo-Esnal, A. Germination behaviour of Conyza bonariensis to constant and alternating temperatures across different populations. Ann. Appl. Biol. 2020, 176, 36–46. [Google Scholar] [CrossRef]
- Mahajan, G.; Prasad, A.; Chauhan, B.S. Seed Germination Ecology of Sumatran Fleabane (Conyza sumatrensis) in Relations to Various Environmental Parameters. Weed Sci. 2021, 69, 687–694. [Google Scholar] [CrossRef]
- Donohue, K.; Casas, R.R.d.; Burghardt, L.; Kovach, K.; Willis, C.G. Germination, Postgermination Adaptation, and Species Ecological Ranges. Annu. Rev. Ecol. Evol. Syst. 2010, 41, 293–319. [Google Scholar] [CrossRef]
- Gioria, M.; Pyšek, P. Early bird catches the worm: Germination as a critical step in plant invasion. Biol. Invasions 2017, 19, 1055–1080. [Google Scholar] [CrossRef] [Green Version]
- Grime, J.P.; Hodgson, J.G.; Hunt, R. Comparative Plant Ecology: A Functional Approach to common British Species, 2nd ed.; Castlepoint Press: London, UK, 2007. [Google Scholar]
- Moravcová, L.; Pyšek, P.; Jarošík, V.; Havlíčková, V.; Zákravský, P. Reproductive characteristics of neophytes in the Czech 803 Republic: Traits of invasive and non-invasive species. Preslia 2010, 82, 365–390. [Google Scholar]
- Moravcová, L.; Pyšek, P.; Jarošík, V.; Pergl, J. Getting the Right Traits: Reproductive and Dispersal Characteristics Predict the Invasiveness of Herbaceous Plant Species. PLoS ONE 2015, 10, e0123634. [Google Scholar] [CrossRef] [Green Version]
- Rejmánek, M. What makes a species invasive? In Plant Invasions; Pysek, P.P.K., Rejmánek, M., Wade, P.M., Eds.; SPB Academic Publishing: Amsterdam, The Netherlands, 1995; pp. 3–13. [Google Scholar]
- Ye, J.; Wen, B. Seed germination in relation to the invasiveness in spiny amaranth and edible amaranth in Xishuangbanna, SW China. PLoS ONE 2017, 12, e0175948. [Google Scholar] [CrossRef]
- Wainwright, C.E.; Cleland, E.E. Exotic species display greater germination plasticity and higher germination rates than native species across multiple cues. Biol. Invasions 2013, 15, 2253–2264. [Google Scholar] [CrossRef]
- Guido, A.; Hoss, D.; Pillar, V.D. Exploring seed to seed effects for understanding invasive species success. Perspect. Ecol. Cons. 2017, 15, 234–238. [Google Scholar] [CrossRef]
- Xu, X.; Wolfe, L.; Diez, J.; Zheng, Y.; Guo, H.; Hu, S. Differential germination strategies of native and introduced populations of the invasive species Plantago virginica. NeoBiota 2019, 43, 101–118. [Google Scholar] [CrossRef]
- Skálová, H.; Moravcová, L.; Čuda, J.; Pyšek, P. Seed-bank dynamics of native and invasive Impatiens species during a five-year field experiment under various environmental conditions. NeoBiota 2019, 50, 75–95. [Google Scholar] [CrossRef]
- Coutts, S.R.; van Klinken, R.D.; Yokomizo, H.; Buckley, Y.M. What are the key drivers of spread in invasive plants: Dispersal, demography or landscape: And how can we use this knowledge to aid management? Biol. Invasions 2011, 13, 1649–1661. [Google Scholar] [CrossRef]
- Bellache, M.; Torres-Pagan, N.; Verdeguer, M.; Benfekih, L.A.; Vicente, O.; Sestras, R.E.; Sestras, A.F.; Boscaiu, M. Essential oils of three aromatic plant species as natural herbicides for environmentally friendly agriculture. Sustainability 2022, 14, 3596. [Google Scholar] [CrossRef]
- Tataridas, A.; Jabran, K.; Kanatas, P.; Oliveira, R.S.; Freitas, H.; Travlos, I. Early detection, herbicide resistance screening, and integrated management of invasive plant species: A review. Pest Manag. Sci. 2022. [Google Scholar] [CrossRef] [PubMed]
