An Undergraduate Approach to the Quantum Hadrodynamics and Physics of Neutron Stars
Abstract
1. Introduction
2. Hydrostatic Equilibrium
2.1. Newtonian Case
2.2. Full Relativistic Equilibrium Equations
3. Free Neutron Matter
3.1. Statistical Physics
3.2. Dirac Equation and Dirac Lagrangian
3.3. Equation of State
4. The Scalar Attractive Force: The Meson
4.1. Mean Field Approximation
Stationarity of Energy Density
4.2. Numerical Results
5. The Repulsive Meson and the Model
Numerical Results
6. First Nuclear Constraints
- Attractive and short ranged.The nuclear force is essentially attractive; otherwise, the existence of atomic nuclei would be impossible. Moreover, the nuclear force virtually goes to zero for 2.5 fm.
- Repulsive core.From the study of the scattering of particles, the radius of the atomic nuclei can be experimentally inferred. It was found to be proportional to , where A is the mass number of atomic nuclei:The volume is therefore proportional to A, which implies that the density is constant. This led us to the concept of the saturation of the nuclear force, where the nuclear interaction must become repulsive at low distances.
- Charge independence.The force between two protons is the same as the force between two neutrons. Moreover, the force between a proton and a neutron is “almost” the same if they form a state with the same spin.
- Spin dependence.The nuclear force depends on the spin. For instance, the only known bound state of two nucleons is the deuteron. The deuteron has spin 1. with spin-0 does not form a bound state. In the same sense, and can only have spin 0 due to Pauli’s exclusion principle. Effectively, this results in the average force between a neutron and a proton inside the nucleus being greater than the force between two identical nucleons.
6.1. Semi-Empirical Mass Formula
- Volume term.This term comes directly from the saturation of the nuclear force. As the nuclear force saturates, the binding energy per nucleon becomes independent of A. Moreover, it is independent of Z due to the charge independence.
- Surface correction.In a finite nucleus, nucleons closer to the surface will interact with fewer nucleons than nucleons close to the center of the nucleus.
- Coulomb term.Related to the electrostatic repulsion between the protons in the atomic nuclei.
- Symmetry term.Due to the Pauli exclusion principle, nuclei with the same number of protons and neutrons are tightly bound compared to those with asymmetric proportions. However, the Pauli component alone is not enough to explain the strong tendency of equal numbers of protons and neutrons. The spin dependence also plays a role.
6.2. QHD and the Nuclear Constraints
7. Toward a Realistic Neutron Star Description I: Chemical Equilibrium and Neutron Star’s Crust
7.1. Chemcial Equilibrium
7.2. The Crust
- Outer crust: Region with density fm−3. In this region, the effects of nuclear physics are almost irrelevant, and the nuclei form a perfect crystal with a single nuclear species. In the low-density limit, the ground state is a crystal lattice of 56Fe with negligible—but increasing—pressure. For higher densities, the matter is a plasma of nuclei and electrons which form a nearly uniform Fermi gas, with the degeneracy pressure of electrons and a small lattice pressure. For densities above fm−3, 62Ni replaces 56Fe as the ground state, and then is replaced by the extreme neutron-rich nuclei 78Ni. In even higher densities, a crystallized phase can occur, with the presence of even heavier nuclei, as the 86Kr and 124Mo. [35].
- Inner Crust: The inner crust lies in the range fm−3. In this region, neutrons begin to “drip” out of the nuclei. The ground state consists of a lattice of nuclei immersed in a pure neutron gas, in addition to the electron gas. As the density increases, the nuclei dissolve into a matter consisting of a uniform liquid of neutrons with a small fraction of protons and electrons. It is also possible that in the densest layers of the crust, the Coulomb energy becomes comparable in magnitude to the net nuclear binding energy. The matter thus becomes frustrated and can arrange itself into various exotic configurations as observed in complex fluids. This is called the pasta phase. Another possibility is the presence of neutron superfluidity.
