Production and Characterization of Sumac PlantCrystals: Influence of High-Pressure Homogenization on Antioxidant Activity of Sumac (Rhus coriaria L.)
Abstract
1. Introduction


2. Results
2.1. Production and Physicochemical Characterization Sumac PlantCrystals
2.2. Extraction Efficacy and Antioxidant Capacity
2.2.1. Total Polyphenol Content (TPC)
2.2.2. Total Flavonoid Content (TFC)
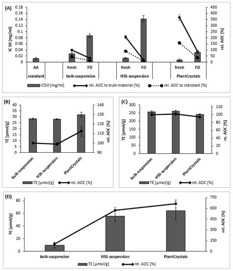
2.2.3. Electron Transfer (ET) Assays
DPPH● (1,1-diphenyl-2-picrylhydrazyl) Assay
FRAP (Ferric ion Reducing Antioxidant Power) Assay and ABTS (2,2′-azinobis(3-ethylbenzothiazoline-6-sulfonic acid)) Assay
2.2.4. Hydrogen Atom Transfer (HAT) Assays
ORAC (Oxygen Radical Absorbance Capacity) Assay
3. Discussion
4. Materials and Methods
4.1. Materials
4.2. Methods
4.2.1. Production of Sumac PlantCrystals
4.2.2. Freeze Drying of Sumac PlantCrystals
4.2.3. Physicochemical Characterization Sumac PlantCrystals
4.2.4. Determination of Extraction Efficacy and Antioxidant Capacity
Total Polyphenol Content (TPC)
Total Flavonoid Content (TFC)
Electron Transfer (ET) Assays
- DPPH● (1,1-diphenyl-2-picrylhydrazyl) Assay
FRAP (Ferric ion Reducing Antioxidant Power) Assay
ABTS (2,2′-azinobis(3-ethylbenzothiazoline-6-sulfonic acid)) Assay
Hydrogen Atom Transfer (HAT) Assays
4.2.5. Statistical Analysis
5. Conclusions
Author Contributions
Funding
Institutional Review Board Statement
Informed Consent Statement
Data Availability Statement
Acknowledgments
Conflicts of Interest
References
- van Duyn, M.A.S.; Pivonka, E. Overview of the health benefits of fruit and vegetable consumption for the dietetics professional. J. Am. Diet. Assoc. 2000, 100, 1511–1521. [Google Scholar] [CrossRef] [PubMed]
- Nordberg, J.; Arnér, E.S.J. Reactive oxygen species, antioxidants, and the mammalian thioredoxin system. Free Radic. Biol. Med. 2001, 31, 1287–1312. [Google Scholar] [CrossRef]
- Burke-Gaffney, A.; Callister, M.E.J.; Nakamura, H. Thioredoxin: Friend or foe in human disease? Trends Pharmacol. Sci. 2005, 26, 398–404. [Google Scholar] [CrossRef] [PubMed]
- Mestres, R. A brief structured view of green chemistry issues. Green Chem. 2004, 6, G10. [Google Scholar] [CrossRef]
- Tang, S.L.Y.; Smith, R.L.; Poliakoff, M. Principles of green chemistry: Productively. Green Chem. 2005, 7, 761. [Google Scholar] [CrossRef]
- Cacace, J.E.; Mazza, G. Mass transfer process during extraction of phenolic compounds from milled berries. J. Food Eng. 2003, 59, 379–389. [Google Scholar] [CrossRef]
- Chemat, F.; Abert Vian, M.; Fabiano-Tixier, A.-S.; Nutrizio, M.; Režek Jambrak, A.; Munekata, P.E.S.; Lorenzo, J.M.; Barba, F.J.; Binello, A.; Cravotto, G. A review of sustainable and intensified techniques for extraction of food and natural products. Green Chem. 2020, 22, 2325–2353. [Google Scholar] [CrossRef]
- Chemat, F.; Vian, M.A.; Cravotto, G. Green extraction of natural products: Concept and principles. Int. J. Mol. Sci. 2012, 13, 8615–8627. [Google Scholar] [CrossRef]
- Carrillo-Hormaza, L.; Mora, C.; Alvarez, R.; Alzate, F.; Osorio, E. Chemical composition and antibacterial activity against Enterobacter cloacae of essential oils from Asteraceae species growing in the Páramos of Colombia. Ind. Crops Prod. 2015, 77, 108–115. [Google Scholar] [CrossRef]
