Pre-Harvest MeJA Application Counteracts the Deleterious Impact of Al and Mn Toxicity in Highbush Blueberry Grown in Acid Soils
Abstract
:1. Introduction
2. Materials and Methods
2.1. Plant Growth Conditions and Soil Treatments
2.2. Pre-Harvest MeJA Treatments of Highbush Blueberry Plants
2.3. Plant Growth Determination
2.4. Aluminum and Manganese Determinations in Leaves
2.5. Measurement of Phytohormones Plant Concentration
2.6. Photosynthetic Parameters
2.7. Determination of Antioxidant-Related Parameters
2.8. Aluminum and Manganese Concentrations and Quality of Fruits
2.9. Experimental Design and Statistical Analyses
3. Results
3.1. Growth Rate, Aluminum and Manganese Concentrations of Leaves
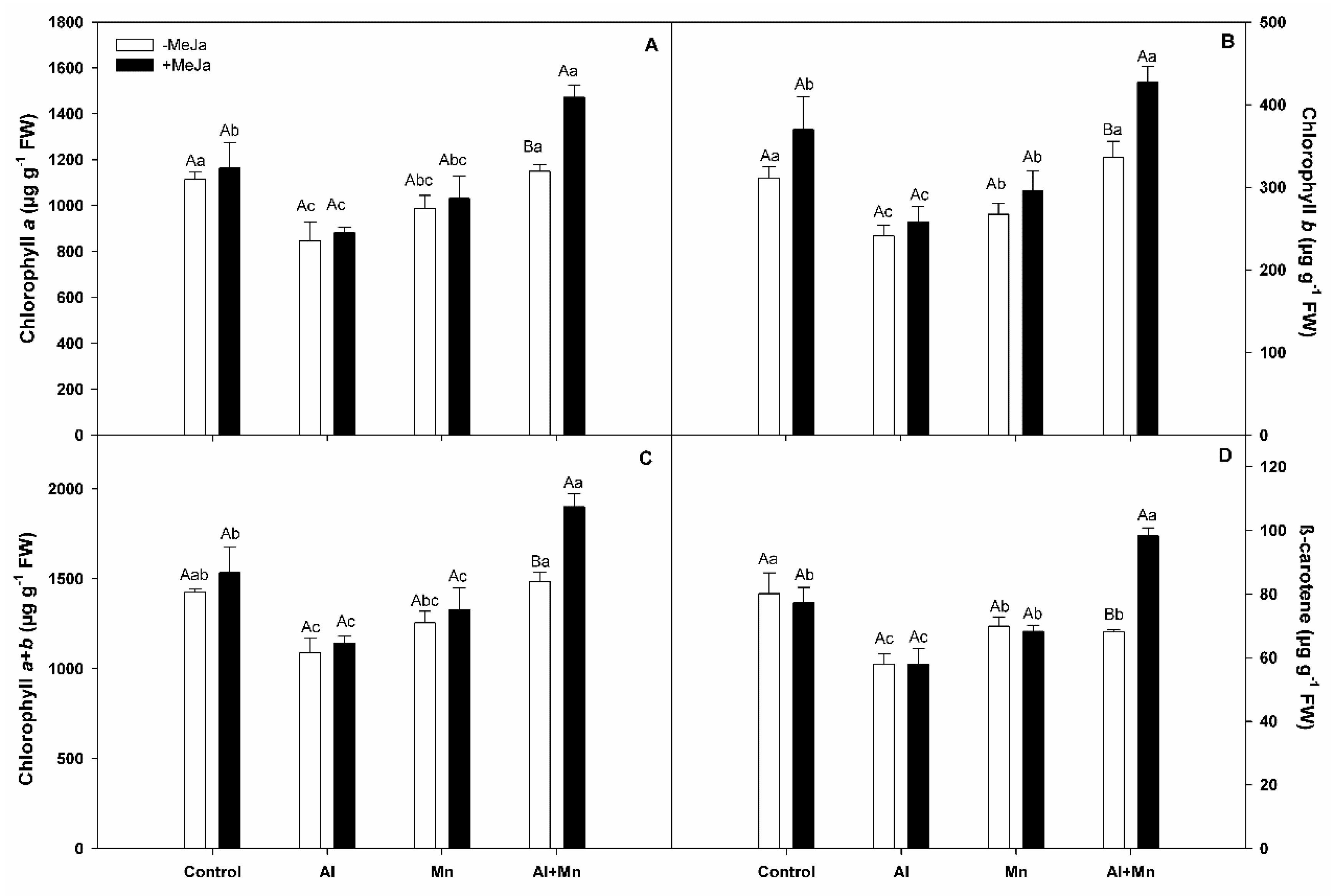
3.2. Photosynthetic Parameters
3.3. Total Phytohormone
3.4. Antioxidant Activity, Total Phenols, and Lipid Peroxidation in Leaves
3.5. Aluminum and Manganese Concentrations and Quality of Fruits
4. Discussion
5. Conclusions
Author Contributions
Funding
Institutional Review Board Statement
Informed Consent Statement
Data Availability Statement
Acknowledgments
Conflicts of Interest
References
- Mora, M.L.; Schnettler, B.; Demanet, R. Effect of liming and gypsum on soil chemistry, yield and mineral composition of ryegrass grown in an acidic Andisol. Commun. Soil Plant Anal. 1999, 33, 2069–2081. [Google Scholar] [CrossRef]
- Bañados, M.P.; Ibáñez, F.; Toso, A.M. Manganese toxicity induces abnormal shoot growth in ‘O’Neal’ blueberry. Acta Hortic. 2009, 810, 67. [Google Scholar] [CrossRef]
- Reyes-Díaz, M.; Inostroza-Blancheteau, C.; Millaleo, R.; Cruces, E.; Wulff-Zottele, C.; Alberdi, M.; Mora, M.L. Long-term aluminum exposure effects on physiological and biochemical features of highbush blueberry cultivars. J. Am. Soc. Hort. Sci. 2010, 135, 212–222. [Google Scholar] [CrossRef] [Green Version]
- González-Villagra, J.; Escobar, A.; Ribera-Fonseca, A.; Carcamo, M.P.; Omena-Garcia, R.; Nunes-Nesi, A.; Inostroza-Blancheteau, C.; Alberdi, M.; Reyes-Díaz, M. Differential mechanisms between traditionally established and new highbush blueberry (Vaccinium corymbosum L.) cultivars reveal new insights into manganese toxicity resistance. Plant Physiol. Biochem. 2021, 158, 454–465. [Google Scholar] [CrossRef]
- Bojórquez-Quintal, E.; Escalante-Magaña, C.; Echeverría-Machado, I.; Martínez-Estévez, M. Aluminum, a friend or foe of higher plants in acid soils. Front. Plant Sci. 2017, 8, 1767. [Google Scholar] [CrossRef]
- Kar, D.; Pradhan, A.; Datta, S. The role of solute transporters in aluminum toxicity and tolerance. Physiol. Plant 2020, 171, 638–652. [Google Scholar] [CrossRef] [PubMed]
