Next Article in Journal
GFN: A Garbage Classification Fusion Network Incorporating Multiple Attention Mechanisms
Next Article in Special Issue
Neural-Network-Based Interference Cancellation for MRC and EGC Receivers in Large Intelligent Surfaces for 6G
Previous Article in Journal
Optimized Frontier-Based Path Planning Using the TAD Algorithm for Efficient Autonomous Exploration
 
 
Font Type:
Arial Georgia Verdana
Font Size:
Aa Aa Aa
Line Spacing:
Column Width:
Background:
Article

Effectiveness and Characteristics of Virtual Antennas in the Multiple Signal Classification Algorithm

1
Graduate School of Engineering, Chiba University, Chiba 263-8522, Japan
2
Division of Convergent Computer Science, SungKongHoe University, 320 Yeondong-ro, Guro-gu, Seoul 08359, Republic of Korea
*
Author to whom correspondence should be addressed.
Electronics 2025, 14(1), 73; https://doi.org/10.3390/electronics14010073
Submission received: 22 November 2024 / Revised: 16 December 2024 / Accepted: 18 December 2024 / Published: 27 December 2024
(This article belongs to the Special Issue Advances in MIMO Systems)

Abstract

This paper proposes a novel direction of arrival (DoA) estimation method based on the Multiple Signal Classification (MUSIC) algorithm using virtual antennas. The MUSIC method is a widely used DoA estimation technique known for its high accuracy and high resolution. However, it has a fundamental limitation: when the necessary condition of having more antenna elements at the base station than users is not met, DoA estimation becomes infeasible. To address this limitation, we introduce the concept of virtual antennas, allowing DoA estimation, even under restricted conditions. Virtual antennas are not physically present but can be virtually arranged, enabling the generation of virtual-received signals similar to those of real array antennas. Through simulation experiments, we demonstrate that our approach enables DoA estimation with the MUSIC algorithm even when its necessary conditions are not satisfied. Additionally, this paper explores the characteristics of virtual antennas in detail. We conduct simulation experiments to examine the differences in estimation accuracy between real and virtual antennas, as well as the impact of virtual antenna arrangement and count on estimation accuracy. The results show that, although virtual antennas provide lower estimation accuracy compared to real antennas, their flexible arrangement allows for improved resolution when signal sources are closely spaced by increasing the spacing between virtual antennas. Furthermore, under Additive White Gaussian Noise (AWGN) conditions, increasing the number of virtual antennas enhances estimation accuracy.

1. Introduction

In recent years, various devices have been densely connected to networks, and the number of connected devices is expected to continue rising [1,2]. This high-density communication environment presents challenges, including the potential depletion of available frequency bandwidth and the risk of radio interference, making it essential to ensure communication efficiency and stability [3]. To meet these communication quality requirements, many wireless communication systems employ a technique known as beamforming [4]. Beamforming is a method for transmitting radio waves by directing power specifically toward a targeted direction [5]. This approach enables the efficient use of bandwidth, reduces interference, and achieves a stable communication, ultimately enhancing communication quality [6].
To perform effective beamforming, however, accurately determining the user’s location is crucial, as the direction of transmission needs to be precisely aligned with the user. Thus, direction of arrival (DoA) estimation is an indispensable technique, enabling the precise location tracking necessary for beamforming [7]. In other words, accurate DoA estimation allows for the focused transmission of radio waves toward the user’s direction. Beyond enhancing communication efficiency and quality through beamforming, DoA estimation offers additional benefits, such as identifying sources of unauthorized or interfering signals, minimizing their impact, and thereby enhancing communication security [8,9]. This capability has become highly significant in today’s increasingly complex communication environments, underscoring the critical role of DoA estimation in modern communication technology.
Various DoA estimation methods exist, among which the MUSIC (Multiple Signal Classification) algorithm is widely adopted due to its high accuracy and resolution [10]. However, MUSIC requires the number of antenna elements at the base station to exceed the number of users, a constraint that limits DoA estimation in scenarios where user numbers exceed available antenna elements [11]. To address this limitation, we introduce a novel concept, the “virtual antenna”. Virtual antennas do not physically exist but complement actual antenna elements by theoretically generating virtual received signals. These virtual received signals are generated by arranging virtual antennas and synthesizing the steering vectors and noise, which are necessary parameters for signal estimation. A correlation matrix is then formed using both the virtual received signals and the actual received signals. By virtual extending the noise subspace, the separation of uncorrelated signals is achieved.
The proposed method was validated through simulation experiments under conditions where uncorrelated narrowband signals were radiated from distant sources, demonstrating its effectiveness and enabling DoA estimation under constrained conditions.
Furthermore, DoA estimation performance using virtual antennas varies based on the placement (element spacing) and quantity of virtual antennas. Unlike real antennas, virtual antennas allow flexible configuration, which can be optimized according to the communication environment and the number of users to achieve enhanced DoA estimation accuracy. This study not only demonstrates the effectiveness of the DoA method using virtual antennas but also presents simulation results that compare estimation accuracy between real and virtual antennas, examine the effect of virtual antenna spacing on accuracy, and assess how the number of virtual antennas influences estimation precision. These results provide a comprehensive understanding of the characteristics of virtual antennas.
The remainder of this paper is organized as follows. Section 2 explains the principles of array antennas, DoA estimation, and the MUSIC algorithm as one of the key DoA estimation methods. Section 3 presents the proposed method. In Section 4, simulation results are provided to demonstrate the effectiveness of the proposed approach. Finally, conclusions are drawn in Section 5.

