Sign in to use this feature.

Years

Between: -

Subjects

remove_circle_outline
remove_circle_outline
remove_circle_outline
remove_circle_outline
remove_circle_outline
remove_circle_outline
remove_circle_outline
remove_circle_outline
remove_circle_outline

Journals

remove_circle_outline
remove_circle_outline
remove_circle_outline
remove_circle_outline
remove_circle_outline
remove_circle_outline
remove_circle_outline
remove_circle_outline
remove_circle_outline
remove_circle_outline
remove_circle_outline

Article Types

Countries / Regions

remove_circle_outline
remove_circle_outline
remove_circle_outline
remove_circle_outline
remove_circle_outline
remove_circle_outline
remove_circle_outline
remove_circle_outline

Search Results (5,073)

Search Parameters:
Keywords = fault detection

Order results
Result details
Results per page
Select all
Export citation of selected articles as:
25 pages, 8016 KB  
Article
A Simple Comparative Study on the Effectiveness of Bearing Fault Detection Using Different Sensors on a Roller Bearing
by Haobin Wen, Khalid Almutairi and Jyoti K. Sinha
Machines 2026, 14(3), 351; https://doi.org/10.3390/machines14030351 - 20 Mar 2026
Abstract
Anti-friction bearings are fundamental components of rotating machines. In bearing condition monitoring, fault detection is a primary task, as any undetected faults could result in catastrophic failures and downtime losses. To ensure effective and reliable fault detection, the use of appropriate sensors and [...] Read more.
Anti-friction bearings are fundamental components of rotating machines. In bearing condition monitoring, fault detection is a primary task, as any undetected faults could result in catastrophic failures and downtime losses. To ensure effective and reliable fault detection, the use of appropriate sensors and measurement technologies is essential. This paper presents a comparative study on the applications of four sensor types in bearing condition monitoring. These four sensor types are vibration accelerometer, encoder, acoustic emission (AE) sensor and motor current probe. Their effectiveness and practicability in bearing fault detection are evaluted. Data simultaneously measured from these four sensor types on a split roller bearing within an experimental rig are used for the analysis. Different factors such as machine operating speeds, bearing fault sizes and their location are considered during the experiments to understand the effectiveness and fault detectability of different sensors on a common bearing. Both the accelerometer and the AE sensor are observed to effectively detect all bearing faults from small to extended sizes and from low to high operating speeds. However, the other two sensors, the encoder and motor current probe, have been found to be sensitive only to relatively larger fault sizes and higher operating speeds. The study presents valuable insights into their advantages and limitations through a systematic comparison of roller bearing fault detection. The study provides a basis for sensor selection in bearing condition monitoring and fault detection to enhance the reliability of industrial maintenance activities. Full article
(This article belongs to the Section Machines Testing and Maintenance)
23 pages, 3937 KB  
Article
Deep Learning-Enhanced Fault Detection and Localization in Induction Motor Drives: A ResMLP and TCN Framework
by Hamza Adaika, Khaled Laadjal, Zoheir Tir and Mohamed Sahraoui
Machines 2026, 14(3), 349; https://doi.org/10.3390/machines14030349 (registering DOI) - 20 Mar 2026
Abstract
Unbalanced supply voltage (USV) represents a critical power quality challenge in industrial environments, significantly degrading the performance, efficiency, and operational lifespan of three-phase induction motors. Accurate real-time estimation of sequence impedances (Za,Zb,Zc) and detection [...] Read more.
Unbalanced supply voltage (USV) represents a critical power quality challenge in industrial environments, significantly degrading the performance, efficiency, and operational lifespan of three-phase induction motors. Accurate real-time estimation of sequence impedances (Za,Zb,Zc) and detection of the Negative Voltage Factor (NVF) are essential for effective condition monitoring and preventive maintenance strategies. While existing machine learning methods have demonstrated promising accuracy, they often rely on manual feature engineering, lack hierarchical representation learning, and treat impedance estimation and fault detection as isolated tasks. This paper proposes a unified Deep Multi-Task Learning framework that leverages Residual Multilayer Perceptron (ResMLP) architectures for feature-based learning and Temporal Convolutional Networks (TCNs) for end-to-end raw signal learning. Our contributions include: (1) introduction of a Multi-Head ResMLP architecture that jointly optimizes phase impedance and fault detection, achieving superior NVF accuracy (MAE = 0.0007) and a fault detection F1-score of 0.8831; (2) investigation of raw-voltage TCN models for voltage-only diagnostics, with analysis of the trade-offs between end-to-end learning and feature-based approaches; (3) extensive ablation studies demonstrating the impact of network depth, data augmentation, and training protocols on model generalization; and (4) deployment of PyTorch (v2.0.1)-based models suitable for embedded systems with real-time inference capabilities (2.3 ms per prediction). Experimental validation on a 1.1 kW three-phase motor dataset under diverse load conditions (0–10 Nm) and USV magnitudes (5–15 V) confirms the robustness and practical applicability of the proposed approach for industrial fault diagnosis and condition monitoring systems. Full article
Show Figures

