Numerical Investigation on Deformation of the Water-Rich Silt Subsoil under Different Compaction Conditions
Abstract
1. Introduction
2. Properties of Remolded Saturated Silt
2.1. Basic Physical Properties of Silt
2.2. Static Triaxial Tests under Different Dry Densities
2.2.1. Setting of Compaction Degree
2.2.2. Sample Preparation
2.2.3. Scheme of Static Triaxial Tests
2.2.4. Stress–Strain Relationship
2.2.5. Effective Stress Path
2.2.6. Analysis of Shear Strength Parameters
3. Boundary Surface Model and Numerical Implementation
3.1. Boundary Surface Model
3.1.1. Boundary Surface Equation
3.1.2. Reflection Principles
3.1.3. Flow Rule
3.1.4. Hardening Rule
3.1.5. Plastic Modulus
3.1.6. Loading Criteria
3.2. Numerical Implementation
4. Numerical Simulation of Subsoil Deformation
4.1. Simulation of Aircraft Loading
4.2. Simulation Scheme
4.3. Analysis of Subsoil Deformation Results
4.3.1. Impact Analysis of Cyclic Loading
Deformation Analysis of Single Point
Analysis of Overall Deformation
4.3.2. Impact Analysis of Load Frequency
5. Conclusions
- Based on the layered filling of the silt subsoil of Hohhot new airport, the numerical model of airport runway is established. Based on the established dynamic constitutive model for remolded saturated silt, through the UMAT subprogram, the moving cyclic loading of aircraft on the pavement was achieved. Through numerical simulation, the influence of compaction degree on the deformation of silt subsoil under moving cyclic loading of aircraft was revealed.
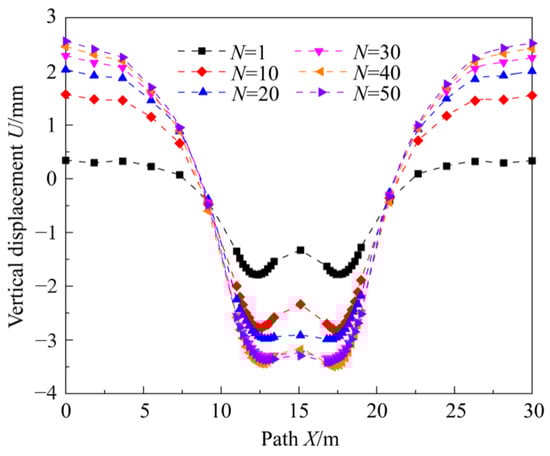
- As the number of cycles increase, the development rate of deformation gradually decreases, and the deformation of silt subsoil stays stable after 50 loading cycles. The cumulative plastic deformation of the saturated subsoil compacted by layers under 50 cycles of dynamic aircraft loading reaches 3.65 mm. After the same loading cycles, the cumulative plastic deformation of the subsoil with layered compaction is twice than that with overall compaction. This indicates that the selection of combined parameters of compaction degree is crucial for the subsoil compacted in layers.
- A control group with different speeds of 10 m/s and 20 m/s was set to explore the influence of loading frequency on subsoil deformation. The development trends of cumulative plastic deformation stays unchanged as the aircraft speed is 15 m/s. At the aircraft speed of 10 m/s, the long residence time of loading makes it easier to form accumulative plastic deformation. Therefore, in practical engineering, to ensure that the compaction degree of subsoil meets the requirements of long-term deformation control, the compaction degrees of subsoil with the depth from 4 m to 10 m should be controlled and paid more importance.