2. System Model

This section describes the principles of array antennas, followed by an explanation of DoA estimation performed using array antennas. Additionally, the principles of the MUSIC algorithm, one of the estimation methods and the technique employed in this study, are explained.

2.1. Array Antenna

An array antenna is a configuration in which multiple antenna elements are arranged so that the amplitude and phase of the transmitted and received signals at each element can be independently controlled [12]. Various configurations, such as linear and planar arrays, can be employed for arranging the elements that constitute an array antenna. In this discussion, we consider a linear array with K elements, as shown in Figure 1, to facilitate an understanding of the fundamental principles.
The received signals are denoted by X 1 , , X K , with weights applied to each received signal represented as W 1 , , W K , and the output signal denoted by Y. The wavelength of the received signals is λ , and the spacing between antenna elements is set to λ / 2 . Given an arrival angle θ of the signal, the distance difference d K between the first and the K-th antenna element is written as
d k = λ 2 ( k 1 ) cos θ .
At element K, a phase difference arises due to the signal’s delayed arrival time compared to element 1. Therefore, the phase difference ϕ K is written as
ϕ k = 2 π λ d k = ( k 1 ) π cos θ .
Using Equations (1) and (2), the phase of the weight w k is written as
w k = exp ( j ϕ k ) = exp ( j ( k 1 ) π cos θ ) .
By applying Equation (3) to the received signal, the phase difference can be compensated, enabling maximal ratio combining. Thus, the output Y is written as
Y = k = 1 K w k x k = k = 1 K x k exp ( j ( k 1 ) π cos θ ) .
Observing (4), it is possible to increase the gain for the desired signal by controlling the phase and amplitude of each element in the array.

2.2. DoA Estimation

DoA estimation for radio waves is a crucial technique with diverse applications, such as maximizing beamforming effectiveness, identifying unauthorized transmissions, and minimizing their impact, making it essential in modern wireless communications. Figure 1 presents a schematic diagram of an incoming wave using an array antenna (linear array antenna). When the signal source is sufficiently distant, the propagation distance is significantly greater than the antenna element spacing, allowing an approximation in which all incoming waves are parallel at each antenna element. The configured antennas experience propagation path differences, resulting in arrival time differences among the incoming waves at each element, which lead to phase differences proportional to these time offsets [13]. DoA estimation is performed based on the calculated phase differences.
Various DoA estimation methods have been proposed to date, and Table 1 summarizes the primary DoA techniques [14]. Among these, this study focuses on the MUSIC method, a widely adopted approach known for its high accuracy and high-resolution capabilities [15].

2.3. MUSIC Algorithm

The MUSIC algorithm is a high-resolution DoA estimation method widely used for distinguishing signal directions by analyzing the spatial correlation matrix of signals received by an array of antennas. By decomposing this correlation matrix, MUSIC separates the received signal space into signal and noise subspaces, enabling the precise identification of signal directions.
To illustrate, consider an array with K antenna elements receiving signals from L sources. The received signal vector X ( t ) at time t can be written as
X ( t ) = A S ( t ) + N ( t ) ,
where:
  • A = a ( θ 1 ) , a ( θ 2 ) , , a ( θ L ) is the steering matrix, with a ( θ l ) as the steering vector for the l-th signal arriving from direction θ l .
  • S ( t ) = s 1 ( t ) , s 2 ( t ) , , s L ( t ) T represents the complex amplitudes of each source at time t.
  • N ( t ) is the noise vector, often assumed to be Gaussian and uncorrelated across antennas.
The steering vector a ( θ ) for a signal arriving at angle θ is given by
a ( θ ) = e j ϕ 1 ( θ ) e j ϕ 2 ( θ ) e j ϕ K ( θ ) T ,
where each ϕ k ( θ ) is the phase shift experienced by the k-th antenna due to the signal’s arrival angle θ . This phase shift is defined as
ϕ k ( θ ) = 2 π d k cos θ λ ,
where d k is the distance from a reference point in the array to the k-th antenna, and λ is the signal wavelength.
The correlation matrix R xx of the received signal can be written as
R xx = E X ( t ) X H ( t )
= A R s A H + σ 2 I ,
where R s = E S ( t ) S H ( t ) is the covariance matrix of the signal sources, and σ 2 I represents the noise power.
MUSIC decomposes R xx into eigenvalues and eigenvectors, classifying them into signal and noise components
λ 1 λ 2 λ L > λ L + 1 = = λ K = σ 2 .
The largest L eigenvalues correspond to signal components, while the remaining K L eigenvalues represent noise. The eigenvectors associated with noise eigenvalues form the “noise subspace” E N = e L + 1 , , e K , which is orthogonal to the signal steering vectors. This orthogonality is exploited in the MUSIC algorithm to identify signal directions.
The MUSIC algorithm constructs a pseudo-spectrum function P MUSIC ( θ ) , which peaks at the angles corresponding to the DoAs of the sources. The MUSIC spectrum is defined as
P MUSIC ( θ ) = 1 a H ( θ ) E N E N H a ( θ )
= 1 k = L + 1 K e k H a ( θ ) 2 .
where:
  • a ( θ ) is the steering vector for an assumed arrival angle θ .
  • E N is the noise subspace matrix formed from the noise eigenvectors e L + 1 , , e K .
By scanning over possible angles θ , the peaks in P MUSIC ( θ ) indicate the estimated angles of arrival (AoAs), as these correspond to directions where the steering vector is orthogonal to the noise subspace.

