Efficient Transmission-Based Human Behavior Recognition Algorithm
Abstract
1. Introduction
- The proposed KCS algorithm enhances compressed sensing performance by constructing an overcomplete sparse matrix through KSVD dictionary learning, which not only improves sparse representation fidelity but also facilitates efficient data transmission and enables effective temporal feature extraction in signal processing applications;
- A behavior recognition model based on a convolutional neural network (CNN) has been developed in order to ascertain the impact of compressing CSI data on sensing performance. The experimental results demonstrate that the behavior recognition system maintains optimal performance when the volume of CSI data is significantly reduced.
2. Related Work
3. Preliminaries
3.1. Channel State Information
3.2. Compressed Sensing
4. System Structure
4.1. Down-Sampling
4.2. CSI Data Compression
4.3. Dictionary Training
| Algorithm 1 KCS algorithm. |
| Input: CSI data Output: Sparse dictionary
|
4.4. CSI Data Reconstruction
| Algorithm 2 OMP algorithm. |
| Input: Sensing matrix , sampled vector Output: Sparse coefficient vector
|
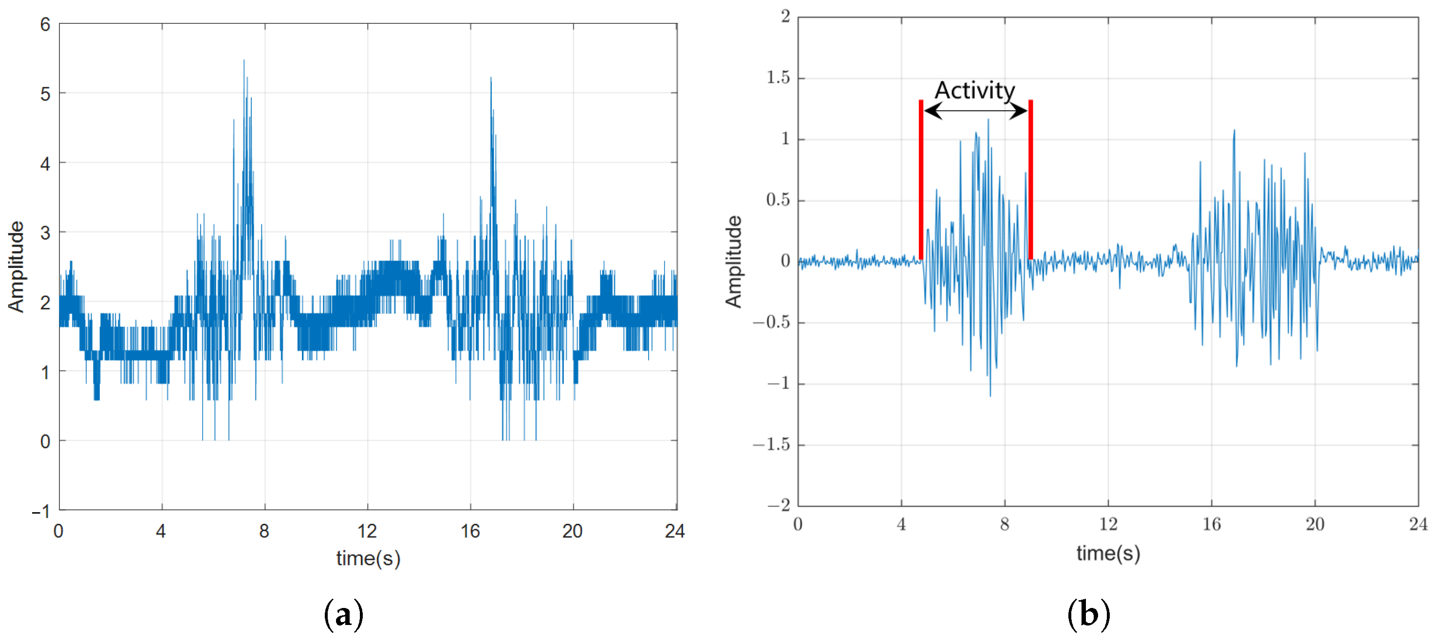
4.5. Behavior Recognition
4.6. Classification
| Algorithm 3 Segment algorithm. |
| Input: CSI data, sliding window size m, the number of activities N, and the threshold T Output: The starting and ending points of activities
|
5. Implementation
5.1. Experiment Setup
5.2. Experiment Scenarios and Data
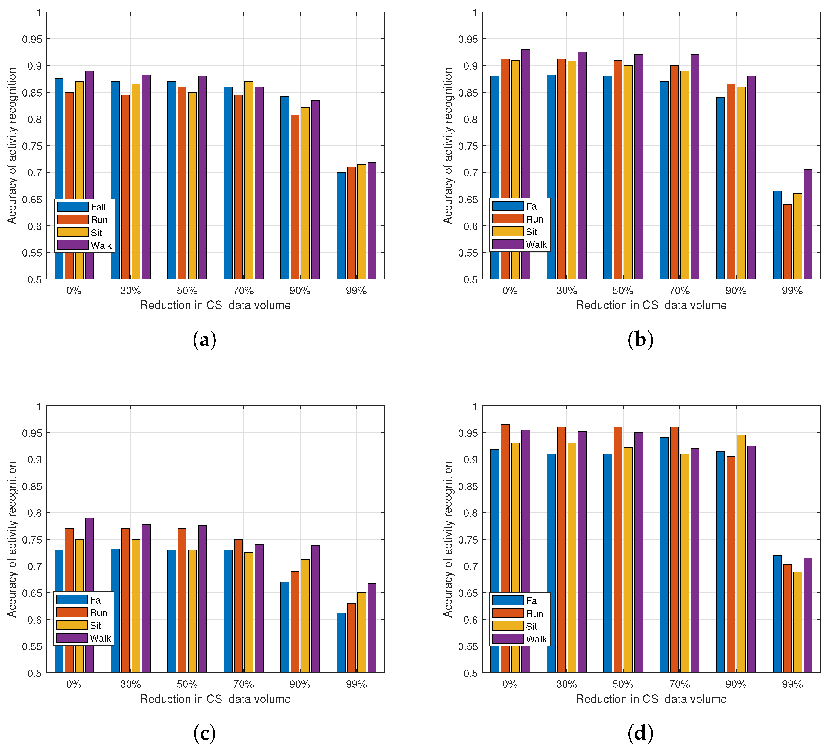
5.2.1. Impact of CSI Compression on Different Sparse Dictionaries in CS
5.2.2. Impact of Different Overcomplete Factors
5.2.3. Impact of Different CSI Compression Algorithms
5.2.4. Impact of CSI Compression for Activity Recognition
5.2.5. Impact of Different Classification Algorithms
5.2.6. Impact of Different Environment
6. Conclusions
Author Contributions
Funding
Data Availability Statement
Conflicts of Interest
References
- Ma, Y.; Zhou, G.; Wang, S. WiFi Sensing with Channel State Information: A Survey. ACM Comput. Surv. 2019, 52, 9500115. [Google Scholar] [CrossRef]
- Tang, C.; Sun, W.; Zhang, X.; Zheng, J.; Li, K.; Liu, J. An Efficient Wi-Fi-Vision Map Construction and Self-Maintenance Method for Indoor Localization. IEEE Trans. Instrum. Meas. 2024, 73, 1–15. [Google Scholar] [CrossRef]