- Cárcamo-Fincheira, P.; Reyes-Díaz, M.; Omena-García, R.; Vargas, J.; Alvear, M.; Florez-Sarasa, I.; Rosado-Saouza, L.; Rengel, Z.; Fernie, A.; Nunes-Nesi, A.; et al. Metabolomic analyses of highbush blueberry (Vaccinium corymbosum L.) cultivars revealed mechanisms of resistance to aluminum toxicity. Environ. Exp. Bot. 2021, 183, 104338. [Google Scholar] [CrossRef]
- Reyes-Díaz, M.; Alberdi, M.; Mora, M.L. Short-term aluminum stress differentially affects the photochemical efficiency of photosystem II in highbush blueberry genotypes. J. Am. Soc. Hort. Sci. 2009, 134, 14–21. [Google Scholar] [CrossRef] [Green Version]
- Inostroza-Blancheteau, C.; Rengel, Z.; Alberdi, M.; Mora, M.L.; Aquea, F.; Arce-Johnson, P.; Reyes-Díaz, M. Molecular and physiological strategies to increase Al resistance in plants. Mol. Biol. Rep. 2012, 39, 2069–2079. [Google Scholar] [CrossRef] [PubMed]
- Soto-Cerda, B.J.; Inostroza-Blancheteau, C.; Mathías, M.M.; Peñaloza, E.; Zuñiga, J.; Muñoz, G.; Rengel, Z.; Salvo-Garrido, H. Marker-assisted breeding for TaALMT1, a major gene conferring aluminium tolerance to wheat. Biol. Plant 2015, 59, 83–91. [Google Scholar] [CrossRef]
- Kochian, L.V.; Hoekenga, O.A.; Pineros, M.A. How do crop plants tolerate acid soils? Mechanisms of aluminum tolerance and phosphorous efficiency. Annu. Rev. Plant Biol. 2004, 55, 459–493. [Google Scholar] [CrossRef]
- Millaleo, R.; Reyes-Díaz, M.; Ivanov, A.; Mora, M.L.; Alberdi, M. Manganese as essential and toxic element for plants: Transport, accumulation and resistance mechanisms. J. Soil Sci. Plant Nutr. 2010, 10, 476–494. [Google Scholar] [CrossRef] [Green Version]
- Alejandro, S.; Höller, S.; Meier, B.; Peiter, E. Manganese in plants: From acquisition to subcellular allocation. Front. Plant Sci. 2020, 11, 300. [Google Scholar] [CrossRef] [PubMed] [Green Version]
- Mora, M.L.; Rosas, A.; Ribera, A.E.; Rengel, Z. Differential tolerance to Mn toxicity in perennial ryegrass genotypes: Involvement of antioxidative enzymes and root exudation of carboxylates. Plant Soil 2009, 320, 79–89. [Google Scholar] [CrossRef]
- Rojas Lillo, Y.; Alberdi, M.; Patricio, A.; Inostroza Blancheteau, C.; Rengel, Z.; Mora, M.L.; Reyes-Diaz, M. Manganese toxicity and UV-B radiation differentially influence physiology and biochemistry of highbush blueberry cultivars. Funct. Plant Biol. 2014, 41, 156–167. [Google Scholar] [CrossRef]
