Red Blood Cells’ Thermodynamic Behavior in Neurodegenerative Pathologies and Aging
Abstract
:1. Introduction
2. Materials and Methods
2.1. Patients and Baseline Characteristics
2.2. RBCs Preparation
2.3. Differential Scanning Calorimetry
2.4. Statistical Analysis
3. Results
3.1. Patient Characteristics
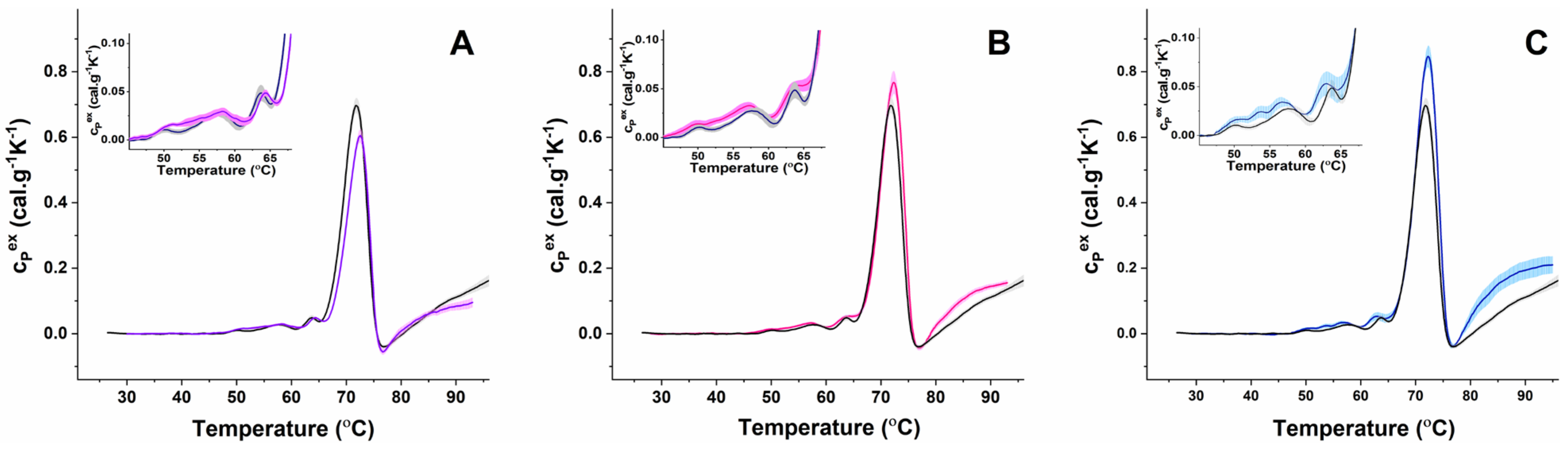
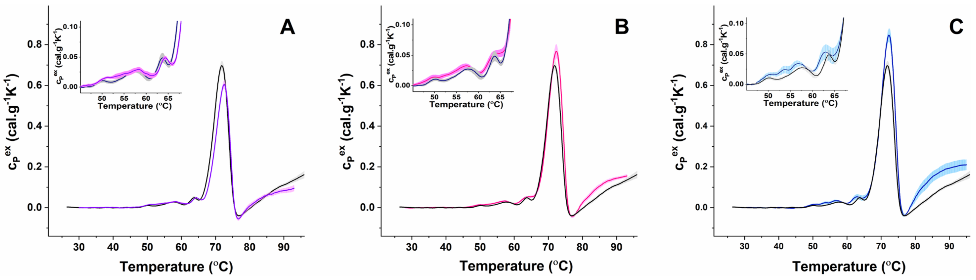
3.2. Thermodynamic Behavior of Proteins in Fresh RBCs
3.3. Aging Effect on the Thermodynamic Behavior of Diseased vs. Healthy RBCs
4. Discussion
5. Conclusions
Supplementary Materials
Author Contributions
Funding
Institutional Review Board Statement
Informed Consent Statement
Data Availability Statement
Conflicts of Interest
References
- Hou, Y.; Dan, X.; Babbar, M.; Wei, Y.; Hasselbalch, S.G.; Croteau, D.L.; Bohr, V.A. Ageing as a risk factor for neurodegenerative disease. Nat. Rev. Neurol. 2019, 15, 565–581. [Google Scholar] [CrossRef]
- Balistreri, C.; Candore, G.; Accardi, G.; Buffa, S.; Bulati, M.; Martorana, A.; Colonna-Romano, G.; Lio, D.; Caruso, C. Centenarian offspring: A model for understanding longevity. Curr. Vasc. Pharmacol. 2013, 12, 718–725. [Google Scholar] [CrossRef]
- Vasilopoulos, T.; Kotwal, A.; Huisingh-Scheetz, M.J.; Waite, L.J.; McClintock, M.K.; Dale, W. Comorbidity and chronic conditions in the national social life, health and aging project (NSHAP), wave 2. J. Gerontol. Ser. B 2014, 69, S154–S165. [Google Scholar] [CrossRef]
- Andersen, A.D.; Binzer, M.; Stenage, E.; Gramsberge, J.B. Cerebrospinal fluid biomarkers for Parkinson’s disease—A systematic review. Acta Neurol. Scand. 2017, 135, 34–56. [Google Scholar] [CrossRef]
- Beach, T.G. A review of biomarkers for neurodegenerative disease: Will they swing us across the valley? Neurol. Ther. 2017, 6, 5–13. [Google Scholar] [CrossRef] [Green Version]
- Meldolesi, J. News about the role of fluid and imaging biomarkers in neurodegenerative diseases. Biomedicines 2021, 9, 252. [Google Scholar] [CrossRef]
- Wojsiat, J.; Laskowska-Kaszub, K.; Mietelska-Porowska, A.; Wojda, U. Search for Alzheimer’s disease biomarkers in blood cells: Hypotheses-driven approach. Biomark. Med. 2017, 11, 917–931. [Google Scholar] [CrossRef] [Green Version]