- Jiménez, N.; Carrillo-Hormaza, L.; Pujol, A.; Álzate, F.; Osorio, E.; Lara-Guzman, O. Antioxidant capacity and phenolic content of commonly used anti-inflammatory medicinal plants in Colombia. Ind. Crops Prod. 2015, 70, 272–279. [Google Scholar] [CrossRef]
- Ramírez-Atehortúa, A.M.; Morales-Agudelo, L.; Osorio, E.; Lara-Guzmán, O.J. The traditional medicinal plants Cuphea calophylla, Tibouchina kingii, and Pseudelephantopus spiralis Attenuate inflammatory and oxidative mediators. Evid. Based Complementary Altern. Med. 2018, 2018, 1953726. [Google Scholar] [CrossRef] [PubMed]
- Cao, J.; Cao, J.; Wang, H.; Chen, L.; Cao, F.; Su, E. Solubility improvement of phytochemicals using (natural) deep eutectic solvents and their bioactivity evaluation. J. Mol. Liq. 2020, 318, 113997. [Google Scholar] [CrossRef]
- Abraham, A.M.; Alnemari, R.M.; Jacob, C.; Keck, C.M. PlantCrystals—Nanosized plant material for improved bioefficacy of medical plants. Materials 2020, 13, 4368. [Google Scholar] [CrossRef] [PubMed]
- Yassin, D.A.; Nasim, M.J.; Abraham, A.M.; Keck, C.M.; Jacob, C. Upcycling culinary organic waste: Production of plant particles from potato and carrot peels to improve antioxidative capacity. Curr. Nutraceuticals 2020, 1. [Google Scholar] [CrossRef]
- Griffin, S.; Sarfraz, M.; Farida, V.; Nasim, M.J.; Ebokaiwe, A.P.; Keck, C.M.; Jacob, C. No time to waste organic waste: Nanosizing converts remains of food processing into refined materials. J. Environ. Manag. 2018, 210, 114–121. [Google Scholar] [CrossRef]
- Georget, E.; Miller, B.; Callanan, M.; Heinz, V.; Mathys, A. (Ultra) high pressure homogenization for continuous high pressure sterilization of pumpable foods–A review. Front. Nutr. 2014, 1, 15. [Google Scholar] [CrossRef]
- Velázquez-Estrada, R.M.; Hernández-Herrero, M.M.; Rüfer, C.E.; Guamis-López, B.; Roig-Sagués, A.X. Influence of ultra high pressure homogenization processing on bioactive compounds and antioxidant activity of orange juice. Innov. Food Sci. Emerg. Technol. 2013, 18, 89–94. [Google Scholar] [CrossRef]
- Saldo, J.; Suárez-Jacobo, Á.; Gervilla, R.; Guamis, B.; Roig-Sagués, A.X. Use of ultra-high-pressure homogenization to preserve apple juice without heat damage. High. Press. Res. 2009, 29, 52–56. [Google Scholar] [CrossRef]
- Griffin, S.; Alkhayer, R.; Mirzoyan, S.; Turabyan, A.; Zucca, P.; Sarfraz, M.; Nasim, M.; Trchounian, A.; Rescigno, A.; Keck, C.; et al. Nanosizing Cynomorium: Thumbs up for potential antifungal applications. Inventions 2017, 2, 24. [Google Scholar] [CrossRef]
- Abraham, A.M.; Alnemari, R.M.; Brüßler, J.; Keck, C.M. Improved antioxidant capacity of black tea waste utilizing PlantCrystals. Molecules 2021, 26, 592. [Google Scholar] [CrossRef]
- Merisko, E.; Liversidge, G.G. Nanocrystals: Resolving Pharmaceutical Formulation Issues Associated with Poorly Water-Soluble Compounds. In Particles; Marty, J.J., Ed.; Marcel Dekker: Orlando, FL, USA, 2002. [Google Scholar]
- Möschwitzer, J.P. Drug nanocrystals in the commercial pharmaceutical development process. Int. J. Pharm. 2013, 453, 142–156. [Google Scholar] [CrossRef] [PubMed]