- Millaleo, R.; Alvear, M.; Aguilera, P.; González Villagra, J.; Mora, M.L.; Alberdi, M.; Reyes-Diaz, M. Mn toxicity differentially affects physiological and biochemical features in highbush blueberry (Vaccinium corymbosum L.) cultivars. J. Soil Sci. Plant Nutr. 2020, 20, 795–805. [Google Scholar] [CrossRef]
- Blair, L.M.; Taylor, G.J. The nature of interaction between aluminum and manganese on growth and metal accumulation in Triticum aestivum. Environ. Exp. Bot. 1997, 37, 25–37. [Google Scholar] [CrossRef]
- Yang, Z.B.; You, J.F.; Xu, M.Y.; Yang, Z.M. Interaction between aluminum toxicity and manganese toxicity in soybean. Plant Soil 2009, 319, 277–289. [Google Scholar] [CrossRef]
- Nelson, L.E. Tolerances of 20 rice cultivars to excess Al and Mn. Agron. J. 1983, 75, 134–138. [Google Scholar] [CrossRef]
- Ahammed, G.J.; Xia, X.J.; Li, X.; Shi, K.; Yu, J.Q.; Zhou, Y.H. Role of brassinosteroid in plant adaptation to abiotic stresses and its interplay with other hormones. Curr. Protein Pept. Sci. 2015, 16, 462–473. [Google Scholar] [CrossRef] [PubMed]
- Wani, S.; Kumar, V.; Shriram, V.; Kumar Sah, S. Phytohormones and their metabolic engineering for abiotic stress tolerance in crop plants. Crop J. 2016, 4, 162–176. [Google Scholar] [CrossRef] [Green Version]
- Reyes-Díaz, M.; Lobos, T.; Cardemil, L.; Nunes-Nesi, A.; Retamales, J.; Jaakola, L.; Alberdi, M.; Ribera-Fonseca, A. Methyl jasmonate: An alternative for improving the quality and health properties of fresh fruits. Molecules 2016, 31, 567. [Google Scholar] [CrossRef] [Green Version]
- Reyes-Díaz, M.; González-Villagra, J.; Figueroa, C.; Inostroza-Blancheteau, C.; Morales, M.; Bravo, L.A. Jasmonates and plant responses under metal stress. In Jasmonates and Brassinosteroids in Plants: Metabolism, Signaling, Biotechnological Applications; Ramakrishna, A., Sirhindi, G., Eds.; Taylor & Francis CRC Press: London, UK, 2021; in press. [Google Scholar]
- Pérez, A.G.; Sanz, C.; Olías, R.; Olías, J.M. Effect of methyl jasmonate on in vitro strawberry ripening. J. Agric. Food. Chem. 1997, 45, 3733–3737. [Google Scholar] [CrossRef]
- Wang, L.; Stoner, G. Anthocyanins and their role in cancer prevention. Cancer Lett. 2008, 269, 281–290. [Google Scholar] [CrossRef] [Green Version]
- Sayyar, M.; Babalar, M.; Kalantari, S.; Martinez-Romero, D.; Guillén, F.; Serrano, M.; Valero, D. Vapour treatments with methyl salicylate or methyl jasmonate alleviated chilling injury and enhanced antioxidant potential during postharvest storage of pomegranates. Food Chem. 2011, 124, 964–970. [Google Scholar] [CrossRef]
