A Systematic Review on Dementia and Translocator Protein (TSPO): When Nuclear Medicine Highlights an Underlying Expression
Abstract
1. Introduction
2. Materials and Methods
2.1. Search Strategy and Study Selection
2.2. Quality of the Selected Studies
3. Results
3.1. Search Results
3.2. Study Characteristics
3.3. Methodological Quality Assessment
4. Discussion
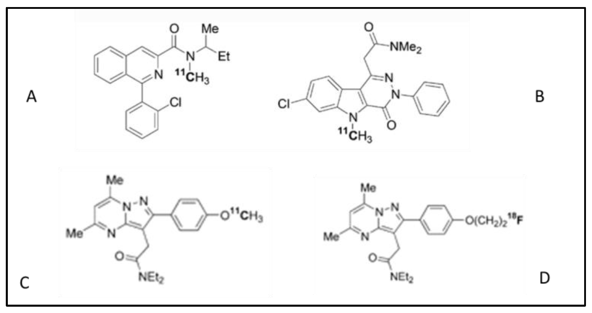
4.1. Studies of New Radiopharmaceuticals Using an Animal Model
4.2. Studies Conducted on Animals and Humans
4.3. Studies Conducted on Humans
5. Conclusions
Author Contributions
Funding
Institutional Review Board Statement
Informed Consent Statement
Data Availability Statement
Conflicts of Interest
References
- Shoshan-Barmatz, V.; Pittala, S.; Mizrachi, D. VDAC1 and the TSPO: Expression, Interactions, and Associated Functions in Health and Disease States. Int. J. Mol. Sci. 2019, 20, 3348. [Google Scholar] [CrossRef] [PubMed]
- Tallman, J.F.; Gallager, D.W.; Mallorga, P.; Thomas, J.W.; Strittmatter, W.; Hirata, F.; Axelrod, J. Studies on benzodiazepine receptors. Adv. Biochem. Psychopharmacol. 1980, 21, 277–283. [Google Scholar] [PubMed]
- Lacapère, J.J.; Papadopoulos, V. Peripheral-type benzodiazepine receptor: Structure and function of a cholesterol-binding protein in steroid and bile acid biosynthesis. Steroids 2003, 68, 569–585. [Google Scholar] [CrossRef] [PubMed]
- Anholt, R.R.; Pedersen, P.L.; De Souza, E.B.; Snyder, S.H. The peripheral-type benzodiazepine receptor. Localization to the mitochondrial outer membrane. J. Biol. Chem. 1986, 261, 576–583. [Google Scholar] [CrossRef] [PubMed]
- Braestrup, C.; Albrechtsen, R.; Squires, R.F. High densities of benzodiazepine receptors in human cortical areas. Nature. 1977, 269, 702–704. [Google Scholar] [CrossRef] [PubMed]
- Ricci, M.; Cimini, A.; Chiaravalloti, A.; Filippi, L.; Schillaci, O. Positron Emission Tomography (PET) and Neuroimaging in the Personalized Approach to Neurodegenerative Causes of Dementia. Int. J. Mol. Sci. 2020, 21, 7481. [Google Scholar] [CrossRef]
- Jacobs, A.H.; Tavitian, B. Noninvasive molecular imaging of neuroinflammation. J. Cereb. Blood. Flow. Metab. 2012, 32, 1393–1415. [Google Scholar] [CrossRef]
- Rupprecht, R.; Papadopoulos, V.; Rammes, G.; Baghai, T.C.; Fan, J.; Akula, N.; Groyer, G.; Adams, D.; Schumacher, M. Translocator protein (18 kDa) (TSPO) as a therapeutic target for neurological and psychiatric disorders. Nat. Rev. Drug. Discov. 2010, 9, 971–988. [Google Scholar] [CrossRef]
- Donat, C.K.; Mirzaei, N.; Tang, S.P.; Edison, P.; Sastre, M. Imaging of Microglial Activation in Alzheimer’s Disease by [(11)C]PBR28 PET. Methods. Mol. Biol. 2018, 1750, 323–339. [Google Scholar] [CrossRef]
- Heneka, M.T.; Sastre, M.; Dumitrescu-Ozimek, L.; Dewachter, I.; Walter, J.; Klockgether, T.; Van Leuven, F. Focal glial activation coincides with increased BACE1 activation and precedes amyloid plaque deposition in APP[V717I] transgenic mice. J. Neuroinflammation. 2005, 2, 22. [Google Scholar] [CrossRef]