Author Contributions
Funding
Data Availability Statement
Conflicts of Interest
References
- Chen, Q.; Indraratna, B. Deformation behavior of lignosulfonate-treated sandy silt under cyclic loading. J. Geotech. Geoenvironmental Eng. 2015, 141, 06014015.1–06014015.5. [Google Scholar] [CrossRef]
- Chen, Q.; Indraratna, B. Shear behaviour of sandy silt treated with lignosulfonate. Can. Geotech. J. 2015, 52, 1180–1185. [Google Scholar] [CrossRef]
- Subei, N.; Saxena, S.K.; Mohammadi, J. A BEM–FEM approach for analysis of distresses in pavements. Int. J. Numer. Anal. Methods Geomech. 2010, 15, 103–119. [Google Scholar] [CrossRef]
- Luo, Q.; Ye, X.; Li, Q.; Zhang, S.; Yu, Q.; Ma, X. Experimental and numerical study on response characteristics of airport pavement subjected to wetting in silt subgrade. KSCE J. Civ. Eng. 2023, 27, 551–566. [Google Scholar] [CrossRef]
- Monismith, C.L.; Ogawa, N.; Freeme, C.R. Permanent deformation characteristics of subsoil soils due to repeated loading. Transp. Res. Rec. J. Transp. Res. Board 1975, 537, 1–17. [Google Scholar]
- Li, J. Permanent Deformation and Resilient Modulus of Unbound Granular Materials; Iowa State University: Ames, IA, USA, 2013. [Google Scholar]
- Anand, J.P.; Louay, N.M.; Aaron, A. Permanent deformation characterization of subgrade soils from RLT test. J. Mater. Civ. Eng. 1999, 11, 274–282. [Google Scholar]
- Salour, F.; Erlingsson, S. Permanent deformation characteristics of silty sand subgrades from multistage RLT tests. Int. J. Pavement Eng. 2017, 18, 236–246. [Google Scholar] [CrossRef]
- Tang, L.; Yan, M.H.; Ling, X.Z.; Tian, S. Dynamic behavioursof railway’s base course materials subjected to long-term low-level cyclic loading: Experimental study and empirical model. Géotechnique 2016, 67, 537–545. [Google Scholar] [CrossRef]
- Ren, X.W.; Xu, Q.; Teng, J.D.; Zhao, N.; Lv, L. A novel model for the cumulative plastic strain of soft marine clay under long-term low cyclic loads. Ocean. Eng. 2018, 149, 194–204. [Google Scholar] [CrossRef]
- Mróz, Z. On the description of anisotropic workhardening. J. Mech. Phys. Solids 1967, 15, 163–175. [Google Scholar] [CrossRef]
- Koiter, W.T. Stress-strain relations, uniqueness and variational theorems for elastic- plastic materials with a singular yield surface. Q. Appl. Math. 1953, 11, 350–354. [Google Scholar] [CrossRef]
- Iwan, W.D. On a class of models for the yielding behavior of continuous and composite systems. J. Appl. Mech. 1967, 34, 612–617. [Google Scholar] [CrossRef]
- Prevost, J.H. Anisotropic undrained stress-strain behavior of clays. J. Geotech. Eng. Div. ASCE 1978, 104, 1075–1090. [Google Scholar] [CrossRef]
- Mrǒz, Z.; Norris, V.A.; Zienkiewicz, O.C. An anisotropic hardening model for soils and its application to cyclic loading. Int. J. Numer. Anal. Methods Geomech. 1978, 2, 203–221. [Google Scholar] [CrossRef]
- Wan, Z.; Gao, W.S.; Xie, L.Y. Elastoplastic Model for Sand and Clay Suitable for Describing the Cyclic Loading Response. Strength Mater. 2021, 53, 662–669. [Google Scholar] [CrossRef]
- Huang, M.S.; Song, C.X. Upper-bound stability analysis of a plane strain heading in non-homogeneous clay. Tunneling Undergr. Space Technol. 2013, 38, 213–223. [Google Scholar] [CrossRef]
- Mróz, Z.; Norris, V.A.; Zienkiewicz, O.C. Application of an anisotropic hardening model in the analysis of elastoplastic deformation of soils. Geotechnique 1979, 299, 1–34. [Google Scholar] [CrossRef]
- Srinil, C.; Komolvilas, V.; Kikumoto, M. Unified state boundary surface model for clay and sand under saturated and unsaturated conditions. Soils Found. 2022, 62, 101219. [Google Scholar] [CrossRef]
