Abstract
The emergent universe provides a possible method to avoid the Big Bang singularity by considering that the universe stems from a stable Einstein static universe rather than the singularity. Since the Einstein static universe exists before inflation, it may leave some relics in the CMB power spectrum. In this paper, we analyze the stability condition for the Einstein static universe in general relativity with k-essence against both the scalar and tensor perturbations. Furthermore, we find the emergent universe can be successfully realized by constructing a scalar potential and an equation of state parameter. Solving the curved Mukhanov–Sasaki equation, we obtain the analytical approximation for the primordial power spectrum, and then depict the TT-spectrum of the emergent universe. The results show that both the primordial power spectrum and CMB TT-spectrum are suppressed on large scales.
1. Introduction
While most problems in the standard Big Bang cosmological model can be solved by the inflationary scenario [1,2,3], the Big Bang singularity problem at the beginning of the universe remains open. To avoid the Big Bang singularity, by considering a form of energy named as quintessence which is a dynamic, time-dependent canonical scalar field with a potential to drive the late-time cosmic acceleration, a cosmological model called the emergent universe was proposed [4,5]. In the emergent universe, it is assumed that the universe originated from an Einstein static universe rather than a Big Bang singularity. After the universe exits from the Einstein static state, it can evolve into an inflationary era and then exit from this era. When the emergent universe was proposed, it received lots of attention [6,7,8,9,10,11,12,13]. For a successful emergent universe, it requires the Einstein static universe to exist past-eternally, i.e., it is stable against both scalar perturbations and tensor perturbations. However, the original model of the emergent universe is unsuccessful since the Einstein static solution in general relativity with quintessence is unstable against inhomogeneous scalar perturbations [14]. Subsequently, a large amount of efforts have gone into theories of modified gravity, and the stable Einstein static universe against homogeneous and inhomogeneous scalar perturbations was found in Mimetic gravity [13], scalar-fluid theory [15], non-minimal derivative coupling model [16,17], braneworld model [18], Jordan–Brans–Dicke theory [19], Eddington-inspired Born–Infeld theory [20], hybrid metric-Palatini gravity [21], GUP theory [22], f(R,T) gravity [23], f(R,T,Q) gravity [24], and massive gravity [25].
In slow-roll inflation, nearly scale-invariant primordial scalar perturbations caused by quantum fluctuations during inflation can explain the cosmic microwave background (CMB) radiation anisotropy observed today, and provide seeds for the large-scale structure of the observable Universe [26,27]. CMB observations show that there exists a suppression of the CMB TT-spectrum at large scales, which was first observed by COBE [28] and recently confirmed by Planck 2018 [29]. This might correspond to the physics before inflation. In order to explain this suppression, several approaches are proposed. One approach is to introduce the spatial curvature in the inflationary model [30,31]. Recently, by considering the universe starting with a kinetically dominated regime followed by a slow-roll epoch, it was found that the suppression of the CMB TT-spectrum exists in general relativity by considering the spatial curvature [32,33]. Another approach is to construct some new models, such as pre-inflation [34,35], pre-inflationary bounce [36], non-flat XCDM inflation model [37], warm inflation [38], Double inflation [39], hybrid new inflation [40], emergent universe [41], and so on. In the emergent universe, when the Einstein static state is assumed as a superinflating phase, the suppression of the CMB TT-spectrum at large scales was realized [41]. In this work, the positive curvature is just used to ensure the existence of Einstein static state rather than having an influence on the primordial perturbations. Taking into consideration both the effect of the positive curvature on the primordial perturbations and the postulate of the universe originating from an Einstein static state followed by a slow-roll inflation, the suppression of the CMB TT-specturm at large scales is weakened [42]. It is also worthwhile to note is that the work in Refs. [41,42] are analyzed in general relativity with quintessence, and the Einstein static universe is unstable against the inhomogeneous scalar perturbations. Therefore, the emergent universe fails to explain the suppression of CMB TT-spectrum in general relativity.
K-essence is characterized by a scalar field with a non-canonical kinetic term [43,44]. It was first proposed as a model for inflation [45,46], and then as a model for dark matter [47,48]. After it was proposed, it received lots of attention and was widely studied in cosmology, such as k-essence cosmology [49], classical stability [50], behavior in phase space [51], slow-roll conditions [52], thermodynamic properties [53], and so on. In cosmological observation, it was found that k-essence was hard to be distinguished from quintessence [54] but it might have some imprints on the perturbation spectrum [55]. In addition, when the spatial curvature is considered in k-inflation, it was found that the CMB TT-spectrum is suppressed [33]. Thus, in this work, we plan to explore whether a successful emergent universe, in which the universe stems from a stable Einstein static state and then evolves into a slow-roll inflation, can be realized in general relativity with k-essence, and then study whether the suppression of CMB TT-spectrum can be realized in the emergent universe.
