Effects of Pollen Germination and Pollen Tube Growth under Different Temperature Stresses in Mango (Mangifera indica L.) by Metabolome
Abstract
1. Introduction
2. Materials and Methods
2.1. Pollen Collection
2.2. Pollen Germination and Pollen Tube Length in Vitro
- (1)
- Mango pollen culture medium preparation: 150 mg boric acid, 6.0 mg calcium sulfate, 100 mg magnesium sulfate, 100 mg potassium nitrate and 250 g polyethylene glycol were mixed, and they were dissolved to 1 L, then the mixture was heated and boiled to fully dissolve, and they were stored at room temperature after cooling.
- (2)
- Pollen collection and pretreatment: the prepared culture medium was packed into 500 ul centrifuge tubes, then 12–15 anthers were randomly taken from each centrifuge tube, and then were shook sufficiently to make the pollen on the anther adhere to the culture medium.
- (3)
- Pollen culture in vitro at different temperatures: the centrifuge tubes were stored in incubators with a relative humidity of 60% (Lvbo, Model RTOP-500Y, Hangzhou, China) at 15 °C, 25 °C and 35 °C for 3 h temperature stress, respectively, and three replicates for each treatment.
- (4)
- Determination of pollen germination rate under different temperature conditions: a clean concave slide was taken and 1–2 drops of evenly mixed culture solution was put into the concave for observation. Each treatment was repeated three times, five visual fields were randomly selected for each repetition, and a total of 200~500 pollen grains were observed. The pollen germination standard was that the pollen tube length exceeded the pollen grain diameter. The number of germinated pollen and the total number of pollen at different temperature gradients were observed, and the germination rate was counted.
2.3. Metabolite Extracton
2.3.1. Sample Preparation and Extraction
2.3.2. UPLC Conditions
2.3.3. ESI-Q TRAP-MS/MS
2.4. Metablolic Profiling
2.4.1. PCA Analysis
2.4.2. Hierarchical Cluster Analysis and Pearson Correlation Coefficients
2.4.3. Differential Metabolites Selected
2.4.4. KEGG Annotation and Enrichment Analysis
3. Results
3.1. Changes in the Pollen Germination Rate under Different Temperature Stress
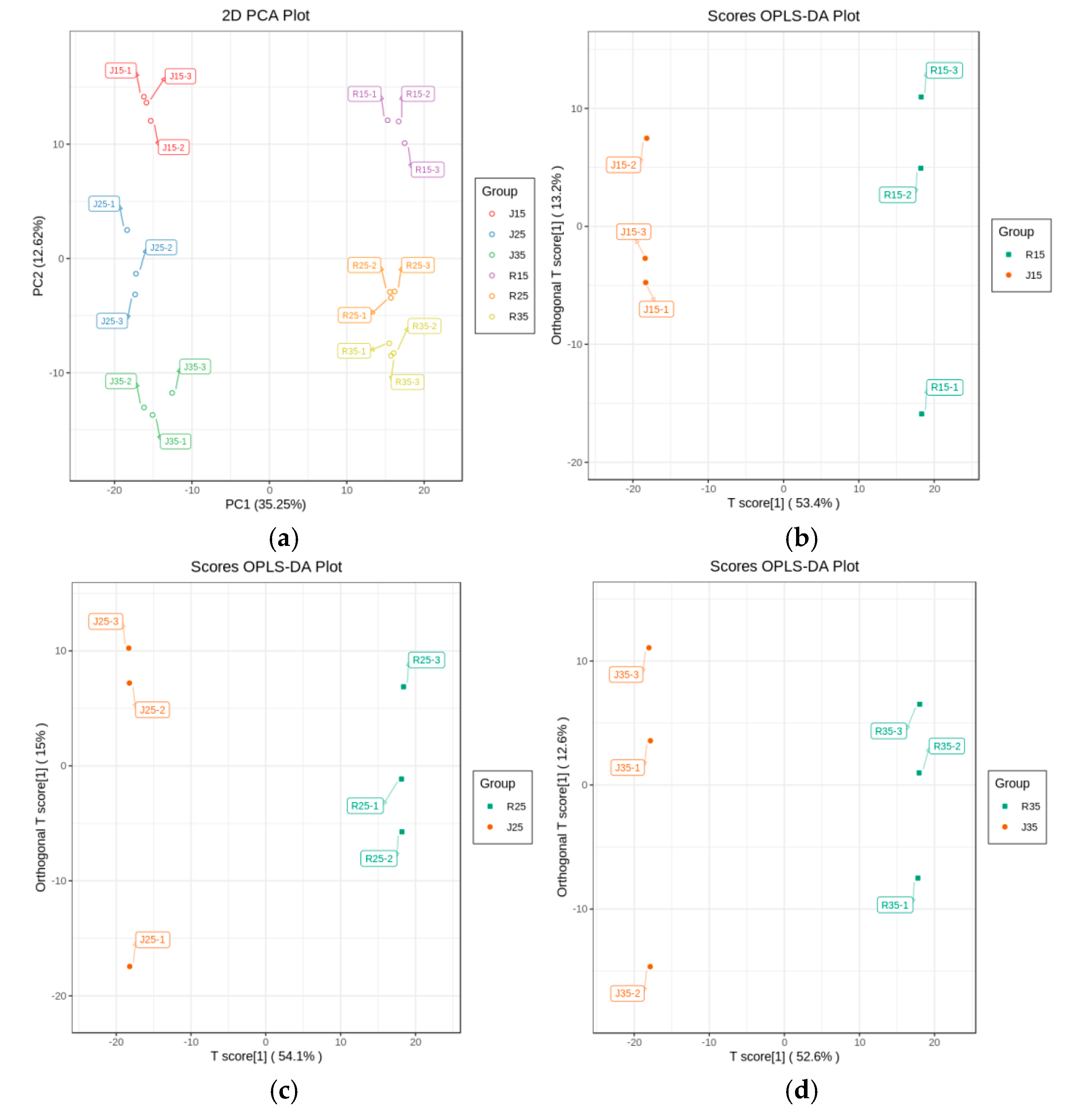
3.2. Metabolites Variations in ‘Renong No.1’ and ‘Jinhuang’ under Different Temperature Stress
3.3. Metabolites of Mango Pollen under Different Temperature Stress
3.4. Metabolites Expression and Changes under Different Temperature Stresses
3.5. Changes of Metabolites under Temperature Stress
3.6. Enrichment of Differential Metabolic Pathways
4. Discussion
5. Conclusions
