Double-Layer Microstrip Band Stop Filters Etching Periodic Ring Electromagnetic Band Gap Structures
Abstract
1. Introduction
2. Design of Microstrip Band Stop Filter
2.1. Design Principle of Microstrip Band Stop Filter
2.2. Band Stop Filter with Etched Periodic Hexagon Ring EBG Structure
2.3. Band Stop Filter of Etched Periodic Octagonal Ring EBG Structure
2.4. Band Stop Filter of Etched Periodic Elliptic Ring EBG Structure
3. Discussions and Results
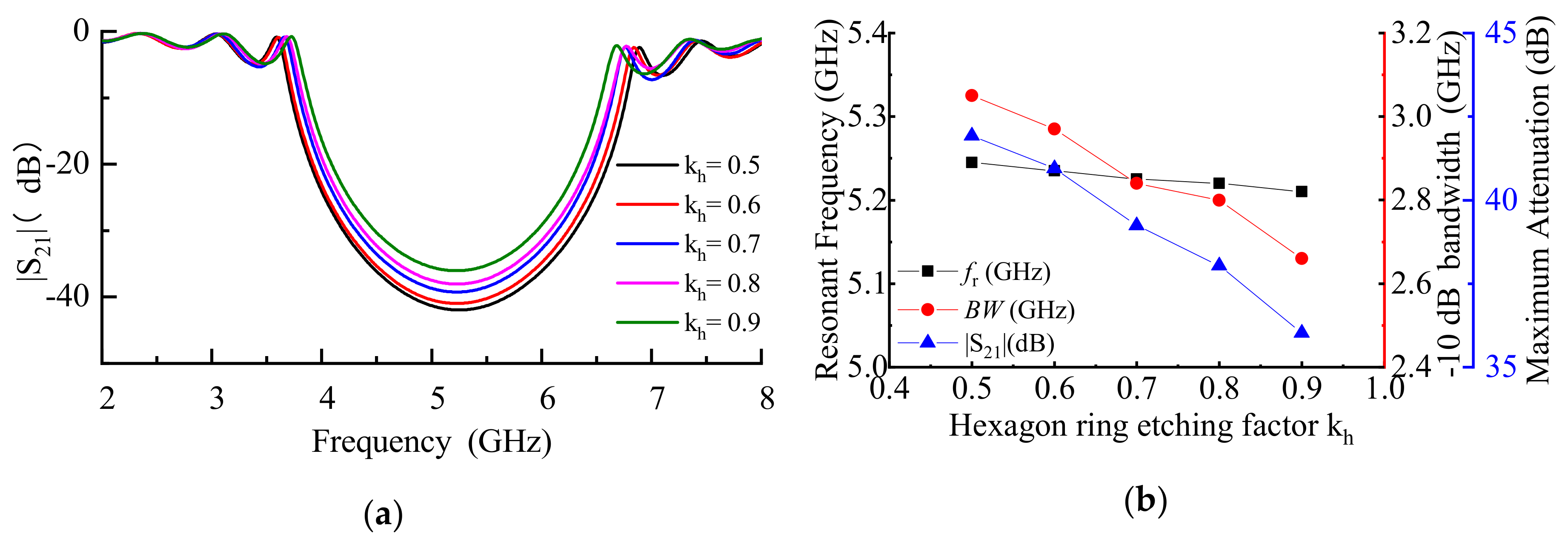
3.1. Analysis of Band Stop Filter with an Etched Periodic Hexagon Ring EBG Structure
3.2. Analysis of Band Stop Filter of Etched Periodic Octagonal Ring EBG Structure
3.3. Analysis of Band Stop Filter with Etched Periodic Elliptic Ring EBG Structure
4. Conclusions
Author Contributions
Funding
Acknowledgments
Conflicts of Interest
References
- Balakin, A.V.; Bushuev, V.A.; Mantsyzov, B.I.; Ozheredov, I.A.; Petrov, E.V.; Shkurinov, A.P.; Masselin, P.; Mouret, G. Enhancement of sum frequency generation near the photonic band gap edge under the quasiphase matching conditions. Phys. Rev. E 2001, 63, 046609. [Google Scholar] [CrossRef] [PubMed]
- Kim, M. A Compact EBG Structure with Wideband Power/Ground Noise Suppression Using Meander-Perforated Plane. IEEE Trans. Electromagn. Compat. 2015, 57, 595–598. [Google Scholar] [CrossRef]
- Hassan, M.A.M.; Kishk, A.A. Bandwidth Study of the Stacked Mushroom EBG Unit Cells. IEEE Trans. Antennas Propag. 2017, 65, 4357–4362. [Google Scholar] [CrossRef]
- Zheng, X.; Jiang, T. Triple Notches Bandstop Microstrip Filter Based on Archimedean Spiral Electromagnetic Bandgap Structure. Electronics 2019, 8, 964. [Google Scholar] [CrossRef]
- Zheng, X.; Pan, Y.; Jiang, T. UWB Bandpass Filter with Dual Notched Bands Using T-Shaped Resonator and L-Shaped Defected Microstrip Structure. Micromachines 2018, 9, 280. [Google Scholar] [CrossRef] [PubMed]
- Parvez, S.; Sakib, N.; Mollah, M. Advanced Investigation on EBG Structures: A Critical Analysis to Optimize the Performance of Asymmetric Couple-Line Bandpass Filter. In Proceedings of the 2015 IEEE International Conference on Electrical, Computer and Communication Technologies, Tamil Nadu, India, 5–7 March 2015; pp. 1–6. [Google Scholar]
- Martinez-Iranzo, U.; Moradi, B.; Garcia-Garcia, J. Ultrawideband bandpass filters based on coupled electromagnetic band gap structures. Microw. Opt. Technol. Lett. 2015, 57, 2857–2859. [Google Scholar] [CrossRef]
- Kurra, L.; Abegaonkar, M.P.; Koul, S.K. Equivalent Circuit Model of Resonant-EBG Bandstop Filter. IETE J. Res. 2015, 62, 17–26. [Google Scholar] [CrossRef]