- Yi, T.G.; Park, Y.; Park, J.E.; Park, N. Enhancement of phenolic compounds and antioxidative activities by the combination of culture medium and methyl jasmonate elicitation in hairy root cultures of Lactuca indica L. Nat. Product. Commun. 2019, 14, 1934578X19861867. [Google Scholar] [CrossRef] [Green Version]
- Ulloa-Inostroza, E.M.; Alberdi, M.; Meriño-Gergichevich, C.; Reyes-Díaz, M. Low doses of exogenous methyl jasmonate applied simultaneously with toxic aluminum improve the antioxidant performance of Vaccinium corymbosum. Plant Soil 2017, 412, 81–96. [Google Scholar] [CrossRef]
- Ribera-Fonseca, A.; Jiménez, D.; Leal, P.; Riquelme, I.; Roa, J.C.; Alberdi, M.; Peek, R.M.; Reyes-Díaz, M. The anti-proliferative and anti-invasive effect of leaf extracts of blueberry plants treated with methyl jasmonate on human gastric cancer in vitro is related to their antioxidant properties. Antioxidants 2020, 9, 45. [Google Scholar] [CrossRef] [PubMed] [Green Version]
- Valle, S.R.; Carrasco, J.; Pinochet, D.; Calderini, D.F. Grain yield, above-ground and root biomass of Al-tolerant and Al-sensitive wheat cultivars under different soil aluminum concentrations at field conditions. Plant Soil 2009, 318, 299–310. [Google Scholar] [CrossRef]
- Ulloa-Inostroza, E.M.; Alberdi, M.; Ivanov, A.G.; Reyes-Díaz, M. Protective effect of methyl jasmonate on photosynthetic performance and its association with antioxidants in two blueberry cultivars with contrasting Al-resistance exposed to Al-toxic. J. Soil Sci. Plant Nutr. 2019, 19, 203–216. [Google Scholar] [CrossRef]
- Hoffmann, W.A.; Poorter, H. Avoiding bias in calculations of relative growth rate. Ann. Bot. 2002, 90, 37–42. [Google Scholar] [CrossRef] [Green Version]
- Angélica, S.R.; María Adriana, C.R.; Rolando, D.F.; Hugo, F.P.; Renato, G.Z.; María de la Luz, M.G.; Alexander, N. Métodos de Análisis de Tejidos Vegetales [en línea]; Serie Actas; Instituto de Investigaciones Agropecuarias: Santiago, Chile, 2007. [Google Scholar]
- Sarwar, M.; Kremer, R.J. Determination of bacterially derived auxins using a microplate method. Lett. Appl. Microbiol. 1995, 20, 282–285. [Google Scholar] [CrossRef]
- Glickmann, E.; Dessaux, Y. A critical examination of the specificity of the salkowski reagent for indolic compounds produced by phytopathogenic bacteria. Appl. Environ. Microbiol. 1995, 61, 793–796. [Google Scholar] [CrossRef] [PubMed] [Green Version]
- García-Plazaola, J.I.; Becerril, J.M. A rapid HPLC method to measure lipophilic antioxidants in stressed plants: Simultaneous determination of carotenoids and tocopherols. Phytochem. Anal. 1999, 10, 307–313. [Google Scholar] [CrossRef]