- Pluta, R.; Ułamek-Kozioł, M.; Januszewski, S.; Czuczwar, S.J. Platelets, lymphocytes and erythrocytes from Alzheimer’s disease patients: The quest for blood cell-based biomarkers. Folia Neuropathol. 2018, 56, 14–20. [Google Scholar] [CrossRef]
- Stevenson, A.; Lopez, D.; Khoo, P.; Kalaria, R.N.; Mukaetova-Ladinska, E.B. Exploring erythrocytes as blood biomarkers for Alzheimer’s disease. J. Alzheimer’s Dis. 2017, 60, 845–857. [Google Scholar] [CrossRef]
- Lima, C.; Pinto, S.; Napoleão, P.; Pronto-Laborinho, A.C.; Barros, M.A.; Freitas, T.; de Carvalho, M.; Saldanha, C. Identification of erythrocyte biomarkers in amyotrophic lateral sclerosis. Clin. Hemorheol. Microcirc. 2016, 63, 423–437. [Google Scholar] [CrossRef]
- Chen, L.; Xu, S.; Wu, T.; Shao, Y.; Luo, L.; Zhou, L.; Ou, S.; Tang, H.; Huang, W.; Guo, K.; et al. Abnormal platelet amyloid-β precursor protein metabolism in SAMP8 mice: Evidence for peripheral marker in Alzheimer’s disease. J. Cell. Physiol. 2019, 234, 23528–23536. [Google Scholar] [CrossRef]
- Baldacci, F.; Daniele, S.; Piccarducci, R.; Giampietri, L.; Pietrobono, D.; Giorgi, F.S.; Nicoletti, V.; Frosini, D.; Libertini, P.; Gerfo, A.L.; et al. Potential diagnostic value of red blood cells α-synuclein heteroaggregates in Alzheimer’s disease. Mol. Neurobiol. 2019, 56, 6451–6459. [Google Scholar] [CrossRef]
- Tang, R.; Liu, H. Identification of temporal characteristic networks of peripheral blood changes in Alzheimer’s disease based on weighted gene co-expression network analysis. Front. Aging Neurosci. 2019, 11, 83. [Google Scholar] [CrossRef]
- Posavi, M.; Diaz-Ortiz, M.; Liu, B.; Swanson, C.R.; Skrinak, R.T.; Hernandez-Con, P.; Amado, D.A.; Fullard, M.; Rick, J.; Siderowf, A.; et al. Characterization of Parkinson’s disease using blood-based biomarkers: A multicohort proteomic analysis. PLoS Med. 2019, 16, e1002931. [Google Scholar] [CrossRef]
- Olsson, B.; Lautner, R.; Andreasson, U.; Öhrfelt, A.; Portelius, E.; Bjerke, M.; Hölttä, M.; Rosén, C.; Olsson, C.; Strobel, G.; et al. CSF and blood biomarkers for the diagnosis of Alzheimer’s disease: A systematic review and meta-analysis. Lancet Neurol. 2016, 15, 673–684. [Google Scholar] [CrossRef]
- Alzforum Alzbiomarker. Meta-Analysis of Circulating Biomarkers in the Cerebrospinal Fluid and Blood. Version 2.0. 2017. Available online: www.alzforum.org/alzbiomarker (accessed on 1 September 2021).