8. The Vector-Isovector Meson and the Model
Numerical Results
9. Toward a Realistic Neutron Star Description II: Muons and Nonlinear Coupling
9.1. Muons
9.2. Nonlinear Model and the Incompressibility of the Nuclear Matter
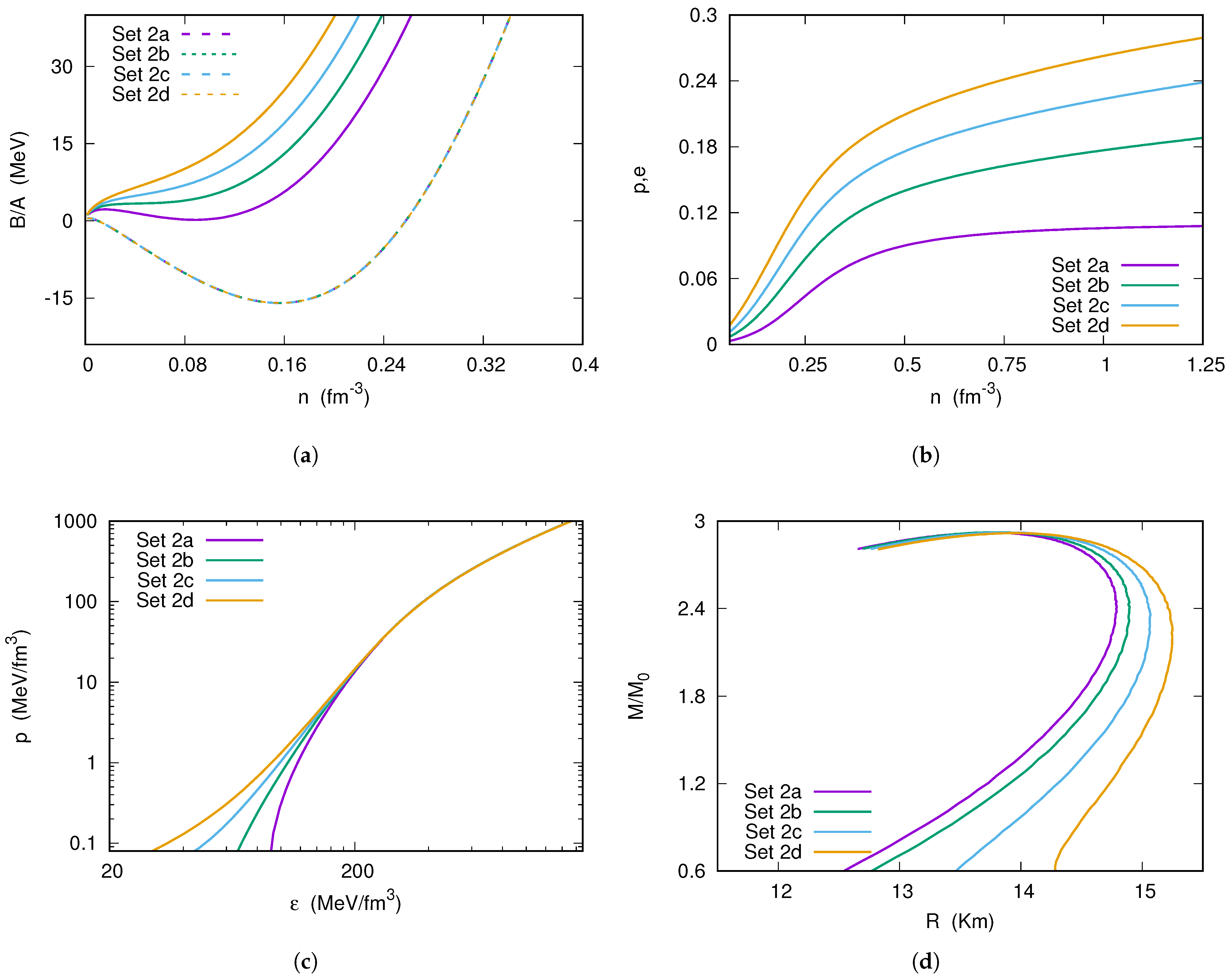
9.3. Numerical Results
10. Refinements and Astrophysical Constraints
10.1. Astrophysical Constraints
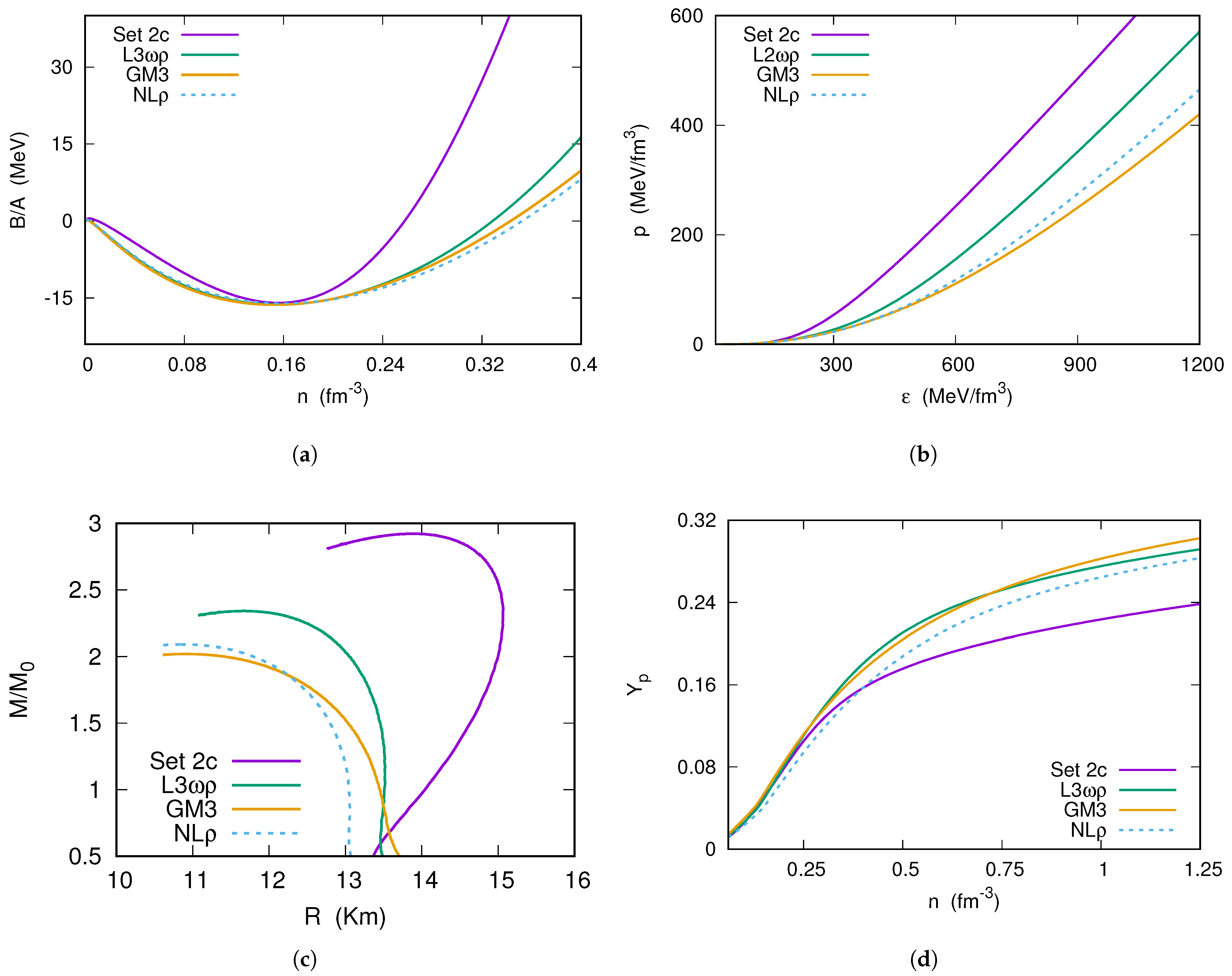
10.2. Numerical Results
11. Conclusions
- We present the hydrostatic equilibrium equations for both the Newtonian and full relativistic approaches. There are two equations but three variables (, p, and ). Hence, the need for an EOS.
- The formalism to calculate the energy density of fermions via statistical mechanics is introduced, as well as the Dirac equation and the Lagrangian. The EOS for free neutrons is presented, producing a maximum mass of 0.71 .
- We introduce the scalar meson, responsible for the attraction between the nucleons and, therefore, for the stability of the atomic nuclei. Its expected value is calculated in MFA, as well as the EOS. The field softens the EOS.
- The repulsive vector meson is introduced to account for the saturation of the nuclear force, as well as discussion about its effects and how to calculate its expected value. The model is discussed. Due to its vector nature, the meson dominates at high densities ( dominance).
- SEMF is introduced, as well as the first nuclear constraints that the model must satisfy ( and ). The neutron star crust and beta-stable matter are discussed. The first minimally realistic stars are built.
- The vector-isovector meson is introduced to fix the symmetry energy parameter. Its effects on the proton fraction, EOSs, and neutron stars’ macroscopic properties are discussed.
- The possible existence of muons in neutron stars’ interiors is discussed, as well as how to incorporate them in beta-stable matter. Self-interaction of the meson is introduced to correct the incompressibility. Standard models of the QHD able to satisfy the five main constraints of the nuclear matter ( and ) are introduced.
- A sixth parameter is introduced, the symmetry energy slope (L). We show how to control it via a nonlinear coupling between the and mesons. Astrophysical constraints are presented, as well as a model that is able to fulfill virtually all constraints related to nuclear and astrophysical observations.
Funding
Data Availability Statement
Conflicts of Interest
References
- Pizzochero, P.M. Neutron Stars, the Most Exotic Nuclear Lab in the Universe. arXiv 2010, arXiv:1001.1272. [Google Scholar] [CrossRef]
- Ter Haar, D. (Ed.) On the theory of stars. In Collected Papers of L.D. Landau; Elsevier: Amsterdam, The Netherlands, 1965; p. 60. [Google Scholar] [CrossRef]
- Yakovlev, D.G.; Haensel, P.; Baym, G.; Pethick, C.J. L D Landau and the concept of neutron stars. Phys. Usp. 2013, 56, 289–295. [Google Scholar] [CrossRef]
