The Efficiency of Mass Accretion and Disc Structure from the Stellar Wind Mass Transfer in Binary Systems
Abstract
1. Introduction
2. Theory of Binary Systems and Mass Transfer
3. Method
4. Results
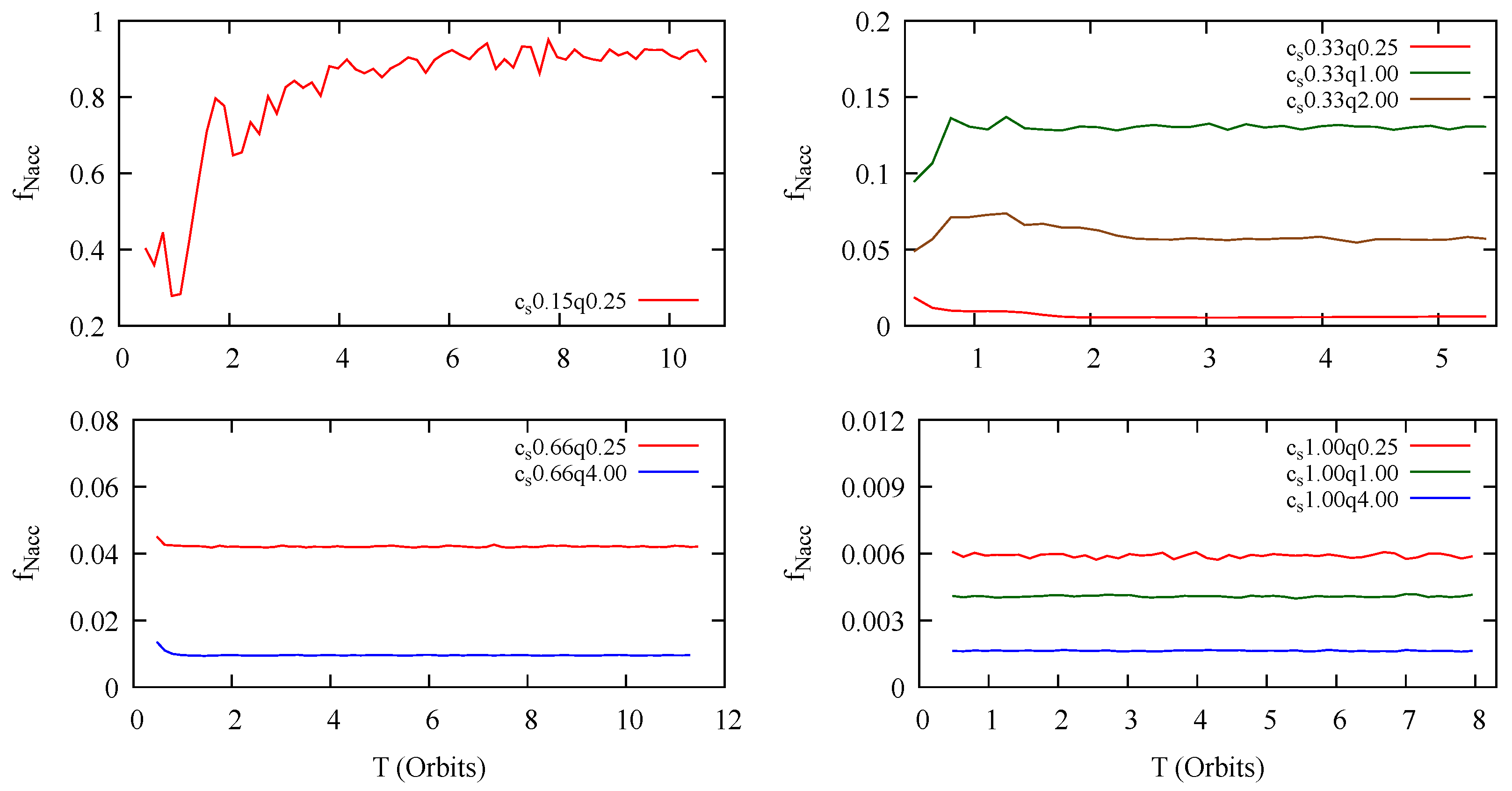
4.1. Mass Accretion Fractions
4.2. Accretion Disc Structure
5. Discussion
6. Conclusions
Author Contributions
Funding
Data Availability Statement
Acknowledgments
Conflicts of Interest
Abbreviations
| SPH | Smoothed Particle Hydrodynamics | 
| 3D-SPH | Three-Dimensional Smoothed Particle Hydrodynamics | 
| AGB | Asymptotic Giant Branch | 
| BHL | Bondi–Hoyle–Lyttleton | 
| CM | Centre of Mass | 
| MS | Main Sequence | 
| RLOF | Roche Lobe Overflow | 
| WD | White Dwarf | 
| WRLOF | Wind Roche Lobe Overflow | 
References
- Duquennoy, A.; Mayor, M. Multiplicity among solar-type stars in the solar neighbourhood. II-Distribution of the orbital elements in an unbiased sample. Astron. Astrophys. 1991, 248, 485–524. [Google Scholar]
- Liu, Z.-W.; Stancliffe, R.J.; Abate, C.; Matrozis, E. Three-dimensional hydrodynamical simulations of mass transfer in binary systems by a free wind. Astrophys. J. 2017, 846, 117. [Google Scholar] [CrossRef]
- El-Badry, K. Gaia’s Binary Star Renaissance. New Astron. Rev. 2024, 98, 101694. [Google Scholar] [CrossRef]
- Negu, S.H.; Tessema, S.B. Mass Transfer in Binary Stellar Evolution and Its Stability. Int. J. Astron. Astrophys. 2015, 5, 222. [Google Scholar] [CrossRef]
- Sana, H.; De Mink, S.E.; de Koter, A.; Langer, N.; Evans, C.J.; Gieles, M.; Gosset, E.; Izzard, R.G.; Le Bouquin, J.-B.; Schneider, F.R.N. Binary Interaction Dominates the Evolution of Massive Stars. Am. Assoc. Adv. Sci. 2012, 337, 444–446. [Google Scholar] [CrossRef]
- Marchant, P.; Bodensteiner, J. The Evolution of Massive Binary Stars. Annu. Rev. Astron. Astrophys. 2024, 62, 21–61. [Google Scholar] [CrossRef]
- Hachisu, I.; Kato, M. RX J0513.9–6951: First Example of Accretion Wind Evolution, a Key Evolutionary Process to Type Ia Supernovae. Astrophys. J. 2003, 590, 445. [Google Scholar] [CrossRef]
- Evans, A.; Bode, M.F.; O’Brien, T.J. RS Ophiuchi (2006) and the Recurrent Nova Phenomenon; Astronomical Society of the Pacific: San Francisco, CA, USA, 2009; p. 31. [Google Scholar]
- Schaefer, B.E. Comprehensive Photometric Histories of All Known Galactic Recurrent Novae. Astrophys. J. Suppl. Ser. 2010, 187, 275. [Google Scholar] [CrossRef]
- Lynden-Bell, D. Galactic Nuclei as Collapsed Old Quasars. Nature 1969, 223, 690–694. [Google Scholar] [CrossRef]
- Pringle, J.E.; Rees, M.J. Accretion Disc Models for Compact X-ray Sources. Astron. Astrophys. 1972, 21, 1. [Google Scholar]