- Wong, S.W.; Zhu, L. EBG-Embedded Multiple-Mode Resonator for UWB Bandpass Filter with Improved Upper-Stopband Performance. IEEE Microw. Wirel. Components Lett. 2007, 17, 421–423. [Google Scholar] [CrossRef]
- Ruiz, J.D.; Martínez, F.L.; Hinojosa, J. A flat-passband and wide-stopband low-pass filter based on tapered Cauchy microstrip Koch fractal EBG structure. In Proceedings of the 2014 8th International Congress on Advanced Electromagnetic Materials in Microwaves and Optics, Lyngby, Denmark, 25–28 August 2014; pp. 139–141. [Google Scholar]
- Chen, Y.-C.; Liu, A.-S.; Wu, R.-B. A Wide-stopband Low-pass Filter Design Based on Multi-period Taper-etched EBG Structure. In Proceedings of the 2005 Asia-Pacific Microwave Conference Proceedings, Suzhou, China, 4–7 December 2005; pp. 1–5. [Google Scholar]
- Li, L.; Chen, Q.; Yuan, Q.; Sawaya, K. Ultrawideband Suppression of Ground Bounce Noise in Multilayer PCB Using Locally Embedded Planar Electromagnetic Band-Gap Structures. IEEE Antennas Wirel. Propag. Lett. 2008, 8, 740–743. [Google Scholar] [CrossRef]
- Lee, Y.H.; Huang, S.Y. Electromagnetic Compatibility of a Dual-Planar Electromagnetic Band-Gap Microstrip Filter Structure. In Proceedings of the 2006 17th International Zurich Symposium on Electromagnetic Compatibility, Singapore, 27 February–3 March 2006; pp. 561–564. [Google Scholar]
- Yu-Bo, T.; Yue, D.; Zhi-Bin, X.; Sha, S.; Tao, P. Frequency characteristics of electromagnetic bandgap structure with bow-tie cells and its optimal design based on particle swarm optimization. IEEJ Trans. Electr. Electron. Eng. 2012, 8, 63–68. [Google Scholar] [CrossRef]
- Orlandi, A. Notice of Retraction: Multiple Objectives Optimization for an EBG Common Mode Filter by Using an Artificial Neural Network. IEEE Trans. Electromagn. Compat. 2017, 60, 507–512. [Google Scholar] [CrossRef]
- Ruiz, J.D.D.; Viviente, F.L.M.; Melcon, A.A.; Hinojosa, J. Substrate Integrated Waveguide (SIW) With Koch Fractal Electromagnetic Bandgap Structures (KFEBG) for Bandpass Filter Design. IEEE Microw. Wirel. Components Lett. 2015, 25, 160–162. [Google Scholar] [CrossRef]
- Ruiz, J.D.D.; Hinojosa, J.; Viviente, F.L.M. Optimisation of chirped and tapered microstrip Koch fractal electromagnetic bandgap structures for improved low-pass filter design. IET Microw. Antennas Propag. 2015, 9, 889–897. [Google Scholar] [CrossRef]
- Joodaki, M.; Rezaee, M. Coplanar Waveguide (CPW) Loaded with an Electromagnetic Bandgap (EBG) Structure: Modeling and Application to Displacement Sensor. IEEE Sens. J. 2016, 16, 3034–3040. [Google Scholar] [CrossRef]
- Panaretos, A.H.; Werner, D.H. A Note on the Isolation Performance of Nonuniform Capacitively Loaded Mushroom-Type EBG Surfaces within a Parallel Plate Waveguide. IEEE Trans. Antennas Propag. 2015, 63, 5175–5180. [Google Scholar] [CrossRef]
