3D Printing Using a 60 GHz Millimeter Wave Segmented Parabolic Reflective Curved Antenna
Abstract
:1. Introduction
2. Antenna Design
2.1. Parabolic Feed Antenna Design
2.2. Parabolic Antenna Structure
2.3. Parabolic Curved Antenna
2.4. Segmented Parabolic Surface Antenna
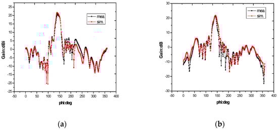
3. Simulation and Experimental Results
4. Conclusions
Author Contributions
Funding
Acknowledgments
Conflicts of Interest
References
- Yang, T.Y.; Wei, H.; Zhang, Y. Wideband millimeter-wave substrate integrated waveguide cavity-backed rectangular patch antenna. IEEE Antennas Wirel. Propag. Lett. 2014, 13, 205–208. [Google Scholar]
- Li, M.J.; Luk, K.M. A low-profile unidirectional printed antenna for millimeter-wave applications. IEEE Trans. Antennas Propag. 2013, 62, 1232–1237. [Google Scholar]
- Cheng, S.; Yousef, H.; Kratz, H. 79 GHz slot antennas based on substrate integrated waveguides (SIW) in a flexible printed circuit board. IEEE Trans. Antennas Propag. 2009, 57, 64–71. [Google Scholar]
- Guntupalli, A.B.; Wu, K. 45° linearly polarized high-gain antenna array for 60-GHz radio. IEEE Antennas Wirel. Propag. Lett. 2014, 13, 384–387. [Google Scholar]
- Lamminen, A.E.I.; Saily, J.; Vimpari, A.R. 60-GHz patch antennas and arrays on LTCC with embedded-cavity substrates. IEEE Trans Antennas Propag. 2008, 56, 2865–2874. [Google Scholar]
- Hosseini, A.; Kabiri, S.; De Flaviis, F. V-Band High-Gain Printed Quasi-Parabolic Reflector Antenna with Beam-Steering. IEEE Trans. Antennas Propag. 2017, 65, 589–591. [Google Scholar]
- D’Auria, M.; Otter, W.J.; Hazell, J.; Gillatt, B.T.; Long-Collins, C.; Ridler, N.M.; Lucyszyn, S. 3-D printed metal-pipe rectangular waveguides. IEEE Trans. Compon. Packag. Manuf. Technol. 2015, 5, 1339–1349. [Google Scholar]
- Nguyen, N.T.; Delhote, N.; Ettorre, M.; Baillargeat, D.; Coq, L.; Sauleau, R. Design and characterization of 60-GHz integrated lens antennas fabricated through ceramic stereolithography. IEEE Trans. Antennas Propag. 2010, 58, 2757–2762. [Google Scholar]
- Nayeri, P.; Liang, M.; Sabory-Garcı, R.A.; Tuo, M.; Yang, F.; Gehm, M.; Xin, H.; Elsherbeni, A.Z. 3D printed dielectric reflectarrays: Low-cost highgain antennas at sub-millimeter waves. IEEE Trans. Antennas Propag. 2014, 62, 2000–2008. [Google Scholar]
- Alhalabi, R.A.; Chiou, Y.C.; Rebeiz, G.M. Self-shielded high-efficiency Yagi-Uda antennas for 60 GHz communications. IEEE Trans. Antennas Propag. 2011, 59, 742–750. [Google Scholar]
- Xie, Z.M.; Wang, L.X.; Pei, S.S. Linear array feeding caustics parabolic curved antenna for space power synthesis. Chin. J. Radio Sci. 2012, 2, 209–214. [Google Scholar]
- Rao, S.; Tang, M.Q. Stepped-reflector antenna for dual-band multiple beam satellite communications payloads. IEEE Trans. Antennas Propag. 2006, 54, 801–811. [Google Scholar]














© 2019 by the authors. Licensee MDPI, Basel, Switzerland. This article is an open access article distributed under the terms and conditions of the Creative Commons Attribution (CC BY) license (http://creativecommons.org/licenses/by/4.0/).
Share and Cite
Cai, B.; Sun, L.; Lei, Y. 3D Printing Using a 60 GHz Millimeter Wave Segmented Parabolic Reflective Curved Antenna. Electronics 2019, 8, 203. https://doi.org/10.3390/electronics8020203
Cai B, Sun L, Lei Y. 3D Printing Using a 60 GHz Millimeter Wave Segmented Parabolic Reflective Curved Antenna. Electronics. 2019; 8(2):203. https://doi.org/10.3390/electronics8020203
Chicago/Turabian StyleCai, Benxiao, Lingling Sun, and Yuchao Lei. 2019. "3D Printing Using a 60 GHz Millimeter Wave Segmented Parabolic Reflective Curved Antenna" Electronics 8, no. 2: 203. https://doi.org/10.3390/electronics8020203
APA StyleCai, B., Sun, L., & Lei, Y. (2019). 3D Printing Using a 60 GHz Millimeter Wave Segmented Parabolic Reflective Curved Antenna. Electronics, 8(2), 203. https://doi.org/10.3390/electronics8020203
