A High-Gain Reconfigurable Beam-Switched Circular Array Antenna Based on Pentagonal Radiating Elements Fed by Mutual Coupling for Sub-6 GHz Wireless Application Systems
Abstract
1. Introduction
2. Design Principle
2.1. Evolution Design
2.2. Electrical Equivalent Circuit Model


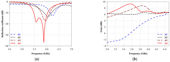
3. Results and Discussion
4. Conclusions
Author Contributions
Funding
Data Availability Statement
Conflicts of Interest
References
- Le, T.N.; Pegatoquet, A.; Le Huy, T.; Lizzi, L.; Ferrero, F. Improving Energy Efficiency of Mobile WSN Using Reconfigurable Directional Antennas. IEEE Commun. Lett. 2016, 20, 1243–1246. [Google Scholar] [CrossRef]
- Adomnitei, C.-I.; Lesanu, C.-E.; Done, A.; Yu, A.; Dimian, M.; Lavric, A. The Design and Implementation of a Phased Antenna Array System for LEO Satellite Communications. Sensors 2024, 24, 1915. [Google Scholar] [CrossRef]
- Dmitriev, V.; De Oliveira, R.M.S.; Paiva, R.R.; Rodrigues, N.R.N.M. Multifunctional THz Graphene Antenna with 360° Continuous ϕ-Steering and θ-Control of Beam. Sensors 2023, 23, 6900. [Google Scholar] [CrossRef]
- Zainudin, N.A.F.M.; Osman, M.N.; Sabapathy, T.; Jusoh, M.; Yasin, M.N.M.; Rahim, M.K.A. Low-Profile and Wider-Angle Beam Tilting Parasitic Array Resonator Antenna with Optimized Deflected Ground Plane on FR-4 Substrate. Micromachines 2023, 14, 834. [Google Scholar] [CrossRef]
- Saeidi, T.; Karamzadeh, S. Enhancing CubeSat Communication Through Beam-Steering Antennas: A Review of Technologies and Challenges. Electronics 2025, 14, 754. [Google Scholar] [CrossRef]
- El Halaoui, M.; Canale, L.; Asselman, A.; Zissis, G. An Optically Transparent Antenna Integrated in OLED Light Source for 5G Applications. In Proceedings of the 2020 IEEE International Conference on Environment and Electrical Engineering and 2020 IEEE Industrial and Commercial Power Systems Europe (EEEIC/I&CPS Europe), Madrid, Spain, 9–12 June 2020. [Google Scholar] [CrossRef]
- Azizi, S.; Canale, L.; Ahyoud, S.; Zissis, G.; Asselman, A. Design of transparent antenna for 5G wireless applications. Proceedings 2020, 63, 54. [Google Scholar] [CrossRef]
- Sekkal, S.; Canale, L.; Asselman, A. Flexible Textile Antenna Design with Transparent Conductive Fabric Integrated in OLED for WiMAX Wireless Communication Systems. In Proceedings of the 2020 IEEE International Conference on Environment and Electrical Engineering and 2020 IEEE Industrial and Commercial Power Systems Europe (EEEIC/I&CPS Europe), Madrid, Spain, 9–12 June 2020; pp. 1–4. [Google Scholar] [CrossRef]
- Gao, F.; Sun, H. A Radiation-Pattern Reconfigurable Antenna Array for Vehicular Communications. Sensors 2024, 24, 4136. [Google Scholar] [CrossRef] [PubMed]
- Nasr, A.M.H.; Sarabandi, K. A Low-Cost Millimeter-Wave 5G V2X Multi-Beam Dual-Polarized Windshield Antenna. IEEE Open J. Antennas Propag. 2022, 3, 1313–1323. [Google Scholar] [CrossRef]