- Pretini, V.; Koenen, M.H.; Kaestner, L.; Fens, M.H.A.M.; Schiffelers, R.M.; Bartels, M.; van Wijk, R. Red blood cells: Chasing interactions. Front. Physiol. 2019, 10, 945. [Google Scholar] [CrossRef] [Green Version]
- Kakhniashvili, D.G.; Bulla, L.A., Jr.; Goodman, S.R. The human erythrocyte proteome: Analysis by ion trap mass spectrometry. Mol. Cell. Proteom. 2004, 3, 501–509. [Google Scholar] [CrossRef] [Green Version]
- Bryk, A.H.; Wiśniewski, J.R. Quantitative analysis of human red blood cell proteome. J. Proteome Res. 2017, 16, 2752–2761. [Google Scholar] [CrossRef] [Green Version]
- Kozlova, E.; Chernysh, A.; Sergunova, V.; Manchenko, E.; Moroz, V.; Kozlov, A. Conformational distortions of the red blood cell spectrin matrix nanostructure in response to temperature changes in vitro. Scanning 2019, 2019, 1–12. [Google Scholar] [CrossRef] [Green Version]
- Lux, S.E. Anatomy of the red cell membrane skeleton: Unanswered questions. Blood 2016, 127, 187–199. [Google Scholar] [CrossRef] [Green Version]
- Appell, K.C.; Low, P.S. Evaluation of the structural interdependence of the membrane-spanning and cytoplasmic domains of band 3. Biochemistry 1982, 21, 2151–2157. [Google Scholar] [CrossRef]
- Chu, H.; McKenna, M.M.; Krump, N.A.; Zheng, S.; Mendelsohn, L.; Thein, S.L.; Garrett, L.J.; Bodine, D.M.; Low, P.S. Reversible binding of hemoglobin to band 3 constitutes the molecular switch that mediates O2 regulation of erythrocyte properties. Blood 2016, 128, 2708–2716. [Google Scholar] [CrossRef]
- Aoki, T. A comprehensive review of our current understanding of red blood cell (RBC) glycoproteins. Membranes 2017, 7, 56. [Google Scholar] [CrossRef] [PubMed] [Green Version]
- Scheiblich, H.; Trombly, M.; Ramirez, A.; Heneka, M.T. Neuroimmune connections in aging and neurodegenerative diseases. Trends Immunol. 2020, 41, 300–312. [Google Scholar] [CrossRef] [PubMed]
- Krisko, A.; Radman, M. Protein damage, ageing and age-related diseases. Open Biol. 2019, 9, 180249. [Google Scholar] [CrossRef] [PubMed] [Green Version]
- Dinarelli, S.; Longo, G.; Krumova, S.; Todinova, S.; Danailova, A.; Taneva, S.G.; Lenzi, E.; Mussi, V.; Girasole, M. Insight into the morphological pattern observed along the erythrocytes’ aging: Coupling quantitative AFM data to microcalorimetry and Raman spectroscopy. J. Mol. Recognit. 2018, 31, e2732. [Google Scholar] [CrossRef]
- Postuma, R.B.; Berg, D.; Stern, M.; Poewe, W.; Olanow, C.W.; Oertel, W.; Obeso, J.; Marek, K.; Litvan, I.; Lang, A.E.; et al. MDS clinical diagnostic criteria for Parkinson’s disease. Mov. Disord. 2015, 30, 1591–1601. [Google Scholar] [CrossRef]
- Brooks, B.R.; Miller, R.G.; Swash, M.; Munsat, T.L. El Escorial revisited: Revised criteria for the diagnosis of amyotrophic lateral sclerosis. Amyotroph Lateral Scler. Other Motor Neuron Disord. 2000, 1, 293–299. [Google Scholar] [CrossRef]
- Mckhann, G.M.; Knopman, D.S.; Chertkow, H.; Hyman, B.; Jack, C., Jr.; Kawas, C.; Klunk, W.; Koroshetz, W.; Manly, J.; Mayeux, R.; et al. The diagnosis of dementia due to Alzheimer’s disease: Recommendations from the National Institute on Aging-Alzheimer’s Association workgroups on diagnostic guidelines for Alzheimer’s disease. Alzheimer’s Dement. 2011, 7, 263–269. [Google Scholar] [CrossRef] [Green Version]