The paper is organized as follows. In Section 2, we give the field equations and the Einstein static solutions. In Section 3, the stability of Einstein static solutions against tensor perturbations is analyzed. In Section 4, we study the stability conditions under the homogeneous and inhomogeneous scalar perturbations. In Section 5, we design how the universe exits from the Einstein static state and evolves into a slow-roll inflationary epoch. In Section 6, we solve the curved Mukhanov–Sasaki equation and obtain the analytical primordial power spectra of the emergent universe, and then we plot the CMB TT-spectra of the emergent universe. Finally, our main conclusions are shown in Section 7.
2. Field Equations and Einstein Static Solutions
In this section, we begin with the general action
with
where R is the Ricci curvature scalar, is the potential of the scalar field , and represents the action of a perfect fluid. is a coupling parameter, and corresponds to the case of quintessence and phantom, respectively.
Varying the action (1) with respect to and , we obtain the Einstein field equation and the scalar field equation
where , is the energy–momentum tensor of the perfect fluid.
To find an Einstein static solution, we consider a closed Friedmann–Lemaitre–Robertson–Walker (FLRW) universe
where a represents the scale factor and denotes the conformal time. Then, the and components of Equation (3) give
where , , , and p are the energy density and the pressure of the perfect fluid which satisfies with being equation of state parameter. Eliminating from the above equations, we get
From Equation (4), we obtain
For the Einstein static solutions, the static condition indicates and . Then, Equation (8) reduces to
where the subscript 0 represents the corresponding value at the Einstein static state. In order to obtain an Einstein static solution, , , and must be constants in the Einstein static state. So, the scalar potential V is flat at the Einstein static state in which . Considering these conditions, Equation (9) becomes
which indicates the potential of the scalar field is flat. From Equation (6), we obtain
Since and are required to be positive, the existence conditions of the Einstein static solutions are and , which imply
or
Here, and are taken into consideration.
For a stable Einstein static universe, it requires to be stable against both scalar perturbations and tensor perturbations. In the following, we will discuss the stability of the Einstein static solutions. To simplify this discussion, the tensor perturbations will be studied firstly since they are easy to analyze.
3. Tensor Perturbations
For the tensor perturbations, the perturbed metric takes the form [56]
To study the stability of the Einstein static solutions, we perform a harmonic decomposition for the perturbed variable
Since the quantum numbers m and l do not play a role in the perturbed differential equations, they will be suppressed hereafter. Then, the harmonic function satisfies [57]
where is the three-dimensional spatial Laplacian operator. Then, substituting the perturbed metric (15) into the field equations (3) and using the static conditions, we obtain the equation of tensor perturbations
For the stable Einstein static solutions, must be satisfied for any k. Since , it can be seen that the Einstein static solutions are stable against the tensor perturbations in the closed universe.
4. Scalar Perturbations
In the previous section, by considering the tensor perturbation, we find the Einstein static solutions are stable in the closed universe and the tensor perturbations do not constrain any parameter. Since a stable Einstein static solution requires stability against both the scalar perturbations and tensor perturbations, we will discuss the stability of the Einstein static solutions against scalar perturbations in the closed universe. Once the Einstein static solutions are stable against both the scalar perturbations and tensor perturbations, the universe can stay at the Einstein static state past-eternally. To achieve this goal, we take the perturbed metric in the Newtonian gauge [56]
where denotes the Bardeen potential and represents the perturbation to the spatial curvature. In the Newtonian gauge, the perturbed metric still has the diagonally form and the perturbed variables are gauge invariant. Then, substituting the above perturbed metric (19) into the field Equations (3) and (4), we obtain
Here, the static conditions and the perturbation of the field are used. The relation between density and pressure perturbations is with and .
Similar to discussing the stability of the Einstein static solutions against tensor perturbations, we perform the harmonic decomposition for all perturbed variables
Substituting these variables into Equations (20)–(23) and eliminating and , we get two independent perturbed equations
The stability of the Einstein static solutions can be determined by the eigenvalues of the coefficient matrix of this dynamical system, which are
where
For , one perturbation from the Einstein static state will leads to an exponential deviation from the Einstein static state, and the corresponding Einstein static solution is unstable. While for , a small perturbation from the Einstein static state will result in an oscillation around this state, and the corresponding Einstein static state is stable, which means that it is stable both in the past and in the future. Thus, under the scalar perturbations, the stability conditions are given by , which indicate
Since the homogeneous scalar perturbations correspond to the case , we obtain and . Therefore, the stability conditions for the homogeneous scalar perturbations reduce as which require
Here, the existence conditions Equations (13) and (14) are taken into consideration. The stability region for homogeneous scalar perturbations is shown in the first panel of Figure 1.
