Diagnostics of Piezoelectric Bending Actuators Subjected to Varying Operating Conditions
Abstract
1. Introduction
2. Failure Mode and Effects Analysis
3. Methodology
4. Experimental Setup and Results
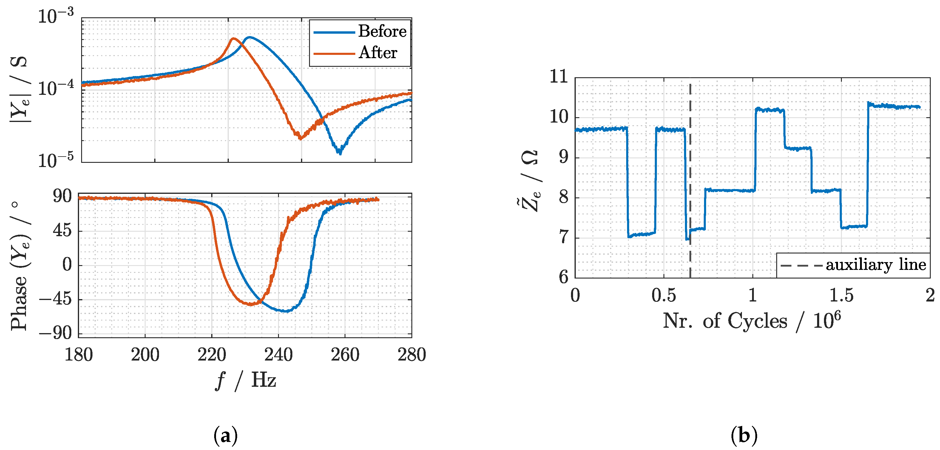
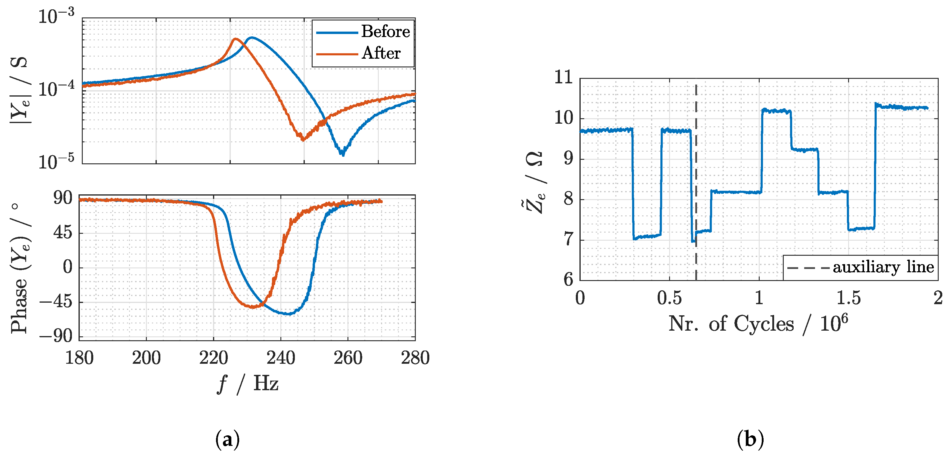
4.1. Varying Voltage Amplitude without External Force
4.2. Varying Voltage Amplitude with External Force
5. Conclusions
Author Contributions
Funding
Institutional Review Board Statement
Informed Consent Statement
Data Availability Statement
Acknowledgments
Conflicts of Interest
References
- Akdogan, E.K.; Allahverdi, M.; Safari, A. Piezoelectric composites for sensor and actuator applications. IEEE Trans. Ultrason. Ferroelectr. Freq. Control 2005, 52, 746–775. [Google Scholar] [CrossRef]
- Park, G.; Farrar, C.R.; di Scalea, F.L.; Coccia, S. Performance assessment and validation of piezoelectric active-sensors in structural health monitoring. Smart Mater. Struct. 2006, 15, 1673. [Google Scholar] [CrossRef]
- Hemsel, T.; Bornmann, P.; Morita, T.; Sondermann-Wölke, C.; Sextro, W. Reliability analysis of ultrasonic power transducers. Arch. Appl. Mech. 2016, 86, 1707–1713. [Google Scholar] [CrossRef]
- Kimotho, J.K.; Hemsel, T.; Sextro, W. Estimation of Remaining Useful Lifetime of Piezoelectric Transducers Based on Self-Sensing. IEEE Trans. Reliab. 2017, 66, 914–923. [Google Scholar] [CrossRef]
- Katipamula, S.; Brambley, M.R. Methods for fault detection, diagnostics, and prognostics for building systems—A review, part I. Hvac&R Res. 2005, 11, 3–25. [Google Scholar]
- ISO 13372:2012(en); Condition Monitoring and Diagnostics of Machines—Vocabulary. International Organization for Standardization (ISO): Geneva, Switzerland, 2012.