3. Conventional and Proposed Methods

3.1. Conventional MUSIC Algorithm

The MUSIC method is widely recognized as a high-resolution DoA estimation technique; however, it has inherent requirements that limit its applicability. Specifically, accurate estimation is only achievable under conditions where these requirements are satisfied. The theoretical details of these necessary conditions are explained below [21].

The Requirements for the MUSIC Algorithm

The MUSIC method estimates the DoA by utilizing the eigenvalues and eigenvectors of the array output correlation matrix R xx . The eigenvalues of R xx are categorized into two types: those corresponding to thermal noise components (all equal values) and those associated with signal components (values larger than those of thermal noise) [22]. These eigenvalues can be expressed as shown in Equation (10). As seen in this equation, there are L eigenvalues associated with signal components, while the remaining K L eigenvalues are equal to those corresponding to thermal noise components.
In the MUSIC method, the eigenvectors corresponding to noise components form what is called the noise subspace. By leveraging the orthogonality between the DoA vectors and the noise subspace, the method identifies peaks to estimate DoA [23]. A key condition derived from this theory is that for the noise subspace to exist, at least one eigenvalue corresponding to a noise component must be present. Therefore, the relationship between the number of antenna elements, K, and the number of users, L, requires that
K L + 1 .
If this condition is not met, the noise subspace does not exist, preventing the use of the orthogonality between the DoA vector and the noise subspace in the MUSIC method. As a result, accurate DoA estimation with the MUSIC method becomes impossible.

3.2. Proposed Method

This study aims to enable DoA estimation even when the aforementioned conditions required for the MUSIC algorithm are not satisfied. To address this challenge, we introduce the concept of “virtual antennas”. While the concept of virtual antennas for overcoming the limitations of the MUSIC algorithm has been widely discussed (for example, [24]), existing methods rely on subarray partitioning and utilize only the signals received by actual antennas at arbitrary points P m . These methods lack a theoretical analysis of the virtual antennas themselves.
In contrast, our proposed method provides a theoretical analysis of the signal generation process for virtual antennas. As a result, the fundamental concept of virtual antennas differs, making our approach more general and theoretically robust.
Additionally, since the proposed method extends the MUSIC algorithm theoretically, it does not directly address the challenges posed by correlated signals, such as the failure of DoA estimation due to the breakdown of signal orthogonality. Therefore, this study assumes scenarios where uncorrelated narrowband signals are radiated from distant sources.
The following sections explain the principles of virtual antennas and the computational method for generating virtual received signals using them.

3.2.1. Principle of Virtual Antennas

Virtual antennas are hypothetical antennas that do not physically exist but are assumed to be present, allowing the calculation of phase differences and received signals as if they were actual antennas. When the necessary conditions for the MUSIC method are not met—specifically, when the number of antenna elements K is less than or equal to the number of users L—DoA estimation becomes inherently unachievable. To resolve this, K v virtual antennas are introduced such that the total number of antenna elements and users satisfies K + K v L + 1 . By arranging virtual antennas in this way, the requirements of the MUSIC method are fulfilled, allowing the construction of the noise subspace and enabling DoA estimation, which would otherwise be unachievable.
When virtual antennas are arranged, a virtual propagation distance difference d v arises between each virtual antenna and an existing antenna used as the phase reference. This distance difference produces a virtual time difference in the arriving signal, as expressed by
τ K v = d v cos θ c .
The virtual phase difference corresponding to this virtual arrival time difference can be calculated as
ϕ K v = 2 π f τ K v = 2 π λ d v cos θ .

3.2.2. Calculation Method for Virtual Received Signals

The calculation method for the received signals of virtual antennas is explained as follows. The received signal for the real antennas can be written as
x r = A r s + n r .
Therefore, the virtually received signal generated by the virtual antennas can similarly be expressed as
x v = A v s + n v .
Here, A v is defined as the virtual steering vector, and n v as the virtual noise. To calculate the virtual received signal, it is necessary to estimate the virtual steering vector A v and the virtual noise n v . The complex amplitude of the signal s is sourced from the data obtained by the real antennas.
The virtual steering vector can be expressed as
A v ( θ l ) = k v = 1 K v j ϕ k v ( θ l ) ,
where ϕ k v ( θ l ) represents the virtual phase difference, which can be calculated by virtually arranging the antennas, as shown in Equation (15).
The virtual noise is first calculated by obtaining the average noise variance from the real antennas, denoted as σ ˜ , and extending this value to match the number of virtual antennas. Then, virtual noise is estimated as an Additive White Gaussian Noise (AWGN) matrix, where each component is modeled as a zero-mean complex Gaussian random variable with variance σ ˜ 2 . Because virtual noise is estimated based on the statistical properties of real noise, it is influenced by the accuracy of real noise measurements.
Finally, by combining the received signals from both the real and virtual antennas and calculating the correlation matrix from the overall received signal, the eigenvalues of the noise subspace can be generated, enabling DoA estimation through the MUSIC method.

