Quantifying the Contributions of Environmental Factors to Wind Characteristics over 2000–2019 in China
Abstract
1. Introduction
2. Data and Study Area
2.1. Study Area
2.2. Data
2.2.1. Meteorological Data
2.2.2. Land Cover and Digital Elevation Model (DEM) Data
2.2.3. Precipitation Data
2.2.4. Climate Classification
3. Methods
3.1. Weibull Distribution
3.2. Mann–Kendall Trend Test
3.3. Mann–Kendall Abrupt Change Test
3.4. Spearman Correlation Analysis
4. Results
4.1. Wind Speed Changes in China from 2000 to 2019
4.2. Trend Test and Probability Distribution of Meteorological Sites
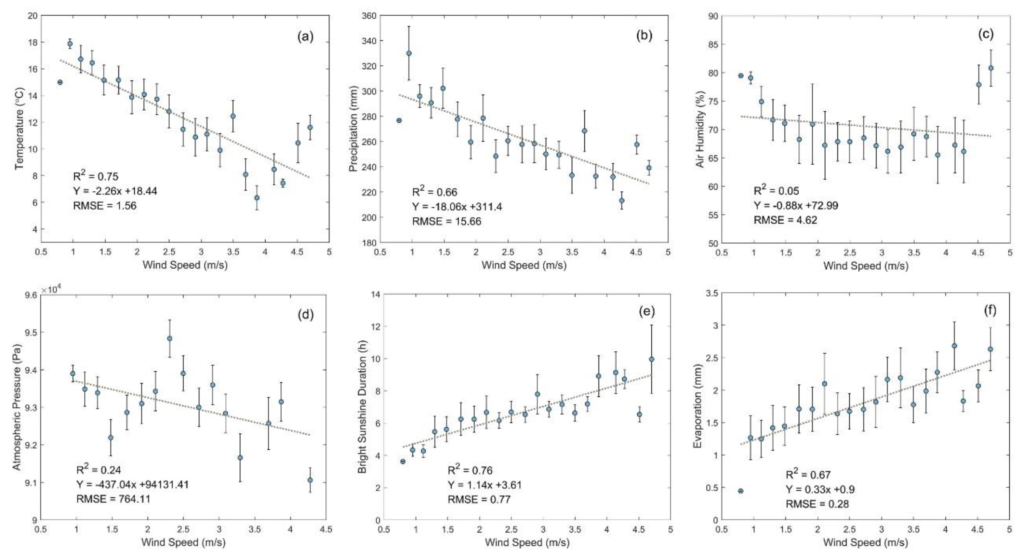
4.3. Correlation Analysis between Wind Speed Changes and Meteorological Factors
4.4. Synthesizing Wind Speed Changes under Environmental Factors
5. Discussion
5.1. Temporal and Spatial Evolution Characteristics of Wind Speed and Trend Changes
5.2. Effects of Terrain and Human Activities on Wind Speed
5.3. The Role of Meteorology and Climate Change in Influencing Wind Speed
5.4. The Impact of Wind Farms on Wind Speed Changes
6. Conclusions
Author Contributions
Funding
Data Availability Statement
Acknowledgments
Conflicts of Interest
References
- Vitousek, P.M. Beyond global warming: Ecology and global change. Ecology 1994, 75, 1861–1876. [Google Scholar] [CrossRef]
- Dai, A. Erratum: Drought under global warming: A review. Wiley Interdiscip. Rev. Clim. Chang. 2012, 3, 617. [Google Scholar] [CrossRef]
- Kummu, M.; Ward, P.J.; de Moel, H.; Varis, O. Is physical water scarcity a new phenomenon? Global assessment of water shortage over the last two millennia. Environ. Res. Lett. 2010, 5, 034006. [Google Scholar] [CrossRef]
- Flor-Blanco, G.; Alcántara-Carrió, J.; Jackson, D.; Flor, G.; Flores-Soriano, C. Coastal erosion in NW Spain: Recent patterns under extreme storm wave events. Geomorphology 2021, 387, 107767. [Google Scholar] [CrossRef]
- Castelle, B.; Dodet, G.; Masselink, G.; Scott, T.J.G.R.L. Increased winter-mean wave height, variability, and periodicity in the Northeast Atlantic over 1949–2017. Geophys. Res. Lett. 2018, 45, 3586–3596. [Google Scholar] [CrossRef]
- Guisado-Pintado, E.; Jackson, D.W. Coastal impact from high-energy events and the importance of concurrent forcing parameters: The cases of storm Ophelia (2017) and storm Hector (2018) in NW Ireland. Front. Earth Sci. 2019, 7, 190. [Google Scholar] [CrossRef]
- Lee, B.S.; Haran, M.; Keller, K. Multidecadal scale detection time for potentially increasing Atlantic storm surges in a warming climate. Geophys. Res. Lett. 2017, 44, 10617–10623. [Google Scholar] [CrossRef]
- Sarkodie, S.A. Environmental performance, biocapacity, carbon & ecological footprint of nations: Drivers, trends and mitigation options. Sci. Total Environ. 2021, 751, 141912. [Google Scholar]
- Keune, H. Environmental specimen banking (ESB): An essential part of integrated ecological monitoring on a global scale. Sci. Total Environ. 1993, 139, 537–544. [Google Scholar] [CrossRef]