- Yu, X.; Li, B.; Chen, J. WiFi-Enabled Gesture Recognition Using Attention-enhanced DenseNet. In Proceedings of the 2024 IEEE/CIC International Conference on Communications in China (ICCC), Hangzhou, China, 7–9 August 2024; pp. 1692–1697. [Google Scholar] [CrossRef]
- Jiao, W.; Zhang, C. An Efficient Human Activity Recognition System Using WiFi Channel State Information. IEEE Syst. J. 2023, 17, 6687–6690. [Google Scholar] [CrossRef]
- Lin, Y.; Yu, K.; Hao, L.; Wang, J.; Bu, J. An Indoor Wi-Fi Localization Algorithm Using Ranging Model Constructed with Transformed RSSI and BP Neural Network. IEEE Trans. Commun. 2022, 70, 2163–2177. [Google Scholar] [CrossRef]
- Muta, O.; Takata, K.; Noguchi, K.; Murakami, T.; Otsuki, S. Device-Free WLAN Based Indoor Localization Scheme with Spatially Concatenated CSI and Distributed Antennas. IEEE Trans. Veh. Technol. 2023, 72, 852–865. [Google Scholar] [CrossRef]
- Li, X.; Li, S.; Zhang, D.; Xiong, J.; Wang, Y.; Mei, H. Dynamic-MUSIC: Accurate device-free indoor localization. In Proceedings of the 2016 ACM International Joint Conference on Pervasive and Ubiquitous Computing, Heidelberg, Germany, 12–16 September 2016; UbiComp ’16. pp. 196–207. [Google Scholar] [CrossRef]
- Qian, K.; Wu, C.; Yang, Z.; Liu, Y.; Jamieson, K. Widar: Decimeter-Level Passive Tracking via Velocity Monitoring with Commodity Wi-Fi. In Proceedings of the 18th ACM International Symposium on Mobile Ad Hoc Networking and Computing, Chennai, India, 10–14 July 2017. Mobihoc ’17. [Google Scholar] [CrossRef]
- Zhang, T.; Song, T.; Chen, D.; Zhang, T.; Zhuang, J. WiGrus: A Wifi-Based Gesture Recognition System Using Software-Defined Radio. IEEE Access 2019, 7, 131102–131113. [Google Scholar] [CrossRef]
- Jang, S.; Han, M. Optimal MTU Selection for Maximizing Goodput in Wireless Networks. In Proceedings of the 2018 International Conference on Information and Communication Technology Convergence (ICTC), Jeju Island, Republic of Korea, 17–19 October 2018; pp. 1525–1527. [Google Scholar] [CrossRef]
- Roh, J.; Rao, B. Multiple antenna channels with partial channel state information at the transmitter. IEEE Trans. Wirel. Commun. 2004, 3, 677–688. [Google Scholar] [CrossRef]
- Pereira de Figueiredo, F.A. An Overview of Massive MIMO for 5G and 6G. IEEE Lat. Am. Trans. 2022, 20, 931–940. [Google Scholar] [CrossRef]
- Roh, J.C.; Rao, B. An efficient feedback method for MIMO systems with slowly time-varying channels. In Proceedings of the 2004 IEEE Wireless Communications and Networking Conference (IEEE Cat. No.04TH8733), Atlanta, GA, USA, 21–25 March 2004; Volume 2, pp. 760–764. [Google Scholar] [CrossRef]