- Jockovic, S.; Vukicevic, M. Bounding surface model for over-consolidated clays with new state parameter formulation of hardening rule. Comput. Geotech. 2017, 83, 16–29. [Google Scholar] [CrossRef]
- Masin, D. Clay hypoplasticity model including stiffness anisotropy. Géotechnique 2015, 64, 232–238. [Google Scholar] [CrossRef]
- Huang, M.S.; Liu, Y.H.; Sheng, D.C. Simulation of yielding and stress-stain behavior of shanghai soft clay. Comput. Geotech. 2011, 38, 341–353. [Google Scholar] [CrossRef]
- Cun, H.; Liu, H. A new bounding-surface plasticity model for cyclic behaviors of saturated clay. Commun. Nonlinear Sci. Numer. Simul. 2015, 22, 101–119. [Google Scholar]
- Manzari, M.T.; Yonten, K. On implementation and performance of an anisotropic constitutive model for clays. Int. J. Comput. Methods 2014, 11, 1342009. [Google Scholar] [CrossRef]
- Heidarzadeh, H.; Kamgar, R. Necessity of applying the concept of the steady state on the numerical analyses of excavation issues: Laboratory, field and numerical investigations. Geomech. Geoengin. 2020, 17, 413–425. [Google Scholar] [CrossRef]
- Qin, L. Dynamic Constitutive Model of Unsaturated Loess and Its Application in Seismic Response Analysis of Subway Station. Ph.D. Thesis, Chang’an University, Chang’an, China, 2010. (In Chinese). [Google Scholar]
- GB/T 50123—2019; Ministry of Housing and Urban-Rural Development of the People’s Republic of China. Standard for Geotechnical Testing Method. China Planning Press: Beijing, China, 2019. (In Chinese)
- MH/T 5014—2022; Civil Aviation Administration of China. Technical Specifications for Construction of Airfield Earthwork and Pavement Base. China Civil Aviation Publishing House: Beijing, China, 2022. (In Chinese)
- Ma, X.; Yu, Q.; Xuan, M.; Ren, H.; Ye, X.; Liu, B. Study on the influence mechanism of sample preparation method on the shear strength of silty soil. Sustainability 2023, 15, 2635. [Google Scholar] [CrossRef]
- Zienkiewicz, O.C. The Finite Element Method in Engineering Science; McGraw-Hill: London, UK, 1971. [Google Scholar]
- Huang, B.; Ding, H.; Chen, Y. Simulation of high-speed train load by dynamic tests. Chin. J. Geotech. Eng. 2011, 55, 195–201. (In Chinese) [Google Scholar]
- Fu, Y.-K.; Li, Y.-L.; Tan, Y.-Q.; Zhang, C. Dynamic response analyses of snow-melting airport rigid pavement under different types of moving loads. Road Mater. Pavement Des. 2019, 20, 943–963. [Google Scholar] [CrossRef]
- Qin, L. Study on Deformation of Airport Pavement Foundation under the Action of Aircraft Loads and Groundwater. Master’s Thesis, Zhengzhou University, Zhengzhou, China, 2017. (In Chinese). [Google Scholar]
- Guo, H.; Sherwood, J.A.; Snyder, M.B. Component Dowel-Bar Model for Load-Transfer Systems in PCC Pavements. J. Transp. Eng. ASCE 1995, 121, 289–298. [Google Scholar] [CrossRef]
- Gu, W.J.; Tian, Y.; Zhang, X.Y. Mechanical response and structure optimization of nanomodified asphalt pavement. Adv. Civ. Eng. 2021, 2021, 6286704. [Google Scholar] [CrossRef]
- Li, Y.B.; Zhang, J.S.; Zhu, Z.H.; Wang, X.; Shi, X. Study on dynamic characteristics of coarse grained soil filler in railway subsoil under stepped axial cyclic loading. J. Railw. Sci. Eng. 2019, 16, 620–628. [Google Scholar]
- Gidel, G.; Breysse, D.; Hornych, P.; Chauvin, J.J.; Denis, A. A new approach for investigating the permanent deformation behavior of unbound granular material using the repeated load triaxial apparatus. Bull. De Liaison Des Lab. Des Ponts Et Chaussees 2001, 233, 5–21. [Google Scholar]













