Alkaloid Composition and Biological Activities of the Amaryllidaceae Species Ismene amancaes (Ker Gawl.) Herb.
Abstract
1. Introduction
2. Results and Discussion
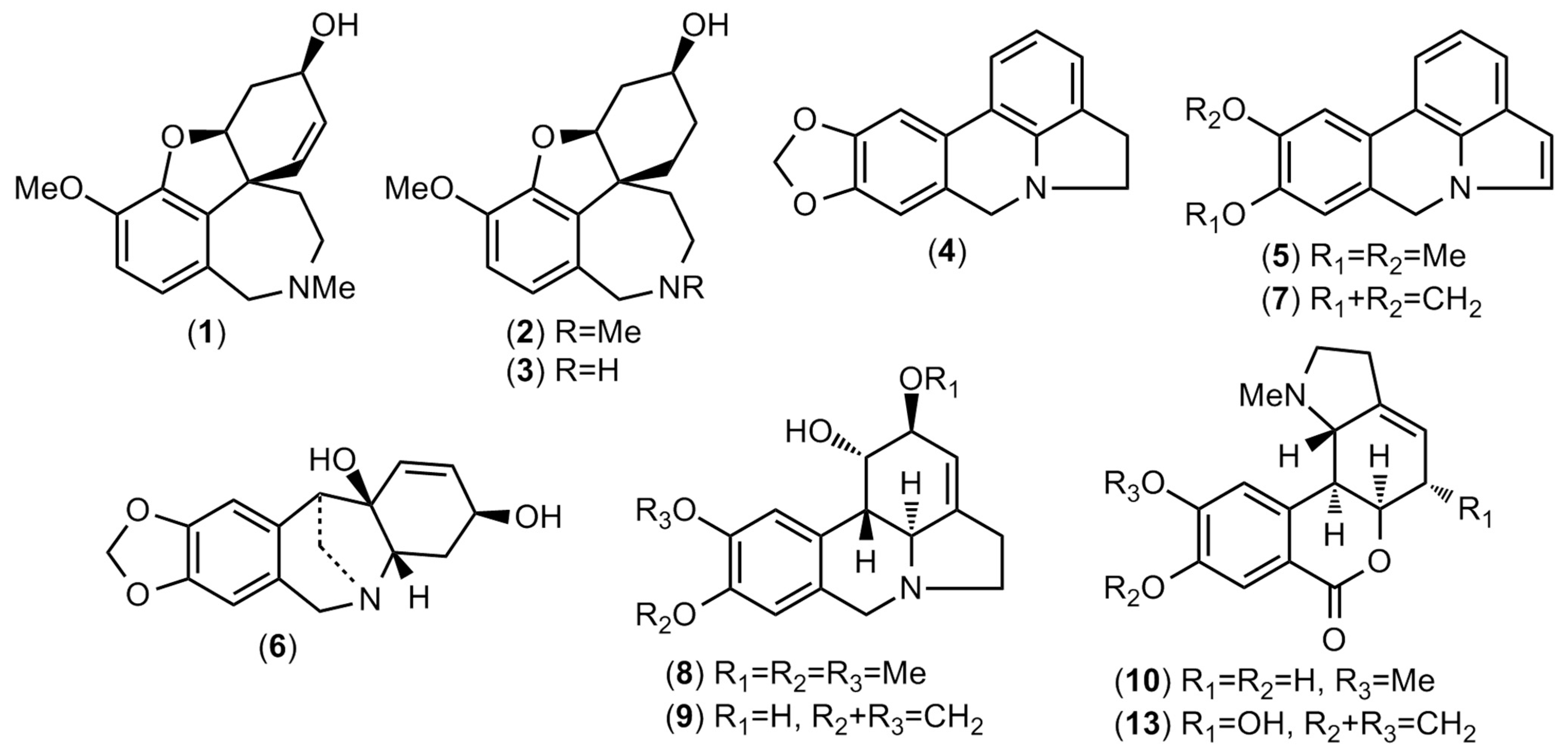
2.1. Alkaloid Profiling
2.2. AChE and BuChE Inhibitory Activity
2.3. Antiplasmodial Activity
3. Materials and Methods
3.1. Plant Material
3.2. Alkaloid Extraction
3.3. GC-MS Analysis
3.4. Alkaloid Identification and Quantification
3.5. AChE and BuChE Inhibitory Activity
3.6. Antiplasmodial Inhibitory Activity
3.7. Statistical Analysis
4. Conclusions
Supplementary Materials
Author Contributions
Funding
Institutional Review Board Statement
Informed Consent Statement
Data Availability Statement
Acknowledgments
Conflicts of Interest
References
- WHO. World Malarie Report 2019; World Health Organization: Geneva, Switzerland, 2019; pp. 12–13. [Google Scholar]
- WHO. World Health Organization—Malaria. Available online: https://www.who.int/news-room/fact-sheets/detail/malaria (accessed on 25 May 2022).