- Müller, R.H.; Gohla, S.; Keck, C.M. State of the art of nanocrystals--special features, production, nanotoxicology aspects and intracellular delivery. Eur. J. Pharm. Biopharm. 2011, 78, 1–9. [Google Scholar] [CrossRef] [PubMed]
- Pelikh, O.; Hartmann, S.F.; Abraham, A.M.; Keck, C.M. Nanocrystals for Dermal Application. In Nanocosmetics: From Ideas to Products; Cornier, J., Keck, C.M., de van Voorde, M., Eds.; Springer: Cham, Switzerland, 2019; pp. 161–177. ISBN 978-3-030-16572-7. [Google Scholar]
- Morshedloo, M.R.; Maggi, F.; Tavakoli Neko, H.; Soleimani Aghdam, M. Sumac (Rhus coriaria L.) fruit: Essential oil variability in Iranian populations. Ind. Crops Prod. 2018, 111, 1–7. [Google Scholar] [CrossRef]
- Candan, F.; Sökmen, A. Effects of Rhus coriaria L (Anacardiaceae) on lipid peroxidation and free radical scavenging activity. Phytother. Res. 2004, 18, 84–86. [Google Scholar] [CrossRef]
- Beretta, G.; Rossoni, G.; Santagati, N.A.; Facino, R.M. Anti-ischemic activity and endothelium-dependent vasorelaxant effect of hydrolysable tannins from the leaves of Rhus coriaria (sumac) in isolated rabbit heart and thoracic aorta. Planta Med. 2009, 75, 1482–1488. [Google Scholar] [CrossRef]
- Rayne, S.; Mazza, G. Biological activities of extracts from sumac (Rhus spp.): A review. Nat. Prec. 2007. [Google Scholar] [CrossRef]
- Candan, F. Effect of Rhus coriaria L. (Anacardiaceae) on superoxide radical scavenging and xanthine oxidase activity. J. Enzym. Inhib. Med. Chem. 2003, 18, 59–62. [Google Scholar] [CrossRef]
- Sakhr, K.; El Khatib, S. Physiochemical properties and medicinal, nutritional and industrial applications of Lebanese sumac (Syrian sumac—Rhus coriaria): A review. Heliyon 2020, 6, e03207. [Google Scholar] [CrossRef]
- Alsamri, H.; Athamneh, K.; Pintus, G.; Eid, A.H.; Iratni, R. Pharmacological and antioxidant activities of Rhus coriaria L. (sumac). Antioxidants 2021, 10, 73. [Google Scholar] [CrossRef]
- Kosar, M.; Bozan, B.; Temelli, F.; Baser, K.H.C. Antioxidant activity and phenolic composition of sumac (Rhus coriaria L.) extracts. Food Chem. 2007, 103, 952–959. [Google Scholar] [CrossRef]
- Capcarova, M.; Slamecka, J.; Abbas, K.; Kolesarova, A.; Kalafova, A.; Valent, M.; Filipejova, T.; Chrastinova, L.; Ondruska, L.; Massanyi, P. Effects of dietary inclusion of Rhus coriaria on internal milieu of rabbits. J. Anim. Physiol. Anim. Nutr. 2012, 96, 459–465. [Google Scholar] [CrossRef] [PubMed]
- Abu-Reida, I.M.; Jamous, R.M.; Ali-Shtayeh, M.S. Phytochemistry, pharmacological properties and industrial applications of Rhus coriaria L. (sumac). Jordan J. Biol. Sci. 2014, 7, 233–244. [Google Scholar] [CrossRef]
- Chaves, N.; Santiago, A.; Alías, J.C. Quantification of the antioxidant activity of plant extracts: Analysis of sensitivity and hierarchization based on the method used. Antioxidants 2020, 9, 76. [Google Scholar] [CrossRef] [PubMed]
- Huang, D.; Ou, B.; Prior, R.L. The chemistry behind antioxidant capacity assays. J. Agric. Food Chem. 2005, 53, 1841–1856. [Google Scholar] [CrossRef] [PubMed]
- Cao, G.; Alessio, H.M.; Cutler, R.G. Oxygen-radical absorbance capacity assay for antioxidants. Free Radic. Biol. Med. 1993, 14, 303–311. [Google Scholar] [CrossRef]