- Oppenheimer, J.R.; Volkoff, G.M. On Massive Neutron Cores. Phys. Rev. 1939, 55, 374–381. [Google Scholar] [CrossRef]
- Hewish, A.; Bell, S.J.; Pilkington, J.D.H.; Scott, P.F.; Collins, R.A. Observation of a Rapidly Pulsating Radio Source. Nature 1968, 217, 709. [Google Scholar] [CrossRef]
- Miller, M.C.; Lamb, F.K.; Dittmann, A.J.; Bogdanov, S.; Arzoumanian, Z.; Gendreau, K.C.; Guillot, S.; Ho, W.C.G.; Lattimer, J.M.; Loewenstein, M.; et al. The Radius of PSR J0740+6620 from NICER and XMM-Newton Data. Astrophys. J. Lett. 2021, 918, L28. [Google Scholar] [CrossRef]
- Riley, T.E.; Watts, A.L.; Ray, P.S.; Bogdanov, S.; Guillot, S.; Morsink, S.M.; Bilous, A.V.; Arzoumanian, Z.; Choudhury, D.; Deneva, J.S.; et al. A NICER View of the Massive Pulsar PSR J0740+6620 Informed by Radio Timing and XMM-Newton Spectroscopy. Astrophys. J. Lett. 2021, 918, L27. [Google Scholar] [CrossRef]
- Serot, B.D. Quantum hadrodynamics. Rep. Progr. Phys. 1992, 55, 1855–1946. [Google Scholar] [CrossRef]
- Glendenning, N.K. Compact Stars, 2nd ed.; Springer: New York, NY, USA, 2000. [Google Scholar]
- Menezes, D.P. A Neutron Star Is Born. Universe 2021, 7, 267. [Google Scholar] [CrossRef]
- Silbar, R.R.; Reddy, S. Neutron stars for undergraduates. Am. J. Phys. 2004, 72, 892–905. [Google Scholar] [CrossRef]
- Sagert, I.; Hempel, M.; Greiner, C.; Schaffner-Bielich, J. Compact stars for undergraduates. Eur. J. Phys. 2006, 27, 577. [Google Scholar] [CrossRef]
- Landau, L.; Lifshitz, E. Fluid Mechanics; Pergamon Press: Oxford, UK, 1987. [Google Scholar]
- Foster, J.; Nightingale, J. A Short Course in General Relativity, 3rd ed.; Springer: New York, NY, USA, 2006. [Google Scholar]
- Carroll, S. Spacetime and Geometry: An Introduction to General Relativity; Cambridge University Press: Cambridge, UK, 2019. [Google Scholar]
- Schutz, B. A First Course in General Relativity, 2nd ed.; Cambridge University Press: Cambridge, UK, 2009. [Google Scholar]
- Semiz, İ. OV or TOV? Stud. Hist. Philos. Mod. Phys. 2016, 56, 13–16. [Google Scholar] [CrossRef]
- Huang, K. Introductin to Statistical Physics; Taylor & Francis: Abingdon, UK, 2001. [Google Scholar]
- Griffiths, D. Introduction to Elementary Particles, 2nd ed.; Willey-VCH: Hoboken, NJ, USA, 2008. [Google Scholar]
- Greiner, W. Relativistic Quantum Mechanics, 3rd ed.; Springer: Berlin/Heidelberg, Germany, 2000. [Google Scholar]
- Blundell, S.; Blundell, K. Concepts in Thermal Physics, 2nd ed.; Oxford University Press: Oxford, UK, 2009. [Google Scholar]
- Lilley, J. Nuclear Physics; John Willey & Sons: Hoboken, NJ, USA, 2001. [Google Scholar]
- Yukawa, H. On the Interaction of Elementary Particles. I. Prog. Theor. Phys. Suppl. 1955, 1, 1. [Google Scholar] [CrossRef]
- Mandache, N.; Palade, D. On the Mechanism of Nucleon-Nucleon Attraction by Pion Exchange. J. Mod. Phys. 2018, 9, 1459. [Google Scholar] [CrossRef]
- Chemtob, M.; Durso, J.; Riska, D. Two-pion-exchange nucleon-nucleon potential. Nucl. Phys. B 1972, 38, 141. [Google Scholar] [CrossRef]