- Green, T.D.; Sindel, B.M.; Charles, G.; Werth, J. A review of the ecology of fleabane (Conyza spp.). In Proceedings of the 16th Australian Weeds Conference, Cairns Convention Centre, Cairns, North Queensland, Australia, 18–22 May 2008; pp. 171–173. [Google Scholar]
- Kempen, H.; Graf, J. Weed seed production. In Proceedings of the Western Society of Weed Science, San Diego, CA, USA, 17–19 March 1981; pp. 78–81. [Google Scholar]
- Savage, D.; Borger, C.P.; Renton, M. Orientation and speed of wind gusts causing abscission of wind-dispersed seeds influences dispersal distance. Funct. Ecol. 2014, 28, 973–981. [Google Scholar] [CrossRef]
- Vicente, O.; Boscaiu, M.; Naranjo, M.Á.; Estrelles, E.; Bellés, J.M.; Soriano, P. Responses to salt stress in the halophyte Plantago crassifolia (Plantaginaceae). J. Arid Environ. 2004, 58, 463–481. [Google Scholar] [CrossRef]
- Gul, B.; Ansari, R.; Flowers, T.J.; Khan, M.A. Germination strategies of halophyte seeds under salinity. Environ. Exp. Bot. 2013, 92, 4–18. [Google Scholar] [CrossRef]
- Uçarlı, C. Effects of salinity on seed germination and early seedling stage. In Abiotic Stress in Plants; IntechOpen: London, UK, 2020; p. 211. [Google Scholar]
- Loura, D.; Sahil; Florentine, S.; Chauhan, B.S. Germination ecology of hairy fleabane (Conyza bonariensis) and its implications for weed management. Weed Sci. 2020, 68, 411–417. [Google Scholar] [CrossRef]
- Nandula, V.K.; Eubank, T.W.; Poston, D.H.; Koger, C.H.; Reddy, K.N. Factors affecting germination of horseweed (Conyza canadensis). Weed Sci. 2006, 54, 898–902. [Google Scholar] [CrossRef]
- Gillard, M.B.; Castillo, J.M.; Mesgaran, M.B.; Futrell, C.J.; Grewell, B.J. High aqueous salinity does not preclude germination of invasive Iris pseudacorus from estuarine populations. Ecosphere 2021, 12, e03486. [Google Scholar] [CrossRef]
- Paudel, S.; Battaglia, L.L. Germination Responses of the Invasive Triadica sebifera and Two Co-occurring Native Woody Species to Elevated Salinity Across a Gulf Coast Transition Ecosystem. Wetlands 2013, 33, 527–535. [Google Scholar] [CrossRef]
- Borsai, O.; Al Hassan, M.; Boscaiu, M.; Sestras, R.E.; Vicente, O. Effects of salt and drought stress on seed germination and seedling growth in Portulaca. Rom. Biotech. Lett. 2018, 23, 13340–13349. [Google Scholar]
- Koskosidis, A.; Khah, E.; Mavromatis, A.; Pavli, O.; Vlachostergios, D.N. Effect of PEG-induced drought stress on germination of ten chickpea (Cicer arietinum L.) genotypes. Not. Bot. Horti Agrobot. Cluj-Napoca 2020, 48, 294–304. [Google Scholar] [CrossRef] [Green Version]
- Kintl, A.; Huňady, I.; Vymyslický, T.; Ondrisková, V.; Hammerschmiedt, T.; Brtnický, M.; Elbl, J. Effect of Seed Coating and PEG-Induced Drought on the Germination Capacity of Five Clover Crops. Plants 2021, 10, 724. [Google Scholar] [CrossRef]
- Mahpara, S.; Zainab, A.; Ullah, R.; Kausar, S.; Bilal, M.; Latif, M.I.; Arif, M.; Akhtar, I.; Al-Hashimi, A.; Elshikh, M.S.; et al. The impact of PEG-induced drought stress on seed germination and seedling growth of different bread wheat (Triticum aestivum L.) genotypes. PLoS ONE 2022, 17, e0262937. [Google Scholar] [CrossRef]
- Yao, S.; Lan, H.; Zhang, F. Variation of seed heteromorphism in Chenopodium album and the effect of salinity stress on the descendants. Ann. Bot. 2010, 105, 1015–1025. [Google Scholar] [CrossRef]