- Park, G.; Farrar, C.R.; Rutherford, A.C.; Robertson, A.N. Piezoelectric Active Sensor Self-Diagnostics Using Electrical Admittance Measurements. J. Vib. Acoust. 2006, 128, 469–476. [Google Scholar] [CrossRef]
- Taylor, S.G.; Park, G.; Farinholt, K.M.; Todd, M.D. Diagnostics for piezoelectric transducers under cyclic loads deployed for structural health monitoring applications. Smart Mater. Struct. 2013, 22, 025024. [Google Scholar] [CrossRef]
- Mueller, I.; Fritzen, C.P. Inspection of piezoceramic transducers used for structural health monitoring. Materials 2017, 10, 71. [Google Scholar] [CrossRef]
- Mueller, I.; Fritzen, C.P. Failure assessment of piezoelectric actuators and sensors for increased reliability of shm systems. In Structural Health Monitoring from Sensing to Processing; IntechOpen: London, UK, 2018. [Google Scholar]
- Liang, D.; Wu, L.; Fan, Z.; Xu, Y. Self-diagnosis and self-reconfiguration of piezoelectric actuator and sensor network for large structural health monitoring. Int. J. Distrib. Sens. Netw. 2015, 11, 207303. [Google Scholar] [CrossRef]
- Jiang, X.; Zhang, X.; Zhang, Y. Electrical admittance-based evaluation of piezoelectric active sensor condition using k-nearest neighbors and least-squares regression. AIP Adv. 2021, 11, 075318. [Google Scholar] [CrossRef]
- Jiang, X.; Zhang, X.; Tang, T.; Zhang, Y. Electromechanical impedance based self-diagnosis of piezoelectric smart structure using principal component analysis and LibSVM. Sci. Rep. 2021, 11, 11345. [Google Scholar] [CrossRef]
- Jiang, X.; Zhang, X.; Zhang, Y. Piezoelectric active sensor self-diagnosis for electromechanical impedance monitoring using K-means clustering analysis and artificial neural network. Shock Vib. 2021, 2021, 5574898. [Google Scholar] [CrossRef]
- Lee, S.J.; Sohn, H. Piezoelectric transducer self-diagnosis under changing environmental and structural conditions. IEEE Trans. Ultrason. Ferroelectr. Freq. Control 2010, 57, 2017–2027. [Google Scholar]
- Avvari, P.V.; Yang, Y.; Soh, C.K. Long-term fatigue behavior of a cantilever piezoelectric energy harvester. J. Intell. Mater. Syst. Struct. 2017, 28, 1188–1210. [Google Scholar] [CrossRef]
- Bender, A. Model-based condition monitoring of piezoelectric bending actuators. Sens. Actuators A Phys. 2023, 357, 114399. [Google Scholar] [CrossRef]
- Tagantsev, A.K.; Stolichnov, I.; Colla, E.L.; Setter, N. Polarization fatigue in ferroelectric films: Basic experimental findings, phenomenological scenarios, and microscopic features. J. Appl. Phys. 2001, 90, 1387–1402. [Google Scholar] [CrossRef]
- Denzler, M.P. Lebensdauer und Zuverlässigkeit Dynamisch Betriebener Piezokeramischer Biegewandler, 1st ed.; Cuvillier Verlag Göttingen: Göttingen, Germany, 2004. [Google Scholar]
- Ruschmeyer, K. Piezokeramik: Grundlagen, Werkstoffe, Applikationen; Vol. Bd. 460: Werkstoffe, Kontakt & Studium; Expert-Verl.: Malmsheim, Renningen, Germany, 1995. [Google Scholar]
- Anton, E.M.; Jo, W.; Damjanovic, D.; Rödel, J. Determination of depolarization temperature of (Bi1/2Na1/2)TiO3-based lead-free piezoceramics. J. Appl. Phys. 2011, 110, 094108. [Google Scholar] [CrossRef]
- Liu, H.C.; Liu, L.; Liu, N. Risk evaluation approaches in failure mode and effects analysis: A literature review. Expert Syst. Appl. 2013, 40, 828–838. [Google Scholar] [CrossRef]
