You are currently viewing a new version of our website. To view the old version click .
Electronics
  • Article
  • Open Access

27 March 2025

Dual-Frequency Common-Cable Waveguide Slot Satellite Communication Antenna

,
,
and
1
School of Electrical Engineering, Naval University of Engineering, Wuhan 430033, China
2
Unit 91715, Guangzhou 510080, China
*
Author to whom correspondence should be addressed.
This article belongs to the Section Microwave and Wireless Communications

Abstract

A marine cable-conformal dual-band omnidirectional circularly polarized waveguide slot antenna is proposed for L/S-band (1.59–1.84 GHz/2.48–2.55 GHz) maritime satellite systems. Axially symmetric X-shaped slots enable dual-band operation with 14.6% impedance bandwidth (L-band) and axial ratio < 3 dB. A three-stage tapered coaxial feeding network achieves efficient matching (|S11| < −10 dB) across a BeiDou-1 uplink (1.61–1.6265 GHz) and downlink (2.4835–2.5 GHz), delivering 4.1 dBi peak omnidirectional gain at 1.6 GHz. The compact design (radial dimension ≤ 0.25λ) offers robust performance in harsh marine environments with integrated wideband, high-gain, and conformal capabilities.

1. Introduction

Microwave signals operating in the L/S bands (1–4 GHz) have been prioritized for maritime satellite communication systems due to their low-elevation transmission stability and strong diffraction characteristics [1,2,3]. This frequency regime not only suppresses multipath fading through omnidirectional coverage but also enables shipborne mobile terminals to achieve three critical functionalities: (1) robust LEO satellite signal acquisition, (2) dynamic Doppler shift compensation [4], and (3) integrated navigation enhancement services exemplified by BeiDou short message communication. As the critical component of communication links, antenna performance directly determines system stability. Circularly polarized waveguide slot antennas [5,6,7] have emerged as a research focus owing to their structural reconfigurability and simplified feeding networks.
Conventional designs predominantly employ rectangular configurations. As reported in [8], a single-cavity dual-mode structure achieves an axial ratio ≤ 3 dB through prism-isolated multimode resonance and X-shaped slot implementation. However, the inherent asymmetric current distribution along the rectangular waveguide edges induces transverse field phase mismatch, resulting in a significant E-H plane beamwidth discrepancy (>15° typical) that restricts applications to directional scenarios [9]. In contrast, circular waveguides inherently ensure field uniformity in omnidirectional radiation patterns through their axisymmetric geometry.
Circular waveguide slot antennas have evolved into diversified configurations through decades of development [10,11]. Early work in [12] realized circular polarization via orthogonally etched slots on cylindrical cavities through parametric optimization of slot dimensions, spacing, and tilt angles, yet suffered from a narrow impedance matching bandwidth (<5%) and limited multiband integration capability. The cross-slot design in [13] achieved dual-band omnidirectional radiation at the expense of a deteriorated axial ratio (>6 dB) and narrowed half-power beamwidth (<60°) due to a dense array configuration. Although [14] implemented dual-band circular polarization using choked grooves with inclined slots, the design exhibited limited maximum gain (<2 dBi) and 30% lateral size expansion, failing to meet the spatial constraints of marine installations.
To address the inherent limitations of conventional waveguide slot antennas and meet practical application requirements, this work proposes a novel marine cable-conformal satellite communication antenna based on circular waveguide technology. The proposed architecture incorporates an integrated X-shaped slot radiator with a three-stage coaxial impedance matching network, enabling omnidirectional circularly polarized radiation and dual-band operation. Through meticulous optimization of the slot configuration and matching network dimensions, the antenna achieved a 14.5% improvement in impedance bandwidth (1.61–1.85 GHz L-band) with a peak realized gain of 4.1 dBi. The operational bandwidth fully covers both the uplink (1610–1625.5 MHz) and downlink (2483.5–2500 MHz) frequency specifications mandated by the BeiDou-1 satellite navigation system. Experimental results demonstrated stable radiation patterns with axial ratios below 3 dB across the entire azimuth plane, validating the effectiveness of the X-slot configuration in generating symmetric circular polarization characteristics. This compact design ensures spatial compatibility with submarine cable infrastructure while maintaining satisfactory radiation performance, offering a viable solution for integrated marine communication systems requiring robust satellite links.