4. Computer Simulation

To evaluate the effectiveness of the proposed method and to understand the characteristics of the virtual antennas, this section presents simulation results along with their discussions. The simulations were conducted using the MATLAB programming language.

4.1. Effectiveness of the Proposed Method

To validate the effectiveness of the proposed method, simulation experiments were conducted using the MUSIC spectrum. The simulation parameters are provided in Table 2. In this simulation, a scenario with six users and five antennas was assumed, which does not satisfy the fundamental requirements of the MUSIC method (represented by the black line in Figure 2). By introducing virtual antennas (indicated by the red line in Figure 2, it is demonstrated that DoA estimation, which would otherwise be unachievable, becomes feasible. The virtual antennas are arranged at equal intervals around the real antennas, as shown in Figure 3. The results of this simulation are presented in Figure 2.
Observing Figure 2, when the necessary condition of the MUSIC method is not met (black line), the peaks of the MUSIC spectrum do not correspond to the specified AoAs, indicating that accurate DoA estimation cannot be achieved. In contrast, in the proposed method using virtual antennas (red line), the spectrum peaks accurately reflect specified AoAs. This result demonstrates that by constructing a noise subspace in the correlation matrix through the use of virtual antennas, DoA estimation using the MUSIC method becomes feasible even under conditions where it would otherwise be impossible.

4.2. Differences in Characteristics Between Real Antennas and Virtual Antennas

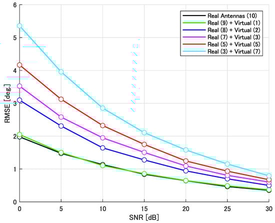
In the previous section, we demonstrated the effectiveness of virtual antennas for DOA estimation. In this section, we investigate, through simulation experiments, the differences in estimation accuracy between virtual and real antennas. In this simulation, the total number of antennas (real and virtual combined) is fixed at 10. By varying the numbers of real antennas and virtual antennas, we examine the impact on estimation accuracy. We consider six configurations for the combination of real and virtual antennas ( K , K v ) : ( 10 , 0 ) , ( 9 , 1 ) , ( 8 , 2 ) , ( 7 , 3 ) , ( 5 , 5 ) , and ( 3 , 7 ) . with the number of users is set to 5. The Root Mean Square Error (RMSE) is adopted as the performance metric, representing the estimation error between the actual AoAs and the estimated AoAs in degrees.
In Figure 4, the lines representing only real antennas (black line) and those representing nine real antennas with one virtual antenna (green line) nearly overlap, indicating minimal difference in estimation accuracy. However, as the proportion of virtual antennas increases, the RMSE values rise, resulting in larger estimation errors for the angle. This suggests a degradation in estimation accuracy. The reason for this is that a higher proportion of virtual antennas reduces the amount of noise sampling from real antennas, which diminishes the accuracy of estimating virtual noise using the statistical properties of the sampled noise.

4.3. Optimal Placement of Virtual Antennas

In this section, we consider the optimal placement of virtual antennas. Conventional array antennas have fixed propagation distance differences between elements, typically set to half a wavelength, which leads to poor resolution when the AoAs are close to each other. However, since virtual antennas do not physically exist, they offer greater flexibility in antenna arrangement. Therefore, this simulation examines the characteristics of the MUSIC spectrum and resolution when varying the spacing of virtual antennas. In this setup, the virtual antennas are arranged as shown in Figure 5, and the results are presented for different values of n.
Figure 6 illustrates the differences in the MUSIC spectrum when the spacing of virtual antennas is varied across four patterns. The simulation parameters are consistent with those in Table 2. The results show that increasing the spacing between virtual antennas sharpens the peaks in the MUSIC spectrum.
Figure 7 shows the MUSIC spectrum for a communication environment with closely spaced signal sources, where the AoAs are set at 20 , 30 , 35 , 50 , 60 , and 70 . The simulation results indicate that, as the spacing between virtual antennas increases, the peaks in the MUSIC spectrum accurately capture the specified AoAs, demonstrating an improvement in resolution.
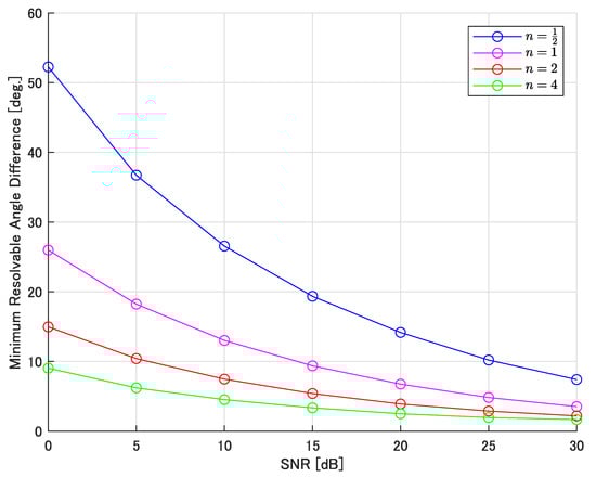
Next, Figure 8 quantitatively demonstrates the differences in resolution when varying the spacing of virtual antennas. In this simulation, the number of users is set to 2, with 2 real antennas and one virtual antenna whose placement is adjusted. For each SNR, the minimum angular separation required to accurately distinguish between the two AoAs is determined. A smaller minimum resolvable angle indicates higher resolution, enabling accurate estimation even with closely spaced AoAs.
Observing Figure 8, we see that increasing the spacing between virtual antennas results in a decrease in the minimum resolvable angle difference. This indicates that even closely spaced signal sources can be accurately identified, thereby improving resolution. Therefore, when the AoAs are close, it is effective to increase the spacing of virtual antennas for more accurate estimation.