- Barker, B.M.; Gupta, S.N.; Haracz, R.D. Scalar Meson, Pion-Pion Interaction, and Nuclear Forces. Phys. Rev. 1967, 161, 1411–1414. [Google Scholar] [CrossRef]
- Durso, J.; Jackson, A.; Verwest, B. Models of pseudophysical NN → ππ amplitudes. Nucl. Phys. A 1980, 345, 471–492. [Google Scholar] [CrossRef]
- Particle Data Group; Zyla, P.A.; Barnett, R.M.; Beringer, J.; Dahl, O.; Dwyer, D.A.; Groom, D.E.; Lin, C.-J.; Lugovsky, K.S.; Pianori, E.; et al. Review of Particle Physics. Prog. Theor. Exp. Phys. 2020, 2020, 083C01. [Google Scholar] [CrossRef]
- Walecka, J. A theory of highly condensed matter. Ann. Phys. 1974, 83, 491–529. [Google Scholar] [CrossRef]
- Lopes, L.L.; Marquez, K.D.; Menezes, D.P. Baryon coupling scheme in a unified SU(3) and SU(6) symmetry formalism. Phys. Rev. D 2023, 107, 036011. [Google Scholar] [CrossRef]
- Bethe, H.A.; Bacher, R.F. Nuclear Physics A. Stationary States of Nuclei. Rev. Mod. Phys. 1936, 8, 82–229. [Google Scholar] [CrossRef]
- Oertel, M.; Hempel, M.; Klähn, T.; Typel, S. Equations of state for supernovae and compact stars. Rev. Mod. Phys. 2017, 89, 015007. [Google Scholar] [CrossRef]
- Dutra, M.; Lourenço, O.; Avancini, S.S.; Carlson, B.V.; Delfino, A.; Menezes, D.P.; Providência, C.; Typel, S.; Stone, J.R. Relativistic mean-field hadronic models under nuclear matter constraints. Phys. Rev. C 2014, 90, 055203. [Google Scholar] [CrossRef]
- Lopes, L.L. The neutron star inner crust: An empirical essay. Europhys. Lett. 2021, 134, 52001. [Google Scholar] [CrossRef]
- Fantina, A.F.; De Ridder, S.; Chamel, N.; Gulminelli, F. Crystallization of the outer crust of a non-accreting neutron star. Astron. Astrophys. 2020, 633, A149. [Google Scholar] [CrossRef]
- Baym, G.; Pethick, C.; Sutherland, P. The Ground State of Matter at High Densities. Astrophys. J. 1971, 170, 299. [Google Scholar] [CrossRef]
- Baym, G.; Bethe, H.A.; Pethick, C.J. Neutron star matter. Nucl. Phys. A 1971, 175, 225. [Google Scholar] [CrossRef]
- Fortin, M.; Providencia, C.; Raduta, A.R.; Gulminelli, F.; Zdunik, J.L.; Haensel, P.; Bejger, M. Neutron star radii and crusts: Uncertainties and unified equations of state. Phys. Rev. C 2016, 94, 035804. [Google Scholar] [CrossRef]
- Chamel, N.; Fantina, A.F.; Pearson, J.M.; Goriely, S. Phase transitions in dense matter and the maximum mass of neutron stars. Astron. Astrophys. 2013, 553, A22. [Google Scholar] [CrossRef]
- Canuto, V.; Datta, B. High density matter in the universe. Nucl. Phys. A 1979, 328, 320–351. [Google Scholar] [CrossRef]
- Li, B.A.; Chen, L.W.; Ko, C.M. Recent progress and new challenges in isospin physics with heavy-ion reactions. Phys. Rep. 2008, 464, 113–281. [Google Scholar] [CrossRef]
- Harakeh, M.N.; van der Borg, K.; Ishimatsu, T.; Morsch, H.P.; van der Woude, A.; Bertrand, F.E. Direct Evidence for a New Giant Resonance at 80A−13 MeV in the Lead Region. Phys. Rev. Lett. 1977, 38, 676–679. [Google Scholar] [CrossRef]