Figure 1

20 pages, 1677 KB  
Article
GeoCLA: An Integrated CNN-BiLSTM-Attention Framework for Geochemical Anomaly Detection in the Hatu Region, Xinjiang
by Yuheng Zhou, Yongzhi Wang, Shibo Wen, Yan Ning, Shaohui Wang, Guangpeng Zhang and Jingjing Wen
Minerals 2026, 16(3), 330; https://doi.org/10.3390/min16030330 (registering DOI) - 20 Mar 2026
Abstract
Geochemical anomaly detection is a critical stage in mineral exploration, playing a key role in predicting potential mineral targets. Traditional methodologies often struggle to integrate the spatial structure of geochemical data with underlying geological constraints effectively. To address this limitation, we propose GeoCLA, [...] Read more.
Geochemical anomaly detection is a critical stage in mineral exploration, playing a key role in predicting potential mineral targets. Traditional methodologies often struggle to integrate the spatial structure of geochemical data with underlying geological constraints effectively. To address this limitation, we propose GeoCLA, a geochemical anomaly detection framework that integrates Convolutional Neural Networks (CNNs), Bidirectional Long Short-Term Memory (BiLSTM) networks, and an Attention Mechanism (AM). This integrated spatial-attention architecture captures complex correlations among multiple features to improve anomaly identification. The method constructs spatial sequential samples from geochemical data. The CNNs extract local spatial patterns, the BiLSTM models sequential dependencies, and the AM enhances the representation of critical features. Anomaly scores are computed using the reconstruction error between the model output and the original data. In addition, a fault-distance weighting factor is incorporated to build a comprehensive anomaly evaluation index. The proposed model was applied to the Hatu gold district in Xinjiang, China. Both visual analysis and quantitative evaluation demonstrate effectiveness, achieving a ROC-AUC of 0.86 and a mineral occurrence coverage rate of 97% within moderate-to-high anomaly prospective areas, significantly outperforming baseline methods. Full article
(This article belongs to the Special Issue Geochemical Exploration for Critical Mineral Resources, 2nd Edition)
21 pages, 4345 KB  
Article
Real-World Airborne Sound Analysis for Health Monitoring of Bearings in Railway Vehicles
by Matthias Kreuzer, David Schmidt, Simon Wokusch and Walter Kellermann
Sensors 2026, 26(6), 1947; https://doi.org/10.3390/s26061947 - 20 Mar 2026
Abstract
In this paper, the task of detecting bearing faults in railway vehicles during regular operation by analyzing acoustic (airborne sound) data is addressed. To that end, various features are studied, among which the Mel Frequency Cepstral Coefficients (MFCCs) are best suited for detecting [...] Read more.
In this paper, the task of detecting bearing faults in railway vehicles during regular operation by analyzing acoustic (airborne sound) data is addressed. To that end, various features are studied, among which the Mel Frequency Cepstral Coefficients (MFCCs) are best suited for detecting bearing faults by analyzing airborne sound. The MFCCs are used to train a Multi-Layer Perceptron (MLP) classifier. The proposed method is evaluated with real-world data for a state-of-the-art commuter railway vehicle in a dedicated measurement campaign. Classification results demonstrate that the chosen MFCC features allow for reliable detection of bearing damages, even for damages that were not included in training. Full article
Show Figures