Figure 1.
Stability regions in plane under homogeneous and inhomogeneous scalar perturbations with . represents the homogeneous scalar perturbations. These figures are plotted for and .
For the inhomogeneous scalar perturbations, Since mode represents a gauge degree of freedom corresponding to a global rotation, the modes have which indicates .
Since the Einstein static solutions must be stable against all kinds of perturbations, we will discuss the stability conditions against inhomogeneous scalar perturbations under the existence conditions and the stability conditions for the homogeneous scalar perturbations. Thus, the stability conditions are given by Equation (38) which indicate
In Figure 1, we plot some examples of the stable regions of the homogeneous and inhomogeneous scalar perturbations. In this figure, the values of k are taken to be , and represents the homogeneous scalar perturbations. For the inhomogeneous scalar perturbations, the stable regions become larger and larger with the increase in the value of k. It is obvious that the smallest stability region is obtained in the case .
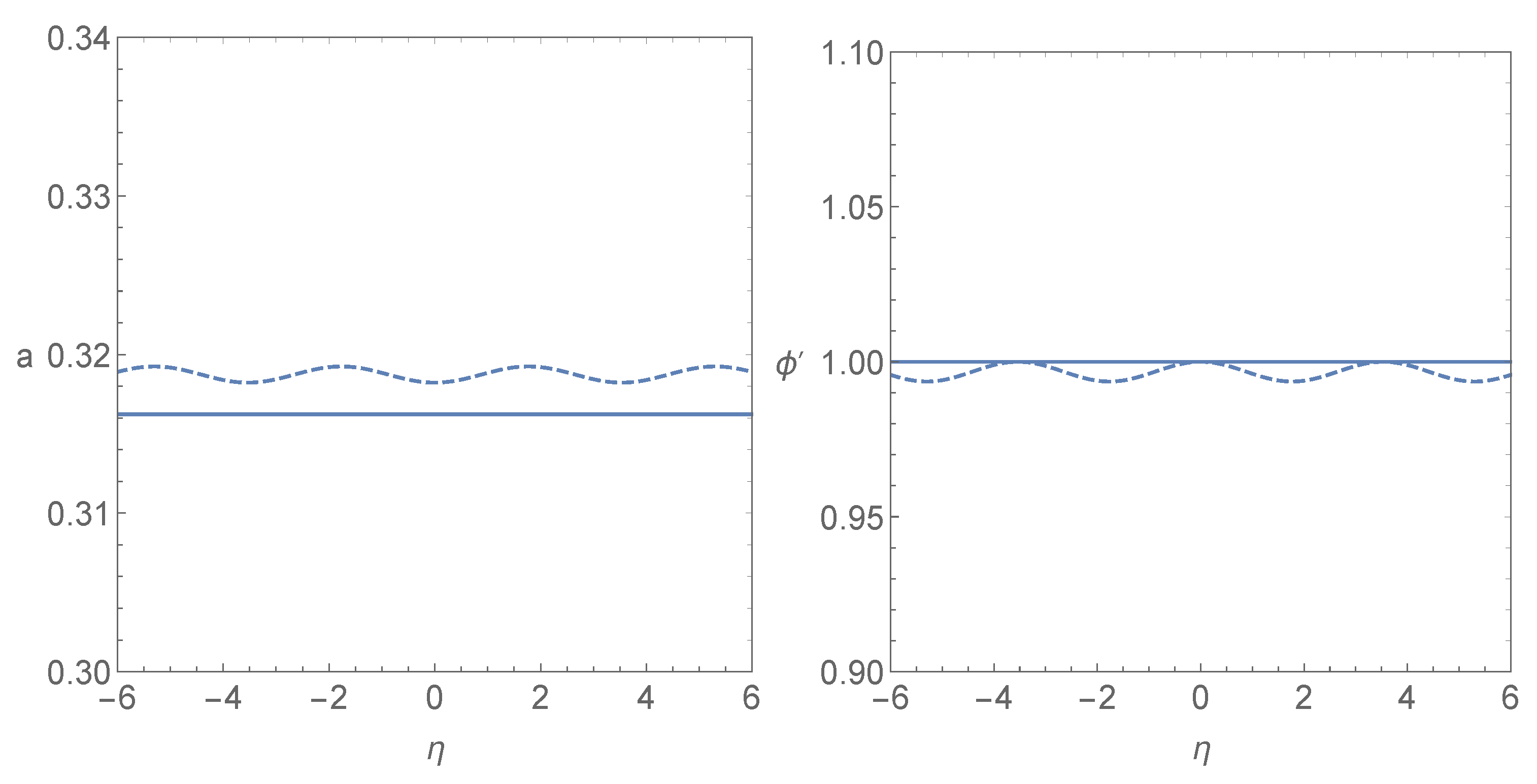
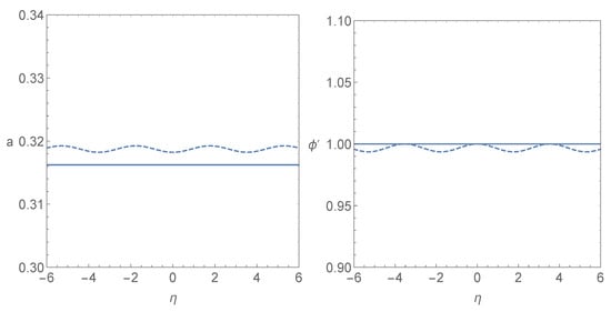
In Figure 2, the evolutionary curves of a and against are depicted. In this figure, the solid line represents that the initial value of a is the Einstein static solution , while the dashed line denotes that the initial value of a has a slight deviation of . When the initial value of a is chosen as the Einstein static solution , it can be seen that the evolutionary curves of a and parallel to the -axis. Considering a slight deviation of the initial value , the evolutionary curves of a and oscillate near the Einstein static state, which are depicted by the dashed line in Figure 2. These figures show that the Einstein static solutions are stable under the stability conditions (40).
Figure 2.
Evolutionary curves of a and with . The solid line represents that the initial value of a is the Einstein static solution , while the dashed line denotes that the initial value of a has a slight deviation of . These figures are plotted for , , , and .
In Ref. [14], the Einstein static universe was studied in general relativity with quintessence, and it is unstable against inhomogeneous perturbations. Comparing with quintessence, the action (1) in this paper has a coupling parameter and the case corresponds to quintessence. Due to the presence of parameter , the stability conditions are extended, so that a wider range of Einstein static solutions can be obtained. It is found that the Einstein static universe is stable against both scalar and tensor perturbations under conditions (40) which suggest that a stable Einstein static solution requires a negative .
5. Leaving the Einstein Static State
