Combined Effects of Rhodiola Rosea and Caffeine Supplementation on Straight Punch Explosive Power in Untrained and Trained Boxing Volunteers: A Synergistic Approach
Abstract
1. Introduction
2. Materials and Methods
2.1. Participants
| Body Characteristics | Untrained Volunteers (n = 48) | Trained Volunteers (n = 48) |
|---|---|---|
| Age (years) | 20.38 ± 1.28 | 22.32 ± 1.18 |
| Height (cm) | 176.10 ± 3.87 | 175.97 ± 4.59 |
| Weight (kg) | 74.77 ± 7.43 | 73.86 ± 4.87 |
| BMI (kg/m2) | 22.31 ± 1.66 | 22.17 ± 1.49 |
| Training experience (years) | - | 6.63 ± 2.60 |

2.2. Ethics Approval
2.3. Study Design
The Supplementation Protocol
- Placebo Group (CTR): To control placebo effects, participants consumed placebo capsules containing starch twice daily, which were identical in appearance to those of the RHO group. On the final test day, to maintain consistency across all groups, participants administered a starch-filled CAF capsule 30 min before testing (Figure 3).Figure 3. Preparation of placebo.
- Rhodiola rosea Group (RHO): Participants consumed the RHO extract (2.4 g per day) in two divided doses, which were administered 30 min before breakfast and dinner. On the final test day, to maintain consistency across all groups, participants were administered a starch-filled CAF capsule 30 min before testing.
- Caffeine Group (CAF): Participants consumed the CAF supplementation (3 mg per kg of body weight) 30 min before the final test day only. During the rest of the intervention period, participants consumed starch-filled RHO capsules to maintain the double-blind design.
- Combined Group (RHO+CAFs): Throughout the intervention period, participants consumed the RHO extract (2.4 g per day) in two divided doses, administered 30 min before breakfast and dinner. Additionally, they consumed the CAF supplementation (3 mg per kg of body weight) 30 min before the final test day only.
2.4. Supplementation Preparation and Management
2.5. The Training Protocol
| Exercise | Sets × Reps | Heart Rate Zone | Rest Between Sets |
|---|---|---|---|
| Shadow Straight Punch Practice | 4 × 15reps | 50–65% Max Heart Rate | 1 min |
| Straight Punch on Heavy Bag | 4 × 1 min | 60–75% Max Heart Rate | 2 min |
| Straight Punch Target Pad Training | 4 × 15reps | 50–70% Max Heart Rate | 1 min |
| Footwork Drills | 4 × 1 min | 50–65% Max Heart Rate | 1 min |
| Reaction Drills (Slip and Straight Punch) | 4 × 10reps | 60–70% Max Heart Rate | 2 min |
2.6. Daily Dietary Intake Records
2.7. The Lead and Rear Straight Punch Test

2.8. The Ground Reaction Force (GRF) Test
2.9. The 30 s Continuous Punching Test
2.10. The Motion Analysis System

2.11. Baseline Data Collection
2.12. Data Statistical Analysis
3. Results
3.1. The Daily Dietary Intake Record
3.2. Changes in Untrained Volunteers After Supplementation with Training Supplements
3.2.1. Lead and Rear Straight Punch Force and Velocity
3.2.2. Peak Force and Peak Force Time in the Ground Reaction Force Test
3.2.3. The 30 s Continuous Punching Test
3.3. Changes in Trained Volunteers After Supplementation with Training Supplements
3.3.1. Change in Lead and Rear Straight Punch Force and Velocity
3.3.2. Change in Peak Force and Peak Force Time in the Ground Reaction Force Test
