Modeling Words for Qualitative Distance Based on Interval Type-2 Fuzzy Sets
Abstract
1. Introduction
2. Background
2.1. CWW
2.2. IT2 FS
2.3. IT2 FS Uncertainty Measures
2.3.1. Fuzziness (Entropy) of an IT2 FS
2.3.2. Variance of an IT2 FS
3. Modeling Qualitative Distance Words
3.1. Collecting Data
3.2. The Improved HMA Algorithm
3.2.1. Data Processing
- (1)
- Correcting and removing bad data. As not everyone takes a survey seriously, some bad data may seriously pollute the interval sets and affect the statistics. To ensure the correctness of the statistical results, the intervals of the i-th subject should be removed if one of the following four conditions is true: (1) The data intervals of the i-th subject overlap with each other; (2) there is some gap between these intervals; (3) the value of the interval that corresponds to “very far” is greater than the threshold; (4) all intervals of the i-th subject are much larger or smaller than others. If the value of the interval corresponding to “very far” is greater than the threshold (different thresholds for four travel modes are set in Section 3.1), then should be set as the threshold. If the value of the interval corresponding to “very near” is greater than 0, then should be set to 0. subject intervals will remain.
- (2)
- Normalizing the data. As mentioned previously, the thresholds for the four travel modes are different. For the sake of convenience, these data should be normalized into a unified range. All subject intervals are normalized into the same range using the threshold value, and l = 0 and r = 10 are set.
- (3)
- Performing outlier processing. To remove some of the noise in the data set, outlier processing is necessary. In this section, the box and whisker tests [41] are performed for the remaining intervals, i.e., only the intervals satisfying Equation (10) are keptwhere (, ) and (, ) are the quartile and interquartile ranges for the left (right) endpoints and the interval length, with .
- (4)
- Performing tolerance limit processing on the remainingintervals simultaneously. The goal of this stage is to guarantee that the data intervals fall within an acceptable two-sided tolerance limit. Only intervals satisfying Equation (11) are kept.where is the tolerance factor (refer to Reference [32] for detailed information). After tolerance limit processing, data intervals will remain, and the data statistics , , , , , will then be recomputed.
- (5)
- Performing reasonable interval processing. The goal of this stage is to remove data intervals that do not overlap or overlap only slightly with other data intervals. First, the point that best separates the left and the right endpoints set must be found.where . Then, only intervals satisfying Equation (13) are kept. This step reduces the interval endpoints to interval endpoints. The data statistics , , , are then recomputed.
3.2.2. Establishing IT2 FSs for Distance Words
- (1)
- Determining the type of FOU of each word. Three kinds of FOU exist: left-shoulder, right-shoulder and interior FOU, as shown in Figure 3. For an interval set , the one-sided tolerance intervals are computed first, namely, and . , , and are calculated in the last step of the data processing step, and is a one-sided tolerance. Detailed information can be found in Reference [42]. Next, the types of FOU that correspond to each word can be classified as follows:
- (2)
- Determining the overlap interval of the interval set .
- (3)
- (4)
- Determining the parameters of the IT2 FS. As shown in Figure 4, the unknown parameters for the left-shoulder FOU (or right-shoulder FOU) are and ( and ). For the interior FOU, four unknown parameters exist: , , and . The set is used to determine and and is used to determine and .
