A Novel SWB Antenna with Triple Band-Notches Based on Elliptical Slot and Rectangular Split Ring Resonators
Abstract
:1. Introduction
2. The Design of the SWB Antenna
3. Simulation and Measurements
3.1. The Proposed SWB Antenna
3.2. The RSRR
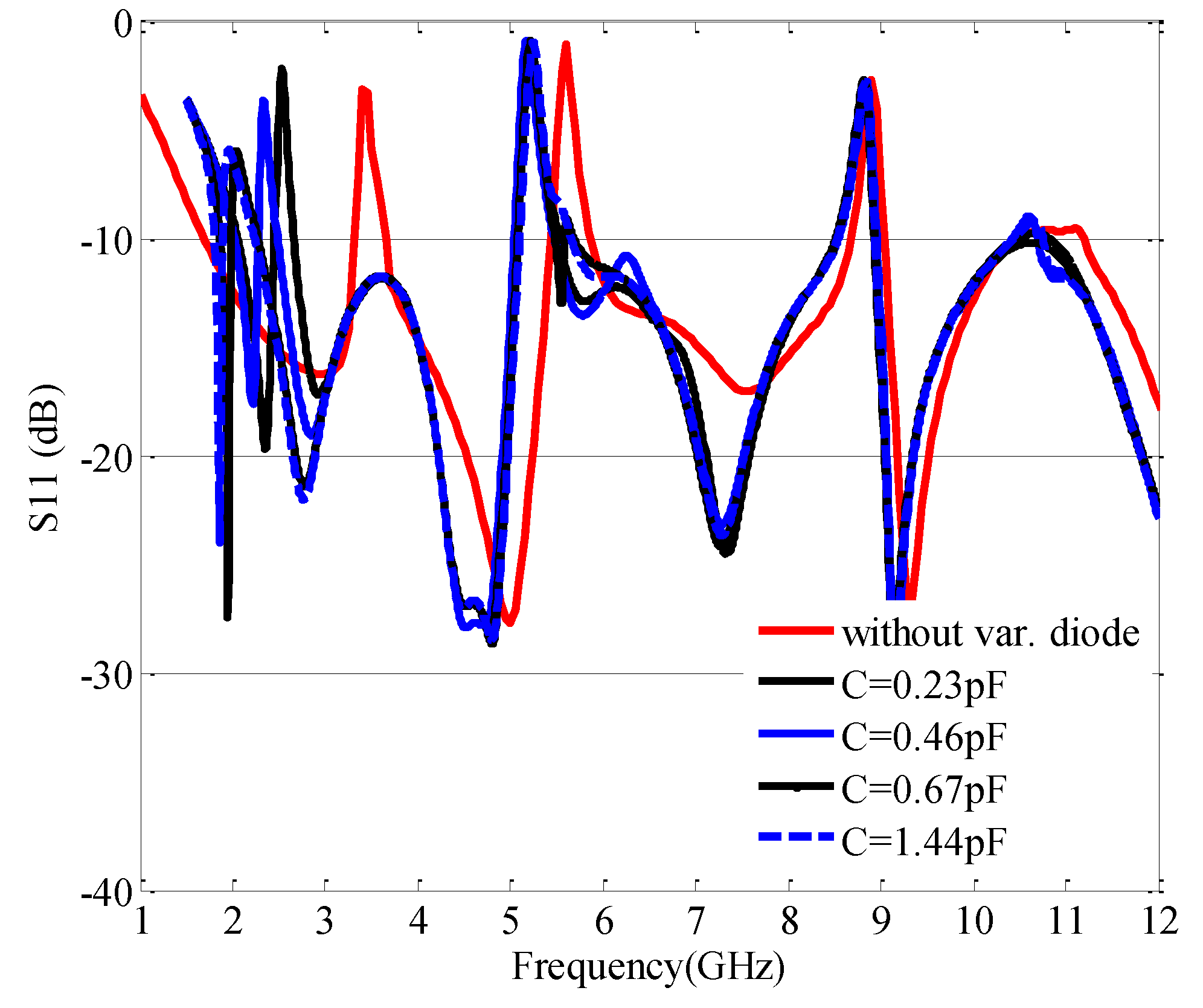
3.3. ESRR
3.4. The Gain, Current Distribution, and Pattern
4. Conclusions
Author Contributions
Funding
Acknowledgments
Conflicts of Interest
References
- Liu, J.; Esselle, K.P.; Member, S.; Hay, S.G.; Sun, Z. A Compact Super-Wideband Antenna Pair With Polarization Diversity. IEEE Antennas Wirel. Propag. Lett. 2013, 12, 1472–1475. [Google Scholar] [CrossRef]
- Barbarino, S.; Consoli, F. Study on Super-Wideband Planar Asymmetrical Dipole Antennas of Circular Shape. IEEE Trans. Antennas Propag. 2010, 58, 4074–4078. [Google Scholar] [CrossRef]
- Manohar, M.; Kshetrimayum, R.S.; Gogoi, A.K. Printed monopole antenna with tapered feed line, feed region and patch for super wideband applications. IET Microw. Antennas Propag. 2014, 8, 39–45. [Google Scholar] [CrossRef]
- Singhal, S.L.; Singh, A.K. CPW-fed octagonal super-wideband fractal antenna with defected ground structure. IET Microw. Antennas Propag. 2017, 11, 370–377. [Google Scholar] [CrossRef]
- Palaniswamy, S.K.; Kanagasabai, M.; Arun Kumar, S.; Alsath, M.G.N.; Velan, S.; Pakkathillam, J.K. Super wideband printed monopole antenna for ultra wideband applications. Int. J. Microw. Wirel. Technol. 2017, 9, 133–141. [Google Scholar] [CrossRef]
- Liu, J.; Esselle, K.P.; Hay, S.G.; Zhong, S.S. Study of an Extremely Wideband Monopole Antenna With Triple Band-Notched Characteristics. Prog. Electromagn. Res. 2012, 123, 143–158. [Google Scholar] [CrossRef]
- Yeo, J.; Lee, J.-I. Coupled-sectorial-loop antenna with circular sectors for superwide band application. Microw. Opt. Technol. Lett. 2014, 56, 1683–1689. [Google Scholar] [CrossRef]
- Azari, A. A New Super Wideband Fractal Microstrip Antenna. IEEE Trans. Antennas Propag. 2011, 59, 1724–1727. [Google Scholar] [CrossRef]
- Chen, K.R.; Sim, C.Y.D; Row, J.S. A Compact Monopole Antenna for SuperWideband Applications. IEEE Antennas Wirel. Propag. Lett. 2011, 10, 488–491. [Google Scholar] [CrossRef]
- Dong, Y.; Hong, W.; Liu, L.; Zhang, Y.; Kuai, Z. Performance analysis of a printed super-wideband antenna. Microw. Opt. Technol. Lett. 2009, 51, 949–956. [Google Scholar] [CrossRef]
- Siddiqui, J.Y.; Saha, C.; Antar, Y.M.M. Compact SRR loaded UWB circular monopole antenna with frequency notch characteristics. IEEE Trans. Antennas Propag. 2014, 62, 4015–4020. [Google Scholar] [CrossRef]
- Azim, R.; Mobashsher, A.T.; Islam, M.T. UWB antenna with notched band at 5.5 GHz. Electron. Lett. 2013, 49, 922–924. [Google Scholar] [CrossRef]