- Zhang, Z.X.; Tian, X.; Sun, L. Germination behaviour of Cenchrus pauciflorus seeds across a range of salinities. Weed Res. 2017, 57, 91–100. [Google Scholar] [CrossRef]
- Sharma, G.; Barney, J.; Westwood, J.; Haak, D. Into the weeds: New insights in plant stress. Trends Plant Sci. 2021, 26, 1050–1060. [Google Scholar] [CrossRef] [PubMed]
- Lambers, H.; Poorter, H. Inherent Variation in Growth Rate Between Higher Plants: A Search for Physiological Causes and Ecological Consequences. In Advances in Ecological Research; Begon, M., Fitter, A.H., Eds.; Academic Press: Cambridge, MA, USA, 1992; Volume 23, pp. 187–261. [Google Scholar]
- Flowers, T.; Hajibagheri, M.; Clipson, N. Halophytes. Q. Rev. Biol. 1986, 61, 313–335. [Google Scholar] [CrossRef]
- Flowers, T.; Colmer, T. Salinity tolerance in halophytes. New Phytol. 2008, 17, 945–963. [Google Scholar] [CrossRef] [PubMed]
- Marschner, P. Marschner’s Mineral Nutrition of Higher Plants, 3rd ed.; Academic Press: London, UK, 2012. [Google Scholar]
- Maathuis, F.J.M. Sodium in plants: Perception, signalling, and regulation of sodium fluxes. J. Exp. Bot. 2013, 65, 849–858. [Google Scholar] [CrossRef] [PubMed]
- Isayenkov, S.; Maathuis, F. Plant Salinity Stress: Many Unanswered Questions Remain. Front. Plant Sci. 2019. [Google Scholar] [CrossRef] [PubMed] [Green Version]
- Ashraf, M. Some important physiological selection criteria for salt tolerance in plants. Flora 2004, 199, 361–376. [Google Scholar] [CrossRef]
- Flexas, J.; Medrano, H. Drought-inhibition of Photosynthesis in C3 Plants: Stomatal and Non-stomatal Limitations Revisited. Ann. Bot. 2002, 89, 183–189. [Google Scholar] [CrossRef] [Green Version]
- Munné-Bosch, S.; Alegre, L. Die and let live: Leaf senescence contributes to plant survival under drought stress. Funct. Plant Biol. 2004, 31, 203–216. [Google Scholar] [CrossRef]
- Dubey, S.; Bhargava, A.; Fuentes, F.; Shukla, S.; Srivastava, S. Effect of salinity stress on yield and quality parameters in flax (Linum usitatissimum L.). Not. Bot. Horti Agrobot. Cluj-Napoca 2020, 48, 954–966. [Google Scholar] [CrossRef]
- Schiop, S.T.; Al Hassan, M.; Sestras, A.F.; Boscaiu, M.; Sestras, R.E.; Vicente, O. Identification of Salt Stress Biomarkers in Romanian Carpathian Populations of Picea abies (L.) Karst. PLoS ONE 2015, 10, e0135419. [Google Scholar] [CrossRef] [Green Version]
- Reis, L.C.; Scalon, S.P.Q.; Dresch, D.; Foresti, A.C.; Santos, C.C.; Pereira, Z.V. Chlorophyll a fluorescence as an indicator of water stress in Calophyllum brasiliense. Not. Bot. Horti Agrobot. Cluj-Napoca 2020, 48, 210–220. [Google Scholar] [CrossRef] [Green Version]
- Singh, M.; Kumar, J.; Singh, S.; Singh, V.P.; Prasad, S.M. Roles of osmoprotectants in improving salinity and drought tolerance in plants: A review. Rev. Environ. Sci. Biotechnol. 2015, 14, 407–426. [Google Scholar] [CrossRef]
- Slama, I.; Abdelly, C.; Bouchereau, A.; Flowers, T.; Savouré, A. Diversity, distribution and roles of osmoprotective compounds accumulated in halophytes under abiotic stress. Ann. Bot. 2015, 115, 433–447. [Google Scholar] [CrossRef] [Green Version]
- Szabados, L.; Savouré, A. Proline: A multifunctional amino acid. Trends Plant Sci. 2010, 15, 89–97. [Google Scholar] [CrossRef] [PubMed]
- Alvarez, M.E.; Savouré, A.; Szabados, L. Proline metabolism as regulatory hub. Trends Plant Sci. 2022, 27, 39–55. [Google Scholar] [CrossRef] [PubMed]