- WHO. Report on Antimalarial Drug Efficacy, Resistance and Response: 10 Years of Surveillance (2010–2019); World Health Organization: Geneva, Switzerland, 2020; pp. 3–5. [Google Scholar]
- Pan, W.-H.; Xu, X.-Y.; Shi, N.; Tsang, S.W.; Zhang, H.-J. Antimalarial activity of plant metabolites. Int. J. Mol. Sci. 2018, 19, 1382. [Google Scholar] [CrossRef]
- de Oliveira, A.R.M.; Szczerbowski, D. Quina: 470 anos de história, controvérsias e desenvolvimento. Quim. Nova 2009, 32, 1971–1974. [Google Scholar] [CrossRef][Green Version]
- Nair, J.J.; van Staden, J. The Amaryllidaceae as a source of antiplasmodial crinane alkaloid constituents. Fitoterapia 2019, 134, 305–313. [Google Scholar] [CrossRef]
- WHO. World Health Organization—Dementia. Available online: https://www.who.int/news-room/fact-sheets/detail/dementia (accessed on 25 May 2022).
- Berkov, S.; Georgieva, L.; Kondakova, V.; Atanassov, A.; Viladomat, F.; Bastida, J.; Codina, C. Plant Sources of galanthamine: Phytochemical and biotechnological aspects. Biotechnol. Biotechnol. Equip. 2009, 23, 1170–1176. [Google Scholar] [CrossRef]
- Maelicke, A.; Samochocki, M.; Jostock, R.; Fehrenbacher, A.; Ludwig, J.; Albuquerque, E.X.; Zerlin, M. Allosteric sensitization of nicotinic receptors by galantamine, a new treatment strategy for Alzheimer’s disease. Biol. Psychiatry 2001, 49, 279–288. [Google Scholar] [CrossRef]
- Giacobini, E. Cholinesterase inhibitors: New roles and therapeutic alternatives. Pharmacol. Res. 2004, 50, 433–440. [Google Scholar] [CrossRef]
- Heinrich, M.; Teoh, H.L. Galanthamine from snowdrop—The development of a modern drug against Alzheimer’s disease from local Caucasian knowledge. J. Ethnopharmacol. 2004, 92, 147–162. [Google Scholar] [CrossRef]
- Cimmino, A.; Masi, M.; Evidente, M.; Superchi, S.; Evidente, A. Amaryllidaceae alkaloids: Absolute configuration and biological activity. Chirality 2017, 29, 486–499. [Google Scholar] [CrossRef]
- Konrath, E.L.; Passos, C.D.S.; Klein-Júnior, L.C.; Henriques, A.T. Alkaloids as a source of potential anticholinesterase inhibitors for the treatment of Alzheimer’s disease. J. Pharm. Pharmacol. 2013, 65, 1701–1725. [Google Scholar] [CrossRef]
- Greig, N.H.; Lahiri, D.K.; Sambamurti, K. Butyrylcholinesterase: An important new target in Alzheimer’s disease therapy. Int. Psychogeriatr. 2002, 14, 77–91. [Google Scholar] [CrossRef]
- Ballard, C.G. Advances in the treatment of Alzheimer’s disease: Benefits of dual cholinesterase inhibition. Eur. Neurol. 2002, 47, 64–70. [Google Scholar] [CrossRef] [PubMed]
- Newman, D.J.; Cragg, G.M. Natural products as sources of new drugs over the nearly four decades from 01/1981 to 09/2019. J. Nat. Prod. 2020, 83, 770–803. [Google Scholar] [CrossRef] [PubMed]
- Cordell, G.A.; Quinn-Beattie, M.L.; Farnsworth, N.R. The potential of alkaloids in drug discovery. Phytother. Res. 2001, 15, 183–205. [Google Scholar] [CrossRef] [PubMed]
- Berkov, S.; Osorio, E.; Viladomat, F.; Bastida, J. Chemodiversity, chemotaxonomy and chemoecology of Amaryllidaceae al-kaloids. In The Alkaloids: Chemistry and Biology; Knölker, H.-J., Ed.; Elsevier: Amsterdam, The Netherlands, 2020; Volume 83, pp. 113–185. [Google Scholar]
