Dynamics of Serum Inflammatory Markers and Adipokines in Patients: Implications for Monitoring Abnormal Body Weight: Preliminary Research
Abstract
1. Introduction
2. Materials and Methods
2.1. Data Collection
2.2. Sample Collection and Laboratory Analyses
2.3. Statistical Analysis
3. Results
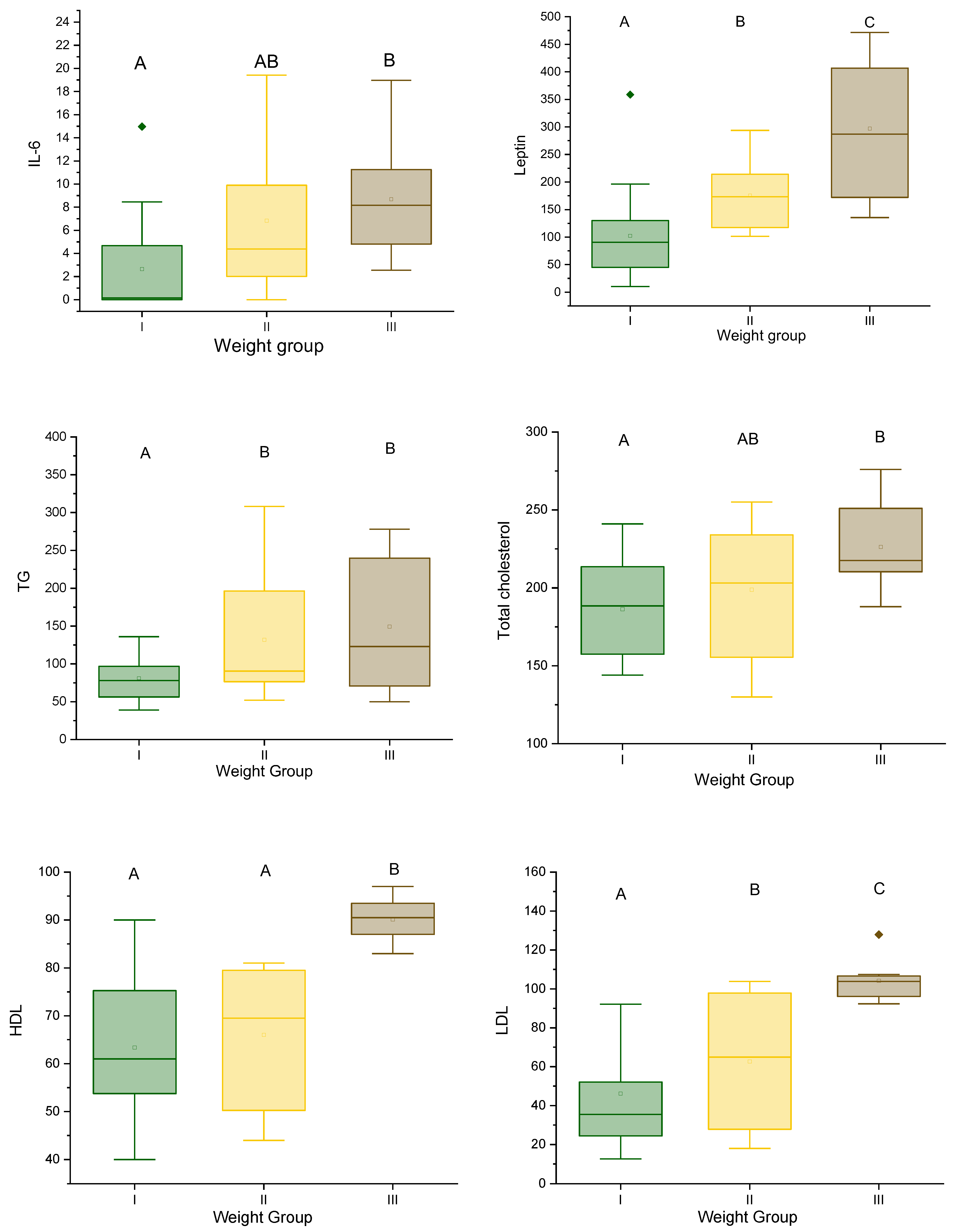
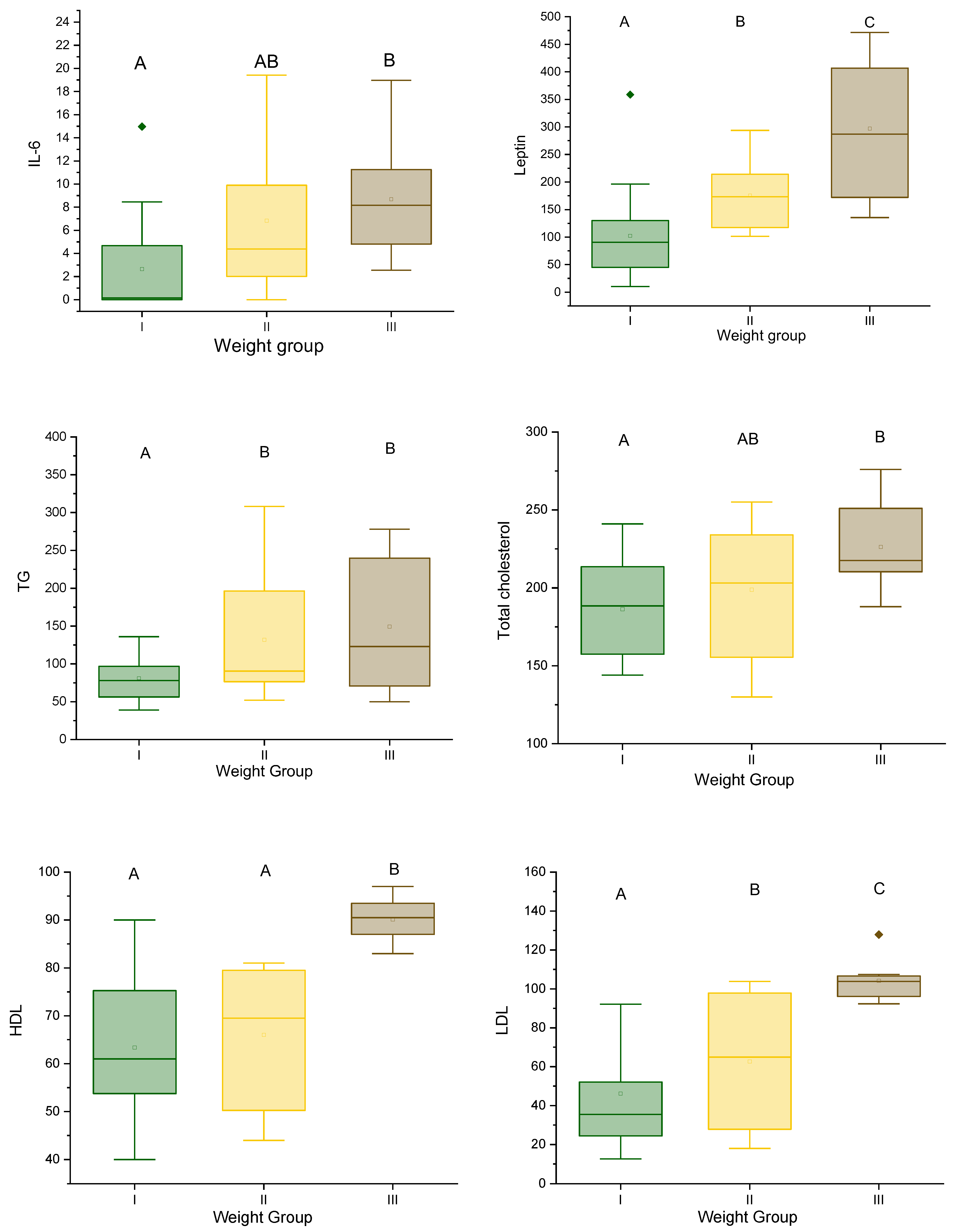
3.1. Characteristics of All Patients Enrolled in the Study Divided According to BMI
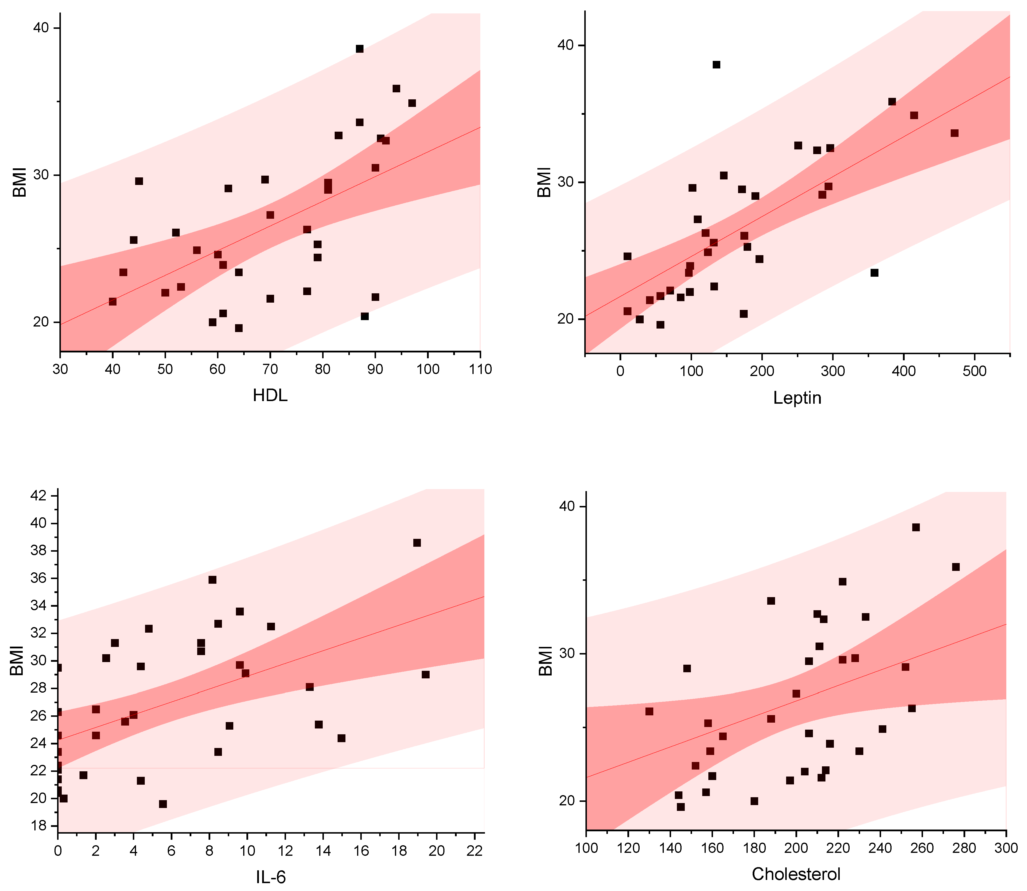
3.2. The Correlations between the IL-6, ZAG, Nesfatin-1, Leptin, Adiponectin, HDL-C, LDL-C, TG and HsCRP levels and BMI in Patients with Different BMIs (Normal, Overweight, Obese)
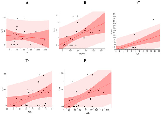
3.3. The Correlations between the Concentration of IL-6 and Concentration of ZAG, Leptin, Total Cholesterol, HDL-C, LDL-C, TG, and hsCRP for Patients with Normal Body Mass, with Overweight, and with Obesity (All Patients without Division into Groups)
3.4. The Correlations between the Concentration of ZAG and the Concentration of HDL-C and LDL-C for Patients with Normal Body Mass, Overweight, and Obesity (All Patients without Division into Groups)
4. Discussion
5. Conclusions
Author Contributions
Funding
Institutional Review Board Statement
Informed Consent Statement
Data Availability Statement
Conflicts of Interest
References