- Zhu, H.-R.; Sun, Y.-F.; Wu, X.-L. A Compact Tapered EBG Structure with Sharp Selectivity and Wide Stopband by Using CSRR. IEEE Microw. Wirel. Components Lett. 2018, 28, 771–773. [Google Scholar] [CrossRef]
- Chu, H.; Shi, X. Ultra-wideband bandpass filter with a notch band using EBG array etched ground. Microw. Opt. Technol. Lett. 2011, 53, 1290–1293. [Google Scholar] [CrossRef]
- Simsek, S.; Rezaeieh, S.A. A design method for substrate integrated waveguide electromagnetic bandgap (SIW-EBG) filters. AEU Int. J. Electron. Commun. 2013, 67, 981–983. [Google Scholar] [CrossRef]
- Hassan, S.M.S.; Mollah, N. Identical performance from distinct conventional electromagnetic bandgap structures. IET Microw. Antennas Propag. 2016, 10, 1251–1258. [Google Scholar] [CrossRef]
- Karim, M.; Liu, A.-Q.; Alphones, A.; Zhang, X.; Yu, A. CPW band-stop filter using unloaded and loaded EBG structures. IEE Proc. Microw. Antennas Propag. 2005, 152, 434–440. [Google Scholar] [CrossRef][Green Version]
- Boutejdar, A.; Elhani, S.; Bennani, S.D. Design of a novel slotted bandpass-bandstop filters using U-resonator and suspended multilayer-technique for L/X-band and Wlan/WiMax applications. In Proceedings of the 2017 International Conference on Electrical and Information Technologies (ICEIT), Rabat, Morocco, 15–18 November 2017; pp. 1–7. [Google Scholar]
- Mallahzadeh, A.R.; Rahmati, B.; Alamolhoda, M.; Sharifzadeh, R.; Ghasemi, A.H. Ultra wide stop band LPF with using defected microstrip structures. In Proceedings of the 2012 6th European Conference on Antennas and Propagation (EUCAP), Prague, Czech Republic, 26–30 March 2012; pp. 1–3. [Google Scholar]
- Kim, C.; Shrestha, B.; Son, K.C. Wideband bandstop filter using an sir based interdigital capacitor. Microw. Opt. Technol. Lett. 2018, 60, 2530–2534. [Google Scholar] [CrossRef]
- Nasiri, B.; Errkik, A.; Zbitou, J.; Tajmouati, A.; Elabdellaoui, L.; Latrach, M. A New Compact and Wide-band Band-stop Filter Using Rectangular SRR. TELKOMNIKA Indones. J. Electr. Eng. 2018, 16, 110–117. [Google Scholar] [CrossRef]
- Kong, M.; Wu, Y.; Zhuang, Z.; Liu, Y. Narrowband balanced absorptive bandstop filter integrated with wideband bandpass response. Electron. Lett. 2018, 54, 225–227. [Google Scholar] [CrossRef]
- La, D.-S.; Lu, Y.; Sun, S.; Liu, N.; Zhang, J. A novel compact bandstop filter using defected microstrip structure. Microw. Opt. Technol. Lett. 2010, 53, 433–435. [Google Scholar] [CrossRef]
- Zhu, Q.Y.; Meng, X.L. Design and Optimization of Microstrip Stub Bandstop Filter Based on ADS. Appl. Mech. Mater. 2015, 743, 233–238. [Google Scholar] [CrossRef]





