- Azim, R.M.; Islam, T.; Mobashsher, A.T. Dual band-notch UWB antenna with single tri-arm resonator. IEEE Antennas Wirel. Propag. Lett. 2014, 13, 670–673. [Google Scholar] [CrossRef]
- Zhang, C.; Zhang, J.; Li, L. Triple band-notched UWB antenna based on SIR-DGS and fork-shaped stubs. Electron. Lett. 2014, 50, 67–69. [Google Scholar] [CrossRef]
- Wang, J.; Wang, Z.; Yin, Y.; Liu, X. UWB Monopole Antenna with Triple Band-Notched Characteristic Based on a Pair of Novel Resonators. Prog. Electromagn. Res. C 2014, 49, 1–10. [Google Scholar] [CrossRef]
- Cai, Y.-Z.; Yang, H.-C.; Cai, L.-Y. Wideband Monopole Antenna With Three Band-Notched Characteristics. IEEE Antennas Wirel. Propag. Lett. 2014, 13, 607–610. [Google Scholar]
- Rahman, S.U.; Cao, Q.; Wang, Y.; Ullah, H. Design of wideband antenna with band notch characteristics based on single notching element. Int. J. RF Microw. Comput. Aided Eng. 2019, 29, e21541. [Google Scholar] [CrossRef]
- Rahman, S.U.; Cao, Q.; Li, Y.; Gil, I.; Yi, W. Design of tri-notched UWB antenna based on elliptical and circular ring resonators. Int. J. RF Microw. Comput. Aided Eng. 2019, 29, e21648. [Google Scholar] [CrossRef]
- Rahman, M.; Dong, K.; Jung, D.P. A Compact Multiple Notched Ultra-Wide Band Antenna with an Analysis of the CSRR-TO-CSRR Coupling for Portable UWB Applications. Sensors 2017, 17, 2174. [Google Scholar] [CrossRef]
- Almalkawi, M.J.; Devabhaktuni, V.K. Quad band-notched UWB antenna compatible with WiMAX/INSAT/lower–upper WLAN applications. Electron. Lett. 2011, 47, 1062–1063. [Google Scholar] [CrossRef]
- Rahman, M.; Park, J.D. The Smallest Form Factor UWB Antenna with Quintuple Rejection Bands for IoT Applications. Sensors 2018, 18, 911. [Google Scholar] [CrossRef] [PubMed]
- Mewaraa, H.S.; Jitendra, K.D.; Mahendra, M.S. A slot resonators based quintuple band-notched Y-shaped planar monopole ultra-wideband antenna. Int. J. Electron. Commun. 2018, 83, 470–478. [Google Scholar] [CrossRef]
- Shahsavari, H.; Nourinia, J.; Shirzad, H.; Shokri, M.; Asiaban, S.; Amiri, Zh.; Virdee, B. Compact planar super-wideband antenna with band-notched function. Appl. Comput. Electromagn. Soc. J. 2013, 28, 608–613. [Google Scholar]
- Manohar, M.; Kshetrimayum, R.S.; Gogoi, A.K. Super wideband antenna with single band suppression. Int. J. Microw. Wirel. Technol. 2017, 9, 143–150. [Google Scholar] [CrossRef]
- Abbas, A.S.; Abdelazeez, M.K. A dual band notch planar SWB antenna with two vertical sleeves on slotted ground plane. In Proceedings of the IEEE International Symposium on Antennas and Propagation (APSURSI), Fajardo, Puerto Rico, 26 June–1 July 2016 . [Google Scholar]