- World Health Organization. Regional Office for Europe, WHO European Regional Obesity: Report 2022; World Health Organization: Geneva, Switzerland, 2022. [Google Scholar]
- Tzotzas, T.; Evangelou, P.; Kiortsis, D.N. Obesity, weight loss and conditional cardiovascular risk factors. Obes. Rev. 2011, 12, e282–e289. [Google Scholar] [CrossRef]
- Tuomisto, K.; Jousilahti, P.; Havulinna, A.; Borodulin, K.; Männistö, S.; Salomaa, V. Role of inflammation markers in the prediction of weight gain and development of obesity in adults—A prospective study. Metab. Open 2019, 3, 100016. [Google Scholar] [CrossRef] [PubMed]
- Monteiro, R.; Azevedo, I. Chronic Inflammation in Obesity and the Metabolic Syndrome. Mediat. Inflamm. 2010, 2010, 289645. [Google Scholar] [CrossRef] [PubMed]
- Kłosiewicz-Latoszek, L.; Cybulska, B.; Higieny, Z.M.Z. Cukier a Ryzyko Otyłości, Cukrzycy I Chorób Sercowo-Naczyniowych Sugar and Health Hazard of Obesity, Diabetes Mellitus and Cardiovascular Diseases. 2011. Available online: www.phie.pl (accessed on 15 March 2024).
- Würfel, M.; Blüher, M.; Stumvoll, M.; Ebert, T.; Kovacs, P.; Tönjes, A.; Breitfeld, J. Adipokines as Clinically Relevant Therapeutic Targets in Obesity. Biomedicines 2023, 11, 1427. [Google Scholar] [CrossRef] [PubMed]
- El-Mikkawy, D.M.E.; El-Sadek, M.A.; El-Badawy, M.A.; Samaha, D. Circulating level of interleukin-6 in relation to body mass indices and lipid profile in Egyptian adults with overweight and obesity. Egypt. Rheumatol. Rehabil. 2020, 47, 7. [Google Scholar] [CrossRef]