- Shakura, N.I.; Sunyaev, R.A. Black Holes in Binary Systems. Observational Appearance. Astron. Astrophys. 1973, 24, 337–355. [Google Scholar]
- Pringle, J.E. Accretion Discs in Astrophysics. Annu. Rev. Astron. Astrophys. 1981, 19, 137–162. [Google Scholar] [CrossRef]
- Lasota, J.-P. The Disc Instability Model of Dwarf Novae and Low-Mass X-ray Binary Transients. New Astron. Rev. 2001, 45, 449–508. [Google Scholar] [CrossRef]
- Frank, J.; King, A.R.; Raine, D. Accretion Power in Astrophysics, 3rd ed.; Cambridge University Press: Cambridge, UK, 2002. [Google Scholar]
- King, A.R.; Rolfe, D.J.; Schenker, K. A New Evolutionary Channel for Type Ia Supernovae. Mon. Not. R. Astron. Soc. 2003, 341, L35–L38. [Google Scholar] [CrossRef]
- Perets, H.B. Second generation planets. arXiv 2010, arXiv:1001.0581. [Google Scholar] [CrossRef]
- Perets, H.B. Planets in evolved binary systems. In AIP Conference Proceedings; American Institute of Physics: Melville, NY, USA, 2011; Volume 1331, pp. 56–75. [Google Scholar]
- Perets, H.B.; Kenyon, S.J. Wind-Accretion Disks in Wide Binaries, Second-Generation Protoplanetary Disks, and Accretion onto White Dwarfs. Astrophys. J. 2013, 764, 169. [Google Scholar] [CrossRef]
- Cehula, J.; Pejcha, O. A Theory of Mass Transfer in Binary Stars. Mon. Not. R. Astron. Soc. 2023, 524, 471–490. [Google Scholar] [CrossRef]
- Tout, C.A.; Hall, D.S. Wind driven mass transfer in interacting binary systems. Mon. Not. R. Astron. Soc. 1991, 253, 9–18. [Google Scholar] [CrossRef]
- Theuns, T.; Boffin, H.M.J.; Jorissen, A. Wind accretion in binary stars—II. Accretion rates. Mon. Not. R. Astron. Soc. 1996, 280, 1264–1276. [Google Scholar] [CrossRef]
- Nagae, T.; Oka, K.; Matsuda, T.; Fujiwara, H.; Hachisu, I.; Boffin, H.M.J. Wind accretion in binary stars—I. Mass accretion ratio. Astron. Astrophys. 2004, 419, 335–343. [Google Scholar] [CrossRef]
- Davis, P.J.; Siess, L.; Deschamps, R. Mass transfer in eccentric binary systems using the binary evolution code BINSTAR. Astron. Astrophys. 2013, 556, A4. [Google Scholar] [CrossRef]
- Dosopoulou, F.; Kalogera, V. Orbital Evolution of Mass-Transferring Eccentric Binary Systems. I. Phase-dependent Evolution. Astrophys. J. 2016, 825, 70. [Google Scholar] [CrossRef]
- Dosopoulou, F.; Kalogera, V. Orbital Evolution of Mass-Transferring Eccentric Binary Systems. II. Secular Evolution. Astrophys. J. 2016, 825, 71. [Google Scholar] [CrossRef]
- Hamers, A.S.; Dosopoulou, F. An Analytic Model for Mass Transfer in Binaries with Arbitrary Eccentricity, with Applications to Triple-star Systems. Astrophys. J. 2019, 872, 119. [Google Scholar] [CrossRef]