- Bastida, J.; Lavilla, R.; Viladomat, F. Chemical and biological aspects of Narcissus alkaloids. In The Alkaloids: Chemistry and Physiology; Cordell, G.A., Ed.; Elsevier: Amsterdam, The Netherlands, 2006; Volume 63, pp. 87–179. [Google Scholar] [CrossRef]
- Masi, M.; Di Lecce, R.; Cimmino, A.; Evidente, A. Advances in the chemical and biological characterization of Amaryllidaceae alkaloids and natural analogues isolated in the last decade. Molecules 2020, 25, 5621. [Google Scholar] [CrossRef]
- León, B.; Sagástegui, A.; Sánchez, I.; Zapata, M.; Meerow, A.; Cano, A. Amaryllidaceae endémicas del Perú. Rev. Peru. Biol. 2006, 13, 690–697. [Google Scholar] [CrossRef][Green Version]
- Suni, M.L.; Pascual, E.; Jara, E. Desarrollo reproductivo del “amancay” Ismene amancaes (Amaryllidaceae) en su ambiente natural. Rev. Peru. Biol. 2011, 18, 293–297. [Google Scholar] [CrossRef]
- Lianza, M.; Verdan, M.H.; de Andrade, J.P.; Poli, F.; de Almeida, L.C.; Costa-Lotufo, L.V.; Neto, A.C.; Oliveira, S.C.C.; Bastida, J.; Batista, A.N.L.; et al. Isolation, absolute configuration and cytotoxic activities of alkaloids from Hippeastrum goiamum (Ravenna) Meerow (Amaryllidaceae). J. Braz. Chem. Soc. 2020, 31, 2135–2145. [Google Scholar] [CrossRef]
- Berkov, S.; Bastida, J.; Nikolova, M.; Viladomat, F.; Codina, C. Rapid TLC/GC-MS identification of acetylcholinesterase inhibitors in alkaloid extracts. Phytochem. Anal. 2008, 19, 411–419. [Google Scholar] [CrossRef]
- Berkov, S.; Bastida, J.; Tsvetkova, R.; Viladotmat, F.; Codina, C. Alkaloids from Sternbergia colchiciflora. Z. Naturforsch. 2009, 64, 311–316. [Google Scholar] [CrossRef]
- Sarikaya, B.B.; Berkov, S.; Bastida, J.; Kaya, G.I.; Onur, M.A.; Somer, N.U. GC-MS Investigation of Amaryllidaceae alkaloids in Galanthus xvalentinei nothosubsp. subplicatus. Nat. Prod. Commun. 2013, 8, 327–328. [Google Scholar] [CrossRef]
- Bozkurt, B.; Kaya, G.I.; Somer, N.U. Chemical composition and enzyme inhibitory activities of Turkish Pancratium maritimum bulbs. Nat. Prod. Commun. 2019, 14, 1–4. [Google Scholar] [CrossRef]
- Gonring-Salarini, K.L.; Conti, R.; de Andrade, J.P.; Borges, B.J.P.; Aguiar, A.C.C.; de Souza, J.O.; Zanini, C.L.; Oliva, G.; Tenorio, J.C.; Ellena, J.; et al. In vitro antiplasmodial activities of alkaloids isolated from roots of Worsleya procera (Lem.) Traub. (Amaryllidaceae). J. Braz. Chem. Soc. 2019, 30, 1624–1633. [Google Scholar] [CrossRef]
- De Andrade, J.P.; Pigni, N.B.; Torras-Claveria, L.; Berkov, S.; Codina, C.; Viladomat, F.; Bastida, J. Bioactive alkaloid extracts from Narcissus broussonetii: Mass spectral studies. J. Pharm. Biomed. Anal. 2012, 70, 13–25. [Google Scholar] [CrossRef]
- Berkov, S.; Georgieva, L.; Boriana, S.; Bastida, J. Evaluation of Hippeastrum papilio (Ravenna) Van Scheepen potencial as a new industrial source of galanthamine. Ind. Crop. Prod. 2022, 178, 114619. [Google Scholar] [CrossRef]