3.3.3. Change in the 30 s Continuous Punching Test

4. Discussion
5. Conclusions
Author Contributions
Funding
Institutional Review Board Statement
Informed Consent Statement
Data Availability Statement
Acknowledgments
Conflicts of Interest
References
- Jimenez-Alfageme, R.; Dominguez, R.; Jesus Sanchez-Oliver, A.; Tapia-Castillo, P.; Miguel Martinez-Sanz, J.; Sospedra, I. Analysis of the Consumption of Sports Supplements in Open Water Swimmers According to the Competitive Level. Nutrients 2022, 14, 5211. [Google Scholar] [CrossRef] [PubMed]
- Munoz, A.; Lopez-Samanes, A.; Dominguez, R.; Moreno-Perez, V.; Jesus Sanchez-Oliver, A.; Del Coso, J. Use of Sports Supplements in Competitive Handball Players: Sex and Competitive Level Differences. Nutrients 2020, 12, 3357. [Google Scholar] [CrossRef] [PubMed]
- Ferreira, L.H.B.; Forbes, S.C.; Barros, M.P.; Smolarek, A.C.; Enes, A.; Lancha-Junior, A.H.; Martins, G.L.; Souza-Junior, T.P. High Doses of Caffeine Increase Muscle Strength and Calcium Release in the Plasma of Recreationally Trained Men. Nutrients 2022, 14, 4921. [Google Scholar] [CrossRef] [PubMed]
- Abidov, M.; Crendal, F.; Grachev, S.; Seifulla, R.; Ziegenfuss, T. Effect of extracts from Rhodiola rosea and Rhodiola Crenulata (Crassulaceae) roots on ATP content in mitochondria of skeletal muscles. Bull. Exp. Biol. Med. 2003, 136, 585–587. [Google Scholar] [CrossRef]
- Abidov, M.; Grachev, S.; Seifulla, R.A.; Ziegenfuss, T.N. Extract of Rhodiola rosea radix reduces the level of C-reactive protein and creatinine kinase in the blood. Bull. Exp. Biol. Med. 2004, 138, 63–64. [Google Scholar] [CrossRef]
- Ahmed, M.; Henson, D.A.; Sanderson, M.C.; Nieman, D.C.; Zubeldia, J.M.; Shanely, R.A. Rhodiola rosea Exerts Antiviral Activity in Athletes Following a Competitive Marathon Race. Front. Nutr. 2015, 2, 24. [Google Scholar] [CrossRef] [PubMed]
- Ballmann, C.G.; Maze, S.B.; Wells, A.C.; Marshall, M.M.; Rogers, R.R. Effects of short-term Rhodiola rosea (Golden Root Extract) supplementation on anaerobic exercise performance. J. Sports Sci. 2019, 37, 998–1003. [Google Scholar] [CrossRef] [PubMed]
- Chen, Y.; Tang, M.; Yuan, S.; Fu, S.; Li, Y.; Li, Y.; Wang, Q.; Cao, Y.; Liu, L.; Zhang, Q. Rhodiola rosea: A Therapeutic Candidate on Cardiovascular Diseases. Oxid. Med. Cell. Longev. 2022, 2022, 1348795. [Google Scholar] [CrossRef] [PubMed]
- Alasmari, F. Caffeine induces neurobehavioral effects through modulating neurotransmitters. Saudi Pharm. J. 2020, 28, 445–451. [Google Scholar] [CrossRef] [PubMed]
- Karayigit, R.; Forbes, S.C.; Osmanov, Z.; Yilmaz, C.; Yasli, B.C.; Naderi, A.; Buyukcelebi, H.; Benesova, D.; Gabrys, T.; Esen, O. Low and Moderate Doses of Caffeinated Coffee Improve Repeated Sprint Performance in Female Team Sport Athletes. Biology 2022, 11, 1498. [Google Scholar] [CrossRef]
- Nicoll, J.X.; Fry, A.C.; Mosier, E.M. The effects of a caffeine containing pre-workout supplement on β2-adrenergic and MAPK signaling during resistance exercise. Eur. J. Appl. Physiol. 2023, 123, 585–599. [Google Scholar] [CrossRef] [PubMed]
- Barcelos, R.P.; Lima, F.D.; Carvalho, N.R.; Bresciani, G.; Royes, L.F.F. Caffeine effects on systemic metabolism, oxidative-inflammatory pathways, and exercise performance. Nutr. Res. 2020, 80, 1–17. [Google Scholar] [CrossRef] [PubMed]