4. Experimental Results and Analysis
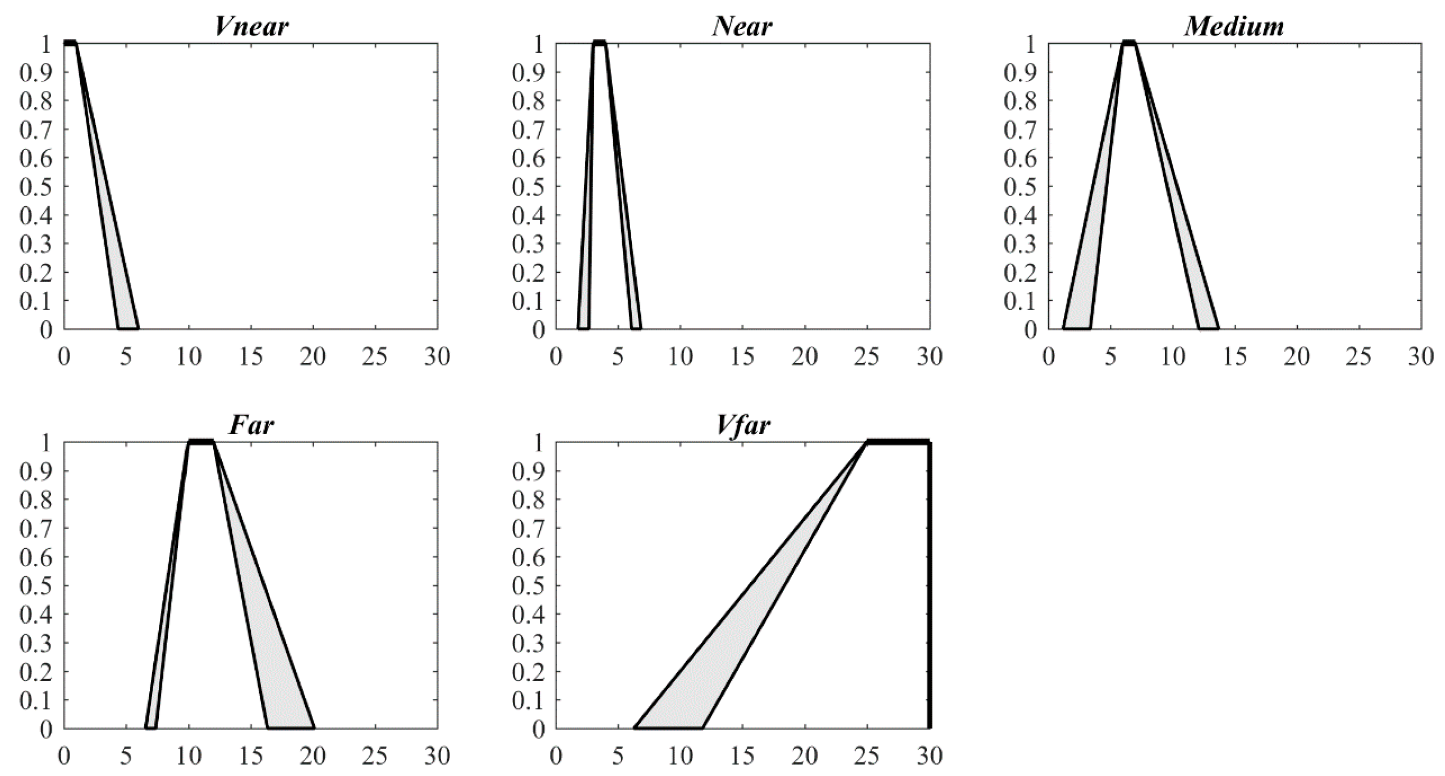
4.1. General Description of the Qualitative Distance Model
4.2. Comparison with HMA
4.3. Compactness and Fuzziness Analysis
4.4. Comparison with Other Methods
4.5. Practical Application
5. Conclusions
Author Contributions
Funding
Acknowledgments
Conflicts of Interest
Appendix A
- (1)
- If you are at home or at school and you have to walk to eat or go shopping, what distance do you regard as far (within 5 km)? Please fill in the following blanks:From m to m is Very near; from m to m is Near;From m to m is Medium; from m to m is Far;From m to m is Very far;
- (2)
- If you are at home or at school and you have to ride a bike to eat or go shopping, what distance do you regard as far (within 10 km)? Please fill in the following blanks:From m to m is Very near; from m to m is Near;From m to m is Medium; from m to m is Far;From m to m is Very far;
- (3)
- If you are at home or at school and you have to take a bus or a subway to eat or play, what distance do you regard as far (usually in the inner city; using Tianjin as an example, from Tianjin Normal University to the Huayuan village is 3 km, to Binjiang Road is 9 km, to Binhai New Area is 30 km, etc.)? Please fill in the following blanks:From km to km is Very near; from km to km is Near;From km to km is Medium; from km to km is Far;From km to km is Very far;
- (4)
- If you are going to travel by train or bus on National Day, what distance do you regard as far (usually between cities; for example, from Tianjin to Jizhou District is approximately 100 km, to Beijing is approximately 120 km, to Shanghai is approximately 1000 km, to Guangdong is approximately 2000 km, to Xi’an is approximately 1600 km, to Harbin is approximately 1000 km, etc.)? Please fill in the following blanks:From km to km is Very near; from km to km is Near;From km to km is Medium; from km to km is Far;From km to km is Very far.