- Solito, E.; Sastre, M. Microglia function in Alzheimer’s disease. Front. Pharmacol. 2012, 3, 14. [Google Scholar] [CrossRef] [PubMed]
- Frantellizzi, V.; Conte, M.; De Vincentis, G. Hybrid Imaging of Vascular Cognitive Impairment. Semin. Nucl. Med. 2021, 51, 286–295. [Google Scholar] [CrossRef]
- Frantellizzi, V.; Pani, A.; Ricci, M.; Locuratolo, N.; Fattapposta, F.; De Vincentis, G. Neuroimaging in Vascular Cognitive Impairment and Dementia: A Systematic Review. J. Alzheimers. Dis. 2020, 73, 1279–1294. [Google Scholar] [CrossRef] [PubMed]
- Guo, Q.; Colasanti, A.; Owen, D.R.; Onega, M.; Kamalakaran, A.; Bennacef, I.; Matthews, P.M.; Rabiner, E.A.; Turkheimer, F.E.; Gunn, R.N. Quantification of the specific translocator protein signal of 18F-PBR111 in healthy humans: A genetic polymorphism effect on in vivo binding. J. Nucl. Med. 2013, 54, 1915–1923. [Google Scholar] [CrossRef] [PubMed]
- Vivash, L.; O’Brien, T.J. Imaging Microglial Activation with TSPO PET: Lighting Up Neurologic Diseases? J. Nucl. Med. 2016, 57, 165–168. [Google Scholar] [CrossRef] [PubMed]
- Qiao, L.; Fisher, E.; McMurray, L.; Milicevic Sephton, S.; Hird, M.; Kuzhuppilly-Ramakrishnan, N.; Williamson, D.J.; Zhou, X.; Werry, E.; Kassiou, M.; et al. Radiosynthesis of (R,S)-[(18) F]GE387: A Potential PET Radiotracer for Imaging Translocator Protein 18 kDa (TSPO) with Low Binding Sensitivity to the Human Gene Polymorphism rs6971. ChemMedChem 2019, 14, 982–993. [Google Scholar] [CrossRef]
- Owen, D.R.; Gunn, R.N.; Rabiner, E.A.; Bennacef, I.; Fujita, M.; Kreisl, W.C.; Innis, R.B.; Pike, V.W.; Reynolds, R.; Matthews, P.M.; et al. Mixed-affinity binding in humans with 18-kDa translocator protein ligands. J. Nucl. Med. 2011, 52, 24–32. [Google Scholar] [CrossRef]
- Lyoo, C.H.; Ikawa, M.; Liow, J.S.; Zoghbi, S.S.; Morse, C.L.; Pike, V.W.; Fujita, M.; Innis, R.B.; Kreisl, W.C. Cerebellum Can Serve as a Pseudo-Reference Region in Alzheimer Disease to Detect Neuroinflammation Measured with PET Radioligand Binding to Translocator Protein. J. Nucl. Med. 2015, 56, 701–706. [Google Scholar] [CrossRef]
- Chau, W.F.; Black, A.M.; Clarke, A.; Durrant, C.; Gausemel, I.; Khan, I.; Mantzilas, D.; Oulie, I.; Rogstad, A.; Trigg, W.; et al. Exploration of the impact of stereochemistry on the identification of the novel translocator protein PET imaging agent [(18)F]GE-180. Nucl. Med. Biol. 2015, 42, 711–719. [Google Scholar] [CrossRef]
- Slováková, A.; Hutt, A.J. Chiral compounds and their pharmacologic effects. Ceska. Slov. Farm. 1999, 48, 107–112. [Google Scholar]
- Nguyen, L.A.; He, H.; Pham-Huy, C. Chiral drugs: An overview. Int. J. Biomed. Sci. 2006, 2, 85–100. [Google Scholar] [PubMed]
- Freedman, T.B.; Cao, X.; Dukor, R.K.; Nafie, L.A. Absolute configuration determination of chiral molecules in the solution state using vibrational circular dichroism. Chirality. 2003, 15, 743–758. [Google Scholar] [CrossRef] [PubMed]