Supplementary Materials
Author Contributions
Funding
Institutional Review Board Statement
Informed Consent Statement
Data Availability Statement
Conflicts of Interest
References
- Wang, P.; Luo, H.Y.; Gao, S.H.; Zhu, G.P.; Dang, Z.G.; Gai, J.T.; Yang, M.; Zhu, M.; Zhang, H.K.; Ye, X.X.; et al. The genome evolution and domestication of tropical fruit mango. Genome Biol. 2020, 21, 60. [Google Scholar] [CrossRef] [PubMed]
- Lora, J.; Hormaza, J.I. Pollen wall development in mango (Mangifera indica L., Anacardiaceae). Plant Reprod. 2018, 31, 385–397. [Google Scholar] [CrossRef] [PubMed]
- Lal, S.; Singh, A.K.; Singh, S.K.; Srivastav, M.; Singh, B.P.; Sharma, N.; Singh, N.K. Association analysis for pomological traits in mango (Mangifera indica L.) by genic-SSR markers. Trees 2017, 31, 1391–1409. [Google Scholar] [CrossRef]
- Niu, Y.; Gao, C.; Liu, J. Comparative analysis of the complete plastid genomes of Mangifera species and gene transfer between plastid and mitochondrial genomes. Peer J. 2021, 9, e10774. [Google Scholar] [CrossRef]
- Ding, L.; Zhang, Y. China’s Mango Industry Development Situation and Countermeasures. Yunnan Agric. Univ. 2021, 15, 65–69, (In Chinese with English abstract). [Google Scholar]
- Tiyayon, C.; Paull, R.E. Mango Production. In Handbook of Mango Fruit: Production, Postharvest Science, Processing Technology and Nutrition; Siddiq, M., Brecht, J.K., Sidhu, J.S., Eds.; John Wiley & Sons Ltd.: Oxford, UK, 2017; pp. 17–35. [Google Scholar]
- Zhou, L.; He, X.H.; Yu, H.X.; Chen, M.Y.; Fan, Y.; Zhang, X.J.; Fang, Z.B.; Luo, C. Evaluation of the genetic diversity of mango (Mangifera indica L.) seedling germplasm resources and their potential parents with start codon targeted (SCoT) markers. Genet. Resour. Crop Evol. 2020, 67, 41–58. [Google Scholar] [CrossRef]
- Liang, Q.; Song, K.; Lu, M.; Dai, T.; Yang, J.; Wan, J.; Li, L.; Chen, J.; Zhan, R.; Wang, S. Transcriptome and Metabolome Analyses Reveal the Involvement of Multiple Pathways in Flowering Intensity in Mango. Plant Sci. 2022, 13, 933923. [Google Scholar] [CrossRef] [PubMed]
- Yang, H.; Liu, C.; Wang, Z.; Hu, X.; Wang, T. Advances in the regulatory mechanisms of pollen response to heat stress in crops. Chin. Bull. Bot. 2019, 54, 157. [Google Scholar]
- Lutz, U.; Pose, D.; Pfeifer, M.; Gundlach, H.; Hagmann, J.; Wang, C.; Weigel, D.; Mayer, K.F.; Schmid, M.; Schwechheimer, C. Modulation of ambient temperature-dependent flowering in Arabidopsis thaliana by natural variation of Flowering locus M. PLoS Genet. 2015, 11, e1005588. [Google Scholar] [CrossRef]