- Rahman, M.M.; Ryu, H.-G. Wide Angle Beam Scanning Method (BSM) for the WSN Communication Applications. In Proceedings of the 2022 37th International Technical Conference on Circuits/Systems, Computers and Communications (ITC-CSCC), Phuket, Thailand, 5–8 July 2022; pp. 760–763. [Google Scholar] [CrossRef]
- Pirapaharan, K.; Ajithkumar, N.; Sarujan, K.; Fernando, X.; Hoole, P.R.P. Smart; Fast, and Low Memory Beam-Steering Antenna Configurations for 5G and Future Wireless Systems. Electronics 2022, 11, 2658. [Google Scholar] [CrossRef]
- Zhang, H.; Shlezinger, N.; Guidi, F.; Dardari, D.; Eldar, Y.C. 6G Wireless Communications: From Far-Field Beam Steering to Near-Field Beam Focusing. In IEEE Communications Magazine; IEEE: Piscataway, NJ, USA, 2023; Volume 61, pp. 72–77. [Google Scholar] [CrossRef]
- Sakkas, A.; Oikonomou, V.; Mystridis, G.; Christofilakis, V.; Tatsis, G.; Baldoumas, G.; Tritiakis, V.; Chronopoulos, S.K. A Frequency-Selective Reconfigurable Antenna for Wireless Applications in the S and C Bands. Sensors 2023, 23, 8912. [Google Scholar] [CrossRef]
- Zhang, J.; Wang, B.; Yan, S.; Li, W.; Vandenbosch, G.A.E. Metamaterial Inspired Varactor-Tuned Antenna with Frequency Reconfigurability and Pattern Diversity. Sensors 2024, 24, 1956. [Google Scholar] [CrossRef]
- Cano, H.P.Z.; Zaharis, Z.D.; Yioultsis, T.V.; Kantartzis, N.V.; Lazaridis, P.I. Pattern Reconfigurable Antennas at Millimeter-Wave Frequencies: A Comprehensive Survey. IEEE Access 2022, 10, 83029–83042. [Google Scholar] [CrossRef]
- Hills, A.; Peha, J.M.; Munk, J. Feasibility of Using Beam Steering to Mitigate Ku-Band LEO-to-GEO Interference. IEEE Access 2022, 10, 74023–74032. [Google Scholar] [CrossRef]
- Zhou, B.; Gao, H.; Wei, Z.; Li, X.; Wang, J.; Zhuang, Y.; Wang, W. Self-Interference-Alleviated Multi-Beam Steering for On-Demand Sensing and Communication Performance Tradeoff of Full-Duplex ISAC. In IEEE Transactions on Wireless Communications; IEEE: Piscataway, NJ, USA, 2025. [Google Scholar] [CrossRef]
- Rahmani, F.; Touhami, N.A.; Kchairi, A.B.; Lamsalli, M.; Taher, N.; Ennasar, M.A. Sub-6 GHz Adjustable Broadband Radiation Pattern Microstrip Antenna for Wireless Communication System. Prog. Electromagn. Res. C 2022, 124, 97–109. [Google Scholar] [CrossRef]
- Rahmani, F.; Touhami, N.A.; Kchairi, A.B.; Aknin, N.; Taher, N. Pattern Reconfigurable Antenna for VANET, Wi-Fi, and WiMAX Wireless Communication Systems. Int. J. Antennas Propag. 2021, 2021, 9973839. [Google Scholar] [CrossRef]
- Suryapaga, V.; Khairnar, V.V. Review on Multifunctional Pattern and Polarization Reconfigurable Antennas. IEEE Access 2024, 12, 90218–90251. [Google Scholar] [CrossRef]