- Yu, J.; Zhou, D.; Yu, M.; Yang, J.; Li, Y.; Guan, B.; Wang, X.; Zhan, C.; Wang, Z.; Qu, F. Environmental threats induced heavy ecological burdens on the coastal zone of the Bohai Sea, China. Sci. Total Environ. 2021, 765, 142694. [Google Scholar] [CrossRef]
- Rapley, C.; Morais, J.J.G. The international geosphere-biosphere programme IGBP. GeoJournal 1996, 40, 311–342. [Google Scholar] [CrossRef]
- Lü, Y.; Zhang, L.; Feng, X.; Zeng, Y.; Fu, B.; Yao, X.; Li, J.; Wu, B. Recent ecological transitions in China: Greening, browning and influential factors. Sci. Rep. 2015, 5, 1–8. [Google Scholar] [CrossRef]
- Suni, T.; Guenther, A.; Hansson, H.-C.; Kulmala, M.; Andreae, M.; Arneth, A.; Artaxo, P.; Blyth, E.; Brus, M.; Ganzeveld, L.J.A. The significance of land-atmosphere interactions in the Earth system—iLEAPS achievements and perspectives. Anthropocene 2015, 12, 69–84. [Google Scholar] [CrossRef]
- Stonestrom, D.A. Terrestrial Biosphere-Atmosphere Fluxes and Transport in the Atmosphere-Vegetation-Soil Continuum; State Water Control Board: Richmond, VA, USA, 2014. [Google Scholar]
- Zhang, R.; Wang, J.; Zhu, C.; Sun, X.; Zhu, Z. The retrieval of two-dimensional distribution of the earth’s surface aerodynamic roughness using SAR image and TM thermal infrared image. Sci. China Ser. D Earth Sci. 2004, 47, 1134–1146. [Google Scholar] [CrossRef]
- McVicar, T.R.; Van Niel, T.G.; Li, L.T.; Roderick, M.L.; Rayner, D.P.; Ricciardulli, L.; Donohue, R.J. Wind speed climatology and trends for Australia, 1975–2006: Capturing the stilling phenomenon and comparison with near-surface reanalysis output. Geophys. Res. Lett. 2008, 35, L20403. [Google Scholar] [CrossRef]
- Shi, Y.; Hu, F.; Xiao, Z.; Fan, G.; Zhang, Z. Comparison of four different types of planetary boundary layer heights during a haze episode in Beijing. Sci. Total Environ. 2020, 711, 134928. [Google Scholar] [CrossRef]
- Han, Y.; Westwater, E.R.; Technology, O. Remote sensing of tropospheric water vapor and cloud liquid water by integrated ground-based sensors. J. Atmos. Ocean. Technol. 1995, 12, 1050–1059. [Google Scholar] [CrossRef][Green Version]
- Chen, S.R.; Cai, C.S. Equivalent Wheel Load Approach for Slender Cable-Stayed Bridge Fatigue Assessment under Traffic and Wind: Feasibility Study. J. Bridge Eng. 2007, 12, 755–764. [Google Scholar] [CrossRef]
- Zhou, Y.; Chen, S. Numerical investigation of cable breakage events on long-span cable-stayed bridges under stochastic traffic and wind—ScienceDirect. Eng. Struct. 2015, 105, 299–315. [Google Scholar] [CrossRef]
- Islam, M.R.; Mekhilef, S.; Saidur, R.J.R.; Reviews, S.E. Progress and recent trends of wind energy technology. Renew. Sustain. Energy Rev. 2013, 21, 456–468. [Google Scholar] [CrossRef]
- Saidur, R.; Islam, M.R.; Rahim, N.A.; Solangi, K.H. A review on global wind energy policy. Renew. Sustain. Energy Rev. 2010, 14, 1744–1762. [Google Scholar] [CrossRef]
- Saidur, R.; Rahim, N.; Islam, M.; Solangi, K.H. Environmental impact of wind energy. Renew. Sustain. Energy Rev. 2011, 15, 2423–2430. [Google Scholar] [CrossRef]
- Dai, K.; Bergot, A.; Liang, C.; Xiang, W.-N.; Huang, Z. Environmental issues associated with wind energy–A review. Renew. Energy 2015, 75, 911–921. [Google Scholar] [CrossRef]