- Rosenblatt, A.E.; Schmitz, O.J. Interactive effects of multiple climate change variables on trophic interactions: A meta-analysis. Clim. Change Responses 2014, 1, 8. [Google Scholar] [CrossRef]
- Çetinbaş-Genç, A.; Cai, G.; Vardar, F.; Ünal, M. Differential effects of low and high temperature stress on pollen germination and tube length of hazelnut (Corylus avellana L.) genotypes. Sci. Hortic. 2019, 255, 61–69. [Google Scholar] [CrossRef]
- Sorkheh, K.; Azimkhani, R.; Mehri, N.; Chaleshtori, M.H.; Halász, J.; Ercisli, S.; Koubouris, G.C. Interactive effects of temperature and genotype on almond (Prunus dulcis L.) pollen germination and tube length. Sci. Hortic. 2018, 227, 162–168. [Google Scholar] [CrossRef]
- Hebbar, K.B.; Rose, H.M.; Nair, A.R.; Kannan, S.; Niral, V.; Arivalagan, M.; Gupta, A.; Samsudeen, K. Differences in in vitro pollen germination and pollen tube growth of coconut (Cocos nucifera L.) cultivars in response to high temperature stress. Environ. Exp. Bot. 2018, 153, 35–44. [Google Scholar] [CrossRef]
- Chen, Y.; Su, H.; Yan, X.H.; Zhang, H.; Wang, Y. Global oceans suffer extreme heatwaves intensifying since the early 21st century: A new comprehensive index. Ecol. Indic. 2024, 162, 112069. [Google Scholar] [CrossRef]
- Arshad, A.; Raza, M.A.; Zhang, Y.; Zhang, L.; Wang, X.; Ahmed, M.; Habib-ur-Rehman, M. Impact of climate warming on cotton growth and yields in China and Pakistan: A regional perspective. Agriculture 2021, 11, 97. [Google Scholar] [CrossRef]
- Lokhande, S.; Reddy, K.R. Quantifying temperature effects on cotton reproductive efficiency and fiber quality. Agron. J. 2014, 106, 1275–1282. [Google Scholar] [CrossRef]
- Otto, F.E.; Frame, D.J.; Otto, A.; Allen, M.R. Embracing uncertainty in climate change policy. Nat. Clim. Change 2015, 5, 917–920. [Google Scholar] [CrossRef]
- Del Río, L.A. ROS and RNS in plant physiology: An overview. Exp. Bot. 2015, 66, 2827–2837. [Google Scholar] [CrossRef]
- Paupiere, M.J.; Muller, F.; Li, H.J.; Rieu, I.; Tikunov, Y.M.; Visser, R.G.F.; Bovy, A.G. Untargeted metabolomic analysis of tomato pollen development and heat stress response. Plant Reprod. 2017, 30, 81–94. [Google Scholar] [CrossRef]
- Ding, Y.; Yang, S. Surviving and thriving: How plants perceive and respond to temperature stress. Dev. Cell 2022, 57, 947–958. [Google Scholar] [CrossRef]
- Tao, Y.; Zhang, H.; Wang, Y. Revealing and predicting the relationship between the molecular structure and antioxidant activity of flavonoids. Lwt 2023, 174, 114433. [Google Scholar] [CrossRef]