Appendix B
| Abbreviation | Full Name |
|---|---|
| GISs | geographical information systems |
| AI | artificial intelligence |
| DSSs | decision support systems |
| NLSR | natural language spatial relation |
| FRF | the fuzzy random forest |
| T1 FS | type-1 fuzzy set |
| T2 FS | type-2 fuzzy set |
| IT2 FS | interval type-2 fuzzy set |
| IVFS | interval-valued fuzzy set |
| CWW | computing with words |
| HMA | The Hao–Mendel approach |
| PIS | personalized individual semantics |
| Per-C model | perceptual computer model |
| GPC model | geographic perceptual computing model |
| KM algorithm | the Karnik-Mendel (KM) algorithm |
| UMF | upper membership function |
| LMF | lower membership function |
| FOU | footprint of uncertainty |
| SRAS | spatial relation acquisition station |
| ANFIS | the Adaptive Neurofuzzy Inference System |
References
- Bloch, I. Fuzzy spatial relationships for image processing and interpretation: A review. Image Vis. Comput. 2005, 23, 89–110. [Google Scholar] [CrossRef]
- Chang, K.T. Introduction to Geographic Information Systems, 8th ed.; McGraw-Hill: New York, NY, USA, 2006. [Google Scholar]
- Dube, M.P. Algebraic Refinements of Direction Relations through Topological Augmentation. Ph.D. Thesis, University of Maine, Orono, ME, USA, 2016. [Google Scholar]
- Kuipers, B. Modeling spatial knowledge. Cogn. Sci. 1978, 2, 129–153. [Google Scholar] [CrossRef]
- Vanegas, M.C.; Bloch, I.; Inglada, J. Fuzzy constraint satisfaction problem for model-based image interpretation. Fuzzy Sets Syst. 2016, 286, 1–29. [Google Scholar] [CrossRef]
- Clementini, E.; Di Felice, P.; Hernandez, D. Qualitative representation of positional information. Artif. Intell. 2016, 95, 317–356. [Google Scholar] [CrossRef]
- Jackendoff, R.; Landau, B. Spatial language and spatial cognition. In Languages of the Mind: Essays on Mental Representation; MIT Press: Cambridge, MA, USA, 1992. [Google Scholar]
- Levinson, S.C. Space in Language and Cognition: Explorations in Cognitive Diversity; Cambridge University Press: Cambridge, MA, USA, 2003. [Google Scholar]
- Lu, F.; Zhang, H. Big Data and Generalized GIS. Geomat. Inf. Sci. Wuhan Univ. 2014, 39, 645–654. [Google Scholar]
- Wang, X.; Du, S.; Feng, C.C.; Zhang, X.; Zhang, X. Interpreting the Fuzzy Semantics of Natural-Language Spatial Relation Terms with the Fuzzy Random Forest Algorithm. Int. J. Geo-Inf. 2018, 7, 58. [Google Scholar] [CrossRef]
- Yao, X.; Thill, J. How Far Is Too Far?—A Statistical Approach to Context-contingent Proximity Modeling. Trans. GIS 2005, 9, 157–178. [Google Scholar] [CrossRef]
- Du, S.; Wang, X.; Feng, C.C.; Zhang, X. Classifying natural-language spatial relation terms with random forest algorithm. Int. J. Geogr. Inf. Sci. 2017, 31, 542–568. [Google Scholar] [CrossRef]
- Gahegan, M. Proximity operators for qualitative spatial reasoning. In Spatial Information Theory: A Theoretical Basis for GIS; Lecture Notes in Computer Science Frank; Frank, A.U., Kuhn, W., Eds.; Springer: Berlin, Germany, 1995; Volume 988, pp. 31–44. [Google Scholar]