- Bazzucchi, I.; Felici, F.; Montini, M.; Figura, F.; Sacchetti, M. Caffeine improves neuromuscular function during maximal dynamic exercise. Muscle Nerve 2011, 43, 839–844. [Google Scholar] [CrossRef] [PubMed]
- Coelho, M.; Patarrao, R.S.; Sousa-Lima, I.; Ribeiro, R.T.; Meneses, M.J.; Andrade, R.; Mendes, V.M.; Manadas, B.; Raposo, J.F.; Macedo, M.P.; et al. Increased Intake of Both Caffeine and Non-Caffeine Coffee Components Is Associated with Reduced NAFLD Severity in Subjects with Type 2 Diabetes. Nutrients 2023, 15, 4. [Google Scholar] [CrossRef]
- Diaz-Lara, F.J.; Del Coso, J.; García, J.M.; Portillo, L.J.; Areces, F.; Abián-Vicén, J. Caffeine improves muscular performance in elite Brazilian Jiu-jitsu athletes. Eur. J. Sport Sci. 2016, 16, 1079–1086. [Google Scholar] [CrossRef]
- Domaszewski, P.; Pakosz, P.; Konieczny, M.; Baczkowicz, D.; Sadowska-Krepa, E. Caffeine-Induced Effects on Human Skeletal Muscle Contraction Time and Maximal Displacement Measured by Tensiomyography. Nutrients 2021, 13, 815. [Google Scholar] [CrossRef] [PubMed]
- Beattie, K.; Ruddock, A.D. The Role of Strength on Punch Impact Force in Boxing. J. Strength Cond. Res. 2022, 36, 2957–2969. [Google Scholar] [CrossRef]
- Colson, S.N.; Wyatt, F.B.; Johnston, D.L.; Autrey, L.D.; FitzGerald, Y.L.; Earnest, C.P. Cordyceps sinensis- and Rhodiola rosea-based supplementation in male cyclists and its effect on muscle tissue oxygen saturation. J. Strength Cond. Res. 2005, 19, 358–363. [Google Scholar]
- De Bock, K.; Eijnde, B.O.; Ramaekers, M.; Hespel, P. Acute Rhodiola rosea intake can improve endurance exercise performance. Int. J. Sport Nutr. Exerc. Metab. 2004, 14, 298–307. [Google Scholar] [CrossRef] [PubMed]
- Dun, Y.; Liu, S.; Zhang, W.; Xie, M.; Qiu, L. Exercise Combined with Rhodiola sacra Supplementation Improves Exercise Capacity and Ameliorates Exhaustive Exercise-Induced Muscle Damage through Enhancement of Mitochondrial Quality Control. Oxidative Med. Cell. Longev. 2017, 2017, 8024857. [Google Scholar] [CrossRef]
- Filip, A.; Wilk, M.; Krzysztofik, M.; Del Coso, J. Inconsistency in the Ergogenic Effect of Caffeine in Athletes Who Regularly Consume Caffeine: Is It Due to the Disparity in the Criteria That Defines Habitual Caffeine Intake? Nutrients 2020, 12, 1087. [Google Scholar] [CrossRef]
- Filip-Stachnik, A.; Krawczyk, R.; Krzysztofik, M.; Rzeszutko-Belzowska, A.; Dornowski, M.; Zajac, A.; Del Coso, J.; Wilk, M. Effects of acute ingestion of caffeinated chewing gum on performance in elite judo athletes. J. Int. Soc. Sports Nutr. 2021, 18, 49. [Google Scholar] [CrossRef]
- Ald’ily, R.f.O.R.a.; Abu-Shihab, E.N.; Abualtaieb, M.H.I.; Alharahsha, Q.A.; Abu Aloyoun, A.a.K.; Altarawneh, O.D.; Alyasen, Q.B.M. The kinematic analysis of the straight punch in two ways for amateur boxing players in Jordan. Sport TK-Rev. EuroAmericana Cienc. Deporte 2024, 13, 1–11. [Google Scholar]
- Bianco, M.; Vaiano, A.S.; Colella, F.; Coccimiglio, F.; Moscetti, M.; Palmieri, V.; Focosi, F.; Zeppilli, P.; Vinger, P.F. Ocular complications of boxing. Br. J. Sports Med. 2005, 39, 70–74, discussion 70–74. [Google Scholar] [CrossRef] [PubMed]