Figure 1

27 pages, 4265 KB  
Article
Condition Monitoring Model Development for Belt Systems Using Hybrid CNN–BiLSTM Deep-Learning Techniques
by Mortda Mohammed Sahib, Philipp Plänitz, Matthias Hackert-Oschätzchen and Christoph Lerez
Machines 2026, 14(3), 348; https://doi.org/10.3390/machines14030348 - 19 Mar 2026
Abstract
Predictive maintenance aims to monitor equipment conditions through data-driven analysis and estimate failure in advance, which enables the scheduling of maintenance prior to equipment breakdown. In this work, a deep-learning neural network is used to predict the condition of the belt-drive system. A [...] Read more.
Predictive maintenance aims to monitor equipment conditions through data-driven analysis and estimate failure in advance, which enables the scheduling of maintenance prior to equipment breakdown. In this work, a deep-learning neural network is used to predict the condition of the belt-drive system. A combined Convolutional Neural Network with Bi-directional Long Short-Term Memory (CNN-BiLSTM) model is assigned for processing the operational parameters along with vibrational signals to predict belt-drive system conditions in two separate binary classifications: faulty or healthy and unbalanced or balanced conditions. The data flow in the CNN-BiLSTM model initiates with the CNN to extract the features from the vibration signals and performs essential pattern detection. Consequently, the BiLSTM’s role is to capture long-term temporal relationships that cannot be captured by the CNN alone. To predict the targeted conditions, a fully connected layer with a classifier is built at the BiLSTM outputs. For efficient model training, the data is preprocessed through denoising, augmentation, and normalization. Additionally, hyperparameter tuning is conducted to explore different model configurations and select the optimal ones on the basis of relevant performance. An ablation study is conducted to investigate the use of CNN and BiLSTM models individually, confirming that combining both components is essential for accurate classification. Moreover, the cross-validation technique is used to assess the proposed model’s generality by organizing unseen data across rotational speeds, which also depicts robust performance under varying operating conditions. The key added value of this study lies in integrating deep-learning techniques to address a knowledge gap by using raw vibrational signals to establish intelligent monitoring systems, which represents a new scientific contribution to the predictive maintenance of belt-drive systems. Full article
(This article belongs to the Special Issue AI-Driven Reliability Analysis and Predictive Maintenance)
Show Figures

Figure 1

19 pages, 2861 KB  
Article
Fault Detection and Isolation of MEMS IMU Array Based on WOA-MVMD-GLT
by Hanyan Li, Fayou Sun, Jingbei Tian, Xiaoyang He and Ting Zhu
Micromachines 2026, 17(3), 374; https://doi.org/10.3390/mi17030374 - 19 Mar 2026
Abstract
The stable and accurate output of the inertial measurement unit array (IMU) of a micro-electro-mechanical system (MEMS) is the key to ensuring the data fusion of the MEMS IMU array. However, due to the large number of MEMS IMUs contained in the MEMS [...] Read more.
The stable and accurate output of the inertial measurement unit array (IMU) of a micro-electro-mechanical system (MEMS) is the key to ensuring the data fusion of the MEMS IMU array. However, due to the large number of MEMS IMUs contained in the MEMS IMU array, it is susceptible to interference and has difficulty avoiding failures. The output of the MEMS IMU contains noise, outliers, and other related errors, which can seriously lead to low fault detection and isolation accuracy in the MEMS IMU. In this study, a new method of fault detection and isolation based on multivariate variational mode decomposition (MVMD), a whale optimization algorithm (WOA), and a generalized likelihood test (GLT) is proposed, which is called WOA-MVMD-GLT. Firstly, a multi-index fitness function WOA is proposed to optimize the parameters of MVMD. Secondly, MVMD is used to extract the features of the MEMS IMU’s signals. Finally, a GLT is used to construct a fault detection function and a fault isolation function to detect and isolate the faults of gyroscopes and accelerometers. The experimental results show that the method proposed in this paper can significantly reduce the false alarm rate and false isolation rate. Full article
Show Figures