- Church, R.P.; Dischler, J.; Davies, M.B.; Tout, C.A.; Adams, T.; Beer, M.E. Mass transfer in eccentric binaries: The new Oil-on-Water SPH technique. Mon. Not. R. Astron. Soc. 2009, 395, 1127–1134. [Google Scholar] [CrossRef]
- Hogg, M.A.; Wynn, G.A.; Nixon, C. The galactic rate of second and third generation disc and planet formation. Mon. Not. R. Astron. Soc. 2018, 479, 4486–4498. [Google Scholar] [CrossRef]
- Lajoie, C.-P.; Sills, A. Mass transfer in binary stars using smoothed particle hydrodynamics. I. Numerical method. Astrophys. J. 2010, 726, 66. [Google Scholar] [CrossRef]
- Lajoie, C.-P.; Sills, A. Mass transfer in binary stars using smoothed particle hydrodynamics. II. Eccentric binaries. Astrophys. J. 2010, 726, 67. [Google Scholar] [CrossRef]
- Maes, S.; HOoman, W.; Malfait, J.; Siess, L.; Bolte, J.; De Ceuster, F.; Decin, L. SPH modelling of companion-perturbed AGB outflows including a new morphology classification scheme. Astron. Astrophys. 2021, 653, A25. [Google Scholar] [CrossRef]
- Saladino, M.I.; Pols, O.R. The eccentric behaviour of windy binary stars. Astron. Astrophys. 2019, 629, A103. [Google Scholar] [CrossRef]
- Saladino, M.I.; Pols, O.R.; Abate, C. Slowly, slowly in the wind-3D hydrodynamical simulations of wind mass transfer and angular-momentum loss in AGB binary systems. Astron. Astrophys. 2019, 626, A68. [Google Scholar] [CrossRef]
- de Val-Borro, M.; Karovska, M.; Sasselov, D. Numerical simulations of wind accretion in symbiotic binaries. Astrophys. J. 2009, 700, 1148. [Google Scholar] [CrossRef]
- Vathachira, I.B.; Hillman, Y.; Kashi, A. Exploring Mass Transfer Mechanisms in Symbiotic Systems. Astrophys. J. 2025, 980, 224. [Google Scholar] [CrossRef]
- Lee, Y.-M.; Kim, H.; Lee, H.-W. Formation of the Asymmetric Accretion Disk from Stellar Wind Accretion in an S-type Symbiotic Star. Astrophys. J. 2022, 931, 142. [Google Scholar] [CrossRef]
- Tejeda, E.; Toalá, J.A. Geometric Correction for Wind Accretion in Binary Systems. Astrophys. J. 2025, 980, 226. [Google Scholar] [CrossRef]
- Eggleton, P.P. Approximations to the radii of Roche lobes. Astrophys. J. 1983, 268, 368. [Google Scholar] [CrossRef]
- Mohamed, S.; Podsiadlowski, P. Wind Roche-Lobe Overflow: A New Mass-Transfer Mode for Wide Binaries. In Proceedings of the 15th European Workshop on White Dwarfs, Leicester, UK, 7–11 August 2006; Volume 372, p. 397. [Google Scholar]
- Abate, C.; Pols, O.R.; Izzard, R.G.; Mohamed, S.S.; de Mink, S.E. Wind Roche-lobe overflow: Application to carbon-enhanced metal-poor stars. Astron. Astrophys. 2013, 552, A26. [Google Scholar] [CrossRef]