In the previous section, we find that the Einstein static solutions are stable, which indicates the universe can stay at Einstein static state past-eternally. In the emergent universe, we require the universe can exit from the stable Einstein static state and enter into an inflationary era. In this section, we will discuss how to realize this transition.
In the Einstein static state, since , , and are constant, is given in Equation (10) and the scalar potential is flat, we can take . Here, is a constant and denotes the transition time that the universe exits from the Einstein static state. After the universe exits from the Einstein static state, it evolves into the inflationary era. In the inflationary era, the universe is dominated by the scalar field , and the effect of the perfect fluid is negligible. By ignoring and p in Equations (6) and (7) and considering in the slow-roll inflation stage, we eliminate in Equations (6) and (7). Then, combining Equations (6) and (7) to eliminate the scalar potential V, we get
with the solution
which is obtained in Ref. [33], and it can also be obtained by solving Equations (8) or (9). Assuming the scalar potential takes the form
with , and then solving Equation (8) or (9), we find that both Equations (8) and (9) can give the solution (42). An example of is plotted by the red line in the first panel of Figure 3. As a result, the expression of scale factor a can be written as follows
Figure 3.
Evolutionary curves of V, , and a against with , , , , and .
In order to realize the exit of the universe from the stable Einstein static state and evolve into the inflationary era, it is necessary to break the stability conditions of the Einstein static state. To achieve this goal, we need to construct a scalar potential V and an equation of state parameter to realize this transition. According to previous discussion, both V and are constants in the Einstein static state, while V has the form in Equation (43) and takes the value in the slow-roll inflationary era. So, we require that the scalar potential V and the equation of state parameter vary with the conformal time slowly, they approach to a constant in the Einstein static state and decrease rapidly when inflation begins . Considering these conditions, we construct a scalar potential
and a equation of the state parameter
with .
An example of and is shown in the upper panels of Figure 3. The potential (Equation (45)) is plotted by the green dashed line in the first panel, while the equation of state parameter (Equation (46)) is plotted in the second panel. With the time passage and approaches to the transition time 0, the potential deviates from the static value and decreases to less than 0, and deviates from the static value and decreases to . Thus, the stability conditions for the Einstein static state are broken, the universe exits from the stable Einstein static state and inflation begins.