- Blaizot, J. Nuclear compressibilities. Phys. Rep. 1980, 64, 171–248. [Google Scholar] [CrossRef]
- Schmitt, A. Dense matter in compact stars—A pedagogical introduction. Lect. Not. Phys. 2010, 811, 1. [Google Scholar] [CrossRef]
- Lalazissis, G.A.; König, J.; Ring, P. New parametrization for the Lagrangian density of relativistic mean field theory. Phys. Rev. C 1997, 55, 540–543. [Google Scholar] [CrossRef]
- Glendenning, N.K.; Moszkowski, S.A. Reconciliation of neutron-star masses and binding of the Λ in hypernuclei. Phys. Rev. Lett. 1991, 67, 2414–2417. [Google Scholar] [CrossRef] [PubMed]
- Boguta, J.; Bodmer, A. Relativistic calculation of nuclear matter and the nuclear surface. Nucl. Phys. A 1977, 292, 413. [Google Scholar] [CrossRef]
- Glendenning, N.K. The hyperon composition of neutron stars. Phys. Lett. B 1982, 114, 392–396. [Google Scholar] [CrossRef]
- Lopes, L.L.; Menezes, D.P. Broken SU(6) symmetry and massive hybrid stars. Nucl. Phys. A 2021, 1009, 122171. [Google Scholar] [CrossRef]
- Köpp, F.; Horvath, J.E.; Hadjimichef, D.; Zen Vasconcellos, C.A. Investigating Phase Transitions in Hybrid Stars Using the vMIT Bag Model and the QHD-II Model. Astron. Nachrichten 2025, 346, e20250006. [Google Scholar] [CrossRef]
- Lopes, L.L. Hyperonic neutron stars: Reconciliation between nuclear properties and NICER and LIGO/VIRGO results. Commun. Theor. Phys. 2022, 74, 015302. [Google Scholar] [CrossRef]
- Lopes, L.L. Decoding Rotating Neutron Stars: Role of the Symmetry Energy Slope. Astrophys. J. 2024, 966, 184. [Google Scholar] [CrossRef]
- Liu, B.; Greco, V.; Baran, V.; Colonna, M.; Di Toro, M. Asymmetric nuclear matter: The role of the isovector scalar channel. Phys. Rev. C 2002, 65, 045201. [Google Scholar] [CrossRef]
- Danielewicz, P.; Lacey, R.; Lynch, W.G. Determination of the Equation of State of Dense Matter. Science 2002, 298, 1592–1596. [Google Scholar] [CrossRef] [PubMed]
- Steiner, A.W.; Lattimer, J.M.; Brown, E.F. The neutron star mass–radius relation and the equation of state of dense matter. Astrophys. J. Lett. 2013, 765, L5. [Google Scholar] [CrossRef]
- Horowitz, C.J.; Piekarewicz, J. Neutron Star Structure and the Neutron Radius of 208Pb. Phys. Rev. Lett. 2001, 86, 5647–5650. [Google Scholar] [CrossRef]
- Fattoyev, F.; Horowitz, C.J.; Piekarewicz, J.; Shen, G. Relativistic effective interaction for nuclei, giant resonances, and neutron stars. Phys. Rev. C 2010, 82, 055803. [Google Scholar] [CrossRef]
- Miyatsu, T.; Cheoun, M.K.; Saito, K. Equation of state for neutron stars in SU(3) flavor symmetry. Phys. Rev. C 2013, 88, 015802. [Google Scholar] [CrossRef]
- Cavagnoli, R.; Menezes, D.; Providencias, C. Neutron star properties and the symmetry energy. Phys. Rev. C 2011, 84, 065810. [Google Scholar] [CrossRef]