- Ellulu, M.S.; Patimah, I.; KhazáAi, H.; Rahmat, A.; Abed, Y. Obesity and inflammation: The linking mechanism and the complications. Arch. Med. Sci. 2017, 13, 851–863. [Google Scholar] [CrossRef] [PubMed]
- Tam, C.S.; Clément, K.; Baur, L.A.; Tordjman, J. Obesity and low-grade inflammation: A paediatric perspective. Obes. Rev. 2010, 11, 118–126. [Google Scholar] [CrossRef]
- Wasim, M. Role of Leptin in Obesity. J. Obes. Weight. Loss Ther. 2015, 5, 2. [Google Scholar] [CrossRef]
- Obradovic, M.; Sudar-Milovanovic, E.; Soskic, S.; Essack, M.; Arya, S.; Stewart, A.J.; Gojobori, T.; Isenovic, E.R. Leptin and obesity: Role and clinical implication. Front. Endocrinol. 2021, 12, 585887. [Google Scholar] [CrossRef]
- Tekin, T.; Cicek, B.; Konyaligil, N. Regulatory Peptide Nesfatin-1 and its Relationship with Metabolic Syndrome. Eurasian J. Med. 2019, 51, 280–284. [Google Scholar] [CrossRef]
- Masuo, K. Nesfatin-1 could be a strong candidate obesity or diabetes medication, if blood pressure elevation can be controlled. Hypertens. Res. 2014, 37, 98–99. [Google Scholar] [CrossRef]
- Ayada, C.; Toru, Ü.; Korkut, Y. Nesfatin-1 and its effects on different systems. Hippokratia 2015, 19, 4–10. Available online: https://pubmed.ncbi.nlm.nih.gov/26435639/ (accessed on 14 September 2023). [PubMed]