- Schockaert, S. Reasoning about Fuzzy Temporal and Spatial Information from the Web. Ph.D. Thesis, Ghent University, Ghent, Belgium, 2008. [Google Scholar]
- Worboys, M.F. Metrics and topologies for geographic space. In Advances in Geographic Information Systems Research II: Proceedings of the International Symposium on Spatial Data Handling; Kraak, M.J., Molenaar, M., Eds.; Taylor and Francis: London, UK, 1996; pp. 365–376. [Google Scholar]
- Yao, X.; Thill, J. Neurofuzzy Modeling of Context–Contingent Proximity Relations. Geogr. Anal. 2007, 39, 169–194. [Google Scholar] [CrossRef]
- Hall, M.; Smart, P.; Jones, C. Interpreting spatial language in image captions. Cogn. Process. 2011, 12, 67–94. [Google Scholar] [CrossRef] [PubMed]
- Jamshidi-Zanjani, A.; Rezaei, M. Landfill site selection using combination of fuzzy logic and multiattribute decision-making approach. Environ. Earth Sci. 2017, 76, 448. [Google Scholar] [CrossRef]
- Tezuka, T.; Lee, R.; Takakura, H.; Kambayashi, Y. Models for Conceptual Geographical Prepositions Based on Web Resource. J. Geogr. Inf. Decis. Anal. 2011, 5, 83–94. [Google Scholar]
- Fisher, P.F.; Orf, T.M. An investigation of the meaning of near and close on a university campus. Comput. Environ. Urban Syst. 1991, 15, 23–35. [Google Scholar] [CrossRef]
- Robinson, V.B. Individual and multipersonal fuzzy spatial relations acquired using human-machine interaction. Fuzzy Sets Syst. 2000, 113, 133–145. [Google Scholar] [CrossRef]
- Worboys, M.F. Nearness relations in environmental space. Int. J. Geogr. Inf. Sci. 2001, 15, 633–651. [Google Scholar] [CrossRef]
- Mendel, J.M.; Wu, D. Perceptual Computing: Aiding People in Making Subjective Judgments; Books in the IEEE Press Series on Computational Intelligence; IEEE Press: New York, NY, USA, 2010. [Google Scholar]
- Mendel, J.M. Fuzzy sets for words: A new beginning. In Proceedings of the 2003 12th IEEE International Conference on Fuzzy Systems, St. Louis, MO, USA, 25–28 May 2003; Institute of Electrical and Electronics Engineers: Piscataway, NJ, USA, 2003; pp. 37–42. [Google Scholar]
- Mendel, J.M. A comparison of three approaches for estimating (synthesizing) an interval type-2 fuzzy set model of a linguistic term for computing with words. Granul. Comput. 2016, 1, 59–69. [Google Scholar] [CrossRef]
- Hao, M.; Mendel, J.M. Encoding Words into Normal Interval Type-2 Fuzzy Sets: HM Approach. IEEE Trans. Fuzzy Syst. 2016, 24, 865–879. [Google Scholar] [CrossRef]
- Zadeh, L.A. Computing with Words: Principal Concepts and Ideas. Studies in Fuzziness and Soft Computing; Springer: Berlin/Heidelberg, Germany, 2012. [Google Scholar]
- Zadeh, L.A. From computing with numbers to computing with words-from manipulation of measurements to manipulation of perceptions. IEEE Trans. Circuit Syst. I: Fundam. Theory Appl. 1999, 45, 105–109. [Google Scholar] [CrossRef]
- Rodríguez, R.; Labella, M.Á.; Martínez, L. An Overview on Fuzzy Modelling of Complex Linguistic Preferences in Decision Making. Int. J. Comput. Intell. Syst. 2016, 9 (Suppl. 1), 81–94. [Google Scholar] [CrossRef]