- Lopes, L.L.; Alves, V.B.T.; Flores, C.O.V.; Lugones, G. Imprints of the nuclear symmetry energy slope in gravitational wave signals emanating from neutron stars. Phys. Rev. D 2023, 108, 083042. [Google Scholar] [CrossRef]
- Roca-Maza, X.; Viñas, X.; Centelles, M.; Ring, P.; Schuck, P. Relativistic mean-field interaction with density-dependent meson-nucleon vertices based on microscopical calculations. Phys. Rev. C 2011, 84, 054309. [Google Scholar] [CrossRef]
- Tagami, S.; Wakasa, T.; Yahiro, M. Slope parameters determined from CREX and PREX2. Resul. Phys. 2022, 43, 106037. [Google Scholar] [CrossRef]
- Essick, R.; Tews, I.; Landry, P.; Schwenk, A. Astrophysical Constraints on the Symmetry Energy and the Neutron Skin of 208Pb with Minimal Modeling Assumptions. Phys. Rev. Lett. 2021, 127, 192701. [Google Scholar] [CrossRef] [PubMed]
- Quaintrell, H.; Norton, A.J.; Ash, T.D.C.; Roche, P.; Willems, B.; Bedding, T.R.; Baldry, I.K.; Fender, R.P. The mass of the neutron star in Vela X-1 and tidally induced non-radial oscillations in GP Vel. Astron. Astrophys. 2003, 401, 313–323. [Google Scholar] [CrossRef]
- Demorest, P.; Pennucci, T.; Ransom, S.M.; Roberts, M.S.E.; Hessels, J.W.T. A two-solar-mass neutron star measured using Shapiro delay. Nature 2010, 467, 1081. [Google Scholar] [CrossRef]
- Antoniadis, J.; Freire, P.C.C.; Wex, N.; Tauris, T.M.; Lynch, R.S.; van Kerkwijk, M.H.; Kramer, M.; Bassa, C.; Dhillon, V.S.; Driebe, T.; et al. A Massive Pulsar in a Compact Relativistic Binary. Science 2013, 340, 1233232. [Google Scholar] [CrossRef]
- Gendreau, K.C.; Arzoumanian, Z.; Okajima, T. The Neutron Star Interior Composition ExploreR (NICER): An Explorer Mission of Opportunity for Soft X-Ray Timing Spectroscopy; SPIE: Bellingham, WA, USA, 2012; Volume 8443, p. 844313. [Google Scholar] [CrossRef]
- Romani, R.W.; Kandel, D.; Filippenko, A.V.; Brink, T.G.; Zheng, W. PSR J0952-0607: The Fastest and Heaviest Known Galactic Neutron Star. Astrophys. J. Lett. 2022, 934, L17. [Google Scholar] [CrossRef]
- Lopes, L.L.; Menezes, D.P. On the Nature of the Mass-gap Object in the GW190814 Event. Astrophys. J. 2022, 936, 41. [Google Scholar] [CrossRef]
- Lattimer, J.M.; Pethick, C.J.; Prakash, M.; Haensel, P. Direct URCA process in neutron stars. Phys. Rev. Lett. 1991, 66, 2701–2704. [Google Scholar] [CrossRef]
- Dohi, A.; Nakazato, K.; Hashimoto, M.; Matsuo, Y.; Noda, T. Possibility of rapid neutron star cooling with a realistic equation of state. Progr. Theor. Exper. Phys. 2019, 2019, 113E01. [Google Scholar] [CrossRef]
- Lopes, L.L. Role of the symmetry energy slope in neutron stars: Exploring the model dependency. Phys. Rev. C 2024, 110, 015805. [Google Scholar] [CrossRef]
- Klähn, T.; Blaschke, D.; Typel, S.; van Dalen, E.N.E.; Faessler, A.; Fuchs, C.; Gaitanos, T.; Grigorian, H.; Ho, A.; Kolomeitsev, E.E.; et al. Constraints on the high-density nuclear equation of state from the phenomenology of compact stars and heavy-ion collisions. Phys. Rev. C 2006, 74, 035802. [Google Scholar] [CrossRef]