- Edgar, R. A review of Bondi–Hoyle–Lyttleton accretion. New Astron. Rev. 2004, 48, 843–859. [Google Scholar] [CrossRef]
- Bondi, H.; Hoyle, F. On the Mechanism of Accretion by Stars. Mon. Not. R. Astron. Soc. 1944, 104, 273–282. [Google Scholar] [CrossRef]
- Gayley, K.G.; Owocki, S.P.; Cranmer, S.R. Sudden Radiative Braking in Colliding Hot-Star Winds. Astrophys. J. 1997, 475, 786–797. [Google Scholar] [CrossRef]
- Lamers, H.J.G.L.M.; Cassinelli, J.P. Introduction to Stellar Winds; Cambridge University Press: Cambridge, UK, 1999. [Google Scholar]
- Nixon, C.J.; Cossins, P.J.; King, A.R.; Pringle, J.E. Retrograde accretion and merging supermassive black holes. Mon. Not. R. Astron. Soc. 2011, 412, 1591–1598. [Google Scholar] [CrossRef]
- Mohammed, H.O. Stellar Wind Accretion and Dynamics in Binary Stars and Exoplanetary Systems. Ph.D. Thesis, University of Leicester, Leicester, UK, 2015. [Google Scholar]
- Demircan, O.; Kahraman, G. Stellar Mass-Luminosity and Mass-Radius Relations. Astrophys. Space Sci. 1991, 181, 313–322. [Google Scholar] [CrossRef]
- Kippenhahn, R.; Weigert, A.; Weiss, A. Stellar Structure and Evolution; Springer: Berlin/Heidelberg, Germany, 1990. [Google Scholar]
- Price, D.J. SPLASH: An interactive visualisation tool for Smoothed Particle Hydrodynamics simulations. Publ. Astron. Soc. Aust. 2007, 24, 159–173. [Google Scholar] [CrossRef]
- Regály, Z.; Sándor, Z.; Dullemond, C.P.; Kiss, L.L. Spectral signatures of disk eccentricity in young binary systems–I. Circumprimary case. Astron. Astrophys. 2011, 528, A93. [Google Scholar] [CrossRef]
- Kley, W.; Papaloizou, J.C.B.; Ogilvie, G.I. Simulations of eccentric disks in close binary systems. Astron. Astrophys. 2008, 487, 671–687. [Google Scholar] [CrossRef]









| Physical Parameter | Code Value | Common Physical Unit | 
|---|---|---|
| Binary separation | ||
| Binary total mass | ||
| Gravitational constant | ||
| Orbital period | Days | 
| Model ID | |||
|---|---|---|---|
| 0.0016 | 0.0106 | 0.9000 | |
| 0.0385 | 0.1925 | 0.1360 | |
| 0.0037 | 0.0185 | 0.6500 | |
| 0.0001 | 0.0005 | 0.5300 | |
| 0.1576 | 0.6061 | 0.0110 | |
| 0.0612 | 0.2353 | 0.0540 | |
| 0.0127 | 0.0488 | 0.2170 | |
| 0.0021 | 0.0081 | 0.1150 | |
| 0.0005 | 0.0019 | 0.0380 | |
| 0.3676 | 1.1139 | 0.0060 | |
| 0.1907 | 0.5779 | 0.0210 | |
| 0.0845 | 0.2561 | 0.1300 | |
| 0.0318 | 0.0964 | 0.0570 | |
| 0.0142 | 0.0433 | 0.0680 | |
| 0.5813 | 1.4532 | 0.0600 | |
| 0.3836 | 0.9590 | 0.0850 | |
| 0.2219 | 0.5548 | 0.1020 | |
| 0.1268 | 0.3170 | 0.0560 | |
| 0.0767 | 0.1917 | 0.0440 | |
| 0.7578 | 1.6840 | 0.1930 | |