Figure 1

32 pages, 1670 KB  
Systematic Review
A Systematic Review of Blockchain and Multi-Agent System Integration for Secure and Efficient Microgrid Management
by Diana S. Rwegasira, Sarra Namane and Imed Ben Dhaou
Energies 2026, 19(6), 1517; https://doi.org/10.3390/en19061517 - 19 Mar 2026
Abstract
Background: Blockchain and Multi-Agent System (MAS) are increasingly combined to support decentralized, secure, and autonomous peer-to-peer energy trading in microgrid environments. Objectives: This systematic review investigates how blockchain and MAS are integrated to support microgrid energy trading, identifies architectural and operational models, examines [...] Read more.
Background: Blockchain and Multi-Agent System (MAS) are increasingly combined to support decentralized, secure, and autonomous peer-to-peer energy trading in microgrid environments. Objectives: This systematic review investigates how blockchain and MAS are integrated to support microgrid energy trading, identifies architectural and operational models, examines real-world implementations, and highlights technical, regulatory, and security challenges. Unlike prior reviews that focus on blockchain or MAS in isolation, this study provides a unified and comparative analysis of their joint integration. Methods: Following PRISMA 2020 guidelines, a systematic search was conducted in IEEE Xplore, ACM Digital Library, and ScienceDirect, with the last search performed on 10 January 2025. Eligible studies focused on blockchain–MAS integration in microgrid energy trading; non-energy and non-microgrid applications were excluded. Study selection was performed independently by two reviewers, and methodological quality was assessed using an adapted Joanna Briggs Institute (JBI) checklist. A narrative synthesis categorized integration levels, blockchain platforms, MAS roles, and implementation contexts. Results: A total of 104 studies were included. Three dominant integration levels were identified—basic, intermediate, and advanced—distinguished by how decision-making responsibilities are distributed between MAS and smart contracts. Ethereum and Hyperledger Fabric were the most commonly used platforms. MAS agents perform concrete operational functions such as bid and offer generation, price negotiation, matching, and local energy optimization, fundamentally transforming control and monitoring processes. By enabling distributed, intelligent agents to perform real-time sensing, analysis, and response, an MAS enhances system resilience and adaptability. This architecture allows for proactive fault detection, dynamic resource allocation, and coherent, large-scale operations without centralized bottlenecks. Blockchain ensured transparency, trust, and secure transaction execution. Major challenges include scalability constraints, interoperability limitations with legacy grids, regulatory uncertainty, and real-time performance issues. Limitations: Most included studies were simulation-based, with limited real-world deployment and substantial heterogeneity in evaluation metrics. Conclusions: Blockchain–MAS integration shows strong potential for secure, transparent, and decentralized microgrid energy trading. Addressing scalability, regulatory frameworks, and interoperability is essential for large-scale adoption. Future research should emphasize real-world validation, standardized integration architectures, and AI-enabled MAS optimization. Funding: No external funding. Registration: This systematic review was not registered. Full article
(This article belongs to the Section A1: Smart Grids and Microgrids)
Show Figures