- Middelberg, A.P.J. Process-scale disruption of microorganisms. Biotechnol. Adv. 1995, 13, 491–551. [Google Scholar] [CrossRef]
- Jacobo, Á.S.; Saldo, J.; Gervilla, R. Influence of High-Pressure and Ultra-High-Pressure Homogenization on Antioxidants in Fruit Juice. In Processing and Impact on Antioxidants in Beverages; Academic Press: Oxford, UK, 2014; pp. 185–193. ISBN 9780124047389. [Google Scholar]
- Schilling, S.; Schmid, S.; Jäger, H.; Ludwig, M.; Dietrich, H.; Toepfl, S.; Knorr, D.; Neidhart, S.; Schieber, A.; Carle, R. Comparative study of pulsed electric field and thermal processing of apple juice with particular consideration of juice quality and enzyme deactivation. J. Agric. Food Chem. 2008, 56, 4545–4554. [Google Scholar] [CrossRef]
- Tomás-Navarro, M.; Vallejo, F.; Tomás-Barberán, F.A. Bioavailability and Metabolism of Citrus Fruit Beverage Flavanones in Humans. In Polyphenols in Human Health and Disease; Watson, R.R., Preedy, V.R., Zibadi, S., Eds.; Elsevier: Amsterdam, The Netherlands; Academic Press: Boston, MA, USA, 2014; pp. 537–551. ISBN 9780123984562. [Google Scholar]
- Abu-Reidah, I.M.; Ali-Shtayeh, M.S.; Jamous, R.M.; Arráez-Román, D.; Segura-Carretero, A. HPLC-DAD-ESI-MS/MS screening of bioactive components from Rhus coriaria L. (sumac) fruits. Food Chem. 2015, 166, 179–191. [Google Scholar] [CrossRef]
- Homayouni Rad, A.; Khaleghi, M.; Javadi, M. Sumac in food industry: A changing outlook for consumer and producer. J. FoodTech. Nutr. Sci. 2020, 2, 1–3. [Google Scholar]
- Braune, A.; Blaut, M. Bacterial species involved in the conversion of dietary flavonoids in the human gut. Gut Microbes 2016, 7, 216–234. [Google Scholar] [CrossRef]
- Kawabata, K.; Yoshioka, Y.; Terao, J. Role of intestinal microbiota in the bioavailability and physiological functions of dietary polyphenols. Molecules 2019, 24, 370. [Google Scholar] [CrossRef]
- Pei, R.; Liu, X.; Bolling, B. Flavonoids and gut health. Curr. Opin. Biotechnol. 2020, 61, 153–159. [Google Scholar] [CrossRef] [PubMed]
- Thumann, T.A.; Pferschy-Wenzig, E.-M.; Moissl-Eichinger, C.; Bauer, R. The role of gut microbiota for the activity of medicinal plants traditionally used in the European Union for gastrointestinal disorders. J. Ethnopharmacol. 2019, 245, 112153. [Google Scholar] [CrossRef] [PubMed]
- Gil-Izquierdo, A.; Gil, M.I.; Ferreres, F. Effect of processing techniques at industrial scale on orange juice antioxidant and beneficial health compounds. J. Agric. Food Chem. 2002, 50, 5107–5114. [Google Scholar] [CrossRef] [PubMed]
- Shahidi, F.; Zhong, Y. Measurement of antioxidant activity. J. Funct. Foods 2015, 18, 757–781. [Google Scholar] [CrossRef]
- Ozcan, M. Antioxidant activities of rosemary, sage, and sumac extracts and their combinations on stability of natural peanut oil. J. Med. Food 2003, 6, 267–270. [Google Scholar] [CrossRef]
- Griffin, S.; Sarfraz, M.; Hartmann, S.F.; Pinnapireddy, S.R.; Nasim, M.J.; Bakowsky, U.; Keck, C.M.; Jacob, C. Resuspendable powders of lyophilized chalcogen particles with activity against microorganisms. Antioxidants 2018, 7, 23. [Google Scholar] [CrossRef]
- GAULIN HOMOGENIZER. Available online: http://gaulinhomogenizer.com/ (accessed on 15 April 2021).