- Khonina, S.N.; Kazanskiy, N.L.; Butt, M.A. Exploring Diffractive Optical Elements and Their Potential in Free Space Optics and imaging—A Comprehensive Review. Laser Photon-Rev. 2024, 18, 12. [Google Scholar] [CrossRef]
- Tian, J.; Cao, W. Reconfigurable flexible metasurfaces: From fundamentals towards biomedical applications. PhotoniX 2024, 5, 2. [Google Scholar] [CrossRef]
- García, E.; Andújar, A.; Anguera, J. Overview of Reconfigurable Antenna Systems for IoT Devices. Electronics 2024, 13, 3988. [Google Scholar] [CrossRef]
- Zhang, M.; Xu, G.; Gao, R.; Chowdhury, R. Reconfigurable Antennas for Wireless Communication: Design Mechanism, State of the Art, Challenges, and Future Perspectives. Int. J. Antennas Propag. 2024, 2024, 3046393. [Google Scholar] [CrossRef]
- Rahmani, F.; Kchairi, A.B.; El Bakkali, M.; Taher, N.; Touhami, N.A.; El Hamadi, T.-E. Sub-6 GHz Reconfigurable Beam-Switched Circular Antenna for Wireless Networks. Arab. J. Sci. Eng. 2024, 50, 5589–5602. [Google Scholar] [CrossRef]
- Wei, Y.; Arnold, C.; Hong, J. Multiport Beamforming System Based on Reconfigurable Waveguide Phased Antenna Array for Satellite Communication Applications. IEEE Access 2023, 11, 29909–29917. [Google Scholar] [CrossRef]
- Schmitt, L.; Liu, X.; Schmitt, P.; Czylwik, A.; Hoffmann, M. Large Displacement Actuators with Multi-Point Stability for a MEMS-Driven THz Beam Steering Concept. J. Microelectromech. Syst. 2023, 32, 195–207. [Google Scholar] [CrossRef]
- Zhang, Y.; Lin, S.; Yu, S.; Liu, G.J.; Denisov, A. Design and analysis of optically controlled pattern reconfigurable planar Yagi–Uda antenna. IET Microw. Antennas Propag. 2018, 12, 2053–2059. [Google Scholar] [CrossRef]
- Yang, X.; Xu, S.; Yang, F.; Li, M.; Hou, Y.; Jiang, S.; Liu, L. A Broadband High-Efficiency Reconfigurable Reflect Array Antenna Using Mechanically Rotational Elements. IEEE Trans. Antennas Propagat. 2017, 65, 3959–3966. [Google Scholar] [CrossRef]
- Balanis, C.A. Antenna Theory: Analysis and Design, 3rd ed.; John Wiley & Sons: Hoboken, NJ, USA, 2005. [Google Scholar]
- Datasheet of Microsemi MPP4203 PIN Diodes. Available online: http://www.microsemi.com (accessed on 25 January 2025).
- Ez-Zaki, F.; Belaid, K.A.; Ahmad, S.; Belahrach, H.; Ghammaz, A.; Al-Gburi, A.J.A.; Parchin, N.O. Circuit Modelling of Broadband Antenna Using Vector Fitting and Foster Form Approaches for IoT Applications. Electronics 2022, 11, 3724. [Google Scholar] [CrossRef]
- Garg, R.; Bhartia, P.; Bahl, I.; Ittipiboon, A. Microstrip Antenna Design Handbook; Artech House: Norwood, MA, USA, 2000. [Google Scholar]
- Ghaffar, A.; Li, X.J.; Awan, W.A.; Naqvi, A.H.; Hussain, N.; Alibakhshikenari, M.; Limiti, E. A Flexible and Pattern Reconfigurable Antenna with Small Dimensions and Simple Layout for Wireless Communication Systems Operating over 1.65–2.51 GHz. Electronics 2021, 10, 601. [Google Scholar] [CrossRef]