- Lubbe, A.; Gude, H.; Verpoorte, R.; Choi, Y.H. Seasonal accumulation of major alkaloids in organs of pharmaceutical crop Narcissus Carlton. Phytochemistry 2013, 88, 43–53. [Google Scholar] [CrossRef]
- Cortes, N.; Alvarez, R.; Osorio, E.H.; Alzate, F.; Berkov, S.; Osorio, E. Alkaloid metabolite profiles by GC/MS and acetylcholinesterase inhibitory activities with binding-mode predictions of five Amaryllidaceae plants. J. Pharm. Biomed. Anal. 2015, 102, 222–228. [Google Scholar] [CrossRef] [PubMed]
- Sierra, K.; de Andrade, J.P.; Tallini, L.R.; Osorio, E.H.; Yañéz, O.; Osorio, M.I.; Oleas, N.H.; García-Beltrán, O.; Borges, W.D.S.; Bastida, J.; et al. In vitro and in silico analysis of galanthine from Zephyranthes carinata as an inhibitor of acetylcholinesterase. Biomed. Pharmacother. 2022, 150, 113016. [Google Scholar] [CrossRef]
- Tallini, L.R.; Bastida, J.; Cortes, N.; Osorio, E.H.; Theoduloz, C.; Schmeda-Hirschmann, G. Cholinesterase inhibition activity, alkaloid profiling and molecular docking of Chilean Rhodophiala (Amaryllidaceae). Molecules 2018, 23, 1532. [Google Scholar] [CrossRef]
- Marston, A.; Kissling, J.; Hostettmann, K. A rapid TLC bioautographic method for the detection of acetylcholinesterase and butyrylcholinesterase inhibitors in plants. Phytochem. Anal. 2002, 13, 51–54. [Google Scholar] [CrossRef]
- Willcox, M.; Benoit-Vical, F.; Fowler, D.; Bourdy, G.; Burford, G.; Giani, S.; Graziose, R.; Houghton, P.; Randrianarivelojosia, M.; Rasoanaivo, P. Do ethnobotanical and laboratory data predict clinical safety and efficacy of anti-malarial plants? Malar. J. 2011, 10, S7. [Google Scholar] [CrossRef]
- Nair, J.J.; van Staden, J. Antiplasmodial studies within the plant family Amaryllidaceae. Nat. Prod. Commun. 2019, 14, 1–6. [Google Scholar] [CrossRef]
- Nair, J.J.; van Staden, J. Antiplasmodial lycorane alkaloid principles of the plant family Amaryllidaceae. Planta Med. 2019, 85, 637–647. [Google Scholar] [CrossRef] [PubMed]
- Griffiths, S. Antimalarial Compounds from Crinum bulbispermum. Ph.D. Thesis, North West University, Potchefstroom, South Africa, 2004. [Google Scholar]
- Herrera, M.R.; Machocho, A.K.; Nair, J.J.; Campbell, W.E.; Brun, R.; Viladomat, F.; Codina, C.; Bastida, J. Alkaloids from Cyrtanthus elatus. Fitoterapia 2001, 72, 444–448. [Google Scholar] [CrossRef]
- Šafratová, M.; Hošťálková, A.; Hulcová, D.; Breiterová, K.; Hrabcová, V.; Machado, M.; Fontinha, D.; Prudêncio, M.; Kuneš, J.; Chlebek, J.; et al. Alkaloids from Narcissus poeticus cv. Pink Parasol of various structural types and their biological activity. Arch. Pharm. Res. 2018, 41, 208–218. [Google Scholar] [CrossRef] [PubMed]
- Martinez-Peinado, N.; Cortes-Serra, N.; Torras-Claveria, L.; Pinazo, M.-J.; Gascon, J.; Bastida, J.; Alonso-Padilla, J. Amaryllidaceae alkaloids with anti-Trypanosoma cruzi activity. Parasites Vectors 2020, 13, 299. [Google Scholar] [CrossRef]
- NIST Mass Spectral Library (NIST 05). U.S. Department of Commerce. National Institute of Standards and Technology. Standard Reference Data Program Gaithersburg, MD, USA. 2005. Available online: https://webbook.nist.gov/chemistry/ (accessed on 29 June 2022).