- Yakovlev, D.; Pethick, C. Neutron Star Cooling. Ann. Rev. Astron. Astrophys. 2004, 42, 169. [Google Scholar] [CrossRef]
- Yakovlev, D.; Gnedin, O.; Kaminker, A.; Levenfish, K.; Potekhin, A. Neutron star cooling: Theoretical aspects and observational constraints. Advan. Spac. Res. 2004, 33, 523–530. [Google Scholar] [CrossRef]
- Antonelli, M.; Montoli, A.; Pizzochero, P.M. Insights Into the Physics of Neutron Star Interiors from Pulsar Glitches. In Astrophysics in the XXI Century with Compact Stars; World Scientific: London, UK, 2022. [Google Scholar] [CrossRef]
- Chatziioannou, K. Neutron-star tidal deformability and equation-of-state constraints. Gen. Rel. Grav 2020, 52, 109. [Google Scholar] [CrossRef]
- Hinderer, T. Tidal Love Numbers of Neutron Stars. Astrophys. J. 2008, 677, 1216. [Google Scholar] [CrossRef]
- Flores, C.; Lopes, L.; Benito, L.; Menezes, D. Gravitational wave signatures of highly magnetized neutron stars. Eur. Phys. J. C 2020, 80, 1142. [Google Scholar] [CrossRef]
- Abbott, B.P.; Abbott, R.; Abbott, T.D.; Acernese, F.; Ackley, K.; Adams, C.; Adams, T.; Addesso, P.; Adhikari, R.X.; Adya, V.B.; et al. GW170817: Measurements of Neutron Star Radii and Equation of State. Phys. Rev. Lett. 2018, 121, 161101. [Google Scholar] [CrossRef]
- Abbott, B.P.; Abbott, R.; Abbott, T.D.; Acernese, F.; Ackley, K.; Adams, C.; Adams, T.; Addesso, P.; Adhikari, R.X.; Adya, V.B.; et al. Properties of the binary neutron star merger GW170817. Phys. Rev. X 2019, 9, 011001. [Google Scholar] [CrossRef]
- Dapo, H.; Schaefer, B.J.; Wambach, J. Appearance of hyperons in neutron stars. Phys. Rev. C 2010, 81, 035803. [Google Scholar] [CrossRef]
- Weissenborn, S.; Chatterjee, D.; Schaffner-Bielich, J. Hyperons and massive neutron stars: Vector repulsion and SU(3) symmetry. Phys. Rev. C 2012, 85, 065802. [Google Scholar] [CrossRef]
- Jiang, W.Z.; Li, B.A.; Chen, L.W. Large-Mass Neutron Stars with Hyperonization. Astrophys. J. 2012, 756, 56. [Google Scholar] [CrossRef]
- Bethe, H.; Johnson, M. Dense baryon matter calculations with realistic potentials. Nucl. Phys. A 1974, 230, 1–58. [Google Scholar] [CrossRef]
- Glendenning, N.K.; Schaffner-Bielich, J. First order kaon condensate. Phys. Rev. C 1999, 60, 025803. [Google Scholar] [CrossRef]
- Olinto, A. On the conversion of neutron stars into strange stars. Phys. Lett. B 1987, 192, 71. [Google Scholar] [CrossRef]
- Lopes, L.; Jimenez, J.; Castro, L.; Flores, C. Oscillatory properties of strange quark stars described by the vector MIT bag model. Eur. Phys. J. C 2025, 85, 515. [Google Scholar] [CrossRef]








| Set | (fm2) | (fm2) |
|---|---|---|
| Set A | 0.00 | 0.00 |
| Set B | 0.00 | 1.50 |
| Set C | 0.00 | 3.00 |
| Set D | 0.00 | 5.00 |
| Set E | 4.50 | 3.00 |
| Set F | 4.50 | 5.00 |
| Set G | 4.50 | 8.00 |
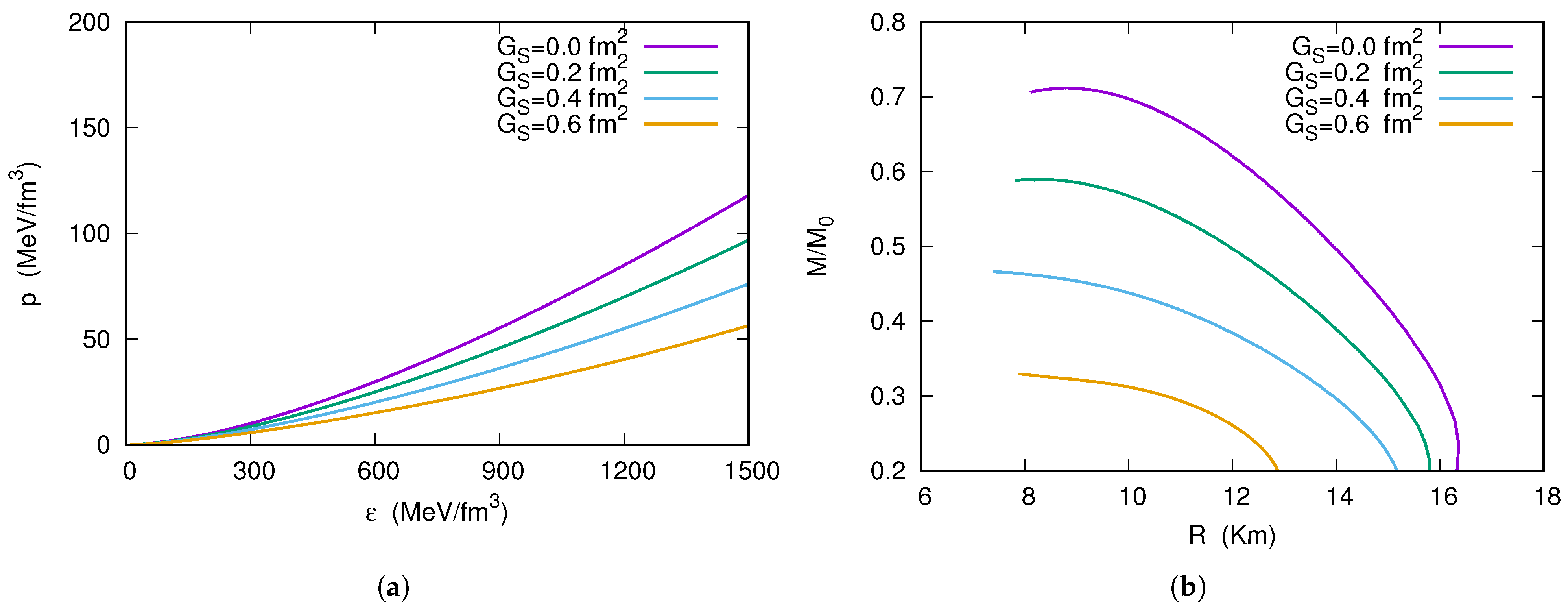
| Set | (km) | (km) | |
|---|---|---|---|
| Set A | 0.71 | 8.87 | - |
| Set B | 1.55 | 12.03 | 14.76 |