| C (pF) | C (pF) | C (pF) | L (nH) | L (nH) | L (nH) |
|---|---|---|---|---|---|
| C1 = −0.49 | C4 = 2.25 | C7 = 0.54 | L1 = 5 | L4 = 2.27 | L7 = 6.44 |
| C2 = 0.54 | C5 = 1.06 | C8 = 1.61 | L2 = 1.11 | L5 = 3.06 | L8 = 1.29 |
| C3 = 0.83 | C6 = 2.29 | C9 = 0.235 | L3 = 0.73 | L6 = 1.29 | L9 = 10.3 |
| Reference | Maximum Attenuation of Stopband (dB) | Low Frequency Ripple (dB) | High Frequency Ripple (dB) | Resonant Frequency (GHz) | −10 dB Bandwidths (GHz) | −10 dB Fractional Bandwidths (FBW) % |
|---|---|---|---|---|---|---|
| [14] | 42.46 | 5.05 | 6.64 | 5.2 | 2.73 | 51% |
| [16] | 41.3 | 1.2 | 0.8 | 5.6 | 2.55 | 51.2% |
| [17] | 52 | 2.3 | 2.1 | 4.2 | 7.8 | 80.3% |
| [18] | 60.1 | 6.2 | 12.3 | 13 | 7.5 | 46.15% |
| [19] | 60.3 | 4.5 | 20.6 | 4.6 | 4.2 | 78.1% |
| [20] | 45 | 31 | 12.2 | 6.5 | 7.8 | 122.1% |
| [21] | 32.2 | 5.1 | 3.7 | 6.9 | 1.02 | 23.3% |
| [22] | 43.1 | 8.03 | 7.24 | 10.2 | 1.5 | 14.6% |
| [23] | 48.8 | 4.13 | 8.88 | 10.5 | 5.03 | 41% |
| [24] | 44.8 | 2.3 | 2.4 | 30 | 18 | 60% |
| [25] | 45.8 | 1.5 | 3.6 | 5.2 | 4.1 | 37.7% |
| [26] | 70 | 5.1 | 4.81 | 11.3 | 17 | 168.2% |
| [27] | 41.2 | 6.5 | 6.8 | 6.5 | 3.8 | 58.4% |
| [28] | 35 | 2.3 | 4.3 | 2.5 | 1.2 | 72% |
| [29] | 47.5 | 1.3 | 2.5 | 2.1 | 1.3 | 61.5% |
| [30] | 35.6 | 0.7 | 0.8 | 5.2 | 0.6 | 11.5% |
| [31] | 70 | 0.4 | 0.6 | 4 | 1.5 | 37.5% |
| Etching elliptic ring EBGs | 44.83 | 4.98 | 7.34 | 5.2 | 3.49 | 65.78% |
| Etching hexagon ring EBGs | 49.24 | 5.48 | 9.45 | 5.2 | 3.34 | 63.31% |
| Etching octagon ring EBGs | 48.57 | 5.27 | 7.97 | 5.2 | 3.46 | 65.28% |
© 2020 by the authors. Licensee MDPI, Basel, Switzerland. This article is an open access article distributed under the terms and conditions of the Creative Commons Attribution (CC BY) license (http://creativecommons.org/licenses/by/4.0/).
Share and Cite
Zheng, X.; Jiang, T.; Lu, H.; Wang, Y. Double-Layer Microstrip Band Stop Filters Etching Periodic Ring Electromagnetic Band Gap Structures. Electronics 2020, 9, 1216. https://doi.org/10.3390/electronics9081216
Zheng X, Jiang T, Lu H, Wang Y. Double-Layer Microstrip Band Stop Filters Etching Periodic Ring Electromagnetic Band Gap Structures. Electronics. 2020; 9(8):1216. https://doi.org/10.3390/electronics9081216
Chicago/Turabian StyleZheng, Xuemei, Tao Jiang, Hao Lu, and Yanyan Wang. 2020. "Double-Layer Microstrip Band Stop Filters Etching Periodic Ring Electromagnetic Band Gap Structures" Electronics 9, no. 8: 1216. https://doi.org/10.3390/electronics9081216
APA StyleZheng, X., Jiang, T., Lu, H., & Wang, Y. (2020). Double-Layer Microstrip Band Stop Filters Etching Periodic Ring Electromagnetic Band Gap Structures. Electronics, 9(8), 1216. https://doi.org/10.3390/electronics9081216