- Stewart, T.M.; Dunston, T.T.; Woster, P.M.; Casero, R.A. Polyamine catabolism and oxidative damage. Biol. Chem. 2018, 293, 18736–18745. [Google Scholar] [CrossRef] [PubMed]
- Shi, J.; Cui, M.; Yang, L.; Kim, Y.J.; Zhang, D. Genetic and biochemical mechanisms of pollen wall development. Plant Sci. 2015, 20, 741–753. [Google Scholar] [CrossRef] [PubMed]
- Paupière, M.J.; Van Heusden, A.W.; Bovy, A.G. The metabolic basis of pollen thermo-tolerance: Perspectives for breeding. Metabolites 2014, 4, 889–920. [Google Scholar] [CrossRef]
- Wang, L.; Ma, K.B.; Lu, Z.G.; Ren, S.X.; Jiang, H.R.; Cui, J.W.; Chen, G.; Teng, N.J.; Lam, H.M. Differential physiological, transcriptomic and metabolomic responses of Arabidopsis leaves under prolonged warming and heat shock. BMC Plant Biol. 2020, 27, 86. [Google Scholar] [CrossRef] [PubMed]
- Nascimento, V.L.; Pereira, A.M.; Pereira, A.S.; Silva, V.F.; Costa, L.C.; Bastos, C.E.; Ribeiro, D.M.; Caldana, C.; Sulpice, R.; Nunes-Nesi, A.; et al. Physiological and metabolic bases of increased growth in the tomato ethylene-insensitive mutant Never ripe: Extending ethylene signaling functions. Plant Cell Rep. 2021, 40, 1377–1393. [Google Scholar] [CrossRef]
- Dan, L.D.; Ru, W.D.; Yu, Y.X.; Zhao, C.H.; Li, S.H.; Sha, G.L.; Zhang, R.F.; Ge, H.J.; Tong, X.S.; You, C.X. Apomictic Malus plants exhibit abnormal pollen development. Plant Sci. 2023, 14, 1065032. [Google Scholar]
- Liu, X.Y.; Xiao, Y.L.; Zi, J.; Yan, J.; Li, C.H.; Du, C.X.; Wan, J.X.; Wu, H.X.; Zheng, B.; Wang, S.B.; et al. Differential effects of low and high temperature stress on pollen germination and tube length of mango (Mangifera indica L.) genotypes. Sci. Rep. 2023, 13, 611. [Google Scholar] [CrossRef]
- Ni, J.; Yang, X.; Zhu, J.; Liu, Z.; Ni, Y.; Wu, H.; Zhang, H.; Liu, T. Salinity-induced metabolic profile changes in Nitraria tangutorum Bobr. suspension cells. Plant Cell Tissue Organ Cult. 2015, 122, 239–248. [Google Scholar] [CrossRef]
- Arif, Y.; Singh, P.; Siddiqui, H.; Bajguz, A.; Hayat, S. Salinity induced physiological and biochemical changes in plants: An omic approach towards salt stress tolerance. Plant Physiol. Biochem. 2020, 156, 64–77. [Google Scholar] [CrossRef]
- Gonzalez, C.; Zanor, M.I.; Ré, M.D.; Otaizab, S.; Asisb, R.; Vallea, E.M.; Boggio, S.B. Chilling tolerance of Micro-Tom fruit involves changes in the primary metabolite levels and in the stress response. Postharvest Biol. Technol. 2019, 148, 58–67. [Google Scholar] [CrossRef]
- Zhao, F.Y.; Jiao, C.J.; Tian, C.F.; Wang, T.S.; Xie, S.Q.; He, L.J. Expression and determination of activity of the point mutated Arabidopsis acetohydroxyacid synthase. Acta Bot. Boreali Occident. Sin. 2015, 35, 662–668, (In Chinese with English abstract). [Google Scholar]