Figure 1

17 pages, 3621 KB  
Article
Integration of Numerical and Experimental Methods to Improve the Safety of Working Machines Through Machine Structure Fault Detection and Diagnosis
by Damian Derlukiewicz and Jakub Andruszko
Processes 2026, 14(6), 978; https://doi.org/10.3390/pr14060978 - 19 Mar 2026
Abstract
This paper presents an integrated numerical and experimental methodology for process-based condition monitoring, early-stage fault detection, and diagnosis to improve the operational safety and structural integrity of remotely operated working machines. Because operators have limited perception of hazardous conditions (e.g., resonance, high vibration, [...] Read more.
This paper presents an integrated numerical and experimental methodology for process-based condition monitoring, early-stage fault detection, and diagnosis to improve the operational safety and structural integrity of remotely operated working machines. Because operators have limited perception of hazardous conditions (e.g., resonance, high vibration, and transient dynamic loads), emerging faults may remain unnoticed. The framework identifies and tracks key diagnostic parameters—especially dynamic load indicators—enabling early detection of abnormal events that can initiate damage in the load-carrying structure and other critical components. A key challenge in designing and deploying such machines is limited knowledge of the occurrence, characteristics, and frequency of dynamic loads in real operations. Underestimating these loads during design can cause unexpected failures and reduced fatigue life. The approach integrates numerical strength simulations with sensor data collected during operation, correlating process signals with complex loading scenarios and hazard states. By combining model-based assessment with experimental validation, the method supports systematic process supervision and fault diagnosis under variable operating conditions. The methodology is demonstrated on an ARE 3.0 remotely operated machine case study and shows how data-informed loading characterization and early anomaly detection can enhance safety and support fatigue-oriented durability assessment. Full article
(This article belongs to the Section Process Control and Monitoring)
Show Figures

Figure 1

24 pages, 2492 KB  
Article
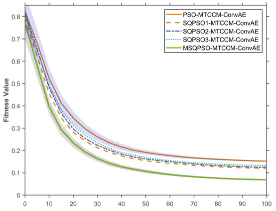
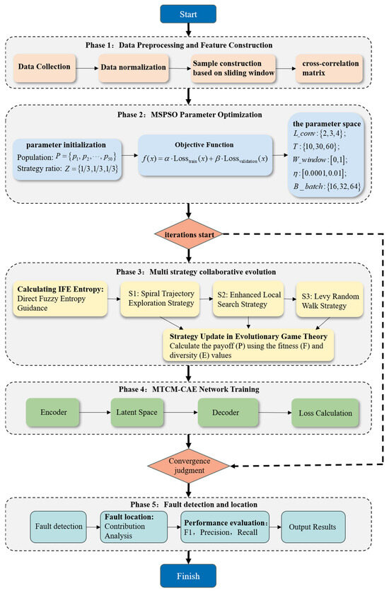
MSQPSO-Optimized MSCC-CAE for Sensor Fault Detection and Localization in Small Modular Reactors
by Weiwei Zhang, Xuesong Wan, Xueting Li, Zhengxi He and Maokang Luo
Sensors 2026, 26(6), 1916; https://doi.org/10.3390/s26061916 - 18 Mar 2026
Viewed by 59
Abstract
As small modular reactors (SMRs) evolve towards longer lifespans, autonomous operation, and high reliability, the accuracy and reliability of sensor data are crucial for ensuring the safe operation of nuclear power systems. To improve the accuracy of multi-source sensor fault detection and localization [...] Read more.
As small modular reactors (SMRs) evolve towards longer lifespans, autonomous operation, and high reliability, the accuracy and reliability of sensor data are crucial for ensuring the safe operation of nuclear power systems. To improve the accuracy of multi-source sensor fault detection and localization in small reactors, this paper proposes a multi-scale cross-correlation-based convolutional autoencoder (MSCC-CAE) framework. First, multiple sensor cross-correlation matrices are constructed across multiple time scales to explicitly characterize the dynamic coupling relationships between heterogeneous sensors. These multi-scale correlation features can effectively capture both short- and long-term dependencies among sensors. Then, a convolutional autoencoder is used to compress and reconstruct the correlation matrix, thereby learning low-dimensional discriminative representations for fault detection. To enhance the stability and generalization of the proposed framework, a multi-strategy improved quantum particle swarm optimization (MSQPSO) algorithm is proposed to adaptively optimize key network hyperparameters. Finally, the proposed method was validated using data from an SMR simulation model. Experimental results demonstrate that the proposed MSCC-CAE achieves a fault detection accuracy of 98.21%, outperforming CNN and conventional CAE models by 15.17 and 12.04 percentage points, respectively. The localization accuracy reaches 97.12%. These results verify the effectiveness and superiority of the proposed framework for intelligent sensor fault detection in the SMR system. Full article
(This article belongs to the Section Fault Diagnosis & Sensors)
Show Figures