- Bartsch, A.J.; Benzel, E.C.; Miele, V.J.; Morr, D.R.; Prakash, V. Boxing and mixed martial arts: Preliminary traumatic neuromechanical injury risk analyses from laboratory impact dosage data. J. Neurosurg. 2012, 116, 1070–1080. [Google Scholar] [CrossRef] [PubMed]
- Xu, Q.; Mao, R.; Xi, C. A comparative analysis of punching in boxing and sanda: Kinematic differences based on the cross and uppercut. Front. Sports Act. Living 2024, 6, 1441470. [Google Scholar] [CrossRef]
- Liu, Y.; Li, L.; Yan, X.; He, X.; Zhao, B. Biomechanics of the lead straight punch and related indexes between sanda fighters and boxers from the perspective of cross-border talent transfer. Front. Physiol. 2022, 13, 1099682. [Google Scholar] [CrossRef]
- Liu, Y.; Zhu, Z.; Chen, X.; Deng, C.; Ma, X.; Zhao, B. Biomechanics of the lead straight punch of different level boxers. Front. Physiol. 2022, 13, 1015154. [Google Scholar] [CrossRef]
- Nakano, G.; Iino, Y.; Imura, A.; Kojima, T. Transfer of momentum from different arm segments to a light movable target during a straight punch thrown by expert boxers. J. Sports Sci. 2014, 32, 517–523. [Google Scholar] [CrossRef]
- Jodra, P.; Lago-Rodriguez, A.; Sanchez-Oliver, A.J.; Lopez-Samanes, A.; Perez-Lopez, A.; Veiga-Herreros, P.; San Juan, A.F.; Dominguez, R. Effects of caffeine supplementation on physical performance and mood dimensions in elite and trained-recreational athletes. J. Int. Soc. Sports Nutr. 2020, 17, 2. [Google Scholar] [CrossRef]
- Liu, C.; Zhao, H.; Yan, Y.; Yang, W.; Chen, S.; Song, G.; Li, X.; Gu, Y.; Yun, H.; Li, Y. Synergistic Effect of Rhodiola rosea and Caffeine Supplementation on the Improvement of Muscle Strength and Muscular Endurance: A Pilot Study for Rats, Resistance Exercise-Untrained and -Trained Volunteers. Nutrients 2023, 15, 582. [Google Scholar] [CrossRef] [PubMed]
- Yun, H.; Lu, B.; Su, W.; Wang, J.; Zheng, J.; Wang, J.; Wang, Z.; Li, Y.; Sun, Y.; Liu, C. Combined effects of Rhodiola rosea and caffeine supplementation on aerobic endurance and muscle explosiveness: A synergistic approach. Front. Nutr. 2024, 11, 1335950. [Google Scholar] [CrossRef] [PubMed]
- Wang, Z.; Du, H.; Li, H.; Zhao, K.; Zhao, B.; Ma, Y.; Zhang, J.; Wu, K.; Jiang, W.; Liu, C. Effects of the Combined Supplementation of Caffeine and Rhodiola rosea with Resistance Training on Lower Limb Explosive Power in Male Volleyball Players. Nutrients 2025, 17, 681. [Google Scholar] [CrossRef]
- Lenetsky, S.; Harris, N.; Brughelli, M. Assessment and Contributors of Punching Forces in Combat Sports Athletes: Implications for Strength and Conditioning. Strength Cond. J. 2013, 35, 1–7. [Google Scholar] [CrossRef]
- Ishac, K.; Eager, D. Evaluating Martial Arts Punching Kinematics Using a Vision and Inertial Sensing System. Sensors 2021, 21, 1948. [Google Scholar] [CrossRef]
- Bassini-Cameron, A.; Sweet, E.; Bottino, A.; Bittar, C.; Veiga, C.; Cameron, L.-C. Effect of caffeine supplementation on haematological and biochemical variables in elite soccer players under physical stress conditions. British journal of sports medicine 2007, 41, 523–530. [Google Scholar] [CrossRef]