4.4. Optimal Number of Virtual Antennas

Finally, the difference in estimation accuracy based on the number of virtual antennas is presented. Figure 9 shows the MUSIC spectrum when the number of real antennas is fixed at 5, and the number of virtual antennas is varied across three patterns: 5, 10, and 15. The other simulation parameters remain the same as those listed in Table 2.
Figure 9 shows that as the number of virtual antennas increases, the spectrum peaks become sharper, indicating an improvement in resolution. Additionally, Figure 10 demonstrates that, for any SNR, increasing the number of virtual antennas reduces the RMSE, thereby enhancing estimation accuracy. This improvement occurs because adding virtual antennas effectively increases the number of received signal samples and enlarges the size of the correlation matrix, allowing for a more accurate construction of the noise subspace. Consequently, the ability to clearly separate signal and noise components is enhanced, resulting in improved resolution.
In this simulation, the environment includes AWGN, and the noise data obtained from the real antennas is relatively stable. This stability allows for reliable estimation of virtual noise even with a small proportion of noise data, making the addition of virtual antennas effective in enhancing accuracy. However, in more challenging noise environments, an excessive ratio of virtual antennas could lead to instability in the noise data derived from the real antennas. In such cases, virtual noise generated from limited noise samples may not adequately represent the statistical properties, potentially reducing the accuracy of DoA estimation.
Therefore, to maximize DoA estimation accuracy in real-world scenarios, it is essential to balance the number of real and virtual antennas. By selecting an appropriate number of virtual antennas, it is possible to leverage the reliable noise data from real antennas while benefiting from the spatial extension provided by virtual antennas, thereby maximizing estimation accuracy.

4.5. Application in Three-Dimensional Space Using UPA

In this study, we assumed DoA estimation in two-dimensional space using a uniform linear array (ULA). However, our proposed method is also effective in three-dimensional space using a uniform planar array (UPA). A DoA estimation method in three-dimensional space using UPA has been proposed, where the direction of arrival is estimated separately in the horizontal and vertical planes, reducing computational complexity [25].
As shown in Figure 11, this algorithm estimates the elevation angle θ from antennas arranged in the horizontal direction and the azimuth angle ϕ from antennas arranged in the vertical direction. The proposed method can then be applied in a manner similar to linear arrays.
To demonstrate the effectiveness of the proposed method in a three-dimensional space, the simulation parameters are provided in Table 3, and the simulation results are shown in Figure 12. From the simulation results, it is evident that while the conventional MUSIC method (black line in Figure 12) fails to indicate the peaks in the MUSIC spectrum corresponding to the set AoAs, the proposed method (red line in Figure 12) successfully identifies the set AoAs. This confirms that the proposed method is effective for DoA estimation in three-dimensional space using UPA.

5. Conclusions

This paper presents a DoA estimation method using virtual antennas in the MUSIC algorithm. The proposed method enables DoA estimation even when the number of antenna elements at the base station does not exceed the number of users, a condition typically required by the MUSIC algorithm. By virtually increasing the number of antennas and generating the noise subspace of the correlation matrix, this approach facilitates DoA estimation under such constraints, as demonstrated through simulation experiments.
The results also indicate a minor drawback: virtual antennas offer flexibility in arrangement, which enhances resolution, especially when signal sources are closely spaced. Furthermore, under AWGN conditions, increasing the number of virtual antennas further improves resolution.
In real-world environments such as urban areas, the proposed method is expected to maintain a high resolution even for densely distributed signal sources by flexibly adjusting the spacing between virtual antennas. However, in practical scenarios, the noise is unlikely to conform to the AWGN assumptions made in this study, and its characteristics may vary temporally and spatially. Consequently, when generating virtual noise based on noise data from a limited number of antennas, the instability of the noise data could lead to inaccuracies in virtual noise estimation, potentially reducing the DoA estimation accuracy.
This paper is extened version of the previous works [26,27].

6. Future Research

Future research directions are outlined below in three key aspects.

6.1. Development of Indicators for Optimal Number and Placement of Virtual Antennas

In this simulation experiment, we demonstrated the differences in performance based on the arrangement and number of virtual antennas. However, a definitive algorithm for selecting the optimal arrangement and number has not yet been established. The accuracy of DoA estimation depends on various factors such as the number of actual antennas, the number of users, and the conditions of the signal sources, meaning that the optimal arrangement and number may vary under different conditions.
At present, there are insufficient data to provide a concrete algorithm, and further investigation is necessary. To address this, future research will conduct simulation experiments under various communication environments to gather extensive data and aim to develop a specific algorithm for determining the optimal arrangement and number of virtual antennas.