Using the expression of (Equation (45)) and (Equation (46)), we solve the dynamical Equations (8) and (9) numerically and depict the evolution of universe in the early time in the lower panels of Figure 3. In these two panels, the static value of scale factor (Equation (10)) is plotted by the green dashed line, the scale factor a in the inflationary era (Equation (42)) is shown by the red dashed line, and the scale factor depicted by the blue line is the numerical simulation result obtained by solving the dynamical Equations (8) and (9) numerically. For convenience, we adopt as the time at which the universe exits from the Einstein static state and the transition time takes the value . In the case of Figure 3, when the scalar potential decreases to a negative value, the stability condition is broken and the universe exits from the Einstein static state, and then the potential bounces back and becomes positive again. Then, inflation begins at the time when the potential becomes positive. It can be seen from these figures in the lower panels that the numerical and analytical solutions of the Friedmann equations overlap and the evolution of scale factor a can be described by Equation (44). Furthermore, the right panel depicts that, after the universe leaves the initial Einstein static state, the factor a increases rapidly and the universe evolves into the inflationary era. Thus, the emergent universe can be realized successfully and the Big Bang singularity can be avoided in general relativity with k-essence.
6. CMB Power Spectrum
In the previous section, we find that the Einstein static universe can be stable against tensor and scalar perturbations in k-essence, and can exit the stable static state and then evolve into a subsequently inflationary era. In this section, we will analyze the CMB TT-spectrum for the emergent universe and discuss whether the suppression of CMB TT-spectrum can be realized in this successful emergent universe.
To study the primordial power spectrum in emergent universe, we introduce a gauge invariant comoving curvature perturbation
which satisfies the curved Mukhanov–Sasaki equation in k-essence [33]
with
Here, and denote the energy density and pressure for scalar field, and the effect of perfect fluid is not taken into account since dominates the evolution of the universe before inflation ends. denotes the squared sound speed of inflation which is given as
For the case , we obtain . Then, the curved Mukhanov–Sasaki Equation (48) reduces to that in Refs. [32,42].
In the Einstein static state, considering the static condition, we get
and Equation (48) becomes
which has the solution
Using the normalization conditions and choosing the Bunch–Davies vacuum, we get the initial condition
So, the solution of Equation (52) is determined as
In the inflationary era, since , we get
Then, substituting Equations (42) and (56) into Equation (48), the curved Mukhanov–Sasaki Equation (48) becomes
The solution of the above equation takes the form
where and are the Hankel functions of the first and second kinds, and and are integration constants. In order to determine and , we match Equations (55) and (58) at the transition time by using the continuity condition of and , then we obtain
The curved primordial power spectrum of the comoving curvature perturbation is defined as
Substituting Equation (58) into Equation (61), we get the curved primordial power spectrum of
in which the transition time parameter , slow-roll parameter , and formally diverging parameters are absorbed into the scalar power spectrum amplitude [32].
Then, the analytical primordial power spectrum can be parameterized as
where represents the pivot perturbation mode.
To depict the primordial power spectrum, we use the Planck 2018 results in the curved universes best-fit data (TT, TE, EE + lowl + lowE + lensing) and . In the left panel of Figure 4, we have plotted the primordial power spectrum for the emergent universe. The red line denotes the primordial power spectrum of the emergent universe, while the black one corresponds to the one of CDM with positive spatial curvature and we label it as KCDM. The left panel of Figure 4 shows that the spectrum is suppressed for . Then, using CLASS code [58], we have plotted the CMB TT-spectrum which is shown in the right panel of Figure 4. From this figure, we can see that the CMB TT-spectrum of the emergent universe is suppressed at .
Figure 4.
Primordial power spectrum and CMB TT-spectrum for the emergent universe (EU).
Comparing with the results in Ref. [42], we can find that the primordial power spectrum and CMB TT-spectrum in those models are the same as ours. However, the Einstein static universe in our model is stable against both scalar and tensor perturbations and the emergent universe can be realized successfully, whereas in the case of Ref. [42] unstable against inhomogeneous scalar perturbation.
7. Conclusions
In this paper, we have discussed the CMB power spectrum of the emergent universe with k-essence. We analyze the stability of the Einstein static universe against both scalar and tensor perturbations. When the inhomogeneous scalar perturbations are taken into consideration, the stable regions of the Einstein static universe are compressed. We find that the stable Einstein static universe can exist in the spatially closed spacetime and the stability conditions are given in Equation (40). To realize the universe exiting from the stable Einstein static state and evolving into an subsequent inflationary era, we construct a scalar potential (45) to break the stable condition of the Einstein static universe and assume a form of the equation of state parameter (46) to guarantee inflation occurs. An evolutionary curve of the scale factor a is shown in Figure 3 which shows the emergent universe can be realized in this theory. Thus, the Big Bang singularity can be avoided in general relativity with k-essence.