- Franchini, E.; Cormack, S.; Takito, M.Y. Effects of high-intensity interval training on olympic combat sports athletes’ performance and physiological adaptation: A systematic review. J. Strength Cond. Res. 2019, 33, 242–252. [Google Scholar] [CrossRef]
- Vasconcelos, B.B.; Protzen, G.V.; Galliano, L.M.; Kirk, C.; Del Vecchio, F.B. Effects of High-Intensity Interval Training in Combat Sports: A Systematic Review with Meta-Analysis. J. Strength Cond. Res. 2020, 34, 888–900. [Google Scholar] [CrossRef]
- Huang, S.-C.; Lee, F.-T.; Kuo, T.-Y.; Yang, J.-H.; Chien, C.-T. Attenuation of Long-Term Rhodiola rosea Supplementation on Exhaustive Swimming-Evoked Oxidative Stress in the Rat. Chin. J. Physiol. 2009, 52, 316–324. [Google Scholar] [CrossRef]
- Kim, S.H.; Hyun, S.H.; Choung, S.Y. Antioxidative effects of Cinnamomi cassiae and Rhodiola rosea extracts in liver of diabetic mice. Biofactors 2006, 26, 209–219. [Google Scholar] [CrossRef]
- Pomari, E.; Stefanon, B.; Colitti, M. Effects of Two Different Rhodiola rosea Extracts on Primary Human Visceral Adipocytes. Molecules 2015, 20, 8409–8428. [Google Scholar] [CrossRef]
- Duncan, M.J.; Clarke, N.D. The Effect of Acute Rhodiola rosea Ingestion on Exercise Heart Rate, Substrate Utilisation, Mood State, and Perceptions of Exertion, Arousal, and Pleasure/Displeasure in Active Men. J. Sports Med. (Hindawi Publ. Corp.) 2014, 2014, 563043. [Google Scholar] [CrossRef] [PubMed]
- Noreen, E.E.; Buckley, J.G.; Lewis, S.L.; Brandauer, J.; Stuempfle, K.J. The effects of an acute dose of Rhodiola rosea on endurance exercise performance. J. Strength Cond. Res. 2013, 27, 839–847. [Google Scholar] [CrossRef] [PubMed]
- Tian, X.; Huang, Y.; Zhang, X.; Fang, R.; Feng, Y.; Zhang, W.; Li, L.; Li, T. Salidroside attenuates myocardial ischemia/reperfusion injury via AMPK-induced suppression of endoplasmic reticulum stress and mitochondrial fission. Toxicol. Appl. Pharmacol. 2022, 448, 116093. [Google Scholar] [CrossRef]
- Xing, S.; Yang, X.; Li, W.; Bian, F.; Wu, D.; Chi, J.; Xu, G.; Zhang, Y.; Jin, S. Salidroside Stimulates Mitochondrial Biogenesis and Protects against H2O2-Induced Endothelial Dysfunction. Oxidative Med. Cell. Longev. 2014, 2014, 904834. [Google Scholar] [CrossRef]
- Hu, R.; Wang, M.-q.; Ni, S.-h.; Wang, M.; Liu, L.-y.; You, H.-y.; Wu, X.-h.; Wang, Y.-j.; Lu, L.; Wei, L.-b. Salidroside ameliorates endothelial inflammation and oxidative stress by regulating the AMPK/NF-κB/NLRP3 signaling pathway in AGEs-induced HUVECs. Eur. J. Pharmacol. 2020, 867, 172797. [Google Scholar] [CrossRef]
- Zhang, L.; Yu, H.; Zhao, X.; Lin, X.; Tan, C.; Cao, G.; Wang, Z. Neuroprotective effects of salidroside against beta-amyloid-induced oxidative stress in SH-SY5Y human neuroblastoma cells. Neurochem. Int. 2010, 57, 547–555. [Google Scholar] [CrossRef] [PubMed]
- Hernandez-Santana, A.; Perez-Lopez, V.; Maria Zubeldia, J.; Jimenez-del-Rio, M. A Rhodiola rosea Root Extract Protects Skeletal Muscle Cells Against Chemically Induced Oxidative Stress by Modulating Heat Shock Protein 70 (HSP70) Expression. Phytother. Res. 2014, 28, 623–628. [Google Scholar] [CrossRef]
- Jacob, R.; Nalini, G.; Chidambaranathan, N. Neuroprotective effect of Rhodiola rosea Linn against MPTP induced cognitive impairment and oxidative stress. Ann. Neurosci. 2013, 20, 47–51. [Google Scholar] [CrossRef] [PubMed]