- Wang, J.H.; Hao, J. A new version of 2-tuple fuzzy linguistic representation model for computing with words. IEEE Trans. Fuzzy Syst. 2006, 14, 435–445. [Google Scholar] [CrossRef]
- Wu, D. A reconstruction decoder for computing with words. Inf. Sci. 2014, 255, 1–15. [Google Scholar] [CrossRef]
- Li, C.C.; Dong, Y.; Herrera, F.; Herrera-Viedma, E.; Martínez, L. Personalized individual semantics in computing with words for supporting linguistic group decision making. An application on consensus reaching. Inf. Fusion 2017, 33, 29–40. [Google Scholar] [CrossRef]
- Guo, J.F.; Shao, X.D. A fine fuzzy spatial partitioning model for line objects based on computing with words and application in natural language spatial query. J. Intell. Fuzzy Syst. 2017, 32, 2017–2032. [Google Scholar] [CrossRef]
- Mendel, J.M. Uncertain Rule-Based Fuzzy Systems Introduction and New Directions, 2nd ed.; Springer Publishing Company: New York, NY, USA, 2017. [Google Scholar]
- Sola, H.B.; Fernandez, J.; Hagras, H.; Herrera, F.; Pagola, M.; Barrenechea, E. Interval Type-2 Fuzzy Sets are Generalization of Interval-Valued Fuzzy Sets: Toward a Wider View on Their Relationship. IEEE Trans. Fuzzy Syst. 2015, 23, 1876–1882. [Google Scholar] [CrossRef]
- Wu, D.; Mendel, J.M. Uncertainty measures for interval type-2 fuzzy sets. Inf. Sci. 2007, 177, 5378–5393. [Google Scholar] [CrossRef]
- Burillo, P.; Bustince, H. Entropy on intuitionistic fuzzy sets and on interval-valued fuzzy sets. Fuzzy Sets Syst. 1996, 78, 305–316. [Google Scholar] [CrossRef]
- Cornelis, C.; Kerre, E. Inclusion measures in intuitionistic fuzzy set theory. In Lecture Notes in Computer Science LNCS; Springer: Berlin, Germany, 2004; Volume 2711, pp. 345–356. [Google Scholar]
- Karnik, N.N.; Mendel, J.M. Centroid of a type-2 fuzzy set. Inf. Sci. 2001, 132, 195–220. [Google Scholar] [CrossRef]
- Karnik, N.N.; Mendel, J.M. Applications of type-2 fuzzy logic systems to forecasting of time-series. Inf. Sci. 1999, 120, 89–111. [Google Scholar] [CrossRef]
- Walpole, R.E.; Myers, R.H.; Myers, S.L.; Ye, K. Probability Statistics Engineers Scientists, 9th ed.; Prentice-Hall: Upper Saddle River, NJ, USA, 2012. [Google Scholar]
- Wu, D.; Mendel, J.M.; Coupland, S. Enhanced interval approach for encoding words into interval type-2 fuzzy sets and its convergence analysis. IEEE Trans. Fuzzy Syst. 2012, 20, 499–513. [Google Scholar]
- Grütter, R.; Scharrenbach, T.; Waldvogel, B. Vague spatio-thematic query processing: A qualitative approach to spatial closeness. Trans. GIS 2010, 14, 97–109. [Google Scholar] [CrossRef]










| Travel Mode | Distance Word | Parameters of UMF (km) | Parameters of LMF (km) | (km) | (km) | ||||||
|---|---|---|---|---|---|---|---|---|---|---|---|
| Walk | Vnear | 0.00 | 0.00 | 0.01 | 0.61 | 0.00 | 0.00 | 0.01 | 0.40 | 0.01 | 0.61 |
| Near | 0.00 | 0.40 | 0.50 | 0.63 | 0.00 | 0.40 | 0.50 | 0.54 | 0.10 | 0.63 | |