- Davio, S.R.; Low, P.S. Characterization of the calorimetric C transition of the human erythrocyte membrane. Biochemistry 1982, 21, 3585–3593. [Google Scholar] [CrossRef]
- Brandts, J.F.; Erickson, L.; Lysko, K.; Schwartz, A.T.; Taverna, R.D. Calorimetric studies of the structural transitions of the human erythrocyte membrane. The involvement of spectrin in the A transition. Biochemistry 1977, 16, 3450–3454. [Google Scholar] [CrossRef] [PubMed]
- Lysko, K.A.; Carlson, R.; Taverna, R.; Snow, J.; Brandts, J.F. Protein involvement in structural transitions of erythrocyte ghosts. Use of thermal gel analysis to detect protein aggregation. Biochemistry 1981, 20, 5570–5576. [Google Scholar] [CrossRef] [PubMed]
- Lepock, J.R. Measurement of protein stability and protein denaturation in cells using differential scanning calorimetry. Methods 2005, 35, 117–125. [Google Scholar] [CrossRef] [PubMed]
- Garbett, N.C.; Mekmaysy, C.S.; Helm, C.W.; Jenson, A.B.; Chaires, J. Differential scanning calorimetry of blood plasma for clinical diagnosis and monitoring. Exp. Mol. Pathol. 2009, 86, 186–191. [Google Scholar] [CrossRef]
- Garbett, N.C.; Merchant, M.L.; Chaires, J.B.; Klein, J.B. Calorimetric analysis of the plasma proteome: Identification of type 1 diabetes patients with early renal function decline. Biochim. Biophys. Acta BBA Gen. Subj. 2013, 1830, 4675–4680. [Google Scholar] [CrossRef] [Green Version]
- Garbett, N.C.; Brock, G.N. Differential scanning calorimetry as a complementary diagnostic tool for the evaluation of biological samples. Biochim. Biophys. Acta BBA Gen. Subj. 2016, 1860, 981–989. [Google Scholar] [CrossRef] [Green Version]
- Todinova, S.; Krumova, S.; Kurtev, P.; Dimitrov, V.; Djongov, L.; Dudunkov, Z.; Taneva, S.G. Calorimetry-based profiling of blood plasma from colorectal cancer patients. Biochim. Biophys. Acta BBA Gen. Subj. 2012, 1820, 1879–1885. [Google Scholar] [CrossRef]
- Todinova, S.; Krumova, S.; Radoeva, R.; Gartcheva, L.; Taneva, S.G. Calorimetric markers of bence jones and nonsecretory multiple myeloma serum proteome. Anal. Chem. 2014, 86, 12355–12361. [Google Scholar] [CrossRef]
- Krumova, S.; Todinova, S.; Danailova, A.; Petkova, V.; Dimitrova, K.; Gartcheva, L.; Taneva, S.G. Calorimetric features of IgM gammopathies. Implication for patient’s diagnosis and monitoring. Thermochim. Acta 2015, 615, 23–29. [Google Scholar] [CrossRef]
- Zapf, I.; Fekecs, T.; Ferencz, A.; Tizedes, G.; Pavlovics, G.; Kálmán, E.; Lőrinczy, D. DSC analysis of human plasma in breast cancer patients. Thermochim. Acta 2011, 524, 88–91. [Google Scholar] [CrossRef]
- Zapf, I.; Moezzi, M.; Fekecs, T.; Nedvig, K.; Lőrinczy, D.; Ferencz, A. Influence of oxidative injury and monitoring of blood plasma by DSC on breast cancer patients. J. Therm. Anal. Calorim. 2015, 123, 2029–2035. [Google Scholar] [CrossRef]