- Chinnici, F.; Bendini, A.; Gaiani, A.; Riponi, C. Radical scavenging activities of peels and pulps from cv. Golden Delicious apples as related to their phenolic composition. J. Agric. Food Chem. 2004, 52, 4684–4689. [Google Scholar] [CrossRef] [PubMed]
- Slinkard, K.; Singleton, V.A. Total phenol analysis: Automation and comparison with manual methods. Am. J. Enol. Vitic. 1977, 28, 29–55. [Google Scholar]
- Du, Z.; Bramlage, W.J. Modified thiobarbituric acid assay for measuring lipid peroxidation in sugar rich plant tissue extracts. J. Agric. Food Chem. 1992, 40, 1566–1570. [Google Scholar] [CrossRef]
- Karla, Y.P. Handbook of Reference Methods for Plant Analysis; CRC Press: Boca Raton, FL, USA, 1998; pp. 165–170. [Google Scholar]
- Kochian, L.V. Cellular mechanisms of aluminum toxicity and resistance in plants. Annu. Rev. Plant Physiol. Plant Mol. Biol. 1995, 46, 237–260. [Google Scholar] [CrossRef]
- Lidon, F.; Barreiro, M.G.; Lauriano, J. Effects of aluminium toxicity on nutrient accumulation in maize shoots: Implications on photosynthesis. J. Plant Nutr. 1999, 22, 397–416. [Google Scholar] [CrossRef]
- Bose, J.; Babourina, O.; Ma, Y.; Zhou, M.; Shabala, S.; Rengel, Z. Specificity of ion uptake and homeostasis maintenance during acid and aluminium stresses in Aluminum Stress Adaptation in Plants. In Signaling Communication in Plants; Panda, S.K., Baluska, F., Eds.; Springer International Publishing: Cham, Switzerland, 2015; Volume 24, pp. 229–251. [Google Scholar] [CrossRef]
- Reyes-Díaz, M.; Inostroza-Blancheteau, C.; Berríos, G.; Deppe, M.; Demanet, R.; Alberdi, M. Physiological traits and Mn transporter genes expression in ryegrass genotypes under increasing Mn at short-term. Plant Physiol. Biochem. 2017, 118, 218–227. [Google Scholar] [CrossRef]
- Wang, W.; Zhao, X.Q.; Hu, Z.M.; Shao, J.F.; Che, J.; Chen, R.F.; Dong, X.Y.; Shen, R.F. Aluminium alleviates manganese toxicity to rice by decreasing root symplastic Mn uptake and reducing availability to shoots of Mn stored in roots. Ann. Bot. 2015, 116, 237–246. [Google Scholar] [CrossRef] [PubMed] [Green Version]
- Muhammad, N.; Cai, S.; Shah, J.M.; Zhang, G.P. The combined treatment of Mn and Al alleviates the toxicity of Al or Mn stress alone in barley. Acta Physiol. Plant 2016, 38, 277. [Google Scholar] [CrossRef]
- Cheong, J.J.; Do Choi, Y. Methyl jasmonate as a vital substance in plants. Trends Genet. 2003, 19, 409–413. [Google Scholar] [CrossRef]
- Chen, X.; Jiang, W.; Tong, T.; Chen, G.; Zeng, F.; Jang, S.; Gao, W.; Li, Z.; Mak, M.; Deng, F.; et al. Molecular Interaction and Evolution of Jasmonate Signaling With Transport and Detoxification of Heavy Metals and Metalloids in Plants. Front. Plant Sci. 2021, 12, 665842. [Google Scholar] [CrossRef] [PubMed]
