Selective Epitaxial Growth of In Situ Doped SiGe on Bulk Ge for p+/n Junction Formation
Abstract
1. Introduction
2. Materials and Methods
3. Results and Discussion
3.1. Layer Characterization
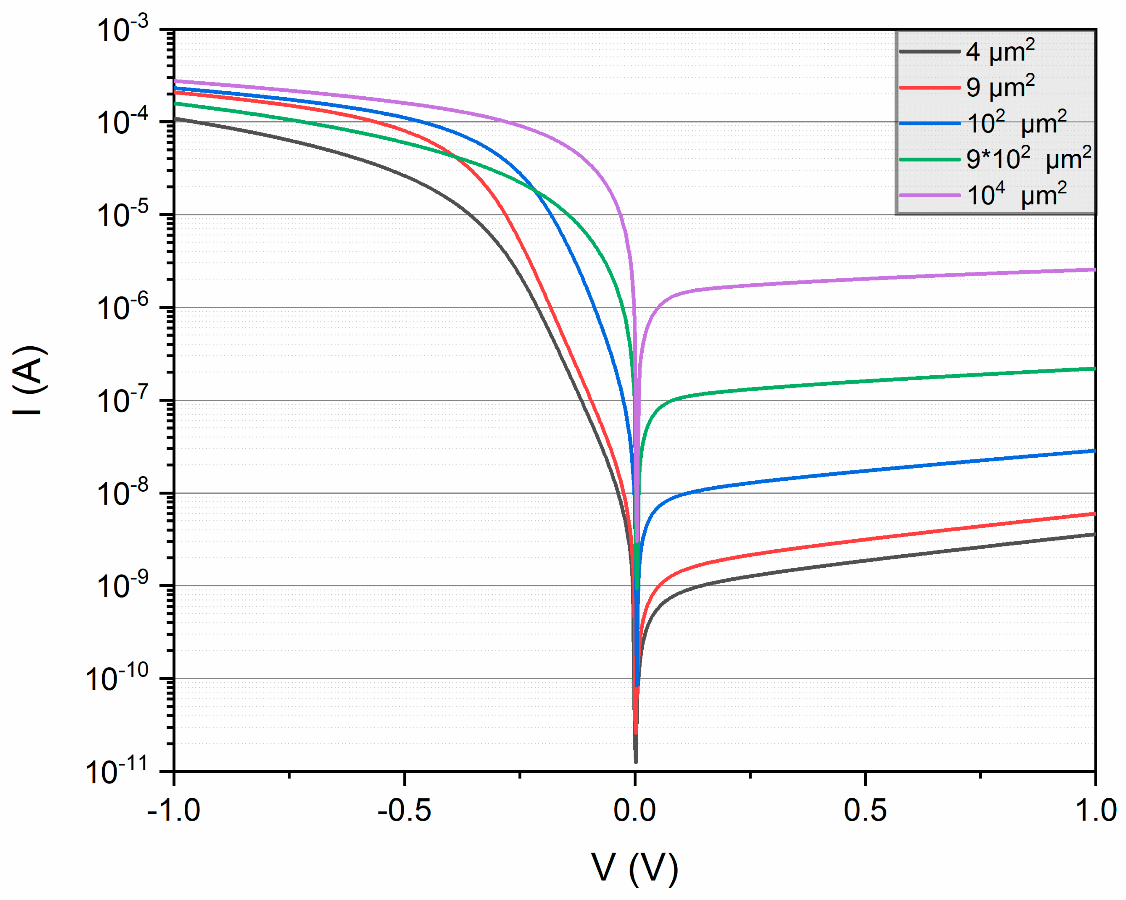
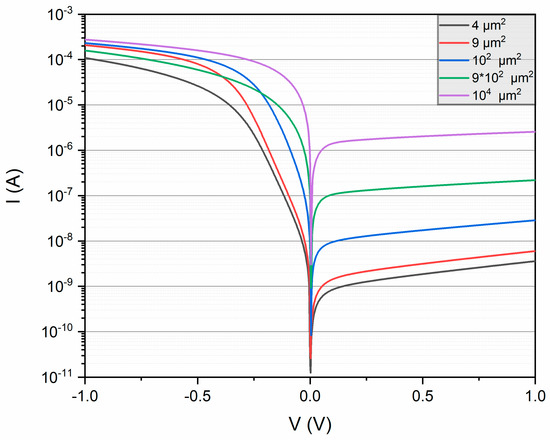
3.2. Electrical Characterization and Analysis
4. Conclusions
Author Contributions
Funding
Acknowledgments
Conflicts of Interest
References
- Hartmann, J.M.; Benevent, V.; Barnes, J.P.; Veillerot, M.; Lafond, D.; Damlencourt, J.F.; Morvan, S.; Prévitali, B.; Andrieu, F.; Loubet, N.; et al. Mushroom-free selective epitaxial growth of Si, SiGe and SiGe: B raised sources and drains. Solid State Electron. 2013, 83, 10–17. [Google Scholar] [CrossRef]
- Hartmann, J.M.; Py, M.; Barnes, J.P.; Prévitali, B.; Batude, P.; Billon, T. Low temperature boron and phosphorous doped SiGe for recessed and raised sources and drains. J. Cryst. Growth 2011, 327, 68–77. [Google Scholar] [CrossRef]
- Wang, G.; Abedin, A.; Moeen, M.; Kolahdouz, M.; Luo, J.; Guo, Y.; Chen, T.; Yin, H.; Zhu, H.; Li, J.; et al. Integration of highly-strained SiGe materials in 14nm and beyond nodes FinFET technology. Solid-State Electron. 2015, 103, 222–228. [Google Scholar] [CrossRef]
- Wang, G.L.; Moeen, M.; Abedin, A.; Kolahdouz, M.; Luo, J.; Qin, C.L.; Zhu, H.L.; Yan, J.; Yin, H.Z.; Li, J.F.; et al. Optimization of SiGe selective epitaxy for source/drain engineering in 22 nm node complementary metal-oxide semiconductor (CMOS). J. Appl. Phys. 2013, 114, 123511. [Google Scholar] [CrossRef]
- Hartmann, J.M.; Benevent, V.; Damlencourt, J.F.; Billon, T. A benchmarking of silane, disilane and dichlorosilane for the low temperature growth of group IV layers. Thin Solid Films 2012, 520, 3185–3189. [Google Scholar] [CrossRef]
- Radamson, H.H.; Kolahdouz, M.; Ghandi, R.; Hållstedt, J. Selective epitaxial growth of B-doped SiGe and HCl etch of Si for the formation of SiGe: B recessed source and drain (pMOS transistors). Thin Solid Films 2008, 517, 84–86. [Google Scholar] [CrossRef]
- Qi, Y.; Peng, J.; Lo, H.-C.; Holt, J.R.; Willemann, M.; Gaire, C.; Evans, S.; Flanagan, P.; Yu, H.; Hu, O.; et al. In-Situ Boron Doped SiGe Epitaxy Optimization for FinFET Source/Drain. ECS Trans. 2016, 75, 265–272. [Google Scholar] [CrossRef]