- Chang, J.; Lu, I.T.; Li, Y. Efficient Adaptive Double Codebook Based CSI Prediction for SU/MU MIMO-OFDM Systems. In Proceedings of the 2011 IEEE Global Telecommunications Conference—GLOBECOM 2011, Houston, TX, USA, 5–9 December 2011; pp. 1–6. [Google Scholar] [CrossRef]
- Mukherjee, A.; Zhang, Z. Channel State Information Compression for MIMO Systems Based on Curve Fitting. In Proceedings of the 2016 13th Annual IEEE International Conference on Sensing, Communication, and Networking (SECON), London, UK, 27–30 June 2016; pp. 1–9. [Google Scholar] [CrossRef]
- Mukherjee, A.; Zhang, Z. Fast Compression of OFDM Channel State Information with Constant Frequency Sinusoidal Approximation. In Proceedings of the GLOBECOM 2017—2017 IEEE Global Communications Conference, Singapore, 4–8 December 2017; pp. 1–7. [Google Scholar] [CrossRef]
- Sharifi, E.; Feghhi, M.M.; Azarnia, G.; Nouri, S.; Lee, D.; Piran, M.J. Channel Estimation Based on Compressed Sensing for Massive MIMO Systems with Lens Antenna Array. IEEE Access 2023, 11, 79016–79032. [Google Scholar] [CrossRef]
- Tropp, J.A.; Gilbert, A.C. Signal Recovery From Random Measurements Via Orthogonal Matching Pursuit. IEEE Trans. Inf. Theory 2007, 53, 4655–4666. [Google Scholar] [CrossRef]
- Kuo, P.H.; Kung, H.T.; Ting, P.A. Compressive sensing based channel feedback protocols for spatially-correlated massive antenna arrays. In Proceedings of the 2012 IEEE Wireless Communications and Networking Conference (WCNC), Paris, France, 1–4 April 2012; pp. 492–497. [Google Scholar] [CrossRef]
- Zeng, W.; He, Y.; Li, B.; Wang, S. Sparsity Learning-Based CSI Feedback for FDD Massive MIMO Systems. IEEE Wirel. Commun. Lett. 2021, 10, 585–588. [Google Scholar] [CrossRef]
- Rao, X.; Ruan, L.; Lau, V.K.N. CSI Feedback Reduction for MIMO Interference Alignment. IEEE Trans. Signal Process. 2013, 61, 4428–4437. [Google Scholar] [CrossRef]
- Hao, D.; Ge, J. An Improved Codebook Design for Precoding in MIMO System. In Proceedings of the 2008 4th International Conference on Wireless Communications, Networking and Mobile Computing, Dalian, China, 12–17 October 2008; pp. 1–4. [Google Scholar] [CrossRef]
- Gil Jiménez, V.P.; Eriksson, T.; García Armada, A.; Fernández-Getino García, M.J.; Ottosson, T.; Svensson, A. Methods for Compression of Feedback in Adaptive Multi-carrier 4G Schemes. Wirel. Pers. Commun. 2008, 47, 101–112. [Google Scholar] [CrossRef]