- Jiang, L.; Chi, Y.; Qin, H.; Pei, Z.; Li, Q.; Liu, M.; Bai, J.; Wang, W.; Feng, S.; Kong, W.; et al. Wind energy in China. IEEE Power Energy Mag. 2011, 9, 36–46. [Google Scholar] [CrossRef]
- Sahu, B.K. Wind energy developments and policies in China: A short review. Renew. Sustain. Energy Rev. 2018, 81, 1393–1405. [Google Scholar] [CrossRef]
- Li, Y.; Wu, X.-P.; Li, Q.-S.; Tee, K. Assessment of onshore wind energy potential under different geographical climate conditions in China. Energy 2018, 152, 498–511. [Google Scholar] [CrossRef]
- Bakker, A.; Van den Hurk, B.; Coelingh, J.P. Decomposition of the windiness index in the Netherlands for the assessment of future long-term wind supply. Wind Energy 2013, 16, 927–938. [Google Scholar] [CrossRef]
- Dale, L.; Milborrow, D.; Slark, R.; Strbac, G. Total cost estimates for large-scale wind scenarios in UK. Energy Policy 2004, 32, 1949–1956. [Google Scholar] [CrossRef]
- Holt, E.; Wang, J.; Climatology. Trends in wind speed at wind turbine height of 80 m over the contiguous United States using the North American Regional Reanalysis (NARR). J. Appl. Meteorol. Climatol. 2012, 51, 2188–2202. [Google Scholar] [CrossRef]
- Pryor, S.; Barthelmie, R.; Kjellström, E. Potential climate change impact on wind energy resources in northern Europe: Analyses using a regional climate model. Clim. Dyn. 2005, 25, 815–835. [Google Scholar] [CrossRef]
- Sailor, D.J.; Smith, M.; Hart, M. Climate change implications for wind power resources in the Northwest United States. Renew. Energy 2008, 33, 2393–2406. [Google Scholar] [CrossRef]
- Wu, B.; Xiong, J.; Yan, N. ETWatch: Models and methods. Remote Sens. 2010, 15, 224–230. [Google Scholar]
- Wu, B.; Yan, N.; Xiong, J.; Bastiaanssen, W.; Zhu, W.; Stein, A. Validation of ETWatch using field measurements at diverse landscapes: A case study in Hai Basin of China. J. Hydrol. 2012, 436, 67–80. [Google Scholar] [CrossRef]
- Vinukollu, R.; Sheffield, J.; Ferguson, C.; Pan, M.; Wood, E. Developing Evapotranspiration Data Records for the Global Terrestrial Water Cycle. In Proceedings of the AGU Fall Meeting Abstracts, San Francisco, CA, USA, 13–18 December 2009. IN43C–1159. [Google Scholar]
- Trenberth, K.E.; Fasullo, J.T.; Kiehl, J. Earth’s global energy budget. Bull. Am. Meteorol. Soc. 2009, 90, 311–324. [Google Scholar] [CrossRef]
- Yu, M.; Wu, B.; Yan, N.; Xing, Q.; Zhu, W. A method for estimating the aerodynamic roughness length with NDVI and BRDF signatures using multi-temporal Proba-V data. Remote Sens. 2017, 9, 6. [Google Scholar] [CrossRef]
- Stocker, T. Climate Change 2013: The Physical Science Basis: Working Group I Contribution to the Fifth Assessment Report of the Intergovernmental Panel on Climate Change; Cambridge University Press: Cambridge, UK, 2014. [Google Scholar]
- Ward, M.N.; Hoskins, B.J. Near-surface wind over the global ocean 1949–1988. J. Clim. 1996, 9, 1877–1895. [Google Scholar] [CrossRef]
- Young, I.; Zieger, S.; Babanin, A. Global trends in wind speed and wave height. Science 2011, 332, 451–455. [Google Scholar] [CrossRef]