- Piotrowska-Niczyporuk, A.; Bajguz, A.; Kotowska, U.; Zambrzycka-Szelewa, E.; Sienkiewicz, A. Auxins and cytokinins regulate phytohormone homeostasis and thiol-mediated detoxification in the green alga Acutodesmus obliquus exposed to lead stress. Sci. Rep. 2020, 10, 10193. [Google Scholar] [CrossRef] [PubMed]
- Anjum, S.A.; Wang, A.; Farooq, M.; Khan, I.; Xue, L. Methyl jasmonate-induced alteration in lipid peroxidation, antioxidative defence system and yield in soybean under drought. J. Agron. Crop Sci. 2011, 197, 296–301. [Google Scholar] [CrossRef]
- Mohamed, H.I.; Latif, H.H. Improvement of drought tolerance of soybean plants by using methyl jasmonate. Physiol. Mol. Biol. Plants 2017, 23, 545–556. [Google Scholar] [CrossRef] [PubMed]
- Mendoza, D.; Cuaspud, O.; Arias, J.P.; Ruiz, O.; Arias, M. Effect of salicylic acid and methyl jasmonate in the production of phenolic compounds in plant cell suspension cultures of Thevetia peruviana. Biotechnol. Rep. 2018, 3, e00273. [Google Scholar] [CrossRef]
- Maciejewska, B.; Kopcewicz, J. Inhibitory effect of methyl jasmonate on flowering and elongation growth in Pharbitis nil. J. Plant Growth Regul. 2002, 21, 216–223. [Google Scholar] [CrossRef]
- Farooq, M.A.; Gill, R.A.; Islam, F.; Ali, B.; Liu, H.; Xu, J.; He, S.; Zhou, W. Methyl jasmonate regulates antioxidant defense and suppresses arsenic uptake in Brassica napus L. Front. Plant Sci. 2016, 7, 468. [Google Scholar] [CrossRef] [Green Version]
- Per, T.S.; Khan, N.A.; Masood, A.; Fatma, M. Methyl jasmonate alleviates cadmium-induced photosynthetic damages through increased S-assimilation and glutathione production in mustard. Front. Plant Sci. 2016, 7, 1933. [Google Scholar] [CrossRef] [PubMed] [Green Version]
- Li, T.; Jiang, Z.; Zhang, L.; Tan, D.; Wei, Y.; Yuan, H.; Li, T.; Wang, A. Apple (Malus domestica) MdERF2 negatively affects ethylene biosynthesis during fruit ripening by suppressing MdACS1 transcription. Plant J. 2016, 88, 735–748. [Google Scholar] [CrossRef] [PubMed]
- Flores, G.; Ruiz del Castillo, M.L. Influence of preharvest and postharvest methyl jasmonate treatments on flavonoid content and metabolomic enzymes in red raspberry. Postharvest Biol. Technol. 2014, 97, 77–82. [Google Scholar] [CrossRef] [Green Version]
- Kucuker, E.; Ozturk, B.; Celik, S.M.; Aksit, H. Pre-harvest spray application of methyl jasmonate plays an important role in fruit ripening, fruit quality and bioactive compounds of Japanese plums. Sci. Hortic. 2014, 176, 162–169. [Google Scholar] [CrossRef]