- Luo, C.; Ji, J.; Wang, Q.; Chen, X.; Li, P. Channel State Information Prediction for 5G Wireless Communications: A Deep Learning Approach. IEEE Trans. Netw. Sci. Eng. 2020, 7, 227–236. [Google Scholar] [CrossRef]
- Han, Y.; Lee, J.; Love, D.J. Compressed Sensing-Aided Downlink Channel Training for FDD Massive MIMO Systems. IEEE Trans. Commun. 2017, 65, 2852–2862. [Google Scholar] [CrossRef]
- Halperin, D.; Hu, W.; Sheth, A.; Wetherall, D. 802.11 with multiple antennas for dummies. Sigcomm Comput. Commun. Rev. 2010, 40, 19–25. [Google Scholar] [CrossRef]
- Gjengset, J.; Xiong, J.; McPhillips, G.; Jamieson, K. Phaser: Enabling Phased Array Signal Processing on Commodity Wi-Fi Access Points. GetMobile Mob. Comput. Commun. 2015, 19, 6–9. [Google Scholar] [CrossRef]
- Halperin, D.; Hu, W.; Sheth, A.; Wetherall, D. Predictable 802.11 packet delivery from wireless channel measurements. Sigcomm Comput. Commun. Rev. 2010, 40, 159–170. [Google Scholar] [CrossRef]
- Xie, Y.; Li, Z.; Li, M. Precise Power Delay Profiling with Commodity Wi-Fi. IEEE Trans. Mob. Comput. 2019, 18, 1342–1355. [Google Scholar] [CrossRef]
- Gringoli, F.; Schulz, M.; Link, J.; Hollick, M. Free Your CSI: A Channel State Information Extraction Platform For Modern Wi-Fi Chipsets. In Proceedings of the 13th International Workshop on Wireless Network Testbeds, Experimental Evaluation & Characterization, Los Cabos, Mexico, 25 October 2019; WiNTECH ’19. pp. 21–28. [Google Scholar] [CrossRef]
- Wang, Z.; Guo, B.; Yu, Z.; Zhou, X. Wi-Fi CSI-Based Behavior Recognition: From Signals and Actions to Activities. IEEE Commun. Mag. 2018, 56, 109–115. [Google Scholar] [CrossRef]
- Chen, L.; Chen, X.; Ni, L.; Peng, Y.; Fang, D. Human Behavior Recognition Using Wi-Fi CSI: Challenges and Opportunities. IEEE Commun. Mag. 2017, 55, 112–117. [Google Scholar] [CrossRef]
- Candes, E.J.; Wakin, M.B. An Introduction To Compressive Sampling. IEEE Signal Process. Mag. 2008, 25, 21–30. [Google Scholar] [CrossRef]
- Candès, E. The restricted isometry property and its implications for compressed sensing. Compte Rendus De l’Academie Des Sci. 2008, 346, 589–592. [Google Scholar] [CrossRef]
- Xiao, C.; Lei, Y.; Ma, Y.; Zhou, F.; Qin, Z. DeepSeg: Deep-Learning-Based Activity Segmentation Framework for Activity Recognition Using WiFi. IEEE Internet Things J. 2021, 8, 5669–5681. [Google Scholar] [CrossRef]