2. Antenna Design Theory

2.1. Omnidirectional Circular Polarization Analysis

The radiation slots of the omnidirectional circularly polarized (CP) antenna are illustrated in Figure 1. In the antenna design, radiation is achieved through a pair of X-shaped slots arranged in 180° rotational mirror symmetry around the central axis of the circular waveguide. These slots are oriented with an angular separation α of 45°, and their close proximity enables an approximation of 360° omnidirectional radiation coverage. According to the operating principles of slot antennas, the slots act as equivalent magnetic current sources when excited. The effective length of such slots is typically defined as the vertical projection relative to the feeding direction. Consequently, the slot length in this design is optimized to half the operating wavelength [15], ensuring impedance matching and efficient radiation. The mechanism of circular polarization generation is shown in the following diagram:
Figure 1. Schematic diagram of electric field vector and parameter of X-shaped gap.
Assuming that the total radiated electric field of the two gaps is E , the electric field radiated by the first gap is E 1 , and the electric field radiated by the second gap is E 2 , then the relationship between the radiated electric field of the two gaps and the total electric field is:
E = E 1 + E 2 = E z a z + E y a y
Assuming E z amplitude z ^ ( z ^ > 0), E y amplitude y ^ ( y ^ > 0), and E y is equal to the phase of E z , but because the center point of the two gaps is the same, the angle deviation of the physical direction φ ( φ = 90 ) . Formula (1) can be written as:
E = z ^ a z e j k x + y ^ a y e j k x e j φ
Its instantaneous expression is:
E ( x , t ) = z ^ cos ( ω t k x ) a z + y ^ cos ( ω t k x + φ ) a y
Among:
E z ( x , t ) = z ^ cos ( ω t k x ) E y ( x , t ) = y ^ cos ( ω t k x + φ )
At x = 0 , assume the amplitude of the radiated electric field of the two gaps z ^ = y ^ = A :
E z ( x , t ) z ^ 2 + E y ( x , t ) y ^ 2 2 E z ( x , t ) E y ( x , t ) z ^ y ^ cos φ = sin 2 φ
The physical angles of the two slots are known as φ = 90 :
E z ( x , t ) 2 + E y ( x , t ) 2 = A 2
Benefiting from the symmetric configuration of the X-shaped slots, the balance between two orthogonal radiating components can be maintained by optimizing their slot positions and spacing z ^ = y ^ = A , thereby generating circularly polarized (CP) waves. Furthermore, the X-shaped slot design enables dual-CP characteristics (i.e., simultaneous left-handed and right-handed circular polarization), providing identical transmit/receive performance for both polarization senses. This capability enhances adaptability to complex electromagnetic environments, such as multipath interference or polarization-mismatched scenarios in satellite communications.

2.2. Overall Impedance Matching of the Antenna

The impedance matching diagram of the overall structure of the antenna is shown in Figure 2. The conical line is directly connected to the three coaxial matching sections through the 50 ΩSMA interface, and the radiation unit is finally connected to achieve better impedance matching.
Figure 2. Overall impedance of the antenna: (a) Schematic diagram of coaxial cascade (b) Schematic diagram of overall impedance matching of the antenna.
The characteristic impedance of the middle three coaxial segments is transformed by the impedance of the transmission line:
Z i n = Z c Z + j Z c tan β L Z c + j Z tan β L = R i n ( z ) + j X i n ( z )
The partial impedance of the radiation element Z f can be obtained by calculating the coaxial waveguide impedance formula:
Z f = 138 ε log 10 D d
where ε is the dielectric constant of the filling medium; D is the diameter of the outer conductor; and d is the outer diameter of the inner conductor, that is, the diameter of the coaxial segment.

3. Antenna Structure Design

The designed antenna structure is shown in Figure 3. Figure 3a represents the bottom outline of the antenna, Figure 3b represents the main view of the overall structure of the antenna, and Figure 3c represents the structure diagram of the internal coaxial structure. The antenna is a circular polarization omnidirectional antenna designed based on the main structure composed of a circular waveguide and a truncated cavity. The packing material between the inner and outer conductors is polytetrafluoroethylene, whose relative dielectric constant and the overall wall thickness of the waveguide t = 2 mm. The whole antenna structure can be divided into three parts, namely, the X-shaped radiation unit, the stepped coaxial matching section and the conical line feeding section. The length and width of the X-shaped radiation unit correspond to the parameters H and W, respectively, in Figure 1. Based on the coaxial line transmission impedance theory, three sections of coaxial impedance with different characteristics were designed to achieve impedance transition and reduce signal attenuation. The conical line feed part uses a flat truncate to connect the SMA interface to the impedance matching section, so that the small size feed port is connected to the large matching section without changing the impedance, and the loss caused by the size change is reduced. The structural dimension parameters of each part are shown in Table 1:
Figure 3. Schematic diagram of the omnidirectional CP antenna: (a) side view of the antenna; (b) schematic diagram of the main body of the antenna; (c) schematic diagram of the coaxial structure.
Table 1. Optimized parameters of omnidirectional antenna.