- Tokinaga, H.; Xie, S. Weakening of the equatorial Atlantic cold tongue over the past six decades. Nat. Geosci. 2011, 4, 222–226. [Google Scholar] [CrossRef]
- Pryor, S.; Ledolter, J. Addendum to “Wind speed trends over the contiguous United States”. J. Geophys. Res. Atmos. 2010, 115, D10103. [Google Scholar] [CrossRef]
- Morillas, L.; Villagarcía, L.; Domingo, F.; Nieto, H.; Uclés, O.; García, M.J.A.; Meteorology, F. Environmental factors affecting the accuracy of surface fluxes from a two-source model in Mediterranean drylands: Upscaling instantaneous to daytime estimates. Agric. For. Meteorol. 2014, 189, 140–158. [Google Scholar] [CrossRef]
- Hazlett, M. Climate change could have major impacts on wind resources. North Am. Windpower. Zackin Publ. Inc 2011, 3. [Google Scholar]
- Atkinson, N.; Harman, K.; Lynn, M.; Schwarz, A.; Tindal, A. Long-term wind speed trends in northwestern Europe. In Proceedings of the BWEA28 Conference, Glasgow, Scotland, 17 October 2006. [Google Scholar]
- Schiesser, H.-H.; Pfister, C.; Bader, J.; Climatology, A. Winter storms in Switzerland north of the Alps 1864/1865–1993/1994. Theor. Appl. Climatol. 1997, 58, 1–19. [Google Scholar] [CrossRef]
- Pirazzoli, P.A.; Tomasin, A. Recent near-surface wind changes in the central Mediterranean and Adriatic areas. Int. J. Climatol. J. R. Meteorol. Soc. 2003, 23, 963–973. [Google Scholar] [CrossRef]
- Jiang, Y.; Luo, Y.; Zhao, Z.; Tao, S.; Climatology, A. Changes in wind speed over China during 1956–2004. Theor. Appl. Climatol. 2010, 99, 421–430. [Google Scholar] [CrossRef]
- Lin, C.; Yang, K.; Qin, J.; Fu, R. Observed coherent trends of surface and upper-air wind speed over China since 1960. J. Clim. 2013, 26, 2891–2903. [Google Scholar] [CrossRef]
- Xu, M.; Chang, C.P.; Fu, C.; Qi, Y.; Robock, A.; Robinson, D.; Zhang, H. Steady decline of east Asian monsoon winds, 1969–2000: Evidence from direct ground measurements of wind speed. J. Geophys. Res. Atmos. 2006, 111, D24111. [Google Scholar] [CrossRef]
- Zhai, P.; Pan, X. Trends in temperature extremes during 1951–1999 in China. Geophys. Res. Lett. 2003, 30, 1913. [Google Scholar] [CrossRef]
- Zunya, W.; Yihui, D.; Jinhai, H.; Jun, Y. An updating analysis of the climate change in China in recent 50 years. Acta Meteorol. Sin. 2004, 62, 228–236. [Google Scholar]
- Guoyu, R.; Jun, G.; Mingzhi, X.; Ziying, C.; Li, Z.; Xukai, Z.; Qingxiang, L.; Xiaoning, L. Climate changes of China’s mainland over the past half century. Acta Meteorol. Sin. 2005, 63, 942–956. [Google Scholar]
- Ge, J.; Feng, D.; You, Q.; Zhang, W.; Zhang, Y. Characteristics and causes of surface wind speed variations in Northwest China from 1979 to 2019. Atmos. Res. 2021, 254, 105527. [Google Scholar] [CrossRef]
- Gusatu, L.F.; Yamu, C.; Zuidema, C.; Faaij, A. A Spatial Analysis of the Potentials for Offshore Wind Farm Locations in the North Sea Region: Challenges and Opportunities. ISPRS Int. J. Geo-Inf. 2020, 9, 96. [Google Scholar] [CrossRef]