- Govorukha, V.; Kamlah, M.; Loboda, V.; Lapusta, Y. Interface cracks in piezoelectric materials. Smart Mater. Struct. 2016, 25, 023001. [Google Scholar] [CrossRef]
- Shoaib, M.; Hamid, N.H.; Tariq Jan, M.; Zain Ali, N.B. Effects of Crack Faults on the Dynamics of Piezoelectric Cantilever-Based MEMS Sensor. IEEE Sens. J. 2017, 17, 6279–6294. [Google Scholar] [CrossRef]
- Zeng, S.; Zhang, C.; Wang, K.; Wang, B.; Sun, L. Analysis of delamination of unimorph cantilever piezoelectric energy harvesters. J. Intell. Mater. Syst. Struct. 2018, 29, 1875–1883. [Google Scholar] [CrossRef]
- Salazar, R.; Serrano, M.; Abdelkefi, A. Fatigue in piezoelectric ceramic vibrational energy harvesting: A review. Appl. Energy 2020, 270, 115161. [Google Scholar] [CrossRef]
- Van den Ende, D.; Bos, B.; Groen, W. Non-linear electromechanical behaviour of piezoelectric bimorph actuators: Influence on performance and lifetime. J. Electroceram. 2009, 22, 185–191. [Google Scholar] [CrossRef]
- Hemsel, T.; Krome, J.; Littmann, W.; Wallaschek, J. Modellierung piezoelektrischer Stapel-und Vielschichtaktoren für dynamischen Betrieb. 2. In Proceedings of the Polnisch-Deutscher Workshop (Werkzeuge der Mechatronik), Ilmenau, Germany, 14–15 May 1998. [Google Scholar]
- Ling, S.F.; Xie, Y. Detecting mechanical impedance of structures using the sensing capability of a piezoceramic inertial actuator. Sens. Actuators A Phys. 2001, 93, 243–249. [Google Scholar] [CrossRef]
- Littmann, W.; Storck, H.; Wallaschek, J. Reduction of friction using piezoelectrically excited ultrasonic vibrations. In Smart Structures and Materials 2001: Damping and Isolation; SPIE: Bellingham, WA, USA, 2001; Volume 4331, pp. 302–311. [Google Scholar]
- Solodov, I.Y. Ultrasonics of non-linear contacts: Propagation, reflection and NDE-applications. Ultrasonics 1998, 36, 383–390. [Google Scholar] [CrossRef]
- Kögl, M.; Hurlebaus, S.; Gaul, L. Finite element simulation of non-destructive damage detection with higher harmonics. NDT E Int. 2004, 37, 195–205. [Google Scholar] [CrossRef]
- Solodov, I.; Krohn, N.; Busse, G. Nonlinear ultrasonic NDT for early defect recognition and imaging. In Proceedings of the European Conference on NDT (ECNDT), Moscow, Russia, 7–11 June 2010; Citeseer: Forest Grove, OR, USA, 2010; Volume 720. [Google Scholar]
- Littmann, W.; Hemsel, T.; Kauczor, C.; Wallaschek, J.; Sinha, M. Load-adaptive phase-controller for resonant driven piezoelectric devices. In Proceedings of the World Congress Ultrasonics, Paris, France, 7–10 September 2003; Volume 48, p. 64. [Google Scholar]
- Joël, B.L.; Sepehr, Z.M.; Rudolf, S.; Joël, A.; Philippe, L.; Micky, R. Piezoelectric Actuators Characterization for Simultaneous Force and Displacement Self-Sensing by detecting Impedance. IFAC-PapersOnLine 2019, 52, 501–506. [Google Scholar] [CrossRef]
- Leadenham, S.; Erturk, A. Unified nonlinear electroelastic dynamics of a bimorph piezoelectric cantilever for energy harvesting, sensing, and actuation. Nonlinear Dyn. 2015, 79, 1727–1743. [Google Scholar] [CrossRef]
- Sader, J.E. Frequency response of cantilever beams immersed in viscous fluids with applications to the atomic force microscope. J. Appl. Phys. 1998, 84, 64–76. [Google Scholar] [CrossRef]
- Shih, W.Y.; Li, X.; Gu, H.; Shih, W.H.; Aksay, I.A. Simultaneous liquid viscosity and density determination with piezoelectric unimorph cantilevers. J. Appl. Phys. 2001, 89, 1497–1505. [Google Scholar] [CrossRef]