| Medium | 0.15 | 0.70 | 0.80 | 1.26 | 0.27 | 0.70 | 0.80 | 1.06 | 0.10 | 1.11 | |
| Far | 0.01 | 1.50 | 1.60 | 2.83 | 0.45 | 1.50 | 1.60 | 2.63 | 0.10 | 2.82 | |
| Vfar | 0.71 | 3.00 | 5.00 | 5.00 | 1.90 | 3.00 | 5.00 | 5.00 | 2.00 | 4.29 | |
| Cycle | Vnear | 0.00 | 0.00 | 0.10 | 2.09 | 0.00 | 0.00 | 0.10 | 1.51 | 0.10 | 2.06 |
| Near | 0.00 | 0.80 | 1.00 | 1.16 | 0.20 | 0.80 | 1.00 | 1.00 | 0.20 | 1.16 | |
| Medium | 0.74 | 2.00 | 2.20 | 3.07 | 1.26 | 2.00 | 2.20 | 2.83 | 0.20 | 2.33 | |
| Far | 0.20 | 3.50 | 4.00 | 6.74 | 1.22 | 3.50 | 4.00 | 5.91 | 0.50 | 6.53 | |
| Vfar | 0.00 | 8.00 | 10.00 | 10.00 | 0.94 | 8.00 | 10.00 | 10.00 | 4.00 | 9.26 | |
| Public transportation | Vnear | 0.00 | 0.00 | 1.00 | 6.02 | 0.00 | 0.00 | 1.00 | 4.39 | 1.00 | 6.08 |
| Near | 1.78 | 3.00 | 4.00 | 6.85 | 2.66 | 3.00 | 4.00 | 6.10 | 1.00 | 5.06 | |
| Medium | 1.20 | 6.00 | 7.00 | 13.73 | 3.39 | 6.00 | 7.00 | 12.12 | 1.00 | 12.53 | |
| Far | 6.59 | 10.0 | 12.00 | 20.12 | 7.41 | 10.0 | 12.00 | 16.34 | 2.00 | 12.22 | |
| Vfar | 6.27 | 25.0 | 30.0 | 30.00 | 11.79 | 25.0 | 30.00 | 30.00 | 5.00 | 23.73 | |
| Train | Vnear | 0 | 0 | 100 | 129 | 0 | 0 | 100 | 110 | 100.0 | 130.10 |
| Near | 68.6 | 120 | 150 | 476.1 | 87.4 | 120 | 150 | 354.9 | 30.00 | 415.20 | |
| Medium | 44.1 | 500 | 600 | 1039 | 251.9 | 500 | 600 | 841 | 100.0 | 1009.4 | |
| Far | 28.2 | 800 | 1000 | 1313 | 251.8 | 800 | 1000 | 1023 | 200.0 | 1438.8 | |
| Vfar | 0 | 1800 | 2000 | 2000 | 536 | 1800 | 2000 | 2000 | 300.0 | 1913.6 | |
| Travel Mode | Uncertainty Index | HMA | Improved HMA | ||||||||||
|---|---|---|---|---|---|---|---|---|---|---|---|---|---|
| Vnear | Near | Medium | Far | Vfar | Total | Vnear | Near | Medium | Far | Vfar | Total | ||
| Walk | Area of FOU | 0.05 | 0.10 | 0.28 | 1.00 | 0.83 | 2.26 | 0.10 | 0.05 | 0.16 | 0.32 | 0.60 | 1.22 |
| Fuzziness 1 | 0.34 | 0.31 | 0.32 | 0.35 | 0.36 | 1.70 | 0.35 | 0.22 | 0.33 | 0.35 | 0.36 | 1.61 | |
| Fuzziness 2 | 1.78 | 3.27 | 9.43 | 33.44 | 27.86 | 75.77 | 3.59 | 1.56 | 5.19 | 10.56 | 19.99 | 40.88 | |
| Variance | 0.01 | 0.02 | 0.05 | 0.35 | 0.36 | 0.79 | 0.02 | 0.02 | 0.04 | 0.27 | 0.25 | 0.59 | |
| Cycle | Area of FOU | 0.47 | 0.34 | 0.33 | 1.21 | 0.15 | 2.50 | 0.29 | 0.18 | 0.38 | 0.92 | 0.47 | 2.24 |
| Fuzziness 1 | 0.34 | 0.30 | 0.33 | 0.34 | 0.37 | 1.68 | 0.34 | 0.36 | 0.32 | 0.34 | 0.37 | 1.73 | |
| Fuzziness 2 | 5.98 | 4.50 | 4.14 | 15.27 | 1.86 | 31.76 | 3.75 | 3.61 | 4.89 | 11.54 | 5.87 | 29.65 | |
| Variance | 0.22 | 0.05 | 0.17 | 1.42 | 3.39 | 5.26 | 0.19 | 0.05 | 0.17 | 1.38 | 3.17 | 4.96 | |
| Public transportation | Area of FOU | 0.74 | 1.80 | 3.48 | 3.06 | 4.26 | 13.35 | 0.82 | 0.81 | 1.90 | 2.30 | 2.76 | 8.58 |
| Fuzziness 1 | 0.30 | 0.29 | 0.34 | 0.31 | 0.36 | 1.61 | 0.30 | 0.29 | 0.34 | 0.31 | 0.37 | 1.61 | |
| Fuzziness 2 | 3.00 | 7.30 | 14.04 | 12.41 | 17.05 | 53.82 | 3.38 | 3.29 | 7.72 | 9.33 | 11.05 | 34.78 | |
| Variance | 1.52 | 1.07 | 5.96 | 6.16 | 18.37 | 33.09 | 1.55 | 0.88 | 5.04 | 6.18 | 15.73 | 29.38 | |