- Chang, W.H.; Ota, H.; Maeda, T. Achieving low parasitic resistance in Ge p-channel metal–oxide–semiconductor field-effect transistors by ion implantation after germanidation. Appl. Phys. Express 2015, 8, 054201. [Google Scholar] [CrossRef]
- Hubbard, G.S.; Haller, E.E.; Hansen, W.L. Ion implanted n-type contact for high-purity germanium radiation detectors. IEEE Trans. Nucl. Sci. 1977, 24, 161–164. [Google Scholar] [CrossRef]
- Riepe, G.; Protić, D. High-purity germanium detectors with both contacts made by ion-implantation. Nucl. Instrum. Methods 1979, 165, 31–34. [Google Scholar] [CrossRef]
- Decoster, S.; Vantomme, A. Implantation-induced damage in Ge: Strain and disorder profiles during defect accumulation and recovery. J. Phys. Appl. Phys. 2009, 42, 165404. [Google Scholar] [CrossRef]
- Impellizzeri, G.; Mirabella, S.; Grimaldi, M.G. Ion implantation damage and crystalline-amorphous transition in Ge. Appl. Phys. A 2011, 103, 323–328. [Google Scholar] [CrossRef]
- Luo, X.; Wang, G.; Xu, J.; Duan, N.; Mao, S.; Liu, S.; Li, J.; Wang, W.; Chen, D.; Zhao, C.; et al. Impact of Ge pre-amorphization implantation on forming ultrathin TiGe x on both n- and p-Ge substrate. Jpn. J. Appl. Phys. 2018, 57, 07MA02. [Google Scholar] [CrossRef]
- Liu, J.; Mehta, S. Effect of Ge Pre-amorphization on Junction Characteristics for Low Energy B Implants. MRS Online Proc. Libr. Arch. 2000, 610, B4.6.1–B4.6.6. [Google Scholar] [CrossRef]
- Kelly, R.A.; Liedke, B.; Baldauf, S.; Gangnaik, A.; Biswas, S.; Georgiev, Y.; Holmes, J.D.; Posselt, M.; Petkov, N. Epitaxial Post-Implant Recrystallization in Germanium Nanowires. Cryst. Growth Des. 2015, 15, 4581–4590. [Google Scholar] [CrossRef]
- Tsai, M.H.; Wu, C.-T.; Lee, W.-H. Activation of boron and recrystallization in Ge preamorphization implant structure of ultra shallow junctions by microwave annealing. Jpn. J. Appl. Phys. 2014, 53, 041302. [Google Scholar] [CrossRef]
- Hsueh, F.-K.; Lee, Y.-J.; Lin, K.-L.; Current, M.I.; Wu, C.-Y.; Chao, T.-S. Amorphous-Layer Regrowth and Activation of P and As Implanted Si by Low-Temperature Microwave Annealing. IEEE Trans. Electron Devices 2011, 58, 2088–2093. [Google Scholar] [CrossRef]
- Sgourou, E.N.; Panayiotatos, Y.; Vovk, R.V.; Kuganathan, N.; Chroneos, A. Diffusion and Dopant Activation in Germanium: Insights from Recent Experimental and Theoretical Results. Appl. Sci. 2019, 9, 2454. [Google Scholar] [CrossRef]