6.2. Application to ESPRIT Method

Our proposed virtual antennas are a method to overcome the constraints of the MUSIC algorithm. The Estimation of Signal Parameters via Rotational Invariance Techniques (ESPRIT) algorithm, which is a well-known DoA estimation method, also has similar requirements to those of the MUSIC algorithm. Therefore, applying virtual antennas under these constrained conditions is considered effective.
However, the ESPRIT algorithm analyzes the phase differences between signals by utilizing the rotational invariance property of the array structure. Consequently, when applying virtual antennas to the ESPRIT algorithm, it is necessary to arrange the virtual antennas at uniform intervals and construct a virtual array that satisfies the rotational invariance property.

6.3. Integration with Tensor Decomposition

In recent years, DoA estimation methods using tensor decomposition techniques have been proposed [28,29]. Although our proposed method adopts a different approach, we believe that integrating the advantages of tensor decomposition, such as reducing signal correlation and efficiently processing high dimensional data, could further improve the accuracy of our method.
Therefore, inspired by these tensor decomposition methods, we plan to explore new extensions combining virtual array structures and tensor decomposition as a focus for future research.

Author Contributions

R.T. is the main author. J.C. and I.J. are providing methodology, software, and constructive feedback on every part of the manuscript. C.-J.A. is our supervisor. All authors have read and agreed to the published version of the manuscript.

Funding

Grant of Science Research from the Japan Society for the Promotion of Science (JSPS) 22K04085.

Data Availability Statement

Data are contained within the article.

Conflicts of Interest

The authors declare no conflicts of interest.