| Train | Area of FOU | 20.13 | 10.35 | 168.96 | 469.50 | 280.13 | 949.08 | 9.49 | 70.04 | 202.93 | 256.37 | 267.98 | 806.81 |
| Fuzziness 1 | 0.10 | 0.31 | 0.33 | 0.32 | 0.37 | 1.43 | 0.06 | 0.33 | 0.33 | 0.31 | 0.37 | 1.39 | |
| Fuzziness 2 | 1.31 | 0.56 | 9.50 | 26.47 | 15.56 | 53.40 | 0.56 | 3.94 | 11.42 | 14.39 | 14.89 | 45.20 | |
| Variance | 884 | 5557 | 28156 | 74643 | 145232 | 254472 | 867 | 6240 | 28931 | 53368 | 145663 | 235068 | |
| ID | Name | Lower Membership Grade | Upper Membership Grade | Error of Membership |
|---|---|---|---|---|
| 8511245 | YONG JI XIAO XUE | 1.0000 | 1.0000 | 0.0000 |
| 8515596 | YUE YANG DAO XIAO XUE | 1.0000 | 1.0000 | 0.0000 |
| 8530346 | YI YANG XIAO XUE | 1.0000 | 1.0000 | 0.0000 |
| 8406934 | TAO HUA YUAN XIAO XUE | 1.0000 | 1.0000 | 0.0000 |
| 8540833 | KUN MING LU XIAO XUE | 0.9849 | 0.9899 | 0.0050 |
| 8510894 | YUAN CHENG XIAO XUE | 0.9803 | 0.9816 | 0.0013 |
| 8512237 | HUA XIA WEI LAI YI SHU XIAO XUE | 0.9270 | 0.9791 | 0.0521 |
| 8542812 | SHANG HAI DAO XIAO XUE | 0.9661 | 0.9774 | 0.0113 |
| 8514663 | KUN MING LU XIAO XUE | 0.9568 | 0.9767 | 0.0199 |
| 8520570 | YUE YANG DAO XIAO XUE | 0.9166 | 0.9551 | 0.0385 |
| 8514586 | XIN XING XIAO XUE | 0.9213 | 0.9475 | 0.0262 |
| 8538733 | EN DE LI XIAO XUE | 0.8736 | 0.9326 | 0.0590 |
| 8513199 | YI YANG XIAO XUE | 0.8721 | 0.9312 | 0.0590 |
| 8514613 | DONG FANG XIAO XUE | 0.8954 | 0.9303 | 0.0349 |
| 8519552 | SI HAO LU XIAO XUE | 0.8939 | 0.9288 | 0.0349 |
| 8537185 | SHANG HAI DAO XIAO XUE FEN XIAO | 0.8939 | 0.9288 | 0.0349 |
| 8426650 | HU ZHU DAO XIAO XUE | 0.8643 | 0.9259 | 0.0616 |
| 8538022 | TIAN JIN SHI SHI YAN XIAO XUE | 0.8609 | 0.9251 | 0.0642 |
| 8426553 | HU ZHU DAO XIAO XUE | 0.9239 | 0.9239 | 0.0000 |
| 8509788 | HE DONG SHI YAN XIAO XUE | 0.8534 | 0.9211 | 0.0677 |
| 8513580 | KUN WEI LU YI XIAO | 0.8534 | 0.9211 | 0.0677 |
| 8508222 | HAI YANG YI XIAO JIAO XUE QU | 0.8661 | 0.9107 | 0.0446 |
| 8539007 | WU MA LU XIAO XUE | 0.8661 | 0.9107 | 0.0446 |
| 8533082 | QIU ZHEN XIAO XUE | 0.8661 | 0.9107 | 0.0446 |
| 8418068 | ZHONG XIN DONG DAO XIAO XUE | 0.8986 | 0.8986 | 0.0000 |
| 8469819 | HE MU DAO XIAO XUE | 0.8986 | 0.8986 | 0.0000 |
| 8512972 | LI SHUI DAO XIAO XUE | 0.8811 | 0.8811 | 0.0000 |
| 8408161 | YOU AI DAO XIAO XUE | 0.8691 | 0.8691 | 0.0000 |
| 8509640 | KUN WEI LU YI XIAO | 0.7183 | 0.8483 | 0.1300 |
| 8536258 | NAN KAI ZHONG XIN XIAO XUE | 0.6984 | 0.8376 | 0.1392 |
| 8515544 | JIAN SHAN XIAO XUE | 0.6167 | 0.8285 | 0.2118 |
| 8510652 | HE BEI QU DI ER SHI YAN XIAO XUE | 0.6703 | 0.8224 | 0.1522 |
| 8538777 | XIN CUN XIAO XUE | 0.6703 | 0.8224 | 0.1522 |
| 8522712 | TIAN JIN SHI DA DI ER FU XIAO | 0.5965 | 0.8114 | 0.2148 |
| 8512402 | HONG HU LI XIAO XUE | 0.5714 | 0.7692 | 0.1978 |
| 8512553 | SHAO GONG ZHUANG XIAO XUE | 0.6390 | 0.7593 | 0.1203 |
| 8515227 | WU MA LU XIAO XUE | 0.6355 | 0.7570 | 0.1215 |
| 8424178 | YU YING LI XIAO XUE | 0.6355 | 0.7570 | 0.1215 |
| 8531501 | YA XI YA XIAO XUE | 0.5376 | 0.7510 | 0.2134 |
| 8538975 | WU MA LU XIAO XUE | 0.6081 | 0.7387 | 0.1306 |