- Liu, M.; Zhu, H.; Dai, Y.; Pan, H.; Li, N.; Wang, L.; Yang, H.; Yan, K.; Gong, F. Zinc-α2-Glycoprotein Is Associated with Obesity in Chinese People and HFD-Induced Obese Mice. Front. Physiol. 2018, 9, 62. [Google Scholar] [CrossRef] [PubMed]
- Woźny, A.; Pietrzak, M.M.; Jaszczura, M.; Ziora, K.; Grzeszczak, W. The new adipokine zinc-a2-glycoprotein (ZAG) as a link between adipose tissue and kidney? Endokrynol. Pol. 2019, 70, 179–189. [Google Scholar] [CrossRef] [PubMed]
- Mracek, T.; Ding, Q.; Tzanavari, T.; Kos, K.; Pinkney, J.; Wilding, J.; Trayhurn, P.; Bing, C. The adipokine zinc-α2-glycoprotein (ZAG) is downregulated with fat mass expansion in obesity. Clin. Endocrinol. 2010, 72, 334–341. [Google Scholar] [CrossRef] [PubMed]
- Severo, J.S.; Morais, J.B.S.; Beserra, J.B.; dos Santos, L.R.; de Sousa Melo, S.R.; de Sousa, G.S.; de Matos Neto, E.M.; Henriques, G.S.; do Nascimento Marreiro, D. Role of Zinc in Zinc-α2-Glycoprotein Metabolism in Obesity: A Review of Literature. Biol. Trace Elem. Res. 2020, 193, 81–88. [Google Scholar] [CrossRef] [PubMed]
- Nigro, E.; Scudiero, O.; Monaco, M.L.; Palmieri, A.; Mazzarella, G.; Costagliola, C.; Bianco, A.; Daniele, A. New Insight into Adiponectin Role in Obesity and Obesity-Related Diseases. BioMed. Res. Int. 2014, 2014, 658913. [Google Scholar] [CrossRef]
- Antoniak-Pietrynczak, K.; Zorena, K.; Jaskulak, M.; Hansdorfer-Korzon, R.; Koziński, M. Effect of Manual Lymphatic Drainage on the Concentrations of Selected Adipokines, Cytokines, C-Reactive Protein and Parameters of Carbohydrate and Lipid Metabolism in Patients with Abnormal Body Mass Index: Focus on Markers of Obesity and Insulin Resistance. Int. J. Mol. Sci. 2023, 24, 10338. [Google Scholar] [CrossRef] [PubMed]