- Jorge, T.F.; Rodrigues, J.A.; Caldana, C.; Schmidt, R.; van Dongen, J.T.; Thomas-Oates, J.; António, C. Mass spectrometry-based plant metabolomics: Metabolite responses to abiotic stress. Mass Spectrom. Rev. 2016, 35, 620–649. [Google Scholar] [CrossRef]
- Kishor, P.K.; Suravajhala, R.; Rajasheker, G.; Marka, N.; Shridhar, K.K.; Dhulala, D.; Scinthia, K.P.; Divya, K.; Doma, M.; Edupuganti, S.; et al. Lysine, lysine-rich, serine, and serine-rich proteins: Link between metabolism, development, and abiotic stress tolerance and the role of ncRNAs in their regulation. Plant Sci. 2020, 11, 546213. [Google Scholar] [CrossRef]
- Min, X.; Xu, H.; Huang, F.; Wei, Y.; Lin, W.; Zhang, Z. GC-MS-based metabolite profiling of key differential metabolites between superior and inferior spikelets of rice during the grain filling stage. BMC Plant Biol. 2021, 21, 439. [Google Scholar] [CrossRef]
- Zhang, J.; Kenworthy, K.; Unruh, J.B.; Erickson, J.; MacDonald, G. Changes of leaf membrane fatty acid composition and saturation level of warm-season turfgrass during drought stress. Crop Sci. 2017, 57, 2843–2851. [Google Scholar] [CrossRef]
- Amini, Z.; Salehi, H.; Chehrazi, M.; Etemadi, M.; Xiang, M. miRNAs and their target genes play a critical role in response to heat stress in Cynodon dactylon (L.) Pers. Mol. Biotechnol. 2023, 65, 2004–2017. [Google Scholar] [CrossRef]
- Annunziata, M.G.; Ciarmiello, L.F.; Woodrow, P.; Dell’Aversana, E.; Carillo, P. Spatial and temporal profile of glycine betaine accumulation in plants under abiotic stresses. Plant Sci. 2019, 10, 230. [Google Scholar] [CrossRef]
- Ashihara, H.; Crozier, A.; Ludwig, I.A. Plant Nucleotide Metabolism: Biosynthesis, Degradation, and Alkaloid Formation; John Wiley & Sons: Hoboken, NJ, USA, 2020. [Google Scholar]
- Kołton, A.; Długosz-Grochowska, O.; Wojciechowska, R.; Czaja, M. Biosynthesis regulation of folates and phenols in plants. Sci. Hortic. 2022, 291, 110561. [Google Scholar] [CrossRef]
- Mittler, R. ROS are good. Plant Sci. 2017, 22, 11–19. [Google Scholar] [CrossRef]
- Del Río, L.A.; López-Huertas, E. ROS generation in peroxisomes and its role in cell signaling. Plant Cell Physiol. 2016, 57, 1364–1376. [Google Scholar] [CrossRef] [PubMed]
- Ogrodowicz, P.; Wojciechowicz, M.K.; Kuczyńska, A.; Krajewski, P.; Kempa, M. The Effects of Growth Modification on Pollen Development in Spring Barley (Hordeum vulgare L.) Genotypes with Contrasting Drought Tolerance. Cells 2023, 12, 1656. [Google Scholar] [CrossRef] [PubMed]