| Set C | 2.01 | 14.86 | 20.39 |
| Set D | 2.50 | 17.70 | 24.23 |
| Set E | 1.62 | 8.26 | 9.11 |
| Set F | 1.96 | 10.91 | 14.28 |
| Set G | 2.46 | 15.47 | 22.21 |
| Set | (fm2) | (fm2) | (MeV) | (fm−3) |
|---|---|---|---|---|
| Set 1 | 14.50 | 10.95 | −16.22 | 0.162 |
| Set 2 | 15.00 | 11.40 | −15.94 | 0.156 |
| Set 3 | 15.75 | 12.06 | −15.81 | 0.149 |
| Set | (fm2) | (MeV) | (MeV) |
|---|---|---|---|
| Set 2a | 0.00 | 19.7 | 20.8 |
| Set 2b | 1.87 | 27.0 | 28.1 |
| Set 2c | 3.38 | 32.8 | 33.9 |
| Set 2d | 5.00 | 39.1 | 40.1 |
| Physical Quantities | Set 2c | L3 [51,52] | NLρ [53] | GM3 [46] | Constraints [32,33] |
|---|---|---|---|---|---|
| (MeV) | 15.9 | 16.2 | 16.0 | 16.3 | 15.8–16.5 |
| (fm−3) | 0.156 | 0.156 | 0.160 | 0.153 | 0.148–0.170 |
| (MeV) | 551 | 256 | 240 | 240 | 220–260 |
| 0.56 | 0.69 | 0.75 | 0.78 | 0.6–0.8 | |
| (MeV) | 32.8 | 31.7 | 30.5 | 32.5 | 30–35 |
| (MeV) | 938.93 | 938.93 | 938.93 | 938.93 | |
| (MeV) | 512 | 512 | 512 | 512 | |
| (MeV) | 783 | 783 | 783 | 783 | |
| (MeV) | 770 | 770 | 770 | 770 | |
| (MeV) | 0.51 | 0.51 | 0.51 | 0.51 | |
| (MeV) | 105.66 | 105.66 | 105.66 | 105.66 | |
| (fm2) | 15.00 | 12.108 | 10.330 | 9.927 | |
| (fm2) | 11.40 | 7.132 | 5.421 | 4.820 | |
| (fm2) | 3.38 | 4.06 | 3.83 | 4.791 | |
| - | 0.00414 | 0.00694 | 0.00866 | ||
| - | −0.00390 | −0.00480 | −0.00242 |
| (MeV) | (fm2) | (fm−3) | (km) | |||
|---|---|---|---|---|---|---|
| 44 | 8.40 | 0.0515 | 1.27 | 2.31 | 12.58 | - |
| 60 | 6.16 | 0.0344 | 0.80 | 2.30 | 12.74 | 2.28 |
| 76 | 4.90 | 0.0171 | 0.44 | 2.30 | 12.99 | 1.62 |
| 92 | 4.06 | 0.0 | 0.29 | 2.34 | 13.48 | 1.10 |
Disclaimer/Publisher’s Note: The statements, opinions and data contained in all publications are solely those of the individual author(s) and contributor(s) and not of MDPI and/or the editor(s). MDPI and/or the editor(s) disclaim responsibility for any injury to people or property resulting from any ideas, methods, instructions or products referred to in the content. |
© 2025 by the author. Licensee MDPI, Basel, Switzerland. This article is an open access article distributed under the terms and conditions of the Creative Commons Attribution (CC BY) license (https://creativecommons.org/licenses/by/4.0/).
Share and Cite
Lopes, L.L. An Undergraduate Approach to the Quantum Hadrodynamics and Physics of Neutron Stars. Universe 2025, 11, 276. https://doi.org/10.3390/universe11080276
Lopes LL. An Undergraduate Approach to the Quantum Hadrodynamics and Physics of Neutron Stars. Universe. 2025; 11(8):276. https://doi.org/10.3390/universe11080276
Chicago/Turabian StyleLopes, Luiz L. 2025. "An Undergraduate Approach to the Quantum Hadrodynamics and Physics of Neutron Stars" Universe 11, no. 8: 276. https://doi.org/10.3390/universe11080276
APA StyleLopes, L. L. (2025). An Undergraduate Approach to the Quantum Hadrodynamics and Physics of Neutron Stars. Universe, 11(8), 276. https://doi.org/10.3390/universe11080276