| 8411260 | LING SHUI DAO XIAO XUE | 0.6865 | 0.7369 | 0.0504 |
| 8514552 | NAN KAI ZHONG XIN XIAO XUE | 0.5076 | 0.7348 | 0.2273 |
| 8411750 | ZHU JIANG DAO XIAO XUE | 0.7249 | 0.7249 | 0.0000 |
| 8513795 | WEN CHANG GONG MIN ZU XIAO XUE | 0.4684 | 0.7138 | 0.2454 |
| 8511466 | NAN KAI ZHONG XIN XIAO XUE | 0.5402 | 0.6935 | 0.1533 |
| 8514988 | WAI YU XUE YUAN FU ER XIAO | 0.5402 | 0.6935 | 0.1533 |
| 8538703 | MA CHANG DAO XIAO XUE | 0.5402 | 0.6935 | 0.1533 |
| 8411270 | DONG HAI LI XIAO XUE | 0.3633 | 0.6930 | 0.3297 |
| 8514270 | WEN SHAN LI XIAO XUE | 0.4016 | 0.6778 | 0.2762 |
| 8511329 | XI KANG LU XIAO XUE | 0.5000 | 0.6667 | 0.1667 |
| 8517795 | QIAN CHENG XIAO XUE | 0.3789 | 0.6656 | 0.2866 |
| 8510697 | HU ZHU DAO XIAO XUE | 0.2631 | 0.6493 | 0.3862 |
| 8510891 | DA QIAO DAO XIAO XUE | 0.2631 | 0.6493 | 0.3862 |
| 8408068 | ER HAO QIAO XIAO XUE | 0.5244 | 0.6473 | 0.1230 |
| 8538694 | KUN MING LU XIAO XUE | 0.4602 | 0.6401 | 0.1799 |
| 8511172 | TIAN TAI XIAO XUE | 0.3282 | 0.6382 | 0.3101 |
| 8509898 | HE PING QU XIN ZHONG XIAO XUE | 0.2857 | 0.6154 | 0.3297 |
| 8510408 | KUN MING LU XIAO XUE | 0.4175 | 0.6117 | 0.1942 |
| 8511274 | NING YUAN XIAO XUE | 0.3979 | 0.5986 | 0.2007 |
| 8509892 | HE PING QU ZHONG XIN XIAO XUE | 0.2032 | 0.5709 | 0.3678 |
| 8540181 | ZHONG YING XIAO XUE | 0.2032 | 0.5709 | 0.3678 |
| 8408448 | WU SHI XIAO XUE | 0.5642 | 0.5655 | 0.0013 |
| 8511404 | DA QIAO DAO XIAO XUE | 0.1169 | 0.5485 | 0.4316 |
| 8531345 | HONG XING XIAO XUE | 0.3205 | 0.5470 | 0.2265 |
| 8408042 | HE DONG WU SHI XIAO XUE | 0.5440 | 0.5440 | 0.0000 |
| 8514559 | HONG YUAN LI XIAO XUE | 0.1326 | 0.5330 | 0.4003 |
| 8426222 | JIN MEN XIAO XUE | 0.0824 | 0.5170 | 0.4345 |
| 8519570 | TONG WANG XIAO XUE | 0.2665 | 0.5110 | 0.2445 |
| 8522698 | XIN SHI JI XIAO XUE | 0.1178 | 0.5088 | 0.3910 |
| 8522746 | TIAN JIN SHI DA DI ER FU XIAO | 0.1178 | 0.5088 | 0.3910 |
| 8510681 | QI ZHI XUE XIAO | 0.0859 | 0.5078 | 0.4219 |
© 2018 by the authors. Licensee MDPI, Basel, Switzerland. This article is an open access article distributed under the terms and conditions of the Creative Commons Attribution (CC BY) license (http://creativecommons.org/licenses/by/4.0/).
Share and Cite
Guo, J.; Du, S. Modeling Words for Qualitative Distance Based on Interval Type-2 Fuzzy Sets. ISPRS Int. J. Geo-Inf. 2018, 7, 291. https://doi.org/10.3390/ijgi7080291
Guo J, Du S. Modeling Words for Qualitative Distance Based on Interval Type-2 Fuzzy Sets. ISPRS International Journal of Geo-Information. 2018; 7(8):291. https://doi.org/10.3390/ijgi7080291
Chicago/Turabian StyleGuo, Jifa, and Shihong Du. 2018. "Modeling Words for Qualitative Distance Based on Interval Type-2 Fuzzy Sets" ISPRS International Journal of Geo-Information 7, no. 8: 291. https://doi.org/10.3390/ijgi7080291
APA StyleGuo, J., & Du, S. (2018). Modeling Words for Qualitative Distance Based on Interval Type-2 Fuzzy Sets. ISPRS International Journal of Geo-Information, 7(8), 291. https://doi.org/10.3390/ijgi7080291