| Compaction Degree (%) | Density/g·cm−3 | Confining Pressure/kPa | Deviatoric Stress p/kPa | Deviatoric Stress q/kPa | Gradient of Failure Line M/Dimensionless |
|---|---|---|---|---|---|
| 91% | 1.729 | 100 | 365.615 | 516.226 | 1.401 |
| 200 | 375.919 | 525.465 | |||
| 300 | 450.832 | 629.578 | |||
| 94% | 1.786 | 100 | 648.019 | 921.356 | 1.436 |
| 200 | 660.629 | 940.698 | |||
| 300 | 680.982 | 966.539 | |||
| 97% | 1.843 | 100 | 640.030 | 929.639 | 1.443 |
| 200 | 786.851 | 1136.976 | |||
| 300 | 793.653 | 1138.780 |
| Samples | Dynamic Stress Ratio | Frequency/Hz | Dry Density/g·cm−3 | Void Ratio |
|---|---|---|---|---|
| A | 0.30 | 1 | 1.80 | 1.14 |
| B | 0.45 | 1.86 | 0.97 | |
| C | 0.50 | 1.79 | 1.16 |
| Samples | Cohesive Force/kPa | Internal Friction Angle/° | Compression Gradient λ | Rebound Gradient κ | Poisson’s Ratio ν | Gradient of Failure Line M | Model Constant | Atmospheric Constant /kPa | Model Constant |
|---|---|---|---|---|---|---|---|---|---|
| A | 28.0 | 41.75 | 0.25 | 0.15 | 0.2 | 1.4 | 10 | 101.325 | 3.225 |
| B | 30.9 | 48.86 | |||||||
| C | 27.5 | 40.57 |
| Layers | Material Types | Thickness /cm | Density /kg·m−3 | Elastic Modulus /MPa | Poisson’s Ratio | Damping |
|---|---|---|---|---|---|---|
| Pavement surface | Cement concrete | 36 | 2400 | 32,900 | 0.167 | 0.8 |
| Base layer | Cement stabilized macadam | 30 | 2300 | 3000 | 0.30 | 0.8 |
| Cushion layer | Natural grit | 30 | 2300 | 1200 | 0.35 | 0.8 |
| Depth/m | Cohesive Force/kPa | Internal Friction Angle/° | Compression Gradient λ | Rebound Gradient κ | Poisson’s Ratio ν | Gradient of Failure Line M | Model Constant | Atmospheric Constant /kPa | Model Constant |
|---|---|---|---|---|---|---|---|---|---|
| 0–1 | 29.7 | 45.2 | 0.016 | 0.005 | 0.3 | 1.4 | 10 | 101.325 | 1.225 |
| 1–4 | 28.1 | 43.4 | |||||||
| 4–10 | 24.2 | 38.4 |
| Compaction Degree | Maximum Vertical Deformation/mm (t = 0.3 s) | Maximum Vertical Deformation/mm (t = 1.1 s) |
|---|---|---|
| 94% | 2.15 | 1.50 |
| 97%, 94%, 91% | 2.20 | 1.52 |
Disclaimer/Publisher’s Note: The statements, opinions and data contained in all publications are solely those of the individual author(s) and contributor(s) and not of MDPI and/or the editor(s). MDPI and/or the editor(s) disclaim responsibility for any injury to people or property resulting from any ideas, methods, instructions or products referred to in the content. |
© 2024 by the authors. Licensee MDPI, Basel, Switzerland. This article is an open access article distributed under the terms and conditions of the Creative Commons Attribution (CC BY) license (https://creativecommons.org/licenses/by/4.0/).
Share and Cite
Luo, Q.; Kou, J.; Yi, W.; Liu, Y.; Ma, X.; Zhang, Y.; Ye, X. Numerical Investigation on Deformation of the Water-Rich Silt Subsoil under Different Compaction Conditions. Electronics 2024, 13, 520. https://doi.org/10.3390/electronics13030520
Luo Q, Kou J, Yi W, Liu Y, Ma X, Zhang Y, Ye X. Numerical Investigation on Deformation of the Water-Rich Silt Subsoil under Different Compaction Conditions. Electronics. 2024; 13(3):520. https://doi.org/10.3390/electronics13030520
Chicago/Turabian StyleLuo, Qiqi, Jingyuan Kou, Wenni Yi, Yibo Liu, Xinyan Ma, Yuncheng Zhang, and Xinyu Ye. 2024. "Numerical Investigation on Deformation of the Water-Rich Silt Subsoil under Different Compaction Conditions" Electronics 13, no. 3: 520. https://doi.org/10.3390/electronics13030520
APA StyleLuo, Q., Kou, J., Yi, W., Liu, Y., Ma, X., Zhang, Y., & Ye, X. (2024). Numerical Investigation on Deformation of the Water-Rich Silt Subsoil under Different Compaction Conditions. Electronics, 13(3), 520. https://doi.org/10.3390/electronics13030520