- Manohar, M.; Kshetrimayum, R.S.; Gogoi, A.K. A compact dual band-notched circular ring printed monopole antenna for super-wideband applications. Radioengineering 2017, 26, 64–70. [Google Scholar] [CrossRef]
- Ghafouri-Shiraz, H.; Rabbani, M.S. Simple methods for enhancing bandwidth of a rectangular microstrip patch antenna. In Proceedings of the 2nd IET Annual Active and Passive RF Devices Seminar, Birmingham, UK, 29 October 2014; pp. 1–4. [Google Scholar]
- Balanis, C.A. Antenna Theory: Analysis and Design, 3rd ed.; Hoboken, NJ, USA: John Wiley, 2005. [Google Scholar]
- Tang, M.; Ziolkowski, R.W.; Xiao, S. Compact Hyper-Band Printed Slot Antenna With Stable Radiation Properties. IEEE Trans. Antennas Propag. 2014, 62, 2962–2969. [Google Scholar] [CrossRef]
- Abhik, G.; Anirban, K.; Manimala, P.; Rowdra, G. A Cpw-Fed Propeller Shaped Monopole an- Tenna With Super Wideband Characteristics. Prog. Electromagn. Res. C 2013, 45, 125–135. [Google Scholar]
- Hakimi, S.; Rahim, K.A.; Abedian, M.; Noghabaei, S.M.; Khalily, M. CPW-Fed transparent antenna for extended ultrawideband applications. IEEE Antennas Wirel. Propag. Lett. 2014, 13, 1251–1254. [Google Scholar] [CrossRef]
- Mohammad, R.A.; Dorostkar, A.; Mohammad, T.I. Design of a novel super wide band circular-hexagonal fractal antenna. Prog. Electromagn. Res. 2013, 139, 229–245. [Google Scholar]
- Rahman, M.N.; Islam, M.T.; Mahmud, M.Z.; Samsuzzaman, M. Compact microstrip patch antenna proclaiming super wideband characteristics. Microw. Opt. Technol. Lett. 2017, 59, 2563–2570. [Google Scholar] [CrossRef]
- Singhal, S.; Singh, A.K. CPW-fed hexagonal Sierpinski super wideband fractal antenna. IET Microw. Antennas Propag. 2016, 10, 1–7. [Google Scholar] [CrossRef]
- Zhong, S.S.; Liu, J.; Hay, S.G.; Esselle, K.P. Compact super-wideband asymmetric monopole antenna with dual-branch feed for bandwidth enhancement. Electron. Lett. 2013, 49, 515–516. [Google Scholar]
- Srifi, M.N.; Mrabet, O.; Falcone, F.; Ayza, M.S.; Essaaidi, M.; Ghz, F. A Novel Compact Printed Circular Antenna For Very Ultrawideband Applications. Microw. Opt. Technol. Lett. 2009, 51, 1130–1133. [Google Scholar] [CrossRef]
- Shahu, B.L.; Pal, S.; Chattoraj, N. Design of Super Wideband Hexagonal-Shaped Fractal Antenna with Triangular Slot. Microw. Opt. Technol. Lett. 2015, 57, 1659–1662. [Google Scholar]
- Srifi, M.N.; Podilchak, S.K.; Essaaidi, M.; Antar, Y.M.M. Compact disc monopole antennas for current and future ultrawideband (UWB) applications. IEEE Trans. Antennas Propag. 2011, 59, 4470–4480. [Google Scholar] [CrossRef]
- Sarkar, D.; Srivastava, K.V.; Saurav, K. A compact microstrip-fed triple band-notched UWB monopole antenna. IEEE Antennas Wirel. Propag. Lett. 2014, 13, 396–399. [Google Scholar] [CrossRef]
















| Dimension | Value (mm) | Dimension | Value (mm) |