4. Optimal Design and Simulation of Antenna

The establishment of the antenna model and simulation test were carried out in the electromagnetic software. The basic function of the antenna is to achieve low impedance and axial ratio bandwidth in the upstream and downstream frequency band of BeiDou-1, limited by the shape of the gap (that is, the coupling between the X-shaped gap and the influence of the surface on its amplitude), and the electric field value strength of the two radiation gaps z ^ y ^ , that is, the circular polarization can only be achieved by optimizing the mutual coupling between the radiation field and the gap unit in the waveguide.
Since the coaxial end of the feed is connected to the waveguide wall, forming a short-circuit structure, the X-shaped gap is treated with a cutting angle at the end of the antenna, which can optimize the impedance at the end of the antenna, so that the coaxial line of the shorted end is equivalent to an impedance matching device under the action of the X-shaped gap at the cutting angle, further reducing the reflection of the end signal and preventing the formation of standing waves [15]. During the antenna simulation testing, a comprehensive comparison was conducted between the corner-truncated and non-truncated models in terms of axial ratio (AR) performance, as illustrated in Figure 4a. The upper-left corner presents a comparative schematic of the two simulation configurations. The truncated design demonstrates AR values approaching 3 dB within both 1.6–1.62 GHz and 2.4–2.5 GHz bands, with the yellow-shaded regions (1.59–1.62 GHz and 2.4–2.5 GHz) effectively covering the predetermined operational frequency bands. To intuitively demonstrate the AR characteristics in uplink/downlink frequency ranges, magnified views of the truncated model’s corresponding bands are provided in subfigures (b) and (c). Comparative analysis reveals that the truncated configuration exhibits significantly mitigated performance degradation relative to the non-truncated counterpart, achieving superior circular polarization characteristics. This improvement is particularly evident through reduced AR fluctuations and enhanced stability across targeted spectral regions, confirming the efficacy of corner truncation in optimizing polarization purity for dual-band antenna operation.
Figure 4. Comparison of tangential axis ratio at the end of the gap: (a) Comparison at 1.4–2.8 GHz; (b) non-equidistant axis ratio at 1.56–1.64 GHz; (c) non-equidistant axis ratio at 2.36–2.54 GHz.
In order to further understand the electric field distribution around the gap, assuming a period of T and a phase of 360 deg, the electric field distribution around the gap at 0, T/4, T/2 and 3T/4 is shown in Figure 5, which shows the specific process of radiating circularly polarized waves. The electric field is opposite at 0 and T/4, and at T/2 and 3T/4.
Figure 5. Distribution of electric field on the surface of mirror symmetric slit with time: (a) 0; (b) T/4; (c) T/2; (d) 3T/4.
Based on the principles of antenna array design, equidistant spacing of array elements (typically half-wavelength) was conventionally adopted to ensure in-phase radiation from the slot elements. However, in this design, the corner-truncated slots at the array terminals alter the radiation environment, necessitating a deviation from the strict half-wavelength spacing criterion. Additionally, due to the polytetrafluoroethylene (PTFE) filling between the inner and outer conductors, the effective inter-element spacing was reduced to 70% of the original design. To mitigate transmission line losses in the L- and S-bands, which cause progressive power attenuation along the coaxial feed, the element spacing was judiciously optimized to enhance radiation performance. Figure 6 compares the reflection coefficient (S11) of two configurations, an equidistant array (element spacing = 65 mm, corresponding to a half-wavelength at the target frequency) with a non-equidistant array (terminal-to-middle element spacing H2 = 65 mm and adjacent spacing H3 = 75 mm).
Figure 6. Comparison of reflection coefficient between equidistant and non-equidistant.
Both configurations achieved |S11| ≤ −10 dB over 1.61–1.6265 GHz. However, the equidistant array failed to cover the S-band operational range (2.4835–2.5 GHz) and exhibited a narrower impedance bandwidth in the L-band compared to the non-equidistant design, which fully satisfied the predefined specifications. Critically, the non-equidistant array successfully covered both the uplink and downlink frequency bands of the BeiDou-1 navigation system, demonstrating superior adaptability.