References

  1. Chowdhury, M.Z.; Shahjalal, M.; Ahmed, S.; Jang, Y.M. 6G Wireless Communication Systems: Applications, Requirements, Technologies, Challenges, and Research Directions. IEEE Open J. Commun. Soc. 2020, 1, 957–975. [Google Scholar] [CrossRef]
  2. Larsson, E.G.; Edfors, O.; Tufvesson, F.; Marzetta, T.L. Massive MIMO for next generation wireless systems. IEEE Commun. Mag. 2014, 52, 186–195. [Google Scholar] [CrossRef]
  3. Rappaport, T.S.; Xing, Y.; Kanhere, O.; Ju, S.; Madanayake, A.; Mandal, S.; Alkhateeb, A.; Trichopoulos, G.C. Wireless Communications and Applications Above 100 GHz: Opportunities and Challenges for 6G and Beyond. IEEE Access 2019, 7, 78729–78757. [Google Scholar] [CrossRef]
  4. Ahmed, I.; Khammari, H.; Shahid, A.; Musa, A.; Kim, K.S.; De Poorter, E.; Moerman, I. A Survey on Hybrid Beamforming Techniques in 5G: Architecture and System Model Perspectives. IEEE Commun. Surv. Tutor. 2018, 20, 3060–3097. [Google Scholar] [CrossRef]
  5. Van Veen, B.D.; Buckley, K.M. Beamforming: A Versatile Approach to Spatial Filtering. IEEE ASSP Mag. 1988, 5, 4–24. [Google Scholar] [CrossRef] [PubMed]
  6. Dreifuerst, R.M.; Heath, R.W. Massive MIMO in 5G: How Beamforming, Codebooks, and Feedback Enable Larger Arrays. IEEE Commun. Mag. 2023, 61, 18–23. [Google Scholar] [CrossRef]
  7. Chai, Y. Advanced Techniques in Adaptive Beamforming for Enhanced DOA Estimation. In Proceedings of the 2024 International Wireless Communications and Mobile Computing Conference (IWCMC), Ayia Napa, Cyprus, 27–31 May 2024; pp. 269–273. [Google Scholar]
  8. Molaei, A.M.; Zakeri, B.; Andargoli, S.M.H.; Abbasi, M.A.B.; Fusco, V.; Yurduseven, O.A. Comprehensive Review of Direction-of-Arrival Estimation and Localization Approaches in Mixed-Field Sources Scenario. IEEE Access 2024, 12, 65883–65918. [Google Scholar] [CrossRef]
  9. Amin, M.G.; Wang, X.; Zhang, Y.D.; Ahmad, F.; Aboutanios, E. Sparse Arrays and Sampling for Interference Mitigation and DOA Estimation in GNSS. Proc. IEEE 2016, 104, 1302–1317. [Google Scholar] [CrossRef]
  10. Zhou, X.; Zhu, F.; Jiang, Y.; Zhou, X.; Tan, W.; Huang, M. The Simulation Analysis of DOA Estimation Based on MUSIC Algorithm. In Proceedings of the 2020 5th International Conference on Mechanical, Control and Computer Engineering (ICMCCE), Harbin, China, 25–27 December 2020; pp. 1483–1486. [Google Scholar]
  11. Kintz, A.L.; Gupta, I.J. A Modified MUSIC Algorithm for Direction of Arrival Estimation in the Presence of Antenna Array Manifold Mismatch. IEEE Trans. Antennas Propag. 2016, 64, 4836–4847. [Google Scholar] [CrossRef]
  12. Krim, H.; Viberg, M. Two Decades of Array Signal Processing Research: The Parametric Approach. IEEE Signal Process. Mag. 1996, 13, 67–94. [Google Scholar] [CrossRef]
  13. Gabriel, W.F. Adaptive arrays—An introduction. Proc. IEEE 1976, 64, 239–272. [Google Scholar] [CrossRef]
  14. Jaafer, Z.; Goli, S.; Elameer, A.S. Best Performance Analysis of DOA Estimation Algorithms. In Proceedings of the 2018 1st Annual International Conference on Information and Sciences (AiCIS), Fallujah, Iraq, 20–21 November 2018; pp. 235–239. [Google Scholar]
  15. Spielman, D.; Paulraj, A.; Kailath, T. Performance analysis of the MUSIC algorithm. In Proceedings of the ICASSP ’86. IEEE International Conference on Acoustics, Speech, and Signal Processing, Tokyo, Japan, 7–11 April 1986; pp. 1909–1912. [Google Scholar]
  16. Yang, Z.; Chen, P.; Guo, Z.; Ni, D. Low-Cost Beamforming and DOA Estimation Based on One-Bit Reconfigurable Intelligent Surface. IEEE Signal Process. Lett. 2022, 29, 2397–2401. [Google Scholar] [CrossRef]
  17. Handel, P.; Stoica, P.; Soderstrom, T. Capon method for DOA estimation: Accuracy and robustness aspects. In Proceedings of the IEEE Winter Workshop on Nonlinear Digital Signal Processing, Tampere, Finland, 17–20 January 1993; pp. P7.1–P7.5. [Google Scholar]
  18. Hirakawa, M.; Tsuji, H.; Sano, A. Computationally efficient DOA estimation based on linear prediction with Capon method. In Proceedings of the 2001 IEEE International Conference on Acoustics, Speech, and Signal Processing, Salt Lake City, UT, USA, 7–11 May 2001; Volume 5, pp. 3009–3012. [Google Scholar]
  19. Vasylyshyn, V.; Martynova, V. DOA Estimation by Root-Min-Norm using Power Basis and Persymmetric Covariance Matrix. In Proceedings of the 2020 IEEE Ukrainian Microwave Week (UkrMW), Kharkiv, Ukraine, 21–25 September 2020; pp. 1–4. [Google Scholar]
  20. Ning, Y.-M.; Ma, S.; Meng, F.-Y.; Wu, Q. DOA Estimation Based on ESPRIT Algorithm Method for Frequency Scanning LWA. IEEE Commun. Lett. 2020, 24, 1441–1445. [Google Scholar] [CrossRef]
  21. Gupta, P.; Kar, S.P. MUSIC and improved MUSIC algorithm to estimate direction of arrival. In Proceedings of the 2015 International Conference on Communications and Signal Processing (ICCSP), Melmaruvathur, India, 2–4 April 2015; pp. 757–761. [Google Scholar]
  22. Chowdhury, M.W.T.S.; Mastora, M. Performance Analysis of MUSIC Algorithm for DOA Estimation with Varying ULA Parameters. In Proceedings of the 2020 23rd International Conference on Computer and Information Technology (ICCIT), Virtual, 19–21 December 2020; pp. 1–5. [Google Scholar]
  23. Shaghaghi, M.; Vorobyov, S.A. Subspace Leakage Analysis and Improved DOA Estimation With Small Sample Size. IEEE Trans. Signal Process. 2015, 63, 3251–3265. [Google Scholar] [CrossRef]
  24. Komatsu, S.; Imai, S.; Taguchi, K.; Kashiwa, T. Incoming Wave Estimation Characteristics by MUSIC Method Using a Virtual Array Antenna in Urban Reception Conditions. SAE Int. J. Passeng. Cars-Electron. Electr. Syst. 2016, 9, 123–133. [Google Scholar] [CrossRef]
  25. Goto, K.; Akao, T.; Maruta, K.; Ahn, C.J. Reduced Complexity Direction-of-Arrival Estimation for 2D Planar Massive Arrays: A Separation Approach. In Proceedings of the IEEE International Symposium on Communications and Information Technologies (ISCIT), Bangkok, Thailand, 26–29 September 2018; pp. 48–53. [Google Scholar]
  26. Takemoto, R.; Tamura, K.; Ueno, H.; Nakano, H.; He, H.; Cha, J.; Ahn, C.J. Low-Computation DOA Estimation Using Virtual Antenna in 2D MIMO Systems. In Proceedings of the 2023 International Conference on Advanced Technologies for Communications (ATC), Da Nang, Vietnam, 19–21 October 2023; pp. 196–201. [Google Scholar]
  27. Takemoto, R.; Nakano, H.; Ueno, H.; Seimiya, K.; Jeong, I.; Cha, J.; Ahn, C.J. Improvement of DOA Estimation Resolution Using the MUSIC Algorithm by Strategically Placing the Virtual Antennas. In Proceedings of the 19th Asia Pacific International Conference on Information Science and Technology, Takamatsu, Japan, 23–26 June 2024; pp. 1–2. [Google Scholar]
  28. Zhang, R.; Cheng, L.; Zhang, W.; Guan, X.; Cai, Y.; Wu, W.; Zhang, R. Channel Estimation for Movable-Antenna MIMO Systems via Tensor Decomposition. IEEE Wirel. Commun. Lett. 2024, 13, 3089–3093. [Google Scholar] [CrossRef]
  29. Cao, M.-Y.; Vorobyov, S.A.; Hassanien, A. Transmit Array Interpolation for DOA Estimation via Tensor Decomposition in 2-D MIMO Radar. IEEE Trans. Signal Process. 2017, 65, 5225–5239. [Google Scholar] [CrossRef]
Figure 1. Principle of array antennas.
Figure 1. Principle of array antennas.
Electronics 14 00073 g001
Figure 2. MUSIC spectrum using the proposed method.
Figure 2. MUSIC spectrum using the proposed method.
Electronics 14 00073 g002
Figure 3. Principle of virtual antennas.
Figure 3. Principle of virtual antennas.
Electronics 14 00073 g003
Figure 4. RMSE vs. SNR for different combinations of real and virtual antennas.
Figure 4. RMSE vs. SNR for different combinations of real and virtual antennas.
Electronics 14 00073 g004
Figure 5. Modification of virtual antenna spacing.
Figure 5. Modification of virtual antenna spacing.
Electronics 14 00073 g005
Figure 6. MUSIC spectrum for different virtual antenna spacings.
Figure 6. MUSIC spectrum for different virtual antenna spacings.
Electronics 14 00073 g006
Figure 7. MUSIC Spectrum for Closely Spaced AoAs.
Figure 7. MUSIC Spectrum for Closely Spaced AoAs.
Electronics 14 00073 g007
Figure 8. Effect of virtual antenna spacing on resolution for different SNR levels.
Figure 8. Effect of virtual antenna spacing on resolution for different SNR levels.
Electronics 14 00073 g008
Figure 9. MUSIC spectrum for different number of virtual antennas.
Figure 9. MUSIC spectrum for different number of virtual antennas.
Electronics 14 00073 g009
Figure 10. RMSE vs. Number of virtual antennas at different SNR levels.
Figure 10. RMSE vs. Number of virtual antennas at different SNR levels.
Electronics 14 00073 g010
Figure 11. System model with UPA in a three-dimensional space.
Figure 11. System model with UPA in a three-dimensional space.
Electronics 14 00073 g011
Figure 12. MUSIC spectrum using the proposed method with UPA in three-dimensional space.
Figure 12. MUSIC spectrum using the proposed method with UPA in three-dimensional space.
Electronics 14 00073 g012
Table 1. Main DoA Estimation Methods.
Table 1. Main DoA Estimation Methods.
Estimation MethodsBasic PrincipleArray ShapeCalculation Method
Beamformer [16]beam scanningoptionaldirection search
Capon [17]beam scanningoptionaldirection search
LP [18]null scanningoptionaldirection search
Min-Norm [19]null scanningoptionaleigenvalue expansion
MUSICnull scanningoptionaleigenvalue expansion
ESPRIT [20]multi-dim. null scanLinear array or two isomorphic optional arrayseigenvalue expansion
Table 2. Simulation parameters.
Table 2. Simulation parameters.
Array StructureLinear Array
User number ( L ) 6
Real antenna elements ( K ) 5
Virtual antenna elements ( K v ) 5
Inter-element spacing ( d ) λ / 2
AoAs ( θ ) [deg]30, 50, 70, 90, 130, 150
Snapshot number100
SNR [dB]20
Table 3. Simulation parameters.
Table 3. Simulation parameters.
Array StructurePlanar Array
User number ( L ) 6
Real antenna elements ( M × K ) 5
Virtual antenna elementsX-axis: 5
Z-axis: 5
Inter-element spacing ( d ) λ / 2
AoAs ( θ , ϕ ) [deg](30,150), (50,130), (70, 90), (90, 70), (130, 50), (150, 30)
Snapshot number100
SNR [dB]20
Disclaimer/Publisher’s Note: The statements, opinions and data contained in all publications are solely those of the individual author(s) and contributor(s) and not of MDPI and/or the editor(s). MDPI and/or the editor(s) disclaim responsibility for any injury to people or property resulting from any ideas, methods, instructions or products referred to in the content.