- Antoniak, K.; Zorena, K.; Hansdorfer-Korzon, R.; Wojtowicz, D.; Koziński, M. Favourable Changes in C-Peptide, C-Reactive Protein and Lipid Profile, and Improved Quality of Life in Patients with Abnormal Body Mass Index after the Use of Manual Lymphatic Drainage: A Case Series with Three-Month Follow-Up. Medicina 2022, 58, 273. [Google Scholar] [CrossRef]
- Antoniak, K.; Zorena, K.; Jaskulak, M.; Hansdorfer-Korzon, R.; Mrugacz, M.; Koziński, M. Significant Decrease in Glycated Hemoglobin, 2h-Post-Load Glucose and High-Sensitivity C-Reactive Protein Levels in Patients with Abnormal Body Mass Index after Therapy with Manual Lymphatic Drainage. Biomedicines 2022, 10, 1730. [Google Scholar] [CrossRef]
- Guidelines on the Management of Patients with Diabetes A Position of Diabetes Poland. 2021. Available online: https://journals.viamedica.pl/clinical_diabetology/about/editorialPolicies#custom-5 (accessed on 15 March 2024).
- WHO Consultation on Obesity (1999: Geneva, Switzerland) & World Health Organization. (2000). Obesity: Preventing and Managing the Global Epidemic: Report of a WHO Consultation. World Health Organization. Available online: https://iris.who.int/handle/10665/42330 (accessed on 15 March 2024).