|---|---|---|---|
| Ws | 34.0 | Wc1 | 2.5 |
| W1 | 5.0 | Lc1 | 5.0 |
| W2 | 34.0 | Wc2 | 4.0 |
| Ws1 | 0.5 | Lc2 | 8.0 |
| Ws2 | 0.4 | W50 | 2.5 |
| Wg1 | 0.6 | ex | 7.0 |
| Wg2 | 0.6 | ey | 4.5 |
| Ls | 57 |
| Ref. | Dimension | BW:1 | %BW | BDR | Freq: Range (GHz) | Notch Function |
|---|---|---|---|---|---|---|
| [1] | 0.37λ × 0.34λ | 34.88 | 189.00 | 1502 | 0.86–30 | No |
| [2] | 0.36λ × 0.24λ | 22.10 | 183.00 | 2118 | 0.79–17.4 | No |
| [3] | 0.33λ × 0.25λ | 32.00 | 187.00 | 2286 | 2.5–80 | No |
| [7] | 0.45λ × 0.45λ | 19.40 | 180.00 | 889 | 1.00–19.4 | No |
| [8] | 2.0λ × 2.0λ | 5.00 | 133.00 | 33 | 10.00–50.00 | No |
| [9] | 0.37λ × 0.17λ | 13.06 | 172.00 | 2763 | 1.44–18.8 | No |
| [10] | 0.38λ × 0.36λ | 40.00 | 190.00 | 1389 | 0.72–18 | No |
| [29] | 0.30λ × 0.23λ | 9.80 | 163.00 | 2362. | 2.26–22.18 | No |
| [30] | 0.55λ × 0.38λ | 11.60 | 168.00 | 803 | 3.00–35 | No |
| [31] | 0.31λ × 0.46λ | 10.16 | 164.10 | 1102 | 3.15–32 | No |
| [32] | 0.33λ × 0.23λ | 20.40 | 181.30 | 2461.5 | 2.18–44.5 | No |
| [33] | 0.27λ × 0.18λ | 11.60 | 168.25 | 3462 | 2.5–29 | No |
| [34] | 0.32λ × 0.34λ | 11.00 | 166.67 | 1531.89 | 3.4–37.4 | No |
| [35] | 0.26λ × 0.28λ | 31.10 | 187.00 | 2569 | 1.06–32.7 | No |
| [36] | 0.31λ × .27λ | 10.67 | 166.00 | 1948 | 2.7–28.8 | No |
| [37] | 0.33λ × .20λ | 11.60 | 168.00 | 2386 | 3.0–35 | No |
| [38] | 0.41λ × 0.29λ | 10.11 | 166.66 | 1347.24 | 3.5–31 | No |
| Proposed | 0.16λ × 0.27λ | 35.21 | 189.00 | 4375 | 1.42–50 | Yes |
© 2019 by the authors. Licensee MDPI, Basel, Switzerland. This article is an open access article distributed under the terms and conditions of the Creative Commons Attribution (CC BY) license (http://creativecommons.org/licenses/by/4.0/).
Share and Cite
Zhang, X.; Ur Rahman, S.; Cao, Q.; Gil, I.; khan, M.I. A Novel SWB Antenna with Triple Band-Notches Based on Elliptical Slot and Rectangular Split Ring Resonators. Electronics 2019, 8, 202. https://doi.org/10.3390/electronics8020202
Zhang X, Ur Rahman S, Cao Q, Gil I, khan MI. A Novel SWB Antenna with Triple Band-Notches Based on Elliptical Slot and Rectangular Split Ring Resonators. Electronics. 2019; 8(2):202. https://doi.org/10.3390/electronics8020202
Chicago/Turabian StyleZhang, Xiaobo, Saeed Ur Rahman, Qunsheng Cao, Ignacio Gil, and Muhammad Irshad khan. 2019. "A Novel SWB Antenna with Triple Band-Notches Based on Elliptical Slot and Rectangular Split Ring Resonators" Electronics 8, no. 2: 202. https://doi.org/10.3390/electronics8020202
APA StyleZhang, X., Ur Rahman, S., Cao, Q., Gil, I., & khan, M. I. (2019). A Novel SWB Antenna with Triple Band-Notches Based on Elliptical Slot and Rectangular Split Ring Resonators. Electronics, 8(2), 202. https://doi.org/10.3390/electronics8020202