Share and Cite

MDPI and ACS Style

Takemoto, R.; Cha, J.; Jeong, I.; Ahn, C.-J. Effectiveness and Characteristics of Virtual Antennas in the Multiple Signal Classification Algorithm. Electronics 2025, 14, 73. https://doi.org/10.3390/electronics14010073

AMA Style

Takemoto R, Cha J, Jeong I, Ahn C-J. Effectiveness and Characteristics of Virtual Antennas in the Multiple Signal Classification Algorithm. Electronics. 2025; 14(1):73. https://doi.org/10.3390/electronics14010073

Chicago/Turabian Style

Takemoto, Riku, Jaesang Cha, Incheol Jeong, and Chang-Jun Ahn. 2025. "Effectiveness and Characteristics of Virtual Antennas in the Multiple Signal Classification Algorithm" Electronics 14, no. 1: 73. https://doi.org/10.3390/electronics14010073

APA Style

Takemoto, R., Cha, J., Jeong, I., & Ahn, C.-J. (2025). Effectiveness and Characteristics of Virtual Antennas in the Multiple Signal Classification Algorithm. Electronics, 14(1), 73. https://doi.org/10.3390/electronics14010073

Note that from the first issue of 2016, this journal uses article numbers instead of page numbers. See further details here.

Article Metrics

Back to TopTop