- Rachmady, W.; Agrawal, A.; Sung, S.H.; Dewey, G.; Chouksey, S.; Chu-Kung, B.; Elbaz, G.; Fischer, P.; Huang, C.Y.; Jun, K.; et al. 300mm Heterogeneous 3D Integration of Record Performance Layer Transfer Germanium PMOS with Silicon NMOS for Low Power High Performance Logic Applications. In Proceedings of the 2019 IEEE International Electron Devices Meeting (IEDM), San Francisco, CA, USA, 7–11 December 2019; pp. 29.7.1–29.7.4. [Google Scholar]
- Andrieu, F.; Batude, P.; Brunet, L.; Fenouillet-Béranger, C.; Lattard, D.; Thuries, S.; Billoint, O.; Fournel, R.; Vinet, M. A review on opportunities brought by 3D-monolithic integration for CMOS device and digital circuit. In Proceedings of the 2018 International Conference on IC Design Technology (ICICDT), Otranto, Italy, 4–6 June 2018; pp. 141–144. [Google Scholar]
- Vandooren, A.; Witters, L.; Franco, J.; Mallik, A.; Parvais, B.; Wu, Z.; Walke, A.; Deshpande, V.; Rosseel, E.; Hikavyy, A.; et al. Sequential 3D: Key integration challenges and opportunities for advanced semiconductor scaling. In Proceedings of the 2018 International Conference on IC Design Technology (ICICDT), Otranto, Italy, 4–6 June 2018; pp. 145–148. [Google Scholar]
- Raghunathan, S.; Krishnamohan, T.; Saraswat, K.C. Novel SiGe Source/Drain for Reduced Parasitic Resistance in Ge NMOS. In Proceedings of the 2010 ECS Transactions, Las Vegas, NV, USA, 10–15 October 2010. [Google Scholar]
- Sinha, K.; Chattopadhyay, S.; Rahaman, H. Investigation of process induced stress in the channel of a SiGe embedded source/drain Ge-FinFET architecture. In Proceedings of the 2018 International Symposium on Devices, Circuits and Systems (ISDCS), Howrah, India, 29–31 March 2018; pp. 1–6. [Google Scholar]
- Abedin, A.; Asadollahi, A.; Garidis, K.; Hellstrom, P.-E.; Östling, M. Epitaxial Growth of Ge Strain Relaxed Buffer on Si with Low Threading Dislocation Density. ECS Trans. 2016, 75, 615–621. [Google Scholar] [CrossRef]
- Arora, N. Mosfet Modeling for VLSI Simulation: Theory and Practice; World Scientific: Singapore, 2007; ISBN 978-981-270-758-1. [Google Scholar]
- Roll, G. Leakage Current and Defect Characterization of Short Channel MOSFETs; Research at NaMLab; Logos-Verl: Berlin, Germany, 2012; ISBN 978-3-8325-3261-1. [Google Scholar]
- Carpenter, M.S.; Melloch, M.R.; Lundstrom, M.S.; Tobin, S.P. Effects of Na2S and (NH4)2S edge passivation treatments on the dark current-voltage characteristics of GaAs pn diodes. Appl. Phys. Lett. 1988, 52, 2157–2159. [Google Scholar] [CrossRef]