- Jówko, E.; Sadowski, J.; Długołęcka, B.; Gierczuk, D.; Opaszowski, B.; Cieśliński, I. Effects of Rhodiola rosea supplementation on mental performance, physical capacity, and oxidative stress biomarkers in healthy men. J. Sport Health Sci. 2018, 7, 473–480. [Google Scholar] [CrossRef] [PubMed]
- Lu, Y.; Deng, B.; Xu, L.; Liu, H.; Song, Y.; Lin, F. Effects of Rhodiola Rosea Supplementation on Exercise and Sport: A Systematic Review. Front. Nutr. 2022, 9, 856287. [Google Scholar] [CrossRef]
- Martinez, N.; Campbell, B.; Franek, M.; Buchanan, L.; Colquhoun, R. The effect of acute pre-workout supplementation on power and strength performance. J. Int. Soc. Sports Nutr. 2016, 13, 29. [Google Scholar] [CrossRef]
- Lima-Silva, A.E.; Cristina-Souza, G.; Silva-Cavalcante, M.D.; Bertuzzi, R.; Bishop, D.J. Caffeine during High-Intensity Whole-Body Exercise: An Integrative Approach beyond the Central Nervous System. Nutrients 2021, 13, 2503. [Google Scholar] [CrossRef] [PubMed]
- Mielgo-Ayuso, J.; Calleja-Gonzalez, J.; Del Coso, J.; Urdampilleta, A.; Leon-Guereno, P.; Fernandez-Lazaro, D. Caffeine Supplementation and Physical Performance, Muscle Damage and Perception of Fatigue in Soccer Players: A Systematic Review. Nutrients 2019, 11, 440. [Google Scholar] [CrossRef] [PubMed]
- San Juan, A.F.; Lopez-Samanes, A.; Jodra, P.; Valenzuela, P.L.; Rueda, J.; Veiga-Herreros, P.; Perez-Lopez, A.; Dominguez, R. Caffeine Supplementation Improves Anaerobic Performance and Neuromuscular Efficiency and Fatigue in Olympic-Level Boxers. Nutrients 2019, 11, 2120. [Google Scholar] [CrossRef]
- Kuang, A.; Erlund, I.; Herder, C.; Westerhuis, J.A.; Tuomilehto, J.; Cornelis, M.C. Lipidomic Response to Coffee Consumption. Nutrients 2018, 10, 1851. [Google Scholar] [CrossRef]
- Forbes, S.C.; Candow, D.G.; Smith-Ryan, A.E.; Hirsch, K.R.; Roberts, M.D.; VanDusseldorp, T.A.; Stratton, M.T.; Kaviani, M.; Little, J.P. Supplements and Nutritional Interventions to Augment High-Intensity Interval Training Physiological and Performance Adaptations-A Narrative Review. Nutrients 2020, 12, 390. [Google Scholar] [CrossRef]
- Townsend, J.R.; Kirby, T.O.; Sapp, P.A.; Gonzalez, A.M.; Marshall, T.M.; Esposito, R. Nutrient synergy: Definition, evidence, and future directions. Front. Nutr. 2023, 10, 1279925. [Google Scholar] [CrossRef]
- Duncan, M.J.; Tallis, J.; Wilson, S.; Clarke, N.D. The Effect of Caffeine and Rhodiola rosea, Alone or in Combination, on 5-km Running Performance in Men. J. Caffeine Res. 2016, 6, 40–48. [Google Scholar] [CrossRef]
- Shanely, R.A.; Nieman, D.C.; Zwetsloot, K.A.; Knab, A.M.; Imagita, H.; Luo, B.; Davis, B.; Zubeldia, J.M. Evaluation of Rhodiola rosea supplementation on skeletal muscle damage and inflammation in runners following a competitive marathon. Brain Behav. Immun. 2014, 39, 204–210. [Google Scholar] [CrossRef] [PubMed]
- Zhang, S.; Jiang, S.; Deng, N.; Zheng, B.; Li, T.; Liu, R.H. Phytochemical Profiles, Antioxidant Activity and Antiproliferative Mechanism of Rhodiola rosea L. Phenolic Extract. Nutrients 2022, 14, 3602. [Google Scholar] [CrossRef]