- Page, M.J.; McKenzie, J.E.; Bossuyt, P.M.; Boutron, I.; Hoffmann, T.C.; Mulrow, C.D.; Shamseer, L.; Tetzlaff, J.M.; Akl, E.A.; Brennan, S.E.; et al. The PRISMA 2020 statement: An updated guideline for reporting systematic reviews. BMJ 2021, 372, n71. [Google Scholar] [CrossRef] [PubMed]
- Okubo, T.; Yoshikawa, R.; Chaki, S.; Okuyama, S.; Nakazato, A. Design, synthesis, and structure-activity relationships of novel tetracyclic compounds as peripheral benzodiazepine receptor ligands. Bioorg. Med. Chem. 2004, 12, 3569–3580. [Google Scholar] [CrossRef]
- Chauveau, F.; Boutin, H.; Van Camp, N.; Thominiaux, C.; Hantraye, P.; Rivron, L.; Marguet, F.; Castel, M.N.; Rooney, T.; Benavides, J.; et al. In vivo imaging of neuroinflammation in the rodent brain with [11C]SSR180575, a novel indoleacetamide radioligand of the translocator protein (18 kDa). Eur. J. Nucl. Med. Mol. Imaging 2011, 38, 509–514. [Google Scholar] [CrossRef] [PubMed]
- Chauveau, F.; Van Camp, N.; Dollé, F.; Kuhnast, B.; Hinnen, F.; Damont, A.; Boutin, H.; James, M.; Kassiou, M.; Tavitian, B. Comparative evaluation of the translocator protein radioligands 11C-DPA-713, 18F-DPA-714, and 11C-PK11195 in a rat model of acute neuroinflammation. J. Nucl. Med. 2009, 50, 468–476. [Google Scholar] [CrossRef]
- Vignal, N.; Cisternino, S.; Rizzo-Padoin, N.; San, C.; Hontonnou, F.; Gelé, T.; Declèves, X.; Sarda-Mantel, L.; Hosten, B. [(18)F]FEPPA a TSPO Radioligand: Optimized Radiosynthesis and Evaluation as a PET Radiotracer for Brain Inflammation in a Peripheral LPS-Injected Mouse Model. Molecules 2018, 23, 1375. [Google Scholar] [CrossRef] [PubMed]
- Solingapuram Sai, K.K.; Gage, D.; Nader, M.; Mach, R.H.; Mintz, A. Improved Automated Radiosynthesis of [(11)C]PBR28. Sci. Pharm. 2015, 83, 413–427. [Google Scholar] [CrossRef]
- Mattner, F.; Quinlivan, M.; Greguric, I.; Pham, T.; Liu, X.; Jackson, T.; Berghofer, P.; Fookes, C.J.; Dikic, B.; Gregoire, M.C.; et al. Radiosynthesis, In Vivo Biological Evaluation, and Imaging of Brain Lesions with [123I]-CLINME, a New SPECT Tracer for the Translocator Protein. Dis. Markers. 2015, 2015, 729698. [Google Scholar] [CrossRef]
- Hieu Tran, V.; Park, H.; Park, J.; Kwon, Y.D.; Kang, S.; Ho Jung, J.; Chang, K.A.; Chul Lee, B.; Lee, S.Y.; Kang, S.; et al. Synthesis and evaluation of novel potent TSPO PET ligands with 2-phenylpyrazolo[1,5-a]pyrimidin-3-yl acetamide. Bioorg. Med. Chem. 2019, 27, 4069–4080. [Google Scholar] [CrossRef]
- Pike, V.W.; Taliani, S.; Lohith, T.G.; Owen, D.R.; Pugliesi, I.; Da Pozzo, E.; Hong, J.; Zoghbi, S.S.; Gunn, R.N.; Parker, C.A.; et al. Evaluation of novel N1-methyl-2-phenylindol-3-ylglyoxylamides as a new chemotype of 18 kDa translocator protein-selective ligand suitable for the development of positron emission tomography radioligands. J. Med. Chem. 2011, 54, 366–373. [Google Scholar] [CrossRef] [PubMed]
- Kumata, K.; Zhang, Y.; Fujinaga, M.; Ohkubo, T.; Mori, W.; Yamasaki, T.; Hanyu, M.; Xie, L.; Hatori, A.; Zhang, M.R. [(18)F]DAA1106: Automated radiosynthesis using spirocyclic iodonium ylide and preclinical evaluation for positron emission tomography imaging of translocator protein (18 kDa). Bioorg. Med. Chem. 2018, 26, 4817–4822. [Google Scholar] [CrossRef] [PubMed]