As shown in Figure 3, since the numerical and analytical solution of the Friedmann equations overlap, the evolution of scale factor a during inflation can be described by Equation (42) entirely. By considering the evolutionary form of the scale factor and solving the curved Mukhanov–Sasaki Equation (48), we obtain the analytical approximation for the primordial power spectrum in the emergent universe. Then, we depict the primordial power spectrum and CMB TT-spectrum in Figure 4 which shows the primordial power spectrum is suppressed at and CMB TT-spectrum is suppressed at .
Author Contributions
Investigation, Q.H., K.Z., H.H., B.X. and F.T.; writing original draft preparation, Q.H.; writing review and editing, K.Z., H.H., B.X. and F.T.; supervision, Q.H., K.Z. and H.H. All authors have read and agreed to the published version of the manuscript.
Funding
This work was supported by the National Natural Science Foundation of China under Grants Nos. 11865018, 12265019, 11865019, 11505004, the regional first-class discipline of Guizhou province of China under Grants No. QJKYF[2018]216, the Doctoral Foundation of Zunyi Normal University of China under Grants No. BS[2017]07, and the Academic New Seedling Cultivation and Innovation Exploration Project of Zunyi Normal University of China under Grants No. ZunshiXM[2021]1-2.
Data Availability Statement
Not applicable.
Conflicts of Interest
The authors declare no conflict of interest.
References
- Guth, A. Inflationary universe: A possible solution to the horizon and flatness problems. Phys. Rev. D 1981, 23, 347. [Google Scholar] [CrossRef]
- Lind, A.E. A new inflationary universe scenario: A possible solution of the horizon, flatness, homogeneity, isotropy and primordial monopole problems. Phys. Lett. B 1982, 108, 389. [Google Scholar] [CrossRef]
- Albrecht, A.; Steinhardt, P.J. Cosmology for Grand Unified Theories with Radiatively Induced Symmetry Breaking. Phys. Rev. Lett. 1982, 48, 1220. [Google Scholar] [CrossRef]
- Ellis, G.; Maartens, R. The emergent universe: Inflationary cosmology with no singularity. Class. Quantum Grav. 2004, 21, 223. [Google Scholar] [CrossRef]
- Ellis, G.; Murugan, J.; Tsagas, C. The emergent universe: An explicit construction. Class. Quantum Grav. 2004, 21, 233. [Google Scholar] [CrossRef]
- Campo, S.; Herrera, R.; Labrana, P. Emergent universe in a Jordan-Brans-Dicke theory. JCAP 2007, 11, 30. [Google Scholar] [CrossRef]
- Wu, P.; Yu, H. Emergent universe from the Horava-Lifshitz gravity. Phys. Rev. D 2010, 81, 103522. [Google Scholar] [CrossRef]
- Cai, Y.; Li, M.; Zhang, X. Emergent universe scenario via Quintom matter. Phys. Lett. B 2012, 718, 248. [Google Scholar] [CrossRef]
- Zhang, K.; Wu, P.; Yu, H. Emergent universe in spatially flat cosmological model. JCAP 2014, 1, 48. [Google Scholar] [CrossRef]
- Huang, Q.; Wu, P.; Yu, H. Emergent scenario in the Einstein-Cartan theory. Phys. Rev. D 2015, 91, 103502. [Google Scholar] [CrossRef]
- Shabani, H.; Ziaie, A. Stability of the Einstein static universe in f(R,T) gravity. Eur. Phys. J. C 2017, 77, 31. [Google Scholar] [CrossRef]
- Shabani, H.; Ziaie, A. Stability of the Einstein static Universe in Einstein-Cartan-Brans-Dicke gravity. Eur. Phys. J. C 2019, 79, 270. [Google Scholar] [CrossRef]
- Huang, Q.; Xu, B.; Huang, H.; Tu, F.; Zhang, R. Emergent scenario in mimetic gravity. Class. Quantum Grav. 2020, 37, 195002. [Google Scholar] [CrossRef]
- Barrow, J.; Ellis, G.; Maartens, R.; Tsagas, C. On the stability of the Einstein static universe. Class. Quantum Grav. 2003, 20, L155. [Google Scholar] [CrossRef]
- Bohmer, C.; Tamanini, N.; Wright, M. Einstein static universe in scalar-fluid theories. Phys. Rev. D 2015, 92, 124067. [Google Scholar] [CrossRef]