- Naik, T.; Longmire, E.K.; Mantell, S.C. Dynamic response of a cantilever in liquid near a solid wall. Sens. Actuators A Phys. 2003, 102, 240–254. [Google Scholar] [CrossRef]
- Ohol, R.; Vasuki, B. Piezoelectric Actuated Stirrer for Solid Drug Powder-Liquid Mixing. Theor. Found. Chem. Eng. 2022, 56, 1100–1115. [Google Scholar] [CrossRef]












| Failure Mode | Failure Effect | Failure Cause |
|---|---|---|
| Piezoelectric ceramics | ||
| Crack | Reduced stiffness, increased resistance, consequent crack in the electrode | Mechanical load |
| Depolarization | Decreased piezoelectric characteristics, flatter resonance peaks, resonance and anti-resonance frequency coincide, loss of functionality | Operation with an electrical voltage opposite to the actuator’s polarization, mechanical load opposite to the actuator’s polarization, elevated temperature |
| Leakage current | Overload of electronic components in the measurement chain, such as the piezoelectric amplifier, loss of functionality | Elevated unipolar electric field strength, electromigration, contamination, humidity |
| Electrode | ||
| Crack | Increased contact resistance, increased thermal load, reduced capacity, decreased active area | Crack of the piezoelectric ceramics, mechanical load |
| Burn | Reduced capacity, decrease in the active area | Thermal load |
| Passive middle layer | ||
| Crack | Altered damping and stiffness characteristics | Mechanical load |
| Copper overhang | ||
| Soldering failure | Partial or complete loss of electrical connection and loss of functionality | Improper soldering, mechanical vibrations, thermal load |
| Adhesive | ||
| Delamination | Decrease in bending movement, loss of functionality | Mechanical load |
Disclaimer/Publisher’s Note: The statements, opinions and data contained in all publications are solely those of the individual author(s) and contributor(s) and not of MDPI and/or the editor(s). MDPI and/or the editor(s) disclaim responsibility for any injury to people or property resulting from any ideas, methods, instructions or products referred to in the content. |
© 2024 by the authors. Licensee MDPI, Basel, Switzerland. This article is an open access article distributed under the terms and conditions of the Creative Commons Attribution (CC BY) license (https://creativecommons.org/licenses/by/4.0/).
Share and Cite
Aimiyekagbon, O.K.; Bender, A.; Hemsel, T.; Sextro, W. Diagnostics of Piezoelectric Bending Actuators Subjected to Varying Operating Conditions. Electronics 2024, 13, 521. https://doi.org/10.3390/electronics13030521
Aimiyekagbon OK, Bender A, Hemsel T, Sextro W. Diagnostics of Piezoelectric Bending Actuators Subjected to Varying Operating Conditions. Electronics. 2024; 13(3):521. https://doi.org/10.3390/electronics13030521
Chicago/Turabian StyleAimiyekagbon, Osarenren Kennedy, Amelie Bender, Tobias Hemsel, and Walter Sextro. 2024. "Diagnostics of Piezoelectric Bending Actuators Subjected to Varying Operating Conditions" Electronics 13, no. 3: 521. https://doi.org/10.3390/electronics13030521
APA StyleAimiyekagbon, O. K., Bender, A., Hemsel, T., & Sextro, W. (2024). Diagnostics of Piezoelectric Bending Actuators Subjected to Varying Operating Conditions. Electronics, 13(3), 521. https://doi.org/10.3390/electronics13030521