- Apel, K.; Hirt, H. Reactive oxygen species: Metabolism, oxidative stress, and signal transduction. Annu. Rev. Plant Biol. 2004, 55, 373–399. [Google Scholar] [CrossRef] [PubMed] [Green Version]
- Moussouraki, M.-A.; Tani, E.; Velliou, A.; Goufa, M.; Psychogiou, M.; Papadakis, I.E.; Abraham, E.M. Growth, Physiological and Biochemical Responses of two Greek Cotton Cultivars to Salt Stress and their Impact as Selection Indices for Salt Tolerance. Not. Bot. Horti Agrobot. Cluj-Napoca 2019, 47, 706–715. [Google Scholar] [CrossRef] [Green Version]
- Zhu, Y.; Luo, X.; Nawaz, G.; Yin, J.; Yang, J. Physiological and biochemical responses of four cassava cultivars to drought stress. Sci. Rep. 2020, 10, 6968. [Google Scholar] [CrossRef] [PubMed] [Green Version]
- Fini, A.; Brunetti, C.; Di Ferdinando, M.; Ferrini, F.; Tattini, M. Stress-induced flavonoid biosynthesis and the antioxidant machinery of plants. Plant Signaling Behav. 2011, 6, 709–711. [Google Scholar] [CrossRef]
- Ben-Gal, A.; Borochov-Neori, H.; Yermiyahu, U.; Shani, U. Is osmotic potential a more appropriate property than electrical conductivity for evaluating whole-plant response to salinity? Environ. Exp. Bot. 2009, 65, 232–237. [Google Scholar] [CrossRef]
- AOSA. Association of Official Seed Analysts. Rules for testing seeds. J. Seed Technol. 1993, 16, 1–113. [Google Scholar]
- Islam, A.K.M.A. Effect of genotypes and pre-sowing treatments on seed germination behavior of Jatropha. Asian J. Plant Sci. 2009, 8, 433–439. [Google Scholar] [CrossRef]
- Bewley, J.D.; Black, M. Dormancy and the Control of Germination. In Seeds: Physiology of Development and Germination; Bewley, J.D., Black, M., Eds.; Springer US: Boston, MA, USA, 1994; pp. 199–271. [Google Scholar]
- Gil, R.; Bautista, I.; Boscaiu, M.; Lidón, A.; Wankhade, S.; Sánchez, H.; Llinares, J.; Vicente, O. Responses of five Mediterranean halophytes to seasonal changes in environmental conditions. AoB Plants 2014, 6, plu049. [Google Scholar] [CrossRef] [PubMed]
- Lichtenthaler, H.K.; Wellburn, A.R. Determinations of total carotenoids and chlorophylls a and b of leaf extracts in different solvents. Biochem. Soc. Trans. 1983, 11, 591–592. [Google Scholar] [CrossRef] [Green Version]
- Bates, L.S.; Waldren, R.P.; Teare, I.D. Rapid determination of free proline for water-stress studies. Plant Soil 1973, 39, 205–207. [Google Scholar] [CrossRef]
- Hodges, D.M.; DeLong, J.M.; Forney, C.F.; Prange, R.K. Improving the thiobarbituric acid-reactive-substances assay for estimating lipid peroxidation in plant tissues containing anthocyanin and other interfering compounds. Planta 1999, 207, 604–611. [Google Scholar] [CrossRef]
- Blainski, A.; Lopes, G.C.; De Mello, J.C.P. Application and Analysis of the Folin Ciocalteu Method for the Determination of the Total Phenolic Content from Limonium Brasiliense L. Molecules 2013, 18, 6852–6865. [Google Scholar] [CrossRef] [Green Version]
- Zhishen, J.; Mengcheng, T.; Jianming, W. The determination of flavonoid contents in mulberry and their scavenging effects on superoxide radicals. Food Chem. 1999, 64, 555–559. [Google Scholar] [CrossRef]
- Hammer, Ø.; Harper, D.A.T.; Ryan, P.D. PAST: Paleontological statistics software package for education and data analysis. Palaeontol. Electron. 2001, 4, 4–9. [Google Scholar]














| Species | Treatment | GI | SE | CRG |