| Variety Name | Treatment Ⅰ | Treatment Ⅱ | Treatment Ⅲ | Treatment Time | Relative Humidity | No. of Replicates |
|---|---|---|---|---|---|---|
| Renong No.1 | 15 °C | 25 °C | 35 °C | 3 h | 60% | three |
| Jinhuang | 15 °C | 25 °C | 35 °C | 3 h | 60% | three |
| Category | Alkaloids | Amino Acids and Derivatives | Flavonoids | Lignans and Coumarins | Lipids | Nucleotides and Derivatives | Organic Acids | Others | Phenolic Acids | Quinones | Tannins | Terpenoids |
|---|---|---|---|---|---|---|---|---|---|---|---|---|
| A | 14 | 18 | 25 | 4 | 23 | 6 | 24 | 32 | 33 | 10 | 13 | 14 |
| B | 14 | 24 | 8 | 25 | 12 | 20 | 27 | 34 | 1 | 1 | 13 | 14 |
| D | 8 | 25 | 50 | 7 | 12 | 28 | 25 | 21 | 50 | 1 | 5 | 1 |
| C | 2 | 6 | 29 | 3 | 46 | 8 | 7 | 21 | 28 | 8 | 3 | 2 |
Disclaimer/Publisher’s Note: The statements, opinions and data contained in all publications are solely those of the individual author(s) and contributor(s) and not of MDPI and/or the editor(s). MDPI and/or the editor(s) disclaim responsibility for any injury to people or property resulting from any ideas, methods, instructions or products referred to in the content. |
© 2024 by the authors. Licensee MDPI, Basel, Switzerland. This article is an open access article distributed under the terms and conditions of the Creative Commons Attribution (CC BY) license (https://creativecommons.org/licenses/by/4.0/).
Share and Cite
Liu, X.; Zhou, L.; Du, C.; Wang, S.; Chen, H.; Xu, W.; Yang, Z.; Liang, Q. Effects of Pollen Germination and Pollen Tube Growth under Different Temperature Stresses in Mango (Mangifera indica L.) by Metabolome. Metabolites 2024, 14, 543. https://doi.org/10.3390/metabo14100543
Liu X, Zhou L, Du C, Wang S, Chen H, Xu W, Yang Z, Liang Q. Effects of Pollen Germination and Pollen Tube Growth under Different Temperature Stresses in Mango (Mangifera indica L.) by Metabolome. Metabolites. 2024; 14(10):543. https://doi.org/10.3390/metabo14100543
Chicago/Turabian StyleLiu, Xinyu, Lirong Zhou, Chengxun Du, Songbiao Wang, Hongjin Chen, Wentian Xu, Zhuanying Yang, and Qingzhi Liang. 2024. "Effects of Pollen Germination and Pollen Tube Growth under Different Temperature Stresses in Mango (Mangifera indica L.) by Metabolome" Metabolites 14, no. 10: 543. https://doi.org/10.3390/metabo14100543
APA StyleLiu, X., Zhou, L., Du, C., Wang, S., Chen, H., Xu, W., Yang, Z., & Liang, Q. (2024). Effects of Pollen Germination and Pollen Tube Growth under Different Temperature Stresses in Mango (Mangifera indica L.) by Metabolome. Metabolites, 14(10), 543. https://doi.org/10.3390/metabo14100543