- Tredwell, M.; Preshlock, S.M.; Taylor, N.J.; Gruber, S.; Huiban, M.; Passchier, J.; Mercier, J.; Génicot, C.; Gouverneur, V. A general copper-mediated nucleophilic 18F fluorination of arenes. Angew. Chem. Int. Ed. Engl. 2014, 53, 7751–7755. [Google Scholar] [CrossRef]
- Preshlock, S.; Calderwood, S.; Verhoog, S.; Tredwell, M.; Huiban, M.; Hienzsch, A.; Gruber, S.; Wilson, T.C.; Taylor, N.J.; Cailly, T.; et al. Enhanced copper-mediated (18)F-fluorination of aryl boronic esters provides eight radiotracers for PET applications. Chem. Commun. 2016, 52, 8361–8364. [Google Scholar] [CrossRef] [PubMed]
- Zischler, J.; Kolks, N.; Modemann, D.; Neumaier, B.; Zlatopolskiy, B.D. Alcohol-Enhanced Cu-Mediated Radiofluorination. Chemistry 2017, 23, 3251–3256. [Google Scholar] [CrossRef]
- Zischler, J.; Krapf, P.; Richarz, R.; Zlatopolskiy, B.D.; Neumaier, B. Automated synthesis of 4-[(18)F]fluoroanisole, [(18)F]DAA1106 and 4-[(18)F]FPhe using Cu-mediated radiofluorination under “minimalist” conditions. Appl. Radiat. Isot. 2016, 115, 133–137. [Google Scholar] [CrossRef] [PubMed]
- Wadsworth, H.; Jones, P.A.; Chau, W.F.; Durrant, C.; Morisson-Iveson, V.; Passmore, J.; O’Shea, D.; Wynn, D.; Khan, I.; Black, A.; et al. Exploration of the structure-activity relationship of the diaryl anilide class of ligands for translocator protein--potential novel positron emitting tomography imaging agents. Bioorg. Med. Chem. Lett. 2012, 22, 5795–5800. [Google Scholar] [CrossRef] [PubMed]
- Arlicot, N.; Vercouillie, J.; Ribeiro, M.J.; Tauber, C.; Venel, Y.; Baulieu, J.L.; Maia, S.; Corcia, P.; Stabin, M.G.; Reynolds, A.; et al. Initial evaluation in healthy humans of [18F]DPA-714, a potential PET biomarker for neuroinflammation. Nuclear. medicine. and. biology. 2012, 39, 570–578. [Google Scholar] [CrossRef]
- Wadsworth, H.; Jones, P.A.; Chau, W.F.; Durrant, C.; Fouladi, N.; Passmore, J.; O’Shea, D.; Wynn, D.; Morisson-Iveson, V.; Ewan, A.; et al. [¹⁸F]GE-180: A novel fluorine-18 labelled PET tracer for imaging Translocator protein 18 kDa (TSPO). Bioorg. Med. Chem. Lett. 2012, 22, 1308–1313. [Google Scholar] [CrossRef]
- Nag, S.; Krasikova, R.; Airaksinen, A.J.; Arakawa, R.; Petukhovd, M.; Gulyas, B. Synthesis and biological evaluation of [(18)F]fluorovinpocetine, a potential PET radioligand for TSPO imaging. Bioorg. Med. Chem. Lett. 2019, 29, 2270–2274. [Google Scholar] [CrossRef]
- Damont, A.; Médran-Navarrete, V.; Cacheux, F.; Kuhnast, B.; Pottier, G.; Bernards, N.; Marguet, F.; Puech, F.; Boisgard, R.; Dollé, F. Novel Pyrazolo[1,5-a]pyrimidines as Translocator Protein 18 kDa (TSPO) Ligands: Synthesis, in Vitro Biological Evaluation, [(18)F]-Labeling, and in Vivo Neuroinflammation PET Images. J. Med. Chem. 2015, 58, 7449–7464. [Google Scholar] [CrossRef] [PubMed]