| 0.5355 | 1.1900 | 0.0840 | |
| 0.3555 | 0.7900 | 0.0850 | |
| 0.2337 | 0.5193 | 0.0610 | |
| 0.1606 | 0.3569 | 0.0560 | |
| 0.9390 | 1.8780 | 0.1510 | |
| 0.6975 | 1.3950 | 0.2000 | |
| 0.5000 | 1.0000 | 0.0710 | |
| 0.3573 | 0.7146 | 0.0560 | |
| 0.2707 | 0.5414 | 0.0580 | |
| 1.1236 | 2.0429 | 0.1020 | |
| 0.8695 | 1.5809 | 0.1100 | |
| 0.6545 | 1.1900 | 0.0780 | |
| 0.4981 | 0.9056 | 0.0710 | |
| 0.3966 | 0.7211 | 0.0520 | |
| 1.3152 | 2.1920 | 0.0710 | |
| 1.0470 | 1.7450 | 0.0730 | |
| 0.8166 | 1.3610 | 0.0650 | |
| 0.6462 | 1.0770 | 0.0450 | |
| 0.5384 | 0.8973 | 0.0190 | |
| 1.5687 | 2.3768 | 0.0420 | |
| 1.2546 | 1.9009 | 0.0430 | |
| 1.0374 | 1.5718 | 0.0350 | |
| 0.8375 | 1.2689 | 0.0220 | |
| 0.7281 | 1.1031 | 0.0090 | |
| 2.1160 | 2.6450 | 0.0170 | |
| 1.7960 | 2.2450 | 0.0180 | |
| 1.5192 | 1.8990 | 0.0130 | |
| 1.3088 | 1.6360 | 0.0080 | |
| 1.1704 | 1.4630 | 0.0033 | |
| 2.9640 | 2.9640 | 0.0059 | |
| 2.5970 | 3.5970 | 0.0056 | |
| 2.2790 | 2.2790 | 0.0041 | |
| 2.0370 | 2.0370 | 0.0025 | |
| 1.8780 | 1.8780 | 0.0016 | 
| Disclaimer/Publisher’s Note: The statements, opinions and data contained in all publications are solely those of the individual author(s) and contributor(s) and not of MDPI and/or the editor(s). MDPI and/or the editor(s) disclaim responsibility for any injury to people or property resulting from any ideas, methods, instructions or products referred to in the content. | 
© 2025 by the authors. Licensee MDPI, Basel, Switzerland. This article is an open access article distributed under the terms and conditions of the Creative Commons Attribution (CC BY) license (https://creativecommons.org/licenses/by/4.0/).
Share and Cite
Ali, B.A.; Mohammed, H.O.; Abdoul, P.A. The Efficiency of Mass Accretion and Disc Structure from the Stellar Wind Mass Transfer in Binary Systems. Universe 2025, 11, 275. https://doi.org/10.3390/universe11080275
Ali BA, Mohammed HO, Abdoul PA. The Efficiency of Mass Accretion and Disc Structure from the Stellar Wind Mass Transfer in Binary Systems. Universe. 2025; 11(8):275. https://doi.org/10.3390/universe11080275
Chicago/Turabian StyleAli, Bushra Ata, Hastyar Omar Mohammed, and Peshwaz Abdulkareem Abdoul. 2025. "The Efficiency of Mass Accretion and Disc Structure from the Stellar Wind Mass Transfer in Binary Systems" Universe 11, no. 8: 275. https://doi.org/10.3390/universe11080275
APA StyleAli, B. A., Mohammed, H. O., & Abdoul, P. A. (2025). The Efficiency of Mass Accretion and Disc Structure from the Stellar Wind Mass Transfer in Binary Systems. Universe, 11(8), 275. https://doi.org/10.3390/universe11080275
 
        


 
       