Figure 1

15 pages, 5485 KB  
Article
DC Series Arc Fault Detection in Electric Vehicle Charging Systems Using a Temporal Convolution and Sparse Transformer Network
by Kai Yang, Shun Zhang, Rongyuan Lin, Ran Tu, Xuejin Zhou and Rencheng Zhang
Sensors 2026, 26(6), 1897; https://doi.org/10.3390/s26061897 - 17 Mar 2026
Viewed by 157
Abstract
In electric vehicle (EV) charging systems, DC series arc faults, due to their high concealment and severe hazard, have become one of the important causes of electric vehicle fire accidents. An improved hybrid arc fault model of a charging system was established in [...] Read more.
In electric vehicle (EV) charging systems, DC series arc faults, due to their high concealment and severe hazard, have become one of the important causes of electric vehicle fire accidents. An improved hybrid arc fault model of a charging system was established in Simulink for preliminary study. The results show that the high-frequency noise generated by arc faults affects the output voltage quality of the charger, and this noise is conducted to the battery voltage. Arc faults in a real electric vehicle charging experimental platform were further investigated, where it was found that, during arc fault events, the charging system provides no alarm indication, and the current signals exhibit significant large-amplitude random disturbances and nonlinear fluctuations. Moreover, under normal conditions during vehicle charging startup and the pre-charge stage, the current waveforms also present high-pulse spike characteristics similar to arc faults. Finally, a carefully designed deep neural network-based arc fault detection algorithm, Arc_TCNsformer, is proposed. The current signal samples are directly input into the network model without manual feature selection or extraction, enabling end-to-end fault recognition. By integrating a temporal convolutional network for multi-scale local feature extraction with a sparse Transformer for contextual information aggregation, the proposed method achieves strong robustness under complex charging noise environments. Experimental results demonstrate that the algorithm not only provides high detection accuracy but also maintains reliable real-time performance when deployed on embedded edge computing platforms. Full article
(This article belongs to the Special Issue Deep Learning Based Intelligent Fault Diagnosis)
Show Figures

Figure 1

21 pages, 1587 KB  
Article
Low-Complexity Monitoring of DC Motor Speed Sensor Additive Faults Using a Discrete Kalman Filter Observer
by Rossy Uscamaita-Quispetupa, Erwin J. Sacoto-Cabrera, Roger Jesus Coaquira-Castillo, L. Walter Utrilla Mego, Julio Cesar Herrera-Levano, Yesenia Concha-Ramos and Edison Moreno-Cardenas
Energies 2026, 19(6), 1485; https://doi.org/10.3390/en19061485 - 16 Mar 2026
Viewed by 265
Abstract
This article presents an online additive fault-detection system for the speed sensor of a 200 W shunt-type direct current (DC) motor, integrated into a power module controlled by an Insulated Gate Bipolar Transistor (IGBT). The system is designed to trigger an alarm signal [...] Read more.
This article presents an online additive fault-detection system for the speed sensor of a 200 W shunt-type direct current (DC) motor, integrated into a power module controlled by an Insulated Gate Bipolar Transistor (IGBT). The system is designed to trigger an alarm signal when an additive fault occurs by comparing the Kalman Filter (KF) residual against a predefined detection threshold. Three specific fault types in the speed sensor were analyzed: offset, disconnection, and sinusoidal noise. Experimental results demonstrate effective fault detection across a speed range of 80 to 690 rpm under no-load conditions. However, when a constant torque of 0.5 Nm is applied, both the detection threshold and the subset of reliably identifiable faults must be adjusted. The main contribution of this study is the development of a customized real-time fault detection framework and the characterization of residual variations caused by unmodeled load disturbances in actual hardware. This approach improves the monitoring and fault-diagnosis capabilities of sensor systems in DC motors by quantifying the stochastic behavior of residuals under different operating constraints. Full article
Show Figures