- Fekecs, T.; Zapf, I.; Ferencz, A.; Lőrinczy, D. Differential scanning calorimetry (DSC) analysis of human plasma in melanoma patients with or without regional lymph node metastases. J. Therm. Anal. Calorim. 2011, 108, 149–152. [Google Scholar] [CrossRef]
- Barceló, F.; Cerdà, J.J.; Gutiérrez, A.; Jimenez-Marco, T.; Durán, M.A.; Novo, A.; Ros, T.; Sampol, A.; Portugal, J. Characterization of monoclonal gammopathy of undetermined significance by calorimetric analysis of blood serum proteome. PLoS ONE 2015, 10, e0120316. [Google Scholar] [CrossRef] [PubMed]
- Vega, S.; García-González, M.A.; Lanas, A.; Velazquez-Campoy, A.; Abian, O. Deconvolution analysis for classifying gastric adenocarcinoma patients based on differential scanning calorimetry serum thermograms. Sci. Rep. 2015, 5, 7988. [Google Scholar] [CrossRef] [Green Version]
- Tsvetkov, P.O.; Tabouret, E.; Roman, A.Y.; Romain, S.; Bequet, C.; Ishimbaeva, O.; Honoré, S.; Figarella-Branger, D.; Chinot, O.; Devred, F. Differential scanning calorimetry of plasma in glioblastoma: Toward a new prognostic/monitoring tool. Oncotarget 2018, 9, 9391–9399. [Google Scholar] [CrossRef] [Green Version]
- Velazquez-Campoy, A.; Vega, S.; Sanchez-Gracia, O.; Lanas, A.; Rodrigo, A.; Kaliappan, A.; Hall, M.B.; Nguyen, T.Q.; Brock, G.N.; Chesney, J.A.; et al. Thermal liquid biopsy for monitoring melanoma patients under surveillance during treatment: A pilot study. Biochim. Biophys. Acta BBA Gen. Subj. 2018, 1862, 1701–1710. [Google Scholar] [CrossRef] [PubMed]
- Koynova, R.; Antonova, B.; Sezanova, B.; Tenchov, B. Beneficial effect of sequential chemotherapy treatments of lung cancer patients revealed by calorimetric monitoring of blood plasma proteome denaturation. Thermochim. Acta 2018, 659, 1–7. [Google Scholar] [CrossRef]
- Tsvetkov, P.O.; Devred, F. Plasmatic signature of disease by differential scanning calorimetry (DSC). Breast Cancer 2019, 1964, 45–57. [Google Scholar] [CrossRef] [Green Version]
- Krumova, S.; Balansky, R.; Danailova, A.; Ganchev, G.; Djongov, L.; Gartcheva, L.; Taneva, S.G.; Todinova, S. Calorimetric assay to follow colorectal cancer development in experimental rat models. Thermochim. Acta 2020, 691, 178723. [Google Scholar] [CrossRef]
- Chagovetz, A.A.; Jensen, R.L.; Recht, L.; Glantz, M.; Chagovetz, A.M. Preliminary use of differential scanning calorimetry of cerebrospinal fluid for the diagnosis of glioblastoma multiforme. J. Neuro-Oncol. 2011, 105, 499–506. [Google Scholar] [CrossRef]
- Antonova, B.; Naydenov, E.; Koynova, R.; Tumangelova-Yuzeir, K.; Tenchov, B. Exothermic transitions in the heat capacity profiles of human cerebrospinal fluid. Eur. Biophys. J. 2020, 49, 231–238. [Google Scholar] [CrossRef]
- Todinova, S.; Stoyanova, E.; Krumova, S.; Iliev, I.; Taneva, S. Calorimetric signatures of human cancer cells and their nuclei. Thermochim. Acta 2016, 623, 95–101. [Google Scholar] [CrossRef]
- Tenchov, B.; Abarova, S.; Koynova, R.; Traikov, L.; Tancheva, L. Low-temperature exothermic transitions in brain proteome of mice, effect of scopolamine. Thermochim. Acta 2017, 650, 26–32. [Google Scholar] [CrossRef]