- Huang, Q.; Wu, P.; Yu, H. Stability of Einstein static universe in gravity theory with a non-minimal derivative coupling. Eur. Phys. J. C 2018, 78, 51. [Google Scholar] [CrossRef]
- Huang, Q.; Huang, H.; Chen, J.; Kang, S. On the stability of Einstein static universe in general scalar-tensor theory with non-minimal derivative coupling. Ann. Phys. 2018, 399, 124. [Google Scholar] [CrossRef]
- Zhang, K.; Wu, P.; Yu, H.; Luo, L. Stability of Einstein static state universe in the spatially flat branemodels. Phys. Lett. B 2016, 758, 37. [Google Scholar] [CrossRef]
- Huang, H.; Wu, P.; Yu, H. Stability of the Einstein static universe in the Jordan-Brans-Dicke theory. Phys. Rev. D 2014, 89, 103521. [Google Scholar] [CrossRef]
- Li, S.; Wei, H. Stability of the Einstein static universe in Eddington-inspired Born-Infeld theory. Phys. Rev. D 2017, 96, 023531. [Google Scholar] [CrossRef]
- Bohmer, C.; Lobo, F.; Tamanini, N. Einstein static universe in hybrid metric-Palatini gravity. Phys. Rev. D 2013, 88, 104019. [Google Scholar] [CrossRef]
- Atazadeh, K.; Darabi, F. Einstein static universe from GUP. Phys. Dark Universe 2017, 16, 87. [Google Scholar] [CrossRef]
- Sharif, M.; Waseem, A. Inhomogeneous perturbations and stability analysis of the Einstein static universe in f(R,T) gravit. Astrophys. Space Sci. 2019, 364, 221. [Google Scholar] [CrossRef]
- Sharif, M.; Waseem, A. Stability of Einstein universe against inhomogeneous perturbations in f(R,T,RμνTμν) gravity. Eur. Phys. J. Plus 2018, 133, 160. [Google Scholar] [CrossRef]
- Li, S.; Lu, H.; Wei, H.; Wu, P.; Yu, H. Emergent universe scenario, bouncing universes, and cyclic universes in degenerate massive gravity. Phys. Rev. D 2019, 99, 104057. [Google Scholar] [CrossRef]
- Lewis, A.; Challinor, A.; Lasenby, A. Efficient Computation of Cosmic Microwave Background Anisotropies in Closed Friedmann-Robertson-Walker Models. Astrophys. J. 2000, 538, 473. [Google Scholar] [CrossRef]
- Bernardeau, F.; Colombi, S.; Gaztanaga, E.; Scoccimarro, R. Large-scale structure of the Universe and cosmological perturbation theory. Phys. Rep. 2002, 367, 1. [Google Scholar] [CrossRef]
- Smoot, G.F.; Bennett, C.L.; Kogut, A.; Wright, E.L.; Aymon, J.; Boggess, N.W.; Cheng, E.S.; De Amici, G.; Gulkis, S.; Hauser, M.G.; et al. Structure in the COBE Differential Microwave Radiometer First-Year Maps. Astrophys. J. 1992, 396, L1. [Google Scholar] [CrossRef]
- Planck Collaboration. Planck 2018 results VI. Cosmological parameters. arXiv 2020, arXiv:1807.06209. [Google Scholar]
- Bonga, B.; Gupt, B.; Yokomizo, N. Inflation in the closed FLRW model and the CMB. JCAP 2016, 10, 31. [Google Scholar] [CrossRef]
- Handley, W. Primordial power spectra for curved inflating universes. Phys. Rev. D 2019, 100, 123517. [Google Scholar] [CrossRef]
- Thavanesan, A.; Werth, D.; Handley, W. Analytical approximations for curved primordial power spectra. Phys. Rev. D 2021, 103, 023519. [Google Scholar] [CrossRef]
- Shumaylov, Z.; Handley, W. Primordial power spectra from k-inflation with curvature. Phys. Rev. D 2022, 105, 123532. [Google Scholar] [CrossRef]
- Dudas, E.; Kitazawa, N.; Patil, S.P.; Sagnotti, A. CMB imprints of a pre-inflationary climbing phase. JCAP 2012, 5, 12. [Google Scholar] [CrossRef]
- Cai, Y.; Wang, Y.; Piao, Y. Preinflationary primordial perturbations. Phys. Rev. D 2015, 92, 023518. [Google Scholar] [CrossRef]
- Cai, Y.; Wang, Y.; Zhao, J.; Piao, Y. Primordial perturbations with pre-inflationary bounce. Phys. Rev. D 2018, 97, 103535. [Google Scholar] [CrossRef]