- Martínez-Esplá, A.; Zapata, P.J.; Castillo, S.; Guillén, F.; Martínez-Romero, D.; Valero, D.; Serrano, M. Preharvest application of methyl jasmonate (MeJA) in two plum cultivars. 1. Improvement of fruit growth and quality attributes at harvest. Postharvest Biol. Technol. 2014, 98, 98–105. [Google Scholar] [CrossRef]
- Zapata, P.J.; Martínez-Esplá, A.; Guillén, F.; Díaz-Mula, H.M.; Martínez-Romero, D.; Serrano, M.; Valero, D. Preharvest application of methyl jasmonate (MeJA) in two plum cultivars. 2. Improvement of fruit quality and antioxidant systems during postharvest storage. Postharvest Biol. Technol. 2014, 98, 115–122. [Google Scholar] [CrossRef]
- Hua, Z.; Zhen-Yu, W.; Xin, Y.; Hai-Tian, Z.; Ying-Chun, Z.; Ai-Jun, D.; Jing, J.; Jing, W. Determination of free amino acids and 18 elements in freeze-dried strawberry and blueberry fruit using an Amino Acid Analyzer and ICP-MS with micro-wave digestion. Food Chem. 2014, 147, 189–194. [Google Scholar] [CrossRef]
- Zeiner, M.; Cindrić, I.J. Harmful elements (Al, Cd, Cr, Ni, and Pb) in wild berries and fruits collected in Croatia. Toxics 2018, 6, 31. [Google Scholar] [CrossRef] [Green Version]
- Masahiro, K.; Kato-Negish, M. Link between aluminum and the pathogenesis of Alzheimer’s disease: The integration of the aluminum and amyloid cascade hypotheses. Int. J. Alzheimers Dis. 2011, 2011, 276393. [Google Scholar] [CrossRef] [Green Version]
- FAO/WHO. Evaluation of Certain Food Additives and Contaminants: Seventy-Fourth Report of the Joint FAO/WHO Expert Committee on Food Additives; WHO Technical Report Series; WHO: Geneva, Switzerland, 2011; p. 966. [Google Scholar]
- Fernández-Maestre, R. Aluminum: Intake, absorption, excretion and toxicity. Rev. Costarr. Publica 2014, 23, 113–118. [Google Scholar]




| CO2 Assimilation (µmol CO2 m−2 s−1) | Stomatal Conductance (mol H2O m−2 s−1) | Transpiration (mmol H2O m−2 s−1) | SPAD (Chlorophyll Content Index) | |
|---|---|---|---|---|
| Control | 7.48 ± 0.66 Aa | 0.65 ± 0.02 Aa | 1.54 ± 0.05 Aa | 22.9 ± 0.9 Aa |
| Control + MeJA | 7.21 ± 0.35 Aa | 0.65 ± 0.04 Aa | 1.42 ± 0.05 Aa | 22.3 ± 1.5 Ab |
| Al | 7.10 ± 0.47 Aa | 0.60 ± 0.04 Aa | 1.42 ± 0.08 Aa | 25.1 ± 2.3 Aa |
| Al + MeJA | 8.25 ± 0.60 Aa | 0.63 ± 0.05 Aa | 1.55 ± 0.06 Aa | 26.7 ± 2.1 Aa |
| Mn | 7.25 ± 0.55 Aa | 0.61 ± 0.04 Aa | 1.58 ± 0.12 Aa | 24.7 ± 0.9 Aa |
| Mn + MeJA | 7.67 ± 0.30 Aa | 0.65 ± 0.03 Aa | 1.48 ± 0.11 Aa | 22.6 ± 1.1 Ab |
| Al–Mn | 7.06 ± 0.41 Aa | 0.65 ± 0.00 Aa | 1.53 ± 0.10 Aa | 23.6 ± 1.6 Aa |