5. Antenna Processing and Testing

The simulated antenna in Figure 3 was fabricated into a physical prototype. To address the wide slot dimensions and small waveguide diameter, the cavity material was changed from an aluminum alloy to stainless steel to enhance its structural rigidity. Considering the harsh marine environment’s impact on communication performance, a corrosion-resistant fiberglass-reinforced polymer (FRP) radome was integrated into the housing. This radome ensures excellent electromagnetic transparency while prolonging the antenna’s operational lifespan. The radome covers both the slot radiation region and impedance matching section, with additional potting encapsulation applied to seal critical components. The housing structure employs riveted connections between the feeding port and impedance matching section, as detailed in Figure 7.
Figure 7. Physical diagram of the antenna: (a) description of the structure of the object; (b) Side view of the antenna when the FRP cover is added; (c) comparison of the gap of the antenna; (d) feed port picture.
The antenna was connected to a vector network analyzer to obtain the parameters |S11|. The axial ratio and direction pattern of the antenna were tested in a microwave darkroom, and the simulation and measured data of the antenna in the 1.4–2.8 GHz band were obtained, as shown in Figure 8. Among them, the measured S11 of the antenna is roughly consistent with the simulation data, and the measured antenna data are shown in Figure 8a. The range of |S11| ≤ −10 dB is 1.59–1.84 GHz and 2.48–2.55 GHz, both of which include the upstream and downstream frequency bands of BeiDou-1.
Figure 8. Antenna simulation |S11| data: (a) data diagram; (b) field diagram.
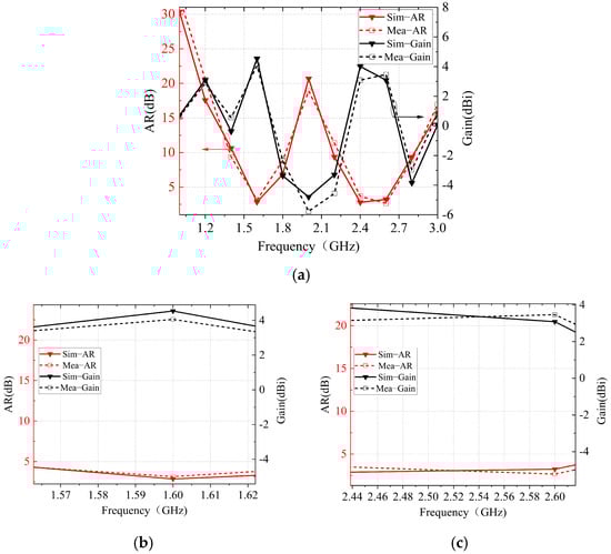
Figure 9 shows the ratio of the measured gain to the axis of the antenna. It can be seen that the measured gain of the antenna is slightly lower than the simulation result. The maximum gain at 1.6 GHz is 4.1 dBi, and the measured axis ratio of the antenna at 1.60–1.62 GHz and 2.4–2.5 GHz is slightly equal to 3 dB, which is in high coincidence with the simulation result.
Figure 9. Comparison data of measured axial ratio and gain of the antenna: (a) 1–3 GHz; (b) 1.56–1.62 GHz; (c) 2.44–2.62 GHz.
Figure 10 and Figure 11 show the left-right circular polarization gain of the antenna at 1.62 GHz and 2.49 GHz, respectively. It can be found that the measured right-right circular polarization gain of the antenna at the two frequency points has a higher coincidence degree with the simulated gain, and it has good omnidirectional radiation characteristics. The main reason for the actual field distribution being different from the simulation environment is the different materials used for the antenna feed end and the radiation end at the riveting joint. The second reason for the difference is the limitation of the dimensional accuracy of the antenna gap during processing.
Figure 10. Polarization gain of the antenna at 1.62 GHz (a) XOZ (b) YOZ.
Figure 11. Polarization gain of the antenna at 2.49 GHz (a) XOZ (b) YOZ.
The dual-band operation of the antenna arises from the superposition of multiple design factors. During simulation, the frequency sweep was conducted over 1.4–2.8 GHz. When calculating the cascaded coaxial impedance using Equation (7), only the resonant frequencies at 1.62 GHz (L-band) and 2.49 GHz (S-band) were prioritized, while impedance matching across the intermediate frequency range was not rigorously addressed. Furthermore, structural discontinuities between the tapered line segments, cascaded coaxial sections, and the coaxial feed of the rear radiating unit induce uneven field distribution within the waveguide cavity [10]. This configuration suppresses the impact of higher-order modes (e.g., TE21, TM11) on the fundamental TE11 and TM01 modes in the L-band. Finally, fine-tuning of the inter-element spacing was implemented to optimize both resonant frequencies, achieving wideband operation across the target bands.
As demonstrated in Table 2, the performance comparison between the proposed waveguide slot antenna and previous designs with a similar architecture revealed the following characteristics: Compared with the directional rectangular slot antenna with radiation pattern optimization in Ref. [8], the current design exhibits a measurable gain discrepancy (ΔG = 1.2 dBi) within the operational bandwidth, while maintaining comparable impedance matching characteristics (ΔBW = 0.4%, |S11| < −10 dB). When benchmarked against the omnidirectional radiator in Ref. [14], a 5 dBi improvement in 3D pattern uniformity was achieved, albeit with a 1.8% reduction in impedance bandwidth (BW = 4.7% vs. 6.5%). For directional radiators, although Ref. [16] (ΔG = −0.7 dBi, ΔBW = −1.8%) and Ref. [17] (ΔG = −3.7 dBi) demonstrate superior main lobe gain, their beam scanning capabilities are constrained by limited angular coverage. Notably, the proposed design showed significant broadband advantages, achieving 12.8% wider impedance bandwidth (BW = 4.7% vs. 3.9%) and 4.3 dBi higher omnidirectional gain compared to the narrowband resonant structure in Ref. [18]. In addition, according to the principle analysis of decreasing the operating frequency band and increasing the antenna size, the operating frequency band of other designs is higher than the antenna proposed in this paper, and this design has certain advantages in size. These results validate the comprehensive performance advantages of the proposed antenna in broadband matching and omnidirectional radiation, highlighting its potential for practical engineering applications.
Table 2. Comparison of characteristics of several antennas.