- Zhang, Z.; Li, Y. Coupling coordination and spatiotemporal dynamic evolution between urbanization and geological hazards–A case study from China. Sci. Total Environ. 2020, 728, 138825. [Google Scholar] [CrossRef]
- Li, X.; Wang, L.; Chen, D.; Yang, K.; Xue, B.; Sun, L. Near-surface air temperature lapse rates in the mainland China during 1962–2011. J. Geophys. Res. Atmos. 2013, 118, 7505–7515. [Google Scholar] [CrossRef]
- Zhang, B.; Fan, Y.Z.; Dyks, J.; Kobayashi, S.; Mészáros, P.; Burrows, D.N.; Nousek, J.A.; Gehrels, N. Climate of China; Wiley: Hoboken, NJ, USA, 1992. [Google Scholar]
- Ren, G.; Ding, Y.; Zhao, Z.; Zheng, J.; Wu, T.; Tang, G.; Xu, Y. Recent progress in studies of climate change in China. Adv. Atmos. Sci. 2012, 29, 958–977. [Google Scholar] [CrossRef]
- Lloyd, C. Assessing the effect of integrating elevation data into the estimation of monthly precipitation in Great Britain. J. Hydrol. 2005, 308, 128–150. [Google Scholar] [CrossRef]
- Fotheringham, A.S.; O’Kelly, M.E. Spatial Interaction Models: Formulations and Applications; Kluwer Academic Publishers: Dordrecht, The Netherlands, 1989; Volume 1. [Google Scholar]
- Wu, B.; Qian, J.; Zeng, Y.; Zhang, L.; Yan, C.; Wang, Z.; Li, A.; Ma, R.; Yu, X.; Huang, J. Beijing. Land Cover Atlas of the People’s Republic of China (1:1,000,000); China Map Publishing House: Beijing, China, 2017. [Google Scholar]
- Ouyang, Z.; Zheng, H.; Xiao, Y.; Polasky, S.; Liu, J.; Xu, W.; Wang, Q.; Zhang, L.; Xiao, Y.; Rao, E. Improvements in ecosystem services from investments in natural capital. Science 2016, 352, 1455–1459. [Google Scholar] [CrossRef]
- Funk, C.; Peterson, P.; Landsfeld, M.; Pedreros, D.; Verdin, J.; Shukla, S.; Husak, G.; Rowland, J.; Harrison, L.; Hoell, A. The climate hazards infrared precipitation with stations—A new environmental record for monitoring extremes. Sci. Data 2015, 2, 1–21. [Google Scholar] [CrossRef]
- Beck, H.E.; Zimmermann, N.E.; McVicar, T.R.; Vergopolan, N.; Berg, A.; Wood, E.F. Present and future Köppen-Geiger climate classification maps at 1 km resolution. Sci. Data 2018, 5, 1–12. [Google Scholar] [CrossRef]
- Justus, C.; Hargraves, W.; Yalcin, A. Nationwide assessment of potential output from wind-powered generators. J. Appl. Meteorol. 1976, 15, 673–678. [Google Scholar] [CrossRef]
- Chang, T. Estimation of wind energy potential using different probability density functions. Appl. Energy 2011, 88, 1848–1856. [Google Scholar] [CrossRef]
- Mert, I.; Karakuş, C.; Sciences, C. A statistical analysis of wind speed data using Burr, generalized gamma, and Weibull distributions in Antakya, Turkey. Turk. J. Electr. Eng. Comput. Sci. 2015, 23, 1571–1586. [Google Scholar] [CrossRef]
- Dorvlo, A.S. Estimating wind speed distribution. Energy Convers. Manag. 2002, 43, 2311–2318. [Google Scholar] [CrossRef]
- Celik, A.N.; Aerodynamics, I. Energy output estimation for small-scale wind power generators using Weibull-representative wind data. J. Wind Eng. Ind. Aerodyn. 2003, 91, 693–707. [Google Scholar] [CrossRef]