- Okello, A.; Edison, P.; Archer, H.A.; Turkheimer, F.E.; Kennedy, J.; Bullock, R.; Walker, Z.; Kennedy, A.; Fox, N.; Rossor, M.; et al. Microglial activation and amyloid deposition in mild cognitive impairment: A PET study. Neurology 2009, 72, 56–62. [Google Scholar] [CrossRef] [PubMed]
- Cagnin, A.; Brooks, D.J.; Kennedy, A.M.; Gunn, R.N.; Myers, R.; Turkheimer, F.E.; Jones, T.; Banati, R.B. In-vivo measurement of activated microglia in dementia. Lancet 2001, 358, 461–467. [Google Scholar] [CrossRef] [PubMed]
- Feeney, C.; Scott, G.; Raffel, J.; Roberts, S.; Coello, C.; Jolly, A.; Searle, G.; Goldstone, A.P.; Brooks, D.J.; Nicholas, R.S.; et al. Kinetic analysis of the translocator protein positron emission tomography ligand [(18)F]GE-180 in the human brain. Eur. J. Nucl. Med. Mol. Imaging 2016, 43, 2201–2210. [Google Scholar] [CrossRef] [PubMed]
- Zanotti-Fregonara, P.; Pascual, B.; Rizzo, G.; Yu, M.; Pal, N.; Beers, D.; Carter, R.; Appel, S.H.; Atassi, N.; Masdeu, J.C. Head-to-Head Comparison of (11)C-PBR28 and (18)F-GE180 for Quantification of the Translocator Protein in the Human Brain. J. Nucl. Med. 2018, 59, 1260–1266. [Google Scholar] [CrossRef]
- Gulyás, B.; Makkai, B.; Kása, P.; Gulya, K.; Bakota, L.; Várszegi, S.; Beliczai, Z.; Andersson, J.; Csiba, L.; Thiele, A.; et al. A comparative autoradiography study in post mortem whole hemisphere human brain slices taken from Alzheimer patients and age-matched controls using two radiolabelled DAA1106 analogues with high affinity to the peripheral benzodiazepine receptor (PBR) system. Neurochem. Int. 2009, 54, 28–36. [Google Scholar] [CrossRef] [PubMed]
- Fan, Z.; Calsolaro, V.; Atkinson, R.A.; Femminella, G.D.; Waldman, A.; Buckley, C.; Trigg, W.; Brooks, D.J.; Hinz, R.; Edison, P. Flutriciclamide (18F-GE180) PET: First-in-Human PET Study of Novel Third-Generation In Vivo Marker of Human Translocator Protein. J. Nucl. Med. 2016, 57, 1753–1759. [Google Scholar] [CrossRef]








| Study | Risk of Bias | Applicability Concerns | |||||
|---|---|---|---|---|---|---|---|
| P | I | R | FT | P | I | R | |
| Donat et al., 2018 [9] | ? | ✓ | ✓ | ✓ | ✓ | ✓ | ✓ |
| Chauveau et al., 2011 [24] | ✓ | ✓ | ✓ | ✓ | ✓ | ✓ | ✓ |
| Chauveau et al., 2009 [25] | ✓ | ✓ | ✓ | ✓ | ✓ | ✓ | ✓ |
| Vignal et al., 2018 [26] | ✓ | ✓ | ✓ | ✓ | ✓ | ✓ | ✓ |
| Solingapuram et al., 2015 [27] | ✓ | ✓ | ✓ | ✓ | ✓ | ✓ | ✓ |
| Mattner et al., 2015 [28] | ✓ | ✓ | ✓ | ✓ | ✓ | ✓ | ✓ |
| Tran et al., 2019 [29] | ✓ | ✓ | ✓ | ✓ | ✓ | ✓ | ✓ |
| Qiao et al., 2019 [16] | ✓ | ✓ | ✓ | ✓ | ✓ | ✓ | ✓ |
| Pike et al., 2011 [30] | ✓ | ✓ | ✓ | ✓ | ✓ | ✓ | ✓ |
| Kumata et al., 2018 [31] | ✓ | ✓ | ✓ | ✓ | ✓ | ✓ | ✓ |
| Zhang et al., 2007 | ✓ | ✓ | ✓ | ✓ | ✓ | ✓ | ✓ |
| Tredwell et al., 2016 [32] | ✓ | ✓ | ✓ | ✓ | ✓ | ✓ | ✓ |
| Zischler et al., 2016 [33] | ✓ | ✓ | ✓ | ✓ | ✓ | ✓ | ✓ |
| Zischler et al., 2017 [34] | ✓ | ✓ | ✓ | ✓ | ✓ | ✓ | ✓ |
| Wadsworth et al., 2012 [35] | ✓ | ✓ | ✓ | ✓ | ✓ | ✓ | ✓ |
| Arlicot et al., 2011 [36] | ✓ | ✓ | ✓ | ✓ | ✓ | ✓ | ✓ |
| Wadsworth et al., 2012 [37] | ✓ | ✓ | ✓ | ✓ | ✓ | ✓ | ✓ |
| Chau et al., 2015 [19] | ✓ | ✓ | ✓ | ✓ | ✓ | ✓ | ✓ |