|---|---|---|---|---|
| E. bonariensis | Control | 69.0 | 31.3 | 27.9 |
| 50 mM NaCl | 9.8 | 42.9 | 26.4 | |
| 100 mM NaCl | 6.2 | 41.7 | 23.1 | |
| 150 mM NaCl | 4.4 | 14.3 | 18.9 | |
| −0.21 MPa PEG | 13.9 | 30.4 | 23.8 | |
| −0.42 MPa PEG | 13.8 | 35.6 | 22.8 | |
| −0.63 MPa PEG | 12.9 | 31.7 | 23.8 | |
| E. sumatrensis | Control | 31.9 | 4.9 | 15.3 |
| 50 mM NaCl | 4.5 | 9.4 | 13.2 | |
| 100 mM NaCl | 3.5 | 38.5 | 12.6 | |
| 150 mM NaCl | 0.4 | 50.0 | 9.5 | |
| −0.21 MPa PEG | 6.0 | 16.1 | 17.1 | |
| −0.42 MPa PEG | 6.3 | 11.8 | 16.7 | |
| −0.63 MPa PEG | 4.7 | 3.3 | 14.7 |
| Trait | Species | Treatment | Interaction | Residual |
|---|---|---|---|---|
| SL | 9.05 ** | 23.54 *** | 8.81 | 58.58 |
| LA | 6.22 * | 8.05 | 8.98 | 76.72 |
| Lno | 37.84 *** | 42.32 *** | 6.53 *** | 13.30 |
| RFW | 4.24 ** | 69.16 *** | 2.74 | 23.84 |
| LFW | 7.00 *** | 69.06 *** | 3.53 | 20.39 |
| RWC | 4.24 ** | 69.16 *** | 2.74 | 23.85 |
| LWC | 0.04 | 69.99 *** | 11.93 *** | 18.05 |
| Trait | Species | Treatment | Interaction | Residual |
|---|---|---|---|---|
| Na+r | 19.00 *** | 42.01 *** | 11.53 ** | 29.29 |
| Na+l | 4.93 ** | 59.60 *** | 2.73 | 32.70 |
| Cl−r | 8.86 ** | 25.01 *** | 7.01 | 59.10 |
| Cl−l | 0.58 | 54.80 *** | 3.72 | 40.90 |
| K+r | 23.60 *** | 7.80 *** | 41.87 *** | 26.71 |
| K+l | 5.15 | 11.70 | 4.45 | 78.70 |
| Trait | Species | Treatment | Interaction | Residual |
|---|---|---|---|---|
| Chl a | 2.14 | 8.67 | 4.99 | 84.8 |
| Chl b | 0.17 | 6.33 | 3.31 | 90.17 |
| Pro | 23.65 *** | 30.07 *** | 15.91 *** | 30.36 |
| MDA | 10.14 | 10.07 | 6.28 | 73.48 |
| TPC | 58.72 *** | 11.11 ** | 4.28 | 25.87 |
| TF | 0.01 | 9.94 | 11.91 | 78.13 |
Publisher’s Note: MDPI stays neutral with regard to jurisdictional claims in published maps and institutional affiliations. |
© 2022 by the authors. Licensee MDPI, Basel, Switzerland. This article is an open access article distributed under the terms and conditions of the Creative Commons Attribution (CC BY) license (https://creativecommons.org/licenses/by/4.0/).
Share and Cite
Bellache, M.; Torres-Pagan, N.; Verdeguer, M.; Llinares, J.V.; Benfekih, L.A.; Sestras, R.E.; Vicente, O.; Sestras, A.F.; Boscaiu, M. Comparative Analysis of Tolerance to Salt Stress and Water Deficit in Two Invasive Weeds of the Genus Erigeron (Asteraceae). Plants 2022, 11, 2059. https://doi.org/10.3390/plants11152059
Bellache M, Torres-Pagan N, Verdeguer M, Llinares JV, Benfekih LA, Sestras RE, Vicente O, Sestras AF, Boscaiu M. Comparative Analysis of Tolerance to Salt Stress and Water Deficit in Two Invasive Weeds of the Genus Erigeron (Asteraceae). Plants. 2022; 11(15):2059. https://doi.org/10.3390/plants11152059
Chicago/Turabian StyleBellache, Manel, Natalia Torres-Pagan, Mercedes Verdeguer, Josep V. Llinares, Leila Allal Benfekih, Radu E. Sestras, Oscar Vicente, Adriana F. Sestras, and Monica Boscaiu. 2022. "Comparative Analysis of Tolerance to Salt Stress and Water Deficit in Two Invasive Weeds of the Genus Erigeron (Asteraceae)" Plants 11, no. 15: 2059. https://doi.org/10.3390/plants11152059
APA StyleBellache, M., Torres-Pagan, N., Verdeguer, M., Llinares, J. V., Benfekih, L. A., Sestras, R. E., Vicente, O., Sestras, A. F., & Boscaiu, M. (2022). Comparative Analysis of Tolerance to Salt Stress and Water Deficit in Two Invasive Weeds of the Genus Erigeron (Asteraceae). Plants, 11(15), 2059. https://doi.org/10.3390/plants11152059