- Lanktree, M.B.; Hegele, R.A. Metabolic Syndrome. In Genomic and Precision Medicine: Cardiovascular Disease, 3rd ed.; Elsevier Inc.: Amsterdam, The Netherlands, 2018; pp. 47–63. [Google Scholar] [CrossRef]
- Morse, K.W.; Astbury, N.M.; Walczyszyn, A.; Hashim, S.A.; Geliebter, A. Changes in zinc-α2-glycoprotein (ZAG) plasma concentrations pre and post Roux-En-Y gastric bypass surgery (RYGB) or a very low calorie (VLCD) diet in clinically severe obese patients: Preliminary Study. Integr. Obes. Diabetes 2017, 3. [Google Scholar] [CrossRef] [PubMed][Green Version]
- Achari, A.E.; Jain, S.K. Adiponectin, a Therapeutic Target for Obesity, Diabetes, and Endothelial Dysfunction. Int. J. Mol. Sci. 2017, 18, 1321. [Google Scholar] [CrossRef] [PubMed]
- Gariballa, S.; Alkaabi, J.; Yasin, J.; Al Essa, A. Total adiponectin in overweight and obese subjects and its response to visceral fat loss. BMC Endocr. Disord. 2019, 19, 55. [Google Scholar] [CrossRef] [PubMed]
- Ogawa, Y.; Kikuchi, T.; Nagasaki, K.; Hiura, M.; Tanaka, Y.; Uchiyama, M. Usefulness of Serum Adiponectin Level as a Diagnostic Marker of Metabolic Syndrome in Obese Japanese Children. Hypertens. Res. 2005, 28, 51–57. [Google Scholar] [CrossRef][Green Version]
- Redondo, M.J.; Siller, A.F.; Gu, X.; Tosur, M.; Bondy, M.; Devaraj, S.; Sisley, S. Sex differences in circulating leptin as a marker of adiposity in obese or overweight adolescents with type 1 diabetes. BMJ Open Diabetes Res. Care 2020, 8, e001683. [Google Scholar] [CrossRef] [PubMed]
- Tanaka, T.; Narazaki, M.; Kishimoto, T. IL-6 in Inflammation, Immunity, and Disease. Cold Spring Harb. Perspect. Biol. 2014, 6, a016295. [Google Scholar] [CrossRef] [PubMed]
- Sindhu, S.; Thomas, R.; Shihab, P.; Sriraman, D.; Behbehani, K.; Ahmad, R. Obesity Is a Positive Modulator of IL-6R and IL-6 Expression in the Subcutaneous Adipose Tissue: Significance for Metabolic Inflammation. PLoS ONE 2015, 10, e0133494. [Google Scholar] [CrossRef] [PubMed]
- El-Byoumy, I. Interleukin 6 as inflammatory marker and insulin resistance in obese Kuwaiti adolescents. Integr. Obes. Diabetes 2017, 3. [Google Scholar] [CrossRef]
- Roytblat, L.; Rachinsky, M.; Fisher, A.; Greemberg, L.; Shapira, Y.; Douvdevani, A.; Gelman, S. Raised Interleukin-6 Levels in Obese Patients. Obes. Res. 2000, 8, 673–675. [Google Scholar] [CrossRef]
- You, T.; Ryan, A.S.; Nicklas, B.J. The Metabolic Syndrome in Obese Postmenopausal Women: Relationship to Body Composition, Visceral Fat, and Inflammation. J. Clin. Endocrinol. Metab. 2004, 89, 5517–5522. [Google Scholar] [CrossRef]
- Saijo, Y.; Kiyota, N.; Kawasaki, Y.; Miyazaki, Y.; Kashimura, J.; Fukuda, M.; Kishi, R. Relationship between C-reactive protein and visceral adipose tissue in healthy Japanese subjects. Diabetes Obes. Metab. 2004, 6, 249–258. [Google Scholar] [CrossRef] [PubMed]