- Ooba, J.; Ratra, B.; Sugiyama, N. Planck 2015 Constraints on the Non-flat XCDM Inflation Model. Astrophys. J. 2018, 869, 34. [Google Scholar] [CrossRef]
- Arya, R.; Dasgupta, A.; Goswami, G.; Prasad, J.; Rangarajan, R. Revisiting CMB constraints on warm inflation. JCAP 2018, 2, 43. [Google Scholar] [CrossRef]
- Feng, B.; Zhang, X. Double inflation and the low CMB quadrupole. Phys. Lett. B 2003, 570, 145. [Google Scholar] [CrossRef]
- Kawasaki, M.; Takahashi, F. Inflation model with lower multipoles of the CMB suppressed. Phys. Lett. B 2003, 570, 151. [Google Scholar] [CrossRef]
- Labrana, P. Emergent universe scenario and the low CMB multipoles. Phys. Rev. D 2015, 91, 083534. [Google Scholar] [CrossRef]
- Huang, Q.; Zhang, K.; Fang, Z.; Tu, F. Analytical approximations for primordial power spectra in a spatially closed emergent universe. Phys. Dark Universe 2022, 38, 101124. [Google Scholar] [CrossRef]
- Armendariz-Picon, C.; Mukhanov, V.; Steinhardt, P. Dynamical Solution to the Problem of a Small Cosmological Constant and Late-Time Cosmic Acceleration. Phys. Rev. Lett. 2000, 85, 4438. [Google Scholar] [CrossRef]
- Armendariz-Picon, C.; Mukhanov, V.; Steinhardt, P. Essentials of k-essence. Phys. Rev. D 2001, 63, 103510. [Google Scholar] [CrossRef]
- Armendariz-Picon, C.; Damour, T.; Mukhano, V.V. k-Inflation. Phys. Lett. B 1999, 458, 209. [Google Scholar] [CrossRef]
- Garriga, J.; Mukhanov, V.F. Perturbations in k-inflation. Phys. Lett. B 1999, 458, 219. [Google Scholar] [CrossRef]
- Bose, N.; Majumdar, A.S. k-essence model of inflation, dark matter, and dark energy. Phys. Rev. D 2009, 79, 103517. [Google Scholar]
- Scherrer, R. Purely Kinetic k Essence as Unified Dark Matter. Phys. Rev. Lett. 2004, 93, 011301. [Google Scholar] [CrossRef]
- Aguirregabiria, J.; Chimento, L.; Lazkoz, R. Phantom k-essence cosmologies. Phys. Rev. D 2004, 70, 023509. [Google Scholar] [CrossRef]
- Abramo, L.; Pinto-Neto, N. Stability of phantom k-essence theories. Phys. Rev. D 2006, 73, 063522. [Google Scholar] [CrossRef]
- Yang, R.; Gao, X. Phase-space analysis of a class of k-essence cosmology. Class. Quantum Grav. 2011, 28, 065012. [Google Scholar] [CrossRef]
- Chiba, T.; Dutta, S.; Scherrer, R.J. Slow-roll k-essence. Phys. Rev. D 2009, 80, 043517. [Google Scholar] [CrossRef]
- Bilic, N. Thermodynamics of k-essence. Phys. Rev. D 2008, 78, 105012. [Google Scholar] [CrossRef]
- Barger, V.; Marfatia, D. Supernova data may be unable to distinguish between quintessence and k-essence. Phys. Lett. B 2001, 498, 67. [Google Scholar] [CrossRef]
- Malquarti, M.; Copeland, E.; Liddle, A.; Trodden, M. A new view of k-essence. Phys. Rev. D 2003, 67, 123503. [Google Scholar] [CrossRef]
- Bardeen, J.M. Gauge-invariant cosmological perturbations. Phys. Rev. D 1980, 22, 1882. [Google Scholar] [CrossRef]
- Harrison, E.R. Normal Modes of Vibrations of the Universe. Rev. Mod. Phys. 1967, 39, 862. [Google Scholar] [CrossRef]
- Blas, D.; Lesgourgues, J.; Tram, T. The Cosmic Linear Anisotropy Solving System (CLASS). Part II: Approximation schemes. JCAP 2011, 7, 34. [Google Scholar] [CrossRef]
Disclaimer/Publisher’s Note: The statements, opinions and data contained in all publications are solely those of the individual author(s) and contributor(s) and not of MDPI and/or the editor(s). MDPI and/or the editor(s) disclaim responsibility for any injury to people or property resulting from any ideas, methods, instructions or products referred to in the content. |
© 2023 by the authors. Licensee MDPI, Basel, Switzerland. This article is an open access article distributed under the terms and conditions of the Creative Commons Attribution (CC BY) license (https://creativecommons.org/licenses/by/4.0/).