| Al–Mn + MeJA | 7.45 ± 0.50 Aa | 0.66 ± 0.02 Aa | 1.59 ± 0.13 Aa | 24.2 ± 0.9 Aab |
| Fruit Al Concentration (mg kg−1 DW) | Fruit Mn Concentration(mg kg−1 DW) | Equatorial Diameter (mm) | Soluble Solids (°Brix) | Firmness (gf mm−1) | |
|---|---|---|---|---|---|
| Control | 12.0 ± 1.0 Bd | 4.7 ± 0.3 Bc | 17 ± 0.2 Aa | 14.3 ± 0.02 Aa | 131 ± 6.6 Ab |
| Control + MeJA | 20.8 ± 0.3 Ad | 5.7 ± 0.3 Ac | 15 ± 0.2 Ba | 13.7 ± 0.2 Aab | 137 ± 4.3 A |
| Al | 32.5 ± 1.5 Bb | 4.7 ± 0.8 Bc | 16 ± 0.4 Ab | 14.6 ± 0.5 Aa | 141 ± 9.0 Aab |
| Al + MeJA | 47.8 ± 3.4 Aa | 6.8 ± 0.6 Ab | 16 ± 0.2 Aa | 13.2 ± 0.5 Bb | 143 ± 3.3 A |
| Mn | 22.5 ± 2.6 Bc | 6.8 ± 0.6 Ab | 16 ± 0.5 Ab | 15.1 ± 0.1 Aa | 133 ± 5.0 Bb |
| Mn + MeJA | 27.2 ± 0.9 Ac | 6.5 ± 0.5 Ab | 16 ± 0.5 Aa | 14.3 ± 0.5 Ba | 157 ± 6.0 A |
| Al–Mn | 47.8 ± 3.4 Aa | 16.5 ± 0.9 Aa | 16 ± 0.3 Ab | 12.5 ± 0.1 Bb | 150 ± 1.1 Ba |
| Al–Mn + MeJA | 30.8 ± 0.8Bb | 17.3 ± 0.3Aa | 16 ± 0.8 Aa | 14.2 ± 0.3 Aab | 171 ± 5.8 A |
Publisher’s Note: MDPI stays neutral with regard to jurisdictional claims in published maps and institutional affiliations. |
© 2021 by the authors. Licensee MDPI, Basel, Switzerland. This article is an open access article distributed under the terms and conditions of the Creative Commons Attribution (CC BY) license (https://creativecommons.org/licenses/by/4.0/).
Share and Cite
González-Villagra, J.; Pino, R.; Inostroza-Blancheteau, C.; Cartes, P.; Ribera-Fonseca, A.; Reyes-Díaz, M. Pre-Harvest MeJA Application Counteracts the Deleterious Impact of Al and Mn Toxicity in Highbush Blueberry Grown in Acid Soils. Plants 2021, 10, 2730. https://doi.org/10.3390/plants10122730
González-Villagra J, Pino R, Inostroza-Blancheteau C, Cartes P, Ribera-Fonseca A, Reyes-Díaz M. Pre-Harvest MeJA Application Counteracts the Deleterious Impact of Al and Mn Toxicity in Highbush Blueberry Grown in Acid Soils. Plants. 2021; 10(12):2730. https://doi.org/10.3390/plants10122730
Chicago/Turabian StyleGonzález-Villagra, Jorge, Rocio Pino, Claudio Inostroza-Blancheteau, Paula Cartes, Alejandra Ribera-Fonseca, and Marjorie Reyes-Díaz. 2021. "Pre-Harvest MeJA Application Counteracts the Deleterious Impact of Al and Mn Toxicity in Highbush Blueberry Grown in Acid Soils" Plants 10, no. 12: 2730. https://doi.org/10.3390/plants10122730
APA StyleGonzález-Villagra, J., Pino, R., Inostroza-Blancheteau, C., Cartes, P., Ribera-Fonseca, A., & Reyes-Díaz, M. (2021). Pre-Harvest MeJA Application Counteracts the Deleterious Impact of Al and Mn Toxicity in Highbush Blueberry Grown in Acid Soils. Plants, 10(12), 2730. https://doi.org/10.3390/plants10122730