6. Conclusions

A satellite communication antenna based on a waveguide slot antenna was designed to realize dual-frequency circular-polarized radiation through an X-shaped slot, and the antenna array unit spacing was optimized to achieve a wider bandwidth and smaller size. The experimental results showed that the impedance bandwidth of −10 dB included the L-band 1.59–1.84 Hz and S-band 2.48–2.55 GHz, and the axial ratio bandwidth of 3 dB roughly covered the frequency bands of the uploaded and downtransmitted signals; the maximum gain at 1.6 GHz is 4.1 dBi. This antenna can be widely used as a satellite navigation terminal because of its simple feed and compact structure.

Author Contributions

Conceptualization, Y.L. and L.H.; methodology, Y.L., L.H. and H.L.; validation, Y.L.; writing—original draft preparation, Y.L. and H.L.; writing—review and editing, Y.L. and C.S. All authors have read and agreed to the published version of the manuscript.

Funding

This work was supported by the Hubei Provincial Natural Science Foundation of China, The fund number is 2024AFB966, and the person in charge is Li Hongke.

Data Availability Statement

The original contributions presented in this study are included in the article. Further inquiries can be directed to the corresponding author and the first author.

Acknowledgments

We thank the editor and the anonymous reviewers for their constructive comments that helped to improve our work.

Conflicts of Interest

The authors declare no conflicts of interest. The funders had no role in the design of the study; in the collection, analyses, or interpretation of data; in the writing of the manuscript; or in the decision to publish the results.

Abbreviations

The following abbreviations are used in this manuscript:
INMARSTInternational Maritime Satellite Organization
GPSGlobal Positioning System
CPCircular Polarization