- Nipoti, R.; Puzzanghera, M.; Sozzi, G.; Menozzi, R. Perimeter and Area Components in the I – V Curves of 4H-SiC Vertical p+-i-n Diode With Al+ Ion-Implanted Emitters. IEEE Trans. Electron Devices 2018, 65, 629–635. [Google Scholar] [CrossRef]
- Liu, T.C.; Ikegaya, H.; Nishimura, T.; Toriumi, A. Ge n+/p Junctions with High ON-to-OFF Current Ratio by Surface Passivation. IEEE Electron Device Lett. 2016, 37, 847–850. [Google Scholar] [CrossRef]
- Duffy, R.; Heringa, A.; Venezia, V.C.; Loo, J.; Verheijen, M.A.; Hopstaken, M.J.P.; van der Tak, K.; de Potter, M.; Hooker, J.C.; Meunier-Beillard, P.; et al. Quantitative prediction of junction leakage in bulk-technology CMOS devices. Solid-State Electron. 2010, 54, 243–251. [Google Scholar] [CrossRef]
- Shayesteh, M.; Connell, D.O.; Gity, F.; Murphy-Armando, P.; Yu, R.; Huet, K.; Toque-Tresonne, I.; Cristiano, F.; Boninelli, S.; Henrichsen, H.H.; et al. Optimized Laser Thermal Annealing on Germanium for High Dopant Activation and Low Leakage Current. IEEE Trans. Electron Devices 2014, 61, 4047–4055. [Google Scholar] [CrossRef]
- Park, J.H.; Kuzum, D.; Tada, M.; Saraswat, K.C. High performance germanium N+/P and P+/N junction diodes formed at low Temperature (≤380 °C) using metal-induced dopant activation. Appl. Phys. Lett. 2008, 93, 193507. [Google Scholar] [CrossRef]
- Li, J.; Cheng, R.; Liu, C.; Zhang, P.; Lu, J.; Chen, K.; Zhang, R.; Zhao, Y. High performance Ge ultra-shallow junctions fabricated by a novel formation technique featuring spin-on dopant and laser annealing for sub-10nm technology applications. Microelectron. Eng. 2017, 168, 1–4. [Google Scholar] [CrossRef]
- Eneman, G.; Wiot, M.; Brugere, A.; Casain, O.S.I.; Sonde, S.; Brunco, D.P.; De Jaeger, B.; Satta, A.; Hellings, G.; De Meyer, K.; et al. Impact of Donor Concentration, Electric Field, and Temperature Effects on the Leakage Current in Germanium p+/n Junctions. IEEE Trans. Electron Devices 2008, 55, 2287–2296. [Google Scholar] [CrossRef]
- Bhatt, P.; Swarnkar, P.; Basheer, F.; Hatem, C.; Nainani, A.; Lodha, S. High Performance 400 °C p + /n Ge Junctions Using Cryogenic Boron Implantation. IEEE Electron Device Lett. 2014, 35, 717–719. [Google Scholar] [CrossRef]