- Ismail, M.F.; Rahim, M.K.A.; Hamid, M.R.; Majid, H.A.; Omar, A.H.; Nur, L.O.; Nugroho, B.S. Dual-band pattern reconfigurable antenna using electromagnetic band-gap structure. AEU—Int. J. Electron. Commun. 2021, 130, 153571. [Google Scholar] [CrossRef]
- Zhang, Y.; Han, Z.; Tang, S.; Shen, S.; Chiu, C.-Y.; Murch, R. A highly pattern-reconfigurable planar antenna with 3600 single- and multi-beam steering. IEEE Trans Antennas Propag. 2022, 70, 6490–6504. [Google Scholar] [CrossRef]
- Chen, J.X.; Ke, Y.H.; Yang, L.L.; Yang, W.W. Pattern-reconfigurable dielectric resonator antenna with end fire beam-scanning feature. IEEE Antennas Wirel. Propag. Lett. 2022, 21, 1398–1402. [Google Scholar] [CrossRef]
- Deng, Z.; Wang, Y.; Lai, C. Design and Analysis of Pattern Reconfigurable Antenna Based on RF MEMS Switches. Electronics 2023, 12, 3109. [Google Scholar] [CrossRef]
- De Marco, R.; Arnieri, E.; Amendola, G.; Boccia, L. Microstrip ESPAR Antenna with Conical Beam Scanning. Antennas Wirel. Propag. Lett. 2024, 23, 174–178. [Google Scholar] [CrossRef]












| Parameter (mm) | L | L0 | L1 | L2 | W0 | W1 |
|---|---|---|---|---|---|---|
| Dimension | 16.5 | 1.6 | 1.6 | 4.5 | 2.1 | 0.5 |
| Parameter (mm) | W2 | W3 | D | d | ε1 | ε2 |
| Dimension | 2.8 | 6.2 | 4.1 | 1.2 | 0.2 | 0.4 |
| Parameter (mm) | R1 | R2 | R3 | R4 | R5 | β |
| Dimension | 2.2 | 2.4 | 2.9 | 3.1 | 30 | 108° |
| Parameter | RP | LP | CP | L0 | C1 | C2 |
|---|---|---|---|---|---|---|
| Value | 265 Ω | 0.795 nH | 0.88 pF | 0.24 nH | 0.1 pF | 0.25 pF |
| Parameter | C3 | C12 | C23 | C34 | C41 | K |
| Value | 0.15 pF | 0.2 pF | 0.2 pF | 0.2 pF | 0.2 pF | 1/0.87/0.82 |
| Operating State | PIN Diode State | BW (GHz) | Max. Gain (dBi) | Beam Direction | |||||
|---|---|---|---|---|---|---|---|---|---|
| XY-Plane (Φ) | XZ-Plane (θ) | YZ-Plane (θ) | |||||||
| State 1 (S1) | OFF | OFF | ON | OFF | 5.47–6.04 | 9.29 | 45° | 20° | 20° |
| State 2 (S2) | OFF | OFF | ON | ON | 5.54–5.97 | 9.10 | 90° | 8° | 22° |
| State 3 (S3) | OFF | OFF | OFF | ON | 5.47–6.04 | 9.29 | 135° | −20° | 20° |
| State 4 (S4) | ON | OFF | OFF | ON | 5.54–5.97 | 9.10 | 180° | −22° | 8° |
| State 5 (S5) | ON | OFF | OFF | OFF | 5.47–6.04 | 9.29 | 225° | −20° | −20° |
| State 6 (S6) | ON | ON | OFF | OFF | 5.54–5.97 | 9.10 | 270° | −8° | −22° |
| State 7 (S7) | OFF | OFF | OFF | ON | 5.47–6.04 | 9.29 | 315° | 20° | −20° |
| State 8 (S8) | OFF | ON | ON | OFF | 5.54–5.97 | 9.10 | 360° | 22° | −8° |
| State 9 (S9) | ON | OFF | ON | OFF | 5.75–6.01 | 7.33 | 45°–225° | −40° & 40° | −40° & 40° |
| State 10 (S10) | OFF | ON | OFF | ON | 5.75–6.01 | 7.33 | 135°–315° | −40° & 40° | −40° & 40° |
| Year/Ref. | No. of Switches | No. of Layers | Size (λ03) | Frequency (GHz) | BW (%) | Max. Gain (dBi) | Efficiency (%) |