- Ellman, G.L.; Courtney, K.D.; Andres, V., Jr.; Featherstone, R.M. A new and rapid colorimetric determination of acetylcholinesterase activity. Biochem. Pharmacol. 1961, 7, 88–95. [Google Scholar] [CrossRef]
- López, S.; Bastida, J.; Viladomat, F.; Codina, C. Acetylcholinesterase inhibitory activity of some Amaryllidaceae alkaloids and Narcissus extracts. Life Sci. 2002, 71, 2521–2529. [Google Scholar] [CrossRef]
- Trager, W.; Jensen, J.B. Human malaria parasites in continuous culture. Science. 1976, 193, 673–675. [Google Scholar] [CrossRef]
- Kaur, K.; Jain, M.; Kaur, T.; Jain, R. Antimalarials from nature. Bioorgan. Med. Chem. 2009, 17, 3229–3256. [Google Scholar] [CrossRef]



| Alkaloid | [M+] | MS | RI 1 | Amount 2 | TIC (%) 3 | References |
|---|---|---|---|---|---|---|
| galanthamine (1) | 287 (79) | 286 (100), 270 (14), 244 (22), 216 (24) | 2430.5 | 6.7 | 0.9 | [23] |
| lycoramine (2) | 289 (72) | 288 (100), 202 (12), 187 (10) | 2463.5 | 132.2 | 39.1 | [23] |
| norlycoramine (3) | 275 (83) | 274 (100), 188 (16) | 2495.1 | 10.3 | 2.9 | [24] |
| anhydrolycorine (4) | 251 (49) | 250 (100), 192 (10) | 2543.5 | 8.6 | 1.3 | [25] |
| assoanine (5) | 267 (52) | 266 (100), 250 (21) | 2611.9 | 6.3 | 0.4 | [26] |
| pancratinine C (6) | 287 (95) | 203 (52), 188 (58), 174 (100), 148 (43) | 2622.2 | 6.4 | 0.6 | [27] |
| 11,12-dehydroanhydrolycorine (7) | 249 (68) | 248 (100), 190 (22) | 2645.6 | 6.3 | 0.4 | [25] |
| galanthine (8) | 317 (29) | 284 (13), 268 (16), 243 (94), 242 (100) | 2736.2 | 22.5 | 7.9 | [28] |
| lycorine (9) | 287 (35) | 268 (24), 250 (15), 227 (75), 226 (100) | 2796.4 | 51.2 | 15.8 | [24] |
| 8-O-demethylhomolycorine (10) | 301 (-) | 109 (100), 108 (22) | 2844.2 | 10.7 | 1.9 | [29] |
| UI 4 (11) | 297 (60) | 296 (100), 280 (17) | 2852.1 | 9.3 | 1.4 | - |
| UI 4 (12) | 279 (76) | 278 (100), 262 (12) | 2859.3 | 6.7 | 0.8 | - |
| hippeastrine (13) | 315 (-) | 125 (100), 96 (40) | 2928.5 | 33.7 | 12.6 | [24] |
Publisher’s Note: MDPI stays neutral with regard to jurisdictional claims in published maps and institutional affiliations. |
© 2022 by the authors. Licensee MDPI, Basel, Switzerland. This article is an open access article distributed under the terms and conditions of the Creative Commons Attribution (CC BY) license (https://creativecommons.org/licenses/by/4.0/).
Share and Cite
Soto-Vásquez, M.R.; Rodríguez-Muñoz, C.A.; Tallini, L.R.; Bastida, J. Alkaloid Composition and Biological Activities of the Amaryllidaceae Species Ismene amancaes (Ker Gawl.) Herb. Plants 2022, 11, 1906. https://doi.org/10.3390/plants11151906
Soto-Vásquez MR, Rodríguez-Muñoz CA, Tallini LR, Bastida J. Alkaloid Composition and Biological Activities of the Amaryllidaceae Species Ismene amancaes (Ker Gawl.) Herb. Plants. 2022; 11(15):1906. https://doi.org/10.3390/plants11151906
Chicago/Turabian StyleSoto-Vásquez, Marilú Roxana, Cecilia Anataly Rodríguez-Muñoz, Luciana R. Tallini, and Jaume Bastida. 2022. "Alkaloid Composition and Biological Activities of the Amaryllidaceae Species Ismene amancaes (Ker Gawl.) Herb." Plants 11, no. 15: 1906. https://doi.org/10.3390/plants11151906
APA StyleSoto-Vásquez, M. R., Rodríguez-Muñoz, C. A., Tallini, L. R., & Bastida, J. (2022). Alkaloid Composition and Biological Activities of the Amaryllidaceae Species Ismene amancaes (Ker Gawl.) Herb. Plants, 11(15), 1906. https://doi.org/10.3390/plants11151906