- Qian, K.; Wu, C.; Zhang, Y.; Zhang, G.; Yang, Z.; Liu, Y. Widar2.0: Passive Human Tracking with a Single Wi-Fi Link. In Proceedings of the 16th Annual International Conference on Mobile Systems, Applications, and Services, Munich, Germany, 10–15 June 2018; MobiSys ’18. pp. 350–361. [Google Scholar] [CrossRef]
- Candes, E.; Tao, T. Decoding by linear programming. IEEE Trans. Inf. Theory 2005, 51, 4203–4215. [Google Scholar] [CrossRef]
- Mohimani, H.; Babaie-Zadeh, M.; Jutten, C. A Fast Approach for Overcomplete Sparse Decomposition Based on Smoothed ℓ0 Norm. IEEE Trans. Signal Process. 2009, 57, 289–301. [Google Scholar] [CrossRef]
- Cai, T.T.; Wang, L. Orthogonal Matching Pursuit for Sparse Signal Recovery with Noise. IEEE Trans. Inf. Theory 2011, 57, 4680–4688. [Google Scholar] [CrossRef]
- Liu, H.; Zhang, C.; Deng, Y.; Liu, T.; Zhang, Z.; Li, Y.F. Orientation Cues-Aware Facial Relationship Representation for Head Pose Estimation via Transformer. IEEE Trans. Image Process. 2023, 32, 6289–6302. [Google Scholar] [CrossRef]
- Liu, H.; Zhang, C.; Deng, Y.; Xie, B.; Liu, T.; Li, Y.F. TransIFC: Invariant Cues-Aware Feature Concentration Learning for Efficient Fine-Grained Bird Image Classification. IEEE Trans. Multimed. 2025, 27, 1677–1690. [Google Scholar] [CrossRef]
- Liu, H.; Zhou, Q.; Zhang, C.; Zhu, J.; Liu, T.; Zhang, Z.; Li, Y.F. MMATrans: Muscle Movement Aware Representation Learning for Facial Expression Recognition via Transformers. IEEE Trans. Ind. Inform. 2024, 20, 13753–13764. [Google Scholar] [CrossRef]
- Guo, L.; Wang, L.; Liu, J.; Zhou, W.; Lu, B.; Zhang, K. HuAc: Human Activity Recognition Using Crowdsourced WiFi Signals and Skeleton Data. Wirel. Commun. Mob. Comput. 2018, 2018, 6163475. [Google Scholar] [CrossRef]
- Albawi, S.; Mohammed, T.A.; Al-Zawi, S. Understanding of a convolutional neural network. In Proceedings of the 2017 International Conference on Engineering and Technology (ICET), Antalya, Turkey, 21–23 August 2017; pp. 1–6. [Google Scholar] [CrossRef]
- Liu, T.; Liu, H.; Yang, B.; Zhang, Z. LDCNet: Limb Direction Cues-Aware Network for Flexible HPE in Industrial Behavioral Biometrics Systems. IEEE Trans. Ind. Inform. 2024, 20, 8068–8078. [Google Scholar] [CrossRef]
- Liu, H.; Liu, T.; Chen, Y.; Zhang, Z.; Li, Y.F. EHPE: Skeleton Cues-Based Gaussian Coordinate Encoding for Efficient Human Pose Estimation. IEEE Trans. Multimed. 2024, 26, 8464–8475. [Google Scholar] [CrossRef]