- Simoen, E.; De Stefano, F.; Eneman, G.; De Jaeger, B.; Claeys, C.; Crupi, F. On the temperature and field dependence of trap-assisted tunneling current in Ge p+n junctions. IEEE Electron Device Lett. 2009, 30, 562–564. [Google Scholar] [CrossRef]
- Matsumura, R.; Katoh, T.; Takaguchi, R.; Takenaka, M.; Takagi, S. Ge-on-insulator tunneling FET with abrupt source junction formed by utilizing snowplow effect of NiGe. Jpn. J. Appl. Phys. 2018, 57, 04FD05. [Google Scholar] [CrossRef]







| Title 1 | Value | ||
|---|---|---|---|
| Growth rate (nm/min) | SE: 45 | AFM: 42 | Weight: 50 |
| Ge content (%) | SE: 29 | XRD: 30 | SIMS: 27 |
| Resistivity (mΩcm) | - | 3.5 | - |
| Surface roughness (nm) | - | 2.4 | - |
| Reported Data | JR @ 1 V (A/cm2) | Doping/Anneal |
|---|---|---|
| This work | ~2 × 10−2 | p+- Si0.73Ge0.27 RTA (N2) 600 ºC |
| [32] Park et al. | ~9 × 10−3 | B × I/I + Co capping layer RTA (N2) 380 ºC |
| [33] Li et al. | ~5 × 10−2 | Spin on dopant LA & RTA (N2) 495 ºC |
| [34] Eneman et al. | ~3 × 10−2 | B × I/I* RTA (N2) 500 ºC |
| [35] Bhatt et al. | ~2 × 10−2 | B × I/I @ -100 ºC RTA (N2) 400 ºC |
| [36] Simoen et al. | ~5 × 10−3 | B × I/I RTA (N2) 500 ºC |
| [37] Matsumura et al. | ~2 × 10−3 | B × I/I on GOI substrate RTA (N2) 400 ºC |
© 2020 by the authors. Licensee MDPI, Basel, Switzerland. This article is an open access article distributed under the terms and conditions of the Creative Commons Attribution (CC BY) license (http://creativecommons.org/licenses/by/4.0/).
Share and Cite
Garidis, K.; Abedin, A.; Asadollahi, A.; Hellström, P.-E.; Östling, M. Selective Epitaxial Growth of In Situ Doped SiGe on Bulk Ge for p+/n Junction Formation. Electronics 2020, 9, 578. https://doi.org/10.3390/electronics9040578
Garidis K, Abedin A, Asadollahi A, Hellström P-E, Östling M. Selective Epitaxial Growth of In Situ Doped SiGe on Bulk Ge for p+/n Junction Formation. Electronics. 2020; 9(4):578. https://doi.org/10.3390/electronics9040578
Chicago/Turabian StyleGaridis, Konstantinos, Ahmad Abedin, Ali Asadollahi, Per-Erik Hellström, and Mikael Östling. 2020. "Selective Epitaxial Growth of In Situ Doped SiGe on Bulk Ge for p+/n Junction Formation" Electronics 9, no. 4: 578. https://doi.org/10.3390/electronics9040578
APA StyleGaridis, K., Abedin, A., Asadollahi, A., Hellström, P.-E., & Östling, M. (2020). Selective Epitaxial Growth of In Situ Doped SiGe on Bulk Ge for p+/n Junction Formation. Electronics, 9(4), 578. https://doi.org/10.3390/electronics9040578