- Skarpanska-Stejnborn, A.; Pilaczynska-Szczesniak, L.; Basta, P.; Deskur-Smielecka, E. The Influence of Supplementation with Rhodiola rosea L. Extract on Selected Redox Parameters in Professional Rowers. Int. J. Sport Nutr. Exerc. Metab. 2009, 19, 186–199. [Google Scholar] [CrossRef]
- Liao, Y.-H.; Chao, Y.-C.; Sim, B.Y.-Q.; Lin, H.-M.; Chen, M.-T.; Chen, C.-Y. Rhodiola/Cordyceps-Based Herbal Supplement Promotes Endurance Training-Improved Body Composition But Not Oxidative Stress and Metabolic Biomarkers: A Preliminary Randomized Controlled Study. Nutrients 2019, 11, 2357. [Google Scholar] [CrossRef] [PubMed]
- Sage, J.M.; Cura, A.J.; Lloyd, K.P.; Carruthers, A. Caffeine inhibits glucose transport by binding at the GLUT1 nucleotide-binding site. Am. J. Physiol. Cell Physiol. 2015, 308, C827–C834. [Google Scholar] [CrossRef] [PubMed]
- Spriet, L.L. Exercise and sport performance with low doses of caffeine. Sports Med. 2014, 44 (Suppl. S2), S175–S184. [Google Scholar] [CrossRef]
- Liu, Z.; Li, X.; Simoneau, A.R.; Jafari, M.; Zi, X. Rhodiola rosea extracts and salidroside decrease the growth of bladder cancer cell lines via inhibition of the mTOR pathway and induction of autophagy. Mol. Carcinog. 2012, 51, 257–267. [Google Scholar] [CrossRef] [PubMed]
- Siegler, J.C.; Hirscher, K. Sodium bicarbonate ingestion and boxing performance. J. Strength Cond. Res. 2010, 24, 103–108. [Google Scholar] [CrossRef] [PubMed]
- Davis, P.; Connorton, A.J.; Driver, S.; Anderson, S.; Waldock, R. The activity profile of elite male amateur boxing after the 2013 rule changes. J. Strength Cond. Res. 2018, 32, 3441–3446. [Google Scholar] [CrossRef]









| Training Status | Type of Punch | Group | Punching Force (lbs) | Punching Speed (mph) | Peak Force of Front Leg (N/kg) | Peak Force Time of Front Leg (ms) | Peak Force of Rear Leg (N/kg) | Peak Force Time of Rear Leg (ms) | Number of Punches | kW |
|---|---|---|---|---|---|---|---|---|---|---|
| Untrained Volunteers | Lead Straight Punch | CTR | 161.06 ± 6.41 | 14.14 ± 0.564 | 6.32 ± 0.252 | 0.390 ± 0.0156 | 4.18 ± 0.167 | 0.366 ± 0.0145 | - | - |
| CAF | 162.43 ± 6.50 | 14.16 ± 0.565 | 6.34 ± 0.253 | 0.386 ± 0.0152 | 4.24 ± 0.170 | 0.362 ± 0.0144 | - | - | ||
| RHO | 157.45 ± 6.30 | 14.12 ± 0.561 | 6.27 ± 0.249 | 0.393 ± 0.0157 | 4.14 ± 0.165 | 0.371 ± 0.0146 | - | - | ||
| CAF+RHO | 159.28 ± 6.36 | 14.14 ± 0.563 | 6.29 ± 0.251 | 0.391 ± 0.0155 | 4.16 ± 0.166 | 0.370 ± 0.0148 | - | - | ||
| Rear Straight Punch | CTR | 183.07 ± 7.33 | 13.19 ± 0.526 | 7.55 ± 0.302 | 0.383 ± 0.0153 | 4.27 ± 0.170 | 0.350 ± 0.0140 | - | - | |
| CAF | 185.46 ± 7.41 | 13.22 ± 0.529 | 7.61 ± 0.304 | 0.378 ± 0.0150 | 4.35 ± 0.174 | 0.347 ± 0.0138 | - | - | ||
| RHO | 182.56 ± 7.30 | 13.18 ± 0.525 | 7.42 ± 0.297 | 0.387 ± 0.0154 | 4.16 ± 0.15 | 0.354 ± 0.0142 | - | - | ||
| CAF+RHO | 184.62 ± 7.37 | 13.19 ± 0.528 | 7.53 ± 0.301 | 0.384 ± 0.0151 | 4.22 ± 0.167 | 0.352 ± 0.0139 | - | - | ||
| 30 s Continuous Punching Test | CTR | - | - | - | - | - | - | 57.61 ± 2.29 | 1590.72 ± 63.58 | |
| CAF | - | - | - | - | - | - | 56.34 ± 2.24 | 1611.92 ± 64.46 | ||
| RHO | - | - | - | - | - | - | 56.93 ± 2.27 | 1567.23 ± 62.78 | ||
| CAF+RHO | - | - | - | - | - | - | 56.43 ± 2.25 | 1530.21 ± 61.18 | ||