- Keck, C.M. Particle size analysis of nanocrystals: Improved analysis method. Int. J. Pharm. 2010, 390, 3–12. [Google Scholar] [CrossRef]
- Ordonez, A.; Gomez, J.; Vattuone, M.; Lsla, M. Antioxidant activities of Sechium edule (Jacq.) Swartz extracts. Food Chem. 2006, 97, 452–458. [Google Scholar] [CrossRef]
- Sharma, O.P.; Bhat, T.K. DPPH antioxidant assay revisited. Food Chem. 2009, 113, 1202–1205. [Google Scholar] [CrossRef]
- Katsube, T.; Tabata, H.; Ohta, Y.; Yamasaki, Y.; Anuurad, E.; Shiwaku, K.; Yamane, Y. Screening for antioxidant activity in edible plant products: Comparison of low-density lipoprotein oxidation assay, DPPH radical scavenging assay, and Folin-Ciocalteu assay. J. Agric. Food Chem. 2004, 52, 2391–2396. [Google Scholar] [CrossRef] [PubMed]
- Ou, B.; Hampsch-Woodill, M.; Prior, R.L. Development and validation of an improved oxygen radical absorbance capacity assay using fluorescein as the fluorescent probe. J. Agric. Food Chem. 2001, 49, 4619–4626. [Google Scholar] [CrossRef] [PubMed]
- Álvarez, R.; Carvalho, C.P.; Sierra, J.; Lara, O.; Cardona, D.; Londoño-Londoño, J. Citrus juice extraction systems: Effect on chemical composition and antioxidant activity of clementine juice. J. Agric. Food Chem. 2012, 60, 774–781. [Google Scholar] [CrossRef] [PubMed]






Publisher’s Note: MDPI stays neutral with regard to jurisdictional claims in published maps and institutional affiliations. |
© 2021 by the authors. Licensee MDPI, Basel, Switzerland. This article is an open access article distributed under the terms and conditions of the Creative Commons Attribution (CC BY) license (https://creativecommons.org/licenses/by/4.0/).
Share and Cite
Abraham, A.M.; Quintero, C.; Carrillo-Hormaza, L.; Osorio, E.; Keck, C.M. Production and Characterization of Sumac PlantCrystals: Influence of High-Pressure Homogenization on Antioxidant Activity of Sumac (Rhus coriaria L.). Plants 2021, 10, 1051. https://doi.org/10.3390/plants10061051
Abraham AM, Quintero C, Carrillo-Hormaza L, Osorio E, Keck CM. Production and Characterization of Sumac PlantCrystals: Influence of High-Pressure Homogenization on Antioxidant Activity of Sumac (Rhus coriaria L.). Plants. 2021; 10(6):1051. https://doi.org/10.3390/plants10061051
Chicago/Turabian StyleAbraham, Abraham M., Camilo Quintero, Luis Carrillo-Hormaza, Edison Osorio, and Cornelia M. Keck. 2021. "Production and Characterization of Sumac PlantCrystals: Influence of High-Pressure Homogenization on Antioxidant Activity of Sumac (Rhus coriaria L.)" Plants 10, no. 6: 1051. https://doi.org/10.3390/plants10061051
APA StyleAbraham, A. M., Quintero, C., Carrillo-Hormaza, L., Osorio, E., & Keck, C. M. (2021). Production and Characterization of Sumac PlantCrystals: Influence of High-Pressure Homogenization on Antioxidant Activity of Sumac (Rhus coriaria L.). Plants, 10(6), 1051. https://doi.org/10.3390/plants10061051