|---|---|---|---|---|---|---|---|
| 2021/[35] | 2 PIN diodes | 1 | 0.22 × 0.27 × 0.001 | 1.80 | 41 | 2.2 | 80 |
| 2021/[36] | 14 PIN diodes | 3 | 0.59 × 0.53 × 0.08 | 2.4 5.8 | 2.07 2.6 | 6.2 6.6 | NG |
| 2022/[37] | 60 PIN diodes | 1 | 1.80 × 1.80 × 0.027 | 5.1 | 11.76 | 7.3 | 70 |
| 2022/[38] | 10 PIN diodes | 1 | 0.68 × 0.55 × 0.09 | 2.4 | 2.08 | 5.3 | 80 |
| 2023/[39] | 2 MEMS | 1 | 0.43 × 0.61 × 0.046 | 35 | 2.4 | 4.8 | NG |
| 2024/[40] | 8 varactors | 3 | 1.41 × 1.0 × 0.036 | 6.06 | 1.8 | 8.2 | NG |
| 2024/[26] | 4 PIN diodes | 1 | 0.86 × 0.86 × 0.03 | 5.75 5.83 | 8.86 7.83 | 6.68 8.25 | 95 |
| Prop. Ant. | 4 PIN diodes | 1 | 0.81 × 0.81 × 0.03 | 5.57 5.67 5.90 | 9.72 7.45 4.61 | 9.29 9.10 7.33 | 97 |
Disclaimer/Publisher’s Note: The statements, opinions and data contained in all publications are solely those of the individual author(s) and contributor(s) and not of MDPI and/or the editor(s). MDPI and/or the editor(s) disclaim responsibility for any injury to people or property resulting from any ideas, methods, instructions or products referred to in the content. |
© 2025 by the authors. Licensee MDPI, Basel, Switzerland. This article is an open access article distributed under the terms and conditions of the Creative Commons Attribution (CC BY) license (https://creativecommons.org/licenses/by/4.0/).
Share and Cite
Rahmani, F.; El Bakkali, M.; Dkiouak, A.; Touhami, N.A.; Belbachir Kchairi, A.; Samoudi, B.; Canale, L. A High-Gain Reconfigurable Beam-Switched Circular Array Antenna Based on Pentagonal Radiating Elements Fed by Mutual Coupling for Sub-6 GHz Wireless Application Systems. Electronics 2025, 14, 3701. https://doi.org/10.3390/electronics14183701
Rahmani F, El Bakkali M, Dkiouak A, Touhami NA, Belbachir Kchairi A, Samoudi B, Canale L. A High-Gain Reconfigurable Beam-Switched Circular Array Antenna Based on Pentagonal Radiating Elements Fed by Mutual Coupling for Sub-6 GHz Wireless Application Systems. Electronics. 2025; 14(18):3701. https://doi.org/10.3390/electronics14183701
Chicago/Turabian StyleRahmani, Faouzi, Moustapha El Bakkali, Aziz Dkiouak, Naima Amar Touhami, Abdelmounaim Belbachir Kchairi, Bousselham Samoudi, and Laurent Canale. 2025. "A High-Gain Reconfigurable Beam-Switched Circular Array Antenna Based on Pentagonal Radiating Elements Fed by Mutual Coupling for Sub-6 GHz Wireless Application Systems" Electronics 14, no. 18: 3701. https://doi.org/10.3390/electronics14183701
APA StyleRahmani, F., El Bakkali, M., Dkiouak, A., Touhami, N. A., Belbachir Kchairi, A., Samoudi, B., & Canale, L. (2025). A High-Gain Reconfigurable Beam-Switched Circular Array Antenna Based on Pentagonal Radiating Elements Fed by Mutual Coupling for Sub-6 GHz Wireless Application Systems. Electronics, 14(18), 3701. https://doi.org/10.3390/electronics14183701