| Trained Volunteers | Lead Straight Punch | CTR | 557.18 ± 22.26 | 19.71 ± 0.780 | 9.65 ± 0.37 | 0.145 ± 0.0058 | 12.22 ± 0.48 | 0.125 ± 0.0050 | - | - |
| CAF | 563.69 ± 22.62 | 20.34 ± 0.809 | 9.76 ± 0.39 | 0.140 ± 0.0055 | 12.31 ± 0.49 | 0.121 ± 0.0048 | - | - | ||
| RHO | 575.54 ± 23.41 | 19.84 ± 0.789 | 9.88 ± 0.39 | 0.143 ± 0.0057 | 12.64 ± 0.50 | 0.124 ± 0.0049 | ||||
| CAF+RHO | 582.17 ± 24.07 | 20.53 ± 0.820 | 10.10 ± 0.40 | 0.138 ± 0.0055 | 12.78 ± 0.51 | 0.119 ± 0.0047 | ||||
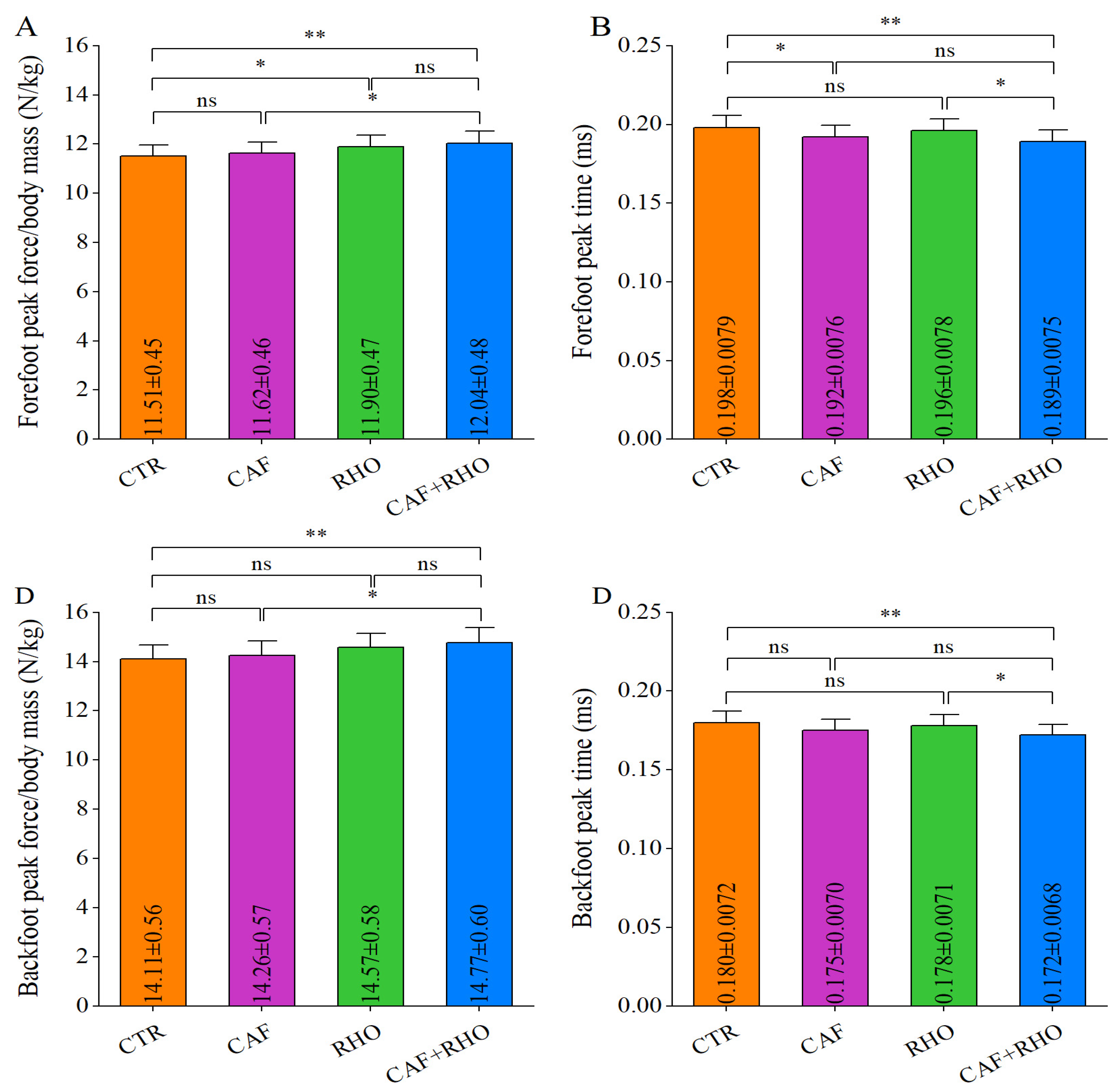
| Rear Straight Punch | CTR | 641.86 ± 25.71 | 18.49 ± 0.740 | 11.51 + 0.45 | 0.198 + 0.0079 | 14.11 ± 0.56 | 0.180 + 0.0072 | - | - | |
| CAF | 650.29 ± 26.02 | 19.10 ± 0.764 | 11.62 + 0.46 | 0.192 + 0.0076 | 14.26 ± 0.57 | 0.175 + 0.0070 | ||||
| RHO | 664.07 ± 26.78 | 18.65 ± 0.746 | 11.90 + 0.47 | 0.196 + 0.0078 | 14.57 ± 0.58 | 0.178 + 0.0071 | - | - | ||
| CAF+RHO | 672.25 ± 26.99 | 19.32 ± 0.772 | 12.04 + 0.48 | 0.189 ± 0.0075 | 14.77 ± 0.60 | 0.172 + 0.0068 | ||||
| 30 s Continuous Punching Test | CTR | - | - | - | - | - | - | 82.09 ± 3.37 | 2503.15 ± 101.64 | |
| CAF | 85.17 ± 3.41 | 2535.69 ± 101.42 | ||||||||
| RHO | - | - | - | - | - | - | 83.04 ± 3.32 | 2590.75 ± 103.43 | ||
| CAF+RHO | 86.08 ± 3.44 | 2623.30 ± 104.93 |
Disclaimer/Publisher’s Note: The statements, opinions and data contained in all publications are solely those of the individual author(s) and contributor(s) and not of MDPI and/or the editor(s). MDPI and/or the editor(s) disclaim responsibility for any injury to people or property resulting from any ideas, methods, instructions or products referred to in the content. |
© 2025 by the authors. Licensee MDPI, Basel, Switzerland. This article is an open access article distributed under the terms and conditions of the Creative Commons Attribution (CC BY) license (https://creativecommons.org/licenses/by/4.0/).
Share and Cite
Tao, B.; Sun, H.; Li, H.; Xu, Z.; Xu, Y.; Chen, L.; Ma, C.; Zhang, X.; Yu, L.; Bao, S.; et al. Combined Effects of Rhodiola Rosea and Caffeine Supplementation on Straight Punch Explosive Power in Untrained and Trained Boxing Volunteers: A Synergistic Approach. Metabolites 2025, 15, 262. https://doi.org/10.3390/metabo15040262
Tao B, Sun H, Li H, Xu Z, Xu Y, Chen L, Ma C, Zhang X, Yu L, Bao S, et al. Combined Effects of Rhodiola Rosea and Caffeine Supplementation on Straight Punch Explosive Power in Untrained and Trained Boxing Volunteers: A Synergistic Approach. Metabolites. 2025; 15(4):262. https://doi.org/10.3390/metabo15040262
Chicago/Turabian StyleTao, Biaoxu, Hao Sun, Huixin Li, Zhiqin Xu, Yuan Xu, Liqi Chen, Chengzhe Ma, Xiaoyu Zhang, Longqi Yu, Shanjun Bao, and et al. 2025. "Combined Effects of Rhodiola Rosea and Caffeine Supplementation on Straight Punch Explosive Power in Untrained and Trained Boxing Volunteers: A Synergistic Approach" Metabolites 15, no. 4: 262. https://doi.org/10.3390/metabo15040262
APA StyleTao, B., Sun, H., Li, H., Xu, Z., Xu, Y., Chen, L., Ma, C., Zhang, X., Yu, L., Bao, S., & Liu, C. (2025). Combined Effects of Rhodiola Rosea and Caffeine Supplementation on Straight Punch Explosive Power in Untrained and Trained Boxing Volunteers: A Synergistic Approach. Metabolites, 15(4), 262. https://doi.org/10.3390/metabo15040262