Figure 1

21 pages, 3613 KB  
Article
Integrating Convolutional Neural Networks with Finite-State Machines for Fault Detection in Mobile Robots
by Nilachakra Dash, Bandita Sahu, Kakita Murali Gopal, Indrajeet Kumar and Ramesh Kumar Sahoo
Robotics 2026, 15(3), 61; https://doi.org/10.3390/robotics15030061 - 16 Mar 2026
Viewed by 106
Abstract
This paper highlights a communal fault detection and isolation framework integrating a convolutional neural network (CNN) with a finite-state machine (FSM). The proposed concepts ensure state-based controlled discriminate pattern recognition and enable the diagnosis of different anomalies in the mobile robot in a [...] Read more.
This paper highlights a communal fault detection and isolation framework integrating a convolutional neural network (CNN) with a finite-state machine (FSM). The proposed concepts ensure state-based controlled discriminate pattern recognition and enable the diagnosis of different anomalies in the mobile robot in a multi-robot environment. The framework processes the time-series sensor data through the convolution layer upon experiencing different types of fault and governs different states based on fault diagnosis and recovery. The proposed concept has been validated using a Python 3.11 and Webot environment featuring the shrimp robot in a multi-robot arena. The model obtained an accuracy of 97% in identifying and classifying faults, enabling automated recovery of faulty robots in the multi-robot environment. Experiments conducted on different simulators demonstrate that effective fault management can be achieved with low training loss. Full article
(This article belongs to the Section Industrial Robots and Automation)
Show Figures

Figure 1

15 pages, 3229 KB  
Article
Nonlinear Characterisation of Wind Turbine Gearbox Vibration Dynamics Driven by Inhomogeneous Helical Gear Wear
by Khaldoon F. Brethee, Ghalib R. Ibrahim and Al-Hussein Albarbar
Vibration 2026, 9(1), 20; https://doi.org/10.3390/vibration9010020 - 16 Mar 2026
Viewed by 141
Abstract
Helical gear transmissions in wind turbine gearboxes operate under high torque, variable speed, and complex rolling–sliding contact conditions, where friction-induced wear evolves in a spatially non-uniform manner. However, most existing dynamic models assume uniform or mild wear and therefore fail to capture the [...] Read more.
Helical gear transmissions in wind turbine gearboxes operate under high torque, variable speed, and complex rolling–sliding contact conditions, where friction-induced wear evolves in a spatially non-uniform manner. However, most existing dynamic models assume uniform or mild wear and therefore fail to capture the nonlinear coupling between localised tooth surface degradation, gear mesh dynamics, and vibration response. In this work, a nonlinear dynamic model of a helical gear pair is formulated by incorporating time-varying mesh stiffness, elasto-hydrodynamic lubrication (EHL)-based friction forces, and wear-dependent contact geometry. The governing equations of motion are derived to explicitly account for the influence of inhomogeneous tooth wear on the contact load distribution and frictional excitation during meshing. Wear evolution is represented as a spatially varying modification of tooth surface topology, enabling the progressive coupling between wear depth, mesh stiffness perturbations, and dynamic transmission error. The model is employed to analyse the effects of non-uniform wear on system stability, vibration spectra, and dynamic response under wind turbine operating conditions. Numerical results reveal that uneven wear introduces nonlinear modulation of gear mesh forces and generates characteristic sidebands and amplitude variations in the vibration signal that are absent in conventional mild-wear formulations. These wear-induced dynamic features provide mathematically traceable indicators for the onset and progression of uneven tooth degradation. The proposed framework establishes a physics-based link between wear evolution and measurable vibration responses, providing a rigorous foundation for advanced vibration-based diagnostics and model-driven condition monitoring of wind turbine gearboxes. Full article
Show Figures