- Baoqing, X.; De, T.; Hua, W.; Huiwen, L. Methods for solving two-parameter wind velocity weibull distribution. Trans. Chin. Soc. Agric. Eng. 2007, 10. [Google Scholar]
- Stevens, M.; Smulders, P. The estimation of the parameters of the Weibull wind speed distribution for wind energy utilization purposes. Wind Eng. 1979, 3, 132–145. [Google Scholar]
- Hamed, K.H. Trend detection in hydrologic data: The Mann–Kendall trend test under the scaling hypothesis. J. Hydrol. 2008, 349, 350–363. [Google Scholar] [CrossRef]
- McVicar, T.R.; Roderick, M.L.; Donohue, R.J.; Li, L.T.; Van Niel, T.G.; Thomas, A.; Grieser, J.; Jhajharia, D.; Himri, Y.; Mahowald, N.M. Global review and synthesis of trends in observed terrestrial near-surface wind speeds: Implications for evaporation. J. Hydrol. 2012, 416, 182–205. [Google Scholar] [CrossRef]
- Wu, B.; Gommes, R.; Zhang, M.; Zeng, H.; Yan, N.; Zou, W.; Zheng, Y.; Zhang, N.; Chang, S.; Xing, Q. Global crop monitoring: A satellite-based hierarchical approach. Remote. Sens. 2015, 7, 3907–3933. [Google Scholar] [CrossRef]
- Wang, Z.-Z.; Li, J.; Zhong, Z.-Q.; Liu, D.; Zhou, J. Lidar exploration of atmospheric boundary layer over downtown of Beijing in summer. Appl. Opt. 2008, 29, 96–100. [Google Scholar]
- Erasmus, D.A. A comparison of simulated and observed boundary-layer winds in an area of complex terrain. J. Appl. Meteorol. Climatol. 1986, 25, 1842–1852. [Google Scholar] [CrossRef][Green Version]
- Helmis, C.; Asimakopoulos, D.; Deligiorgi, D.; Lalas, D.P. Observations of sea-breeze fronts near the shoreline. Bound. -Layer Meteorol. 1987, 38, 395–410. [Google Scholar] [CrossRef]
- Pielke, R.A. Land use and climate change. Science 2005, 310, 1625–1626. [Google Scholar] [CrossRef]
- Cendrero, A.; Forte, L.M.; Remondo, J.; Cuesta-Albertos, J.A. Anthropocene geomorphic change. Climate or human activities? Earth’s Future 2020, 8, e2019EF001305. [Google Scholar] [CrossRef]
- Abdollahbeigi, M.J. Non-Climatic Factors Causing Climate Change. J. Chem. Rev. 2020, 2, 292–308. [Google Scholar]
- Bruschi, V.; Bonachea, J.; Remondo, J.; Gómez-Arozamena, J.; Rivas, V.; Méndez, G.; Naredo, J.; Cendrero, A. Analysis of geomorphic systems’ response to natural and human drivers in northern Spain: Implications for global geomorphic change. Geomorphology 2013, 196, 267–279. [Google Scholar] [CrossRef]
- Zhang, D.D.; Lee, H.F.; Wang, C.; Li, B.; Pei, Q.; Zhang, J.; An, Y. The causality analysis of climate change and large-scale human crisis. Proc. Natl. Acad. Sci. 2011, 108, 17296–17301. [Google Scholar] [CrossRef]
- Liu, J.; Gao, Z.; Wang, L.; Li, Y.; Gao, C.Y.; Physics, A. The impact of urbanization on wind speed and surface aerodynamic characteristics in Beijing during 1991–2011. Meteorol. Atmos. Phys. 2018, 130, 311–324. [Google Scholar] [CrossRef]
- Vautard, R.; Cattiaux, J.; Yiou, P.; Thépaut, J.-N.; Ciais, P. Northern Hemisphere atmospheric stilling partly attributed to an increase in surface roughness. Nat. Geosci. 2010, 3, 756–761. [Google Scholar] [CrossRef]