- Farkas, P.; Könczöl, F.; Lőrinczy, D. Cyclophosphamide-induced changes in plasma and red blood cells detected by differential scanning calorimetry (DSC) in guinea pigs. J. Therm. Anal. Calorim. 2017, 127, 1239–1243. [Google Scholar] [CrossRef]
- Farkas, P.; Könczöl, F.; Lőrinczy, D. Monitoring the side effects with DSC caused by cyclophosphamide treatment. J. Therm. Anal. Calorim. 2020, 142, 765–770. [Google Scholar] [CrossRef] [Green Version]
- Farkas, P.; Szatmári, D.; Könczöl, F.; Lőrinczy, D. Cyclophosphamide treatment evoked side effect on skeletal muscle actin, monitored by DSC. J. Therm. Anal. Calorim. 2021, 142. [Google Scholar] [CrossRef] [Green Version]
- Michnik, A.; Sadowska-Krępa, E.; Cholewa, J.; Schisler, I.; Kiełboń, A.; Drzazga, Z. Differential scanning calorimetry study of early and advanced stages in Parkinson’s disease using human blood serum. Thermochim. Acta 2018, 662, 64–68. [Google Scholar] [CrossRef]
- Kiko, T.; Nakagawa, K.; Satoh, A.; Tsuduki, T.; Furukawa, K.; Arai, H.; Miyazawa, T. Amyloid β levels in human red blood cells. PLoS ONE 2012, 7, e49620. [Google Scholar] [CrossRef] [Green Version]
- Seubert, P.; Vigo-Pelfrey, C.; Esch, F.; Lee, M.; Dovey, H.; Davis, D.; Sinha, S.; Schlossmacher, M.; Whaley, J.; Swindlehurst, C.; et al. Isolation and quantification of soluble Alzheimer’s beta-peptide from biological fluids. Nature 1992, 35, 325–327. [Google Scholar] [CrossRef]
- Kuo, Y.M.; Kokjohn, T.A.; Kalback, W.; Luehrs, D.; Galasko, D.R.; Chevallier, N.; Koo, E.H.; Emmerling, M.R.; Roher, A.E. Amyloid-beta peptides interact with plasma proteins and erythrocytes: Implications for their quantitation in plasma. Biochem. Biophys. Res. Commun. 2000, 268, 750–756. [Google Scholar] [CrossRef]
- Giacomelli, C.; Daniele, S.; Martini, C. Potential biomarkers and novel pharmacological targets in protein aggregation-related neurodegenerative diseases. Biochem. Pharmacol. 2017, 131, 1–15. [Google Scholar] [CrossRef]
- Iljina, M.; Dear, A.J.; Garcia, G.A.; De, S.; Tosatto, L.; Flagmeier, P.; Whiten, D.R.; Michaels, T.C.T.; Frenkel, D.; Dobson, C.M.; et al. Quantifying co-oligomer formation by α-synuclein. ACS Nano 2018, 12, 10855–10866. [Google Scholar] [CrossRef]
- Rifkind, J.M.; Nagababu, E. Hemoglobin redox reactions and red blood cell aging. Antioxid. Redox Signal. 2013, 18, 2274–2283. [Google Scholar] [CrossRef] [PubMed] [Green Version]
- Shaklai, N.; Yguerabide, J.; Ranney, H.M. Classification and localization of hemoglobin binding sites on the red blood cell membrane. Biochemistry 1977, 16, 5593–5597. [Google Scholar] [CrossRef] [PubMed]
- Bosman, G.; Lasonder, E.; Groenen-Döpp, Y.; Willekens, F.; Werre, J.; Novotný, V. Comparative proteomics of erythrocyte aging in vivo and in vitro. J. Proteom. 2010, 73, 396–402. [Google Scholar] [CrossRef] [PubMed]







| Clinical Characteristics | Healthy | PD | ALS | AD |
|---|---|---|---|---|
| Number of patients | 9 | 9 | 8 | 3 |
| Mean age (in years) ± S.D. | 58.8 ± 10.2 | 68.2 ± 11.2 | 62.6 ± 12.8 | 75 ± 7 |
| (Range, years) | (42–76) | (47–86) | (42–78) | (70–83) |