- Liu, H.; Liu, T.; Zhang, Z.; Sangaiah, A.K.; Yang, B.; Li, Y. ARHPE: Asymmetric Relation-Aware Representation Learning for Head Pose Estimation in Industrial Human–Computer Interaction. IEEE Trans. Ind. Inform. 2022, 18, 7107–7117. [Google Scholar] [CrossRef]












| No. | Operation | Configuration |
|---|---|---|
| 1 | Input | 100 × 30 × 3 (window × subcarriers × antennas) |
| 2 | Dropout | 0.3 |
| 3 | Conv | Kernel = 3 × 3 Stride = 1 × 1 FM = 32 BN IReLU |
| 4 | Conv | Kernel = 3 × 3 Stride = 1 × 1 FM = 32 BN IReLU |
| 5 | Dropout | 0.3 |
| 6 | Pooling | Kernel = 2 × 2 Stride = 2 × 2 averagePooling |
| 7 | Conv | Kernel = 3 × 3 Stride = 4 × 2 FM = 64 BN IReLU |
| 8 | Conv | Kernel = 3 × 3 Stride = 4 × 2 FM = 64 BN IReLU |
| 9 | Dropout | 0.5 |
| 10 | Pooling | Kernel = 2 × 2 Stride = 2 × 2 averagePooling |
| 11 | Conv | Kernel = 3 × 3 Stride = 4 × 2 FM = 128 BN IReLU |
| 12 | Conv | Kernel = 3 × 3 Stride = 4 × 2 FM = 128 BN IReLU |
| 13 | Fc | 10 |
| 14 | Fc | 4 |
Disclaimer/Publisher’s Note: The statements, opinions and data contained in all publications are solely those of the individual author(s) and contributor(s) and not of MDPI and/or the editor(s). MDPI and/or the editor(s) disclaim responsibility for any injury to people or property resulting from any ideas, methods, instructions or products referred to in the content. |
© 2025 by the authors. Licensee MDPI, Basel, Switzerland. This article is an open access article distributed under the terms and conditions of the Creative Commons Attribution (CC BY) license (https://creativecommons.org/licenses/by/4.0/).
Share and Cite
Tong, R.; Zheng, P.; Yao, Y.; Gu, N.; Zhao, S.; Guan, K.; Wang, X.; Yang, X. Efficient Transmission-Based Human Behavior Recognition Algorithm. Electronics 2025, 14, 1727. https://doi.org/10.3390/electronics14091727
Tong R, Zheng P, Yao Y, Gu N, Zhao S, Guan K, Wang X, Yang X. Efficient Transmission-Based Human Behavior Recognition Algorithm. Electronics. 2025; 14(9):1727. https://doi.org/10.3390/electronics14091727
Chicago/Turabian StyleTong, Ruixuan, Peng Zheng, Yuan Yao, Ninglun Gu, Shaowei Zhao, Kai Guan, Xiaolong Wang, and Xiaolong Yang. 2025. "Efficient Transmission-Based Human Behavior Recognition Algorithm" Electronics 14, no. 9: 1727. https://doi.org/10.3390/electronics14091727
APA StyleTong, R., Zheng, P., Yao, Y., Gu, N., Zhao, S., Guan, K., Wang, X., & Yang, X. (2025). Efficient Transmission-Based Human Behavior Recognition Algorithm. Electronics, 14(9), 1727. https://doi.org/10.3390/electronics14091727