- Solomon, S.; Qin, D.; Manning, M.; Chen, Z.; Marquis, M.; Averyt, K.B.; Tignor, M.; Miller, H.L. Contribution of Working Group I to the Fourth Assessment Report of the Intergovernmental Panel on Climate Change; Cambridge University Press: Cambridge, UK; New York, NY, USA, 2007. [Google Scholar]
- Zhao, Z.; Luo, Y.; Jiang, Y.; Huang, J. Possible reasons of wind speed decline in China for the last 50years. Adv. Meteorol. Sci. Technol. 2016, 6, 106–109. [Google Scholar]
- Yong, Z.Z.L. Advances in assessment on impacts of wind farms upon climate change. Adv. Clim. Chang. Res. 2011, 7, 400. [Google Scholar]
- Roy, S.B.; Traiteur, J.J. Impacts of wind farms on surface air temperatures. Proc. Natl. Acad. Sci. USA 2010, 107, 17899–17904. [Google Scholar]
- Keith, D.W.; DeCarolis, J.F.; Denkenberger, D.C.; Lenschow, D.H.; Malyshev, S.L.; Pacala, S.; Rasch, P.J. The influence of large-scale wind power on global climate. Proc. Natl. Acad. Sci. USA 2004, 101, 16115–16120. [Google Scholar] [CrossRef] [PubMed]













| Trend | Number of Sites | Percentage (%) |
|---|---|---|
| Significant Upward | 177 | 25.4 |
| Marginally Upward | 28 | 4.0 |
| Significant Downward | 172 | 24.7 |
| Marginally Downward | 27 | 3.9 |
| Wind Speed Range (m/s) | Mean Value (m/s) | Wind Scale | Number of Sites | Percentage (%) |
|---|---|---|---|---|
| [0,1) | 0.94 | 0–1 | 16 | 2.3 |
| [1,3) | 2.01 | 2 | 529 | 75.9 |
| [3,5) | 3.59 | 3 | 133 | 19.1 |
| [5,8) | 5.66 | 4 | 15 | 2.2 |
| ≥8 | 10.29 | ≥5 | 4 | 0.5 |
| Altitude (m) | >3000 | 2000–3000 | 1000–2000 | 500–1000 | <500 |
|---|---|---|---|---|---|
| Percentage (%) | 25.9 | 7.0 | 25.0 | 16.9 | 25.2 |
Publisher’s Note: MDPI stays neutral with regard to jurisdictional claims in published maps and institutional affiliations. |
© 2021 by the authors. Licensee MDPI, Basel, Switzerland. This article is an open access article distributed under the terms and conditions of the Creative Commons Attribution (CC BY) license (https://creativecommons.org/licenses/by/4.0/).
Share and Cite
Lu, Y.; Wu, B.; Yan, N.; Zhu, W.; Zeng, H.; Ma, Z.; Xu, J.; Wu, X.; Pang, B. Quantifying the Contributions of Environmental Factors to Wind Characteristics over 2000–2019 in China. ISPRS Int. J. Geo-Inf. 2021, 10, 515. https://doi.org/10.3390/ijgi10080515
Lu Y, Wu B, Yan N, Zhu W, Zeng H, Ma Z, Xu J, Wu X, Pang B. Quantifying the Contributions of Environmental Factors to Wind Characteristics over 2000–2019 in China. ISPRS International Journal of Geo-Information. 2021; 10(8):515. https://doi.org/10.3390/ijgi10080515
Chicago/Turabian StyleLu, Yuming, Bingfang Wu, Nana Yan, Weiwei Zhu, Hongwei Zeng, Zonghan Ma, Jiaming Xu, Xinghua Wu, and Bo Pang. 2021. "Quantifying the Contributions of Environmental Factors to Wind Characteristics over 2000–2019 in China" ISPRS International Journal of Geo-Information 10, no. 8: 515. https://doi.org/10.3390/ijgi10080515
APA StyleLu, Y., Wu, B., Yan, N., Zhu, W., Zeng, H., Ma, Z., Xu, J., Wu, X., & Pang, B. (2021). Quantifying the Contributions of Environmental Factors to Wind Characteristics over 2000–2019 in China. ISPRS International Journal of Geo-Information, 10(8), 515. https://doi.org/10.3390/ijgi10080515