References

  1. Verma, R.K.; Kumar, A.; Pattanayak, P.; Rajpoot, V.; Bali, V.; Mathur, S. Design and analysis of multiband microstrip antenna using multiple notches for wireless communication in L and S-band applications. Wirel. Pers. Commun. 2024, 137, 2199–2216. [Google Scholar] [CrossRef]
  2. Nataraj, D.; Rao, K.C.; Chakradhar, K.S.; Ujwala, G.V.; Rao, B.S.; Raman, Y.S. A wide band antenna for both S-Band and C-Band satellite communication applications. J. Commun. 2024, 19, 28–36. [Google Scholar] [CrossRef]
  3. Sánchez-Sevilleja, S.; Poyatos, D.; Masa-Campos, J.L.; Aragón, V.M.; Rodríguez, J.A.; Santiago, A. Design, Development, and Qualification of a Broadband Compact S-Band Antenna for a CubeSat Constellation. Sensors 2025, 25, 1237. [Google Scholar] [CrossRef] [PubMed]
  4. Fan, J.; Ju, C.; Liu, N.; Luo, Q.; Liang, X.; Li, Z.; Feng, N.; Yan, D. Coarse frequency offset estimation and compensation based on short-time spectrum analysis in FSO communication system. Opt. Commun. 2024, 572, 130981. [Google Scholar] [CrossRef]
  5. He, W.; Hong, J.; Ren, Y.; Deng, Y.; Wang, X.; Fang, X. A High Gain Circularly Polarized Slot Antenna Array for 5G Millimeter-Wave Applications. Sensors 2024, 24, 6175. [Google Scholar] [CrossRef] [PubMed]
  6. Han, G.; Liu, W. A Circularly Polarized Non-Resonant Slotted Waveguide Antenna Array for Wide-Angle Scanning. Sensors 2024, 24, 3056. [Google Scholar] [CrossRef] [PubMed]
  7. Huang, Z.; Zhang, B. A compact broadband circularly polarized monopulse slot array antenna based on gap waveguide technology. Electromagnetics 2025, 45, 78–89. [Google Scholar] [CrossRef]
  8. Chen, R.S.; Huang, G.L.; Wong, S.W.; Al-Nuaimi, M.K.; Tam, K.W.; Choi, W.W. Bandwidth-enhanced circularly polarized slot antenna and array under two pairs of degenerate modes in a single resonant cavity. IEEE Antennas Wirel. Propag. Lett. 2022, 22, 288–292. [Google Scholar]
  9. Jiang, K.; Huang, X.Y.; Guo, Q.G. Design of dual-polarized horizontally omnidirectional array antenna based on circular waveguide slots. Modern Radar 2023, 45, 88–93. [Google Scholar]
  10. Wang, J. Leaky coaxial cable with circular polarization property. IEEE Trans. Antennas Propag. 2010, 59, 682–685. [Google Scholar] [CrossRef]
  11. Addamo, G.; Orta, R.; Tascone, R. Bloch wave analysis of long leaky coaxial cables. IEEE Trans. Antennas Propag. 2008, 56, 1548–1554. [Google Scholar] [CrossRef]
  12. Iigusa, K.; Teshirogi, T.; Fujita, M.; Yamamoto, S.-I.; Ikegami, T. A slot-array antenna on a coaxial cylinder with a circularly polarized conical beam. Electron. Commun. Jpn. (Part I Commun.) 2000, 83, 74–87. [Google Scholar] [CrossRef]
  13. Sanchez-Olivares, P.; Masa-Campos, J.L.; Garcia-Marin, E. Dual-polarization and dual-band conical-beam array antenna based on dual-mode cross-slotted cylindrical waveguide. IEEE Access 2021, 9, 94109–94121. [Google Scholar] [CrossRef]
  14. Turkmen, C.; Secmen, M. Dual-band omnidirectional and circularly polarized slotted waveguide array antenna for satellite telemetry and telecommand. IEEE Antennas Wirel. Propag. Lett. 2021, 20, 2100–2104. [Google Scholar] [CrossRef]
  15. Zhou, B.; Geng, J.; Bai, X.; Duan, L.; Liang, X.; Jin, R. An omnidirectional circularly polarized slot array antenna with high gain in a wide bandwidth. IEEE Antennas Wirel. Propag. Lett. 2014, 14, 666–669. [Google Scholar] [CrossRef]
  16. Zhou, B. Research on High Gain Omnidirectional Circularly Polarized Antenna Based on Coaxial Waveguide Slot Structure. Ph.D. Dissertation, Shanghai Jiao Tong University, Shanghai, China, 2017. [Google Scholar]
  17. Zheng, G.; Sun, B. High-gain normal-mode omnidirectional circularly polarized antenna. IEEE Antennas Wirel. Propag. Lett. 2018, 17, 1104–1108. [Google Scholar] [CrossRef]
  18. Verma, P.K.; Kumar, R.; Singh, M. Ka-band circularly polarised omnidirectional antenna for wide elevation coverage. Electron. Lett. 2014, 50, 1563–1564. [Google Scholar] [CrossRef]
Disclaimer/Publisher’s Note: The statements, opinions and data contained in all publications are solely those of the individual author(s) and contributor(s) and not of MDPI and/or the editor(s). MDPI and/or the editor(s) disclaim responsibility for any injury to people or property resulting from any ideas, methods, instructions or products referred to in the content.

Article Metrics

Citations

Article Access Statistics

Multiple requests from the same IP address are counted as one view.