| Gender, M/F | 3/6 | 4/5 | 5/3 | 0/3 |
| Creatinine (μmol/L) | - | 90.5 ± 17.2 | 61.6 ± 12.0 | 55.1 ± 15 |
| Hct (%) | 41.3 ± 2.1 | 38.0 ± 4.0 | 39.3 ± 4.8 | 30.5 ± 7.8 |
| Hb (g/L) | 137.2 ± 6.6 | 134.4 ± 15.2 | 140.0 ± 20.2 | 107.6 ± 37.2 |
| TmT1 | TmT2 | TmB3 | TmHb | ΔHcal |
|---|---|---|---|---|
| (cPexT1) | (cPexT2) | (cPexB3) | (cPexHb) | |
| Healthy | ||||
| 50.0 ± 0.06 | 57.5 ± 0.08 | 63.7 ± 0.1 | 71.7 ± 0.09 | 3.78 ± 0.1 |
| (0.011 ± 0.002) | (0.027 ± 0.002) | (0.047 ± 0.003) | (0.71 ± 0.01) | |
| PD | ||||
| 51.2 ± 0.05 | 57.9 ± 0.3 | 64.2 ± 0.2 | 72.3 ± 0.11 | 3.30 ± 0.14 * |
| (0.016 ± 0.002) | (0.030 ± 0.003) | (0.049 ± 0.002) | (0.58 ± 0.02) | |
| ALS | ||||
| 49.7 ± 0.08 | 57.0 ± 0.12 | 63.8 ± 0.3 | 72.2 ± 0.14 | 4.36 ± 0.15 * |
| (0.014 ± 0.001) | (0.033 ± 0.003) | (0.054 ± 0.004) | (0.78 ± 0.02) | |
| AD | ||||
| 50.05 ± 0. | 57.0 ± 0.37 | 62.9 ± 0.04 | 72.3 ± 0.06 | 4.69 ± 0.3 * |
| (0.015 ± 0.004) | (0.035 ± 0.004) | (0.053 ± 0.01) | (0.85 ± 0.03) | |
| TmB3 | TmHb | ΔHcal | |||
|---|---|---|---|---|---|
| 30 Day | 40 Day | 30 Day | 40 Day | 30 Day | 40 Day |
| Healthy | |||||
| 62.02 ± 0.1 | 61.78 ± 0.1 | 70.48 ± 0.2 | 69.64 ± 0.5 | 3.21 ± 0.2 | 2.72 ± 0.3 |
| PD | |||||
| 63.38 ± 0.2 **** | 62.64 ± 0.2 | 71.61 ± 0.2 ** | 71.28 ± 0.1 *** | 2.64 ± 0.3 *** | 2.00 ± 0.1 * |
| ALS | |||||
| 63.06 ± 0.2 **** | 62.69 ± 0.2 | 71.48 ± 0.1 ** | 71.40 ± 0.2 *** | 3.62 ± 0.1 *** | 3.28 ± 0.4 **** |
| AD | |||||
| 62.83 ± 0.1 | 62.42 ± 0.0 | 71.79 ± 0.2 | 71.70 ± 0.1 | 3.40 ± 0.4 | 3.45 ± 0.1 |
Publisher’s Note: MDPI stays neutral with regard to jurisdictional claims in published maps and institutional affiliations. |
© 2021 by the authors. Licensee MDPI, Basel, Switzerland. This article is an open access article distributed under the terms and conditions of the Creative Commons Attribution (CC BY) license (https://creativecommons.org/licenses/by/4.0/).
Share and Cite
Todinova, S.; Krumova, S.; Bogdanova, D.; Danailova, A.; Zlatareva, E.; Kalaydzhiev, N.; Langari, A.; Milanov, I.; Taneva, S.G. Red Blood Cells’ Thermodynamic Behavior in Neurodegenerative Pathologies and Aging. Biomolecules 2021, 11, 1500. https://doi.org/10.3390/biom11101500
Todinova S, Krumova S, Bogdanova D, Danailova A, Zlatareva E, Kalaydzhiev N, Langari A, Milanov I, Taneva SG. Red Blood Cells’ Thermodynamic Behavior in Neurodegenerative Pathologies and Aging. Biomolecules. 2021; 11(10):1500. https://doi.org/10.3390/biom11101500
Chicago/Turabian StyleTodinova, Svetla, Sashka Krumova, Desislava Bogdanova, Avgustina Danailova, Elena Zlatareva, Nikolay Kalaydzhiev, Ariana Langari, Ivan Milanov, and Stefka G. Taneva. 2021. "Red Blood Cells’ Thermodynamic Behavior in Neurodegenerative Pathologies and Aging" Biomolecules 11, no. 10: 1500. https://doi.org/10.3390/biom11101500
APA StyleTodinova, S., Krumova, S., Bogdanova, D., Danailova, A., Zlatareva, E., Kalaydzhiev, N., Langari, A., Milanov, I., & Taneva, S. G. (2021). Red Blood Cells’ Thermodynamic Behavior in Neurodegenerative Pathologies and Aging. Biomolecules, 11(10), 1500. https://doi.org/10.3390/biom11101500