Figure 1

30 pages, 9167 KB  
Review
A Review of Thermal Safety and Management of Second-Life Batteries: Cell Screening, Pack Configuration and Health Estimation
by Md Imran Hasan, Gang Lei, Dylan Lu and Pablo Poblete Durruty
Batteries 2026, 12(3), 99; https://doi.org/10.3390/batteries12030099 - 15 Mar 2026
Viewed by 148
Abstract
Electric vehicle (EV) adoption is generating a rapidly increasing stream of retired lithium-ion batteries for second-life deployment. However, thermal safety concerns continue to limit their reuse. This paper reviews second-life battery (SLB) thermal safety and management and organizes existing work through a mechanism-to-deployment [...] Read more.
Electric vehicle (EV) adoption is generating a rapidly increasing stream of retired lithium-ion batteries for second-life deployment. However, thermal safety concerns continue to limit their reuse. This paper reviews second-life battery (SLB) thermal safety and management and organizes existing work through a mechanism-to-deployment framework linking four domains: degradation mechanisms, cell screening, pack configuration, and monitoring. Evidence indicates that thermal risk depends on the degradation pathway rather than capacity fade. In fact, cells with comparable capacity can exhibit substantially different trigger temperatures depending on whether lithium plating or solid-electrolyte interphase (SEI) growth dominates. Therefore, capacity-based screening is insufficient because cells that satisfy capacity thresholds may still remain thermally unstable. The four domains are tightly coupled: the degradation pathway determines screening requirements; screening outcomes constrain pack design; pack topology influences fault escalation; and together these factors determine what monitoring can reliably detect. This review highlights three gaps and outlines future research directions in the field of SLB thermal safety and management: limited aged-cell thermal characterization by degradation pathway, insufficient diagnostic validation under industrial-throughput conditions, and the incomplete translation of screening outputs into design rules. Full article
Show Figures

Figure 1

17 pages, 2631 KB  
Article
Monitoring of Liquid Metal Reactor Heater Zones with Recurrent Neural Network Learning of Temperature Time Series
by Maria Pantopoulou, Derek Kultgen, Lefteri Tsoukalas and Alexander Heifetz
Energies 2026, 19(6), 1462; https://doi.org/10.3390/en19061462 - 14 Mar 2026
Viewed by 160
Abstract
Advanced high-temperature fluid reactors (ARs), such as sodium fast reactors (SFRs) and molten salt cooled reactors (MSCRs) utilize high-temperature fluids at ambient pressure. To melt the fluid during reactor startup and prevent fluid freezing during cooldown, the thermal–hydraulic systems of such ARs include [...] Read more.
Advanced high-temperature fluid reactors (ARs), such as sodium fast reactors (SFRs) and molten salt cooled reactors (MSCRs) utilize high-temperature fluids at ambient pressure. To melt the fluid during reactor startup and prevent fluid freezing during cooldown, the thermal–hydraulic systems of such ARs include heater zones consisting of specific heaters with controllers, temperature sensors, and thermal insulation. The failure of heater zones due to insulation material degradation or improper installation, resulting in parasitic heat losses, can lead to fluid freezing. The detection of faults using a heat-transfer model is difficult because of a lack of knowledge of the experimental details. Data-driven machine learning of heater zone temperature time series offers a viable alternative. In this study, we benchmarked the performance of recurrent neural networks (RNNs) in an analysis of heat-up transient temperature time series of heater zones installed on a liquid sodium vessel. The RNN models include long short-term memory (LSTM) and gated recurrent unit (GRU) networks, as well as their bi-directional variants, BiLSTM and BiGRU. Anomalous temperature points were designated using a percentile-based threshold applied to residual fluctuations in the detrended temperature time series. Additionally, the impact of the exponentially weighted moving average (EWMA) method on detection accuracy was examined. The RNN models’ performance was assessed using precision, recall, and F1 score metrics. Results demonstrated that RNN models effectively detect anomalies in temperature time series with the best models for each heater zone achieving F1 scores of over 93%. To explain the variations in RNN model performance across different heater zones, we used Kullback–Leibler (KL) divergence to quantify the relative entropy between training and testing data, and the Detrended Fluctuation Analysis (DFA) to assess long-range temporal correlations. For datasets with strong long-range correlations and minimal relative entropy between training and testing data, GRU is the best-performing model. When the data exhibits weaker long-term correlations and a significant relative entropy between training and testing distributions, BiGRU shows the best performance. For the data sets with intermediate values of both KL divergence and DFA, the best performance is obtained with LSTM and BiLSTM, respectively. Full article
Show Figures

Figure 1

Back to TopTop