- Faam, B.; Zarkesh, M.; Daneshpour, M.S.; Azizi, F.; Hedayati, M. The association between inflammatory markers and obesity-related factors in Tehranian adults: Tehran lipid and glucose study. Iran. J. Basic Med. Sci. 2014, 17, 577–582. [Google Scholar] [PubMed]
- Rohm, T.V.; Meier, D.T.; Olefsky, J.M.; Donath, M.Y. Inflammation in obesity, diabetes, and related disorders. Immunity 2022, 55, 31–55. [Google Scholar] [CrossRef] [PubMed]





| BMI | 18.5–24.99 | 25–29.99 | ≥30 | p |
|---|---|---|---|---|
| Age (years) | 28 ± 4 | 27 ± 5 | 28 ± 5 | 0.729 |
| IL-6 (pg/mL) | ± 4.41 | ± 6.02 | 8.70 ± 3.01 | 0.002 * |
| ZAG (pg/mL) | 91.46 | 80.20 | 675.21 ± 380.65 | 0.232 |
| Nesfatin-1 (pg/mL) | .76 | 3.37 | 0.00 ± 0.00 | 0.378 |
| Leptin (ng/mL) | ± 86.79 | ± 67.58 | 296.95 ± 121.47 | 0.0001 * |
| Adiponectin (μg/mL) | 9.69 | 1.08 | 39.68 ± 26.22 | 0.469 |
| hsCRP (mg/L) | .32 | .95 | 2.50 ± 2.66 | 0.111 |
| Total cholesterol (mg/dL) | 186.37 ± 32.13 | 198.70 ± 42.85 | 226.25 ± 28.33 | 0.042 * |
| TG (mg/dL) | 81.06 ± 28.37 | 131.8 ± 84.52 | 149.37 ± 86.11 | 0.036 * |
| HDL-C (mg/dL) | 63.37 ± 14.55 | 66.20 ± 14.53 | 90.12 ± 4.42 | 0.012 * |
| LDL-C (mg/dL) | 46.18 ± 33.66 | 62.70 ± 34.84 | 104.11 ± 10.89 | 0.005 * |
Disclaimer/Publisher’s Note: The statements, opinions and data contained in all publications are solely those of the individual author(s) and contributor(s) and not of MDPI and/or the editor(s). MDPI and/or the editor(s) disclaim responsibility for any injury to people or property resulting from any ideas, methods, instructions or products referred to in the content. |
© 2024 by the authors. Licensee MDPI, Basel, Switzerland. This article is an open access article distributed under the terms and conditions of the Creative Commons Attribution (CC BY) license (https://creativecommons.org/licenses/by/4.0/).
Share and Cite
Zimowska, M.; Rolbiecka, M.; Antoniak-Pietrynczak, K.; Jaskulak, M.; Zorena, K. Dynamics of Serum Inflammatory Markers and Adipokines in Patients: Implications for Monitoring Abnormal Body Weight: Preliminary Research. Metabolites 2024, 14, 260. https://doi.org/10.3390/metabo14050260
Zimowska M, Rolbiecka M, Antoniak-Pietrynczak K, Jaskulak M, Zorena K. Dynamics of Serum Inflammatory Markers and Adipokines in Patients: Implications for Monitoring Abnormal Body Weight: Preliminary Research. Metabolites. 2024; 14(5):260. https://doi.org/10.3390/metabo14050260
Chicago/Turabian StyleZimowska, Malwina, Marta Rolbiecka, Klaudia Antoniak-Pietrynczak, Marta Jaskulak, and Katarzyna Zorena. 2024. "Dynamics of Serum Inflammatory Markers and Adipokines in Patients: Implications for Monitoring Abnormal Body Weight: Preliminary Research" Metabolites 14, no. 5: 260. https://doi.org/10.3390/metabo14050260
APA StyleZimowska, M., Rolbiecka, M., Antoniak-Pietrynczak, K., Jaskulak, M., & Zorena, K. (2024). Dynamics of Serum Inflammatory Markers and Adipokines in Patients: Implications for Monitoring Abnormal Body Weight: Preliminary Research. Metabolites, 14(5), 260. https://doi.org/10.3390/metabo14050260