| Nag et al., 2019 [38] | ✓ | ✓ | ✓ | ✓ | ✓ | ✓ | ✓ |
| Damont et al., 2015 [39] | ✓ | ✓ | ✓ | ✓ | ✓ | ✓ | ✓ |
| Okello et al., 2009 [40] | ? | ✓ | ✗ | ? | ✓ | ✓ | ✓ |
| Cagnin et al., 2001 [41] | ✓ | ✓ | ✓ | ✓ | ✓ | ✓ | ✓ |
| Cagnin et al., 2004 | ✓ | ✓ | ✓ | ✓ | ✓ | ✓ | ✓ |
| Feneey et al., 2016 [42] | ✓ | ✓ | ✓ | ✓ | ✓ | ✓ | ✓ |
| Zanotti-Fregonara et al., 2018 [43] | ✓ | ✓ | ✓ | ✓ | ✓ | ✓ | ✓ |
| Gulyás et al., 2009 [44] | ✓ | ✓ | ✓ | ✓ | ✓ | ✓ | ✓ |
| Fan et al., 2016 [45] | ✓ | ✓ | ✓ | ✓ | ✓ | ✓ | ✓ |
| Preshlock et al., 2016 [46] | ✓ | ✓ | ✓ | ✓ | ✓ | ✓ | ✓ |
| Risk of Bias | Concerns Regarding Applicability | ||||||
|---|---|---|---|---|---|---|---|
| Patient Selection | Index Test | Reference Standard | Flow and Timing | Patient Selection | Index Test | Reference Standard | |
| Low | 26 | 28 | 27 | 27 | 28 | 28 | 28 |
| High | 0 | 0 | 1 | 0 | 0 | 0 | 0 |
| Unclear | 2 | 0 | 0 | 1 | 0 | 0 | 0 |
| Total | 28 | 28 | 28 | 28 | 28 | 28 | 28 |
Disclaimer/Publisher’s Note: The statements, opinions and data contained in all publications are solely those of the individual author(s) and contributor(s) and not of MDPI and/or the editor(s). MDPI and/or the editor(s) disclaim responsibility for any injury to people or property resulting from any ideas, methods, instructions or products referred to in the content. |
© 2023 by the authors. Licensee MDPI, Basel, Switzerland. This article is an open access article distributed under the terms and conditions of the Creative Commons Attribution (CC BY) license (https://creativecommons.org/licenses/by/4.0/).
Share and Cite
Conte, M.; De Feo, M.S.; Corica, F.; Gorica, J.; Sidrak, M.M.A.; De Cristofaro, F.; Filippi, L.; Ricci, M.; De Vincentis, G.; Frantellizzi, V. A Systematic Review on Dementia and Translocator Protein (TSPO): When Nuclear Medicine Highlights an Underlying Expression. Biomolecules 2023, 13, 598. https://doi.org/10.3390/biom13040598
Conte M, De Feo MS, Corica F, Gorica J, Sidrak MMA, De Cristofaro F, Filippi L, Ricci M, De Vincentis G, Frantellizzi V. A Systematic Review on Dementia and Translocator Protein (TSPO): When Nuclear Medicine Highlights an Underlying Expression. Biomolecules. 2023; 13(4):598. https://doi.org/10.3390/biom13040598
Chicago/Turabian StyleConte, Miriam, Maria Silvia De Feo, Ferdinando Corica, Joana Gorica, Marko Magdi Abdou Sidrak, Flaminia De Cristofaro, Luca Filippi, Maria Ricci, Giuseppe De Vincentis, and Viviana Frantellizzi. 2023. "A Systematic Review on Dementia and Translocator Protein (TSPO): When Nuclear Medicine Highlights an Underlying Expression" Biomolecules 13, no. 4: 598. https://doi.org/10.3390/biom13040598
APA StyleConte, M., De Feo, M. S., Corica, F., Gorica, J., Sidrak, M. M. A., De Cristofaro, F., Filippi, L., Ricci, M., De Vincentis, G., & Frantellizzi, V. (2023). A Systematic Review on Dementia and Translocator Protein (TSPO): When Nuclear Medicine Highlights an Underlying Expression. Biomolecules, 13(4), 598. https://doi.org/10.3390/biom13040598

