Efficient Neural Network-Based Compact Modeling for Novel Device Structures Using a Multi-Fidelity Model and Active Learning
Abstract
1. Introduction
- The proposed NN-based compact model, utilizing MFNN with active learning, can predict the electrical characteristics of nanosheet FETS (NSFETs) based on global and local variables with less than 1.5% error, while reducing the number of TCAD simulations by more than half compared with conventional ANN models.
- The proposed method can reduce the size of the NN-based compact model by more than three times, accelerating SPICE simulations by more than three times compared with conventional ANN models.
2. Techniques for Reducing TCAD Simulations
2.1. Artificial Neural Network (ANN)
2.2. Multi-Fidelity Neural Network (MFNN)
2.3. Sampling Method
3. Device Design for Dataset Generation
3.1. Simulation Conditions
3.2. Process Variations
4. ANN-Based Compact Modeling
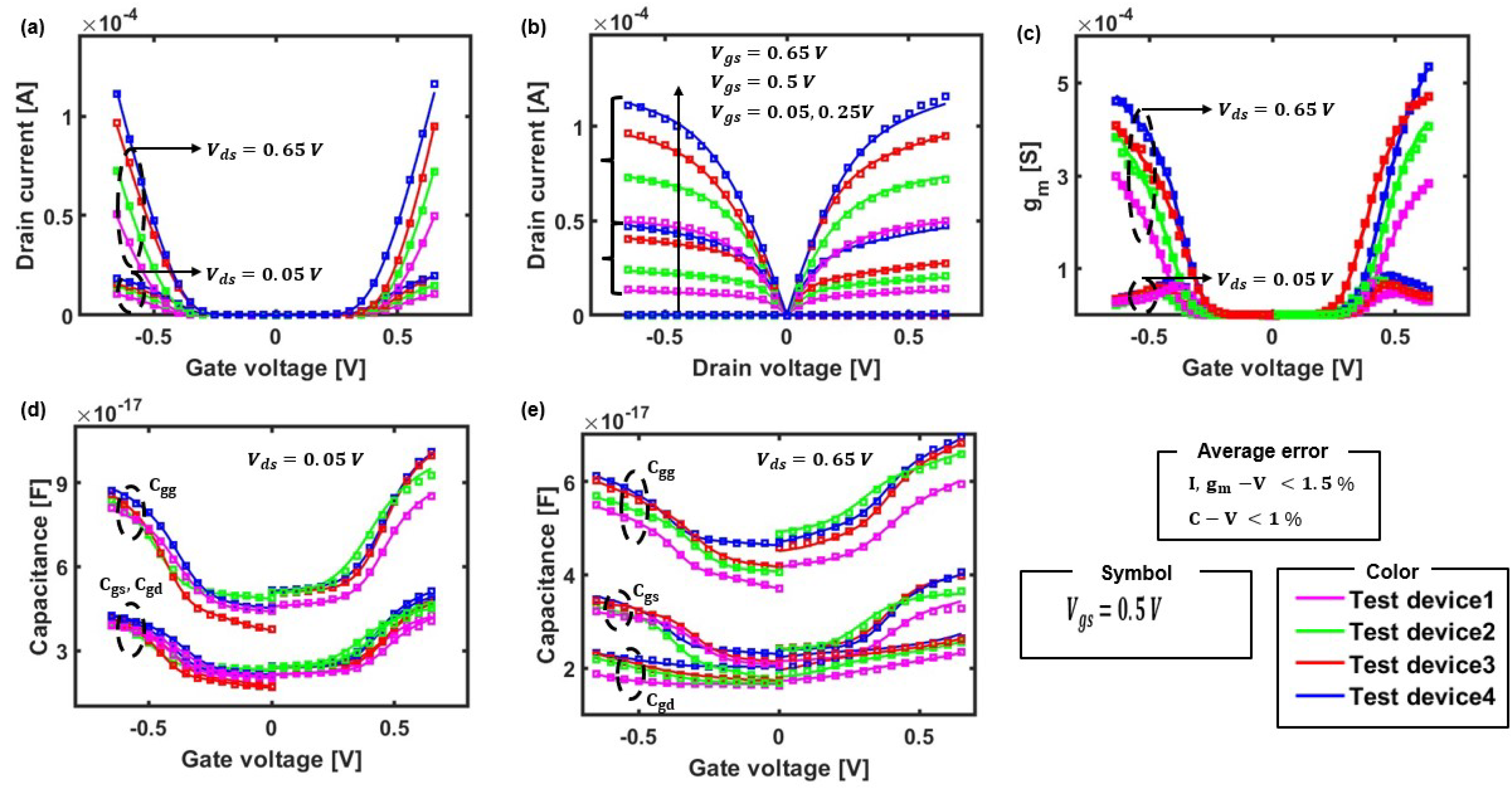
5. MFNN Model and Active Learning
5.1. Initial Dataset Generation
5.2. MFNN Model
5.3. Active Learning
| Algorithm 1 Active learning algorithm using the GPR model. |
| Input: Initial training dataset (80), total input dataset (1000), test dataset (100) Output: Trained model with target accuracy Generate initial training dataset, test input dataset for to iteration do Train the MFNN model with initial training samples if Test accuracy == Target accuracy then break else Train the GPR model with initial training dataset Test the GPR model with total input dataset Ascending sort (variance of total input dataset) Select the top 40 inputs in ascending order TCAD simulation using 40 selected samples Add new dataset to initial training dataset Re-train the MFNN model with transfer learning Test the MFNN model with test dataset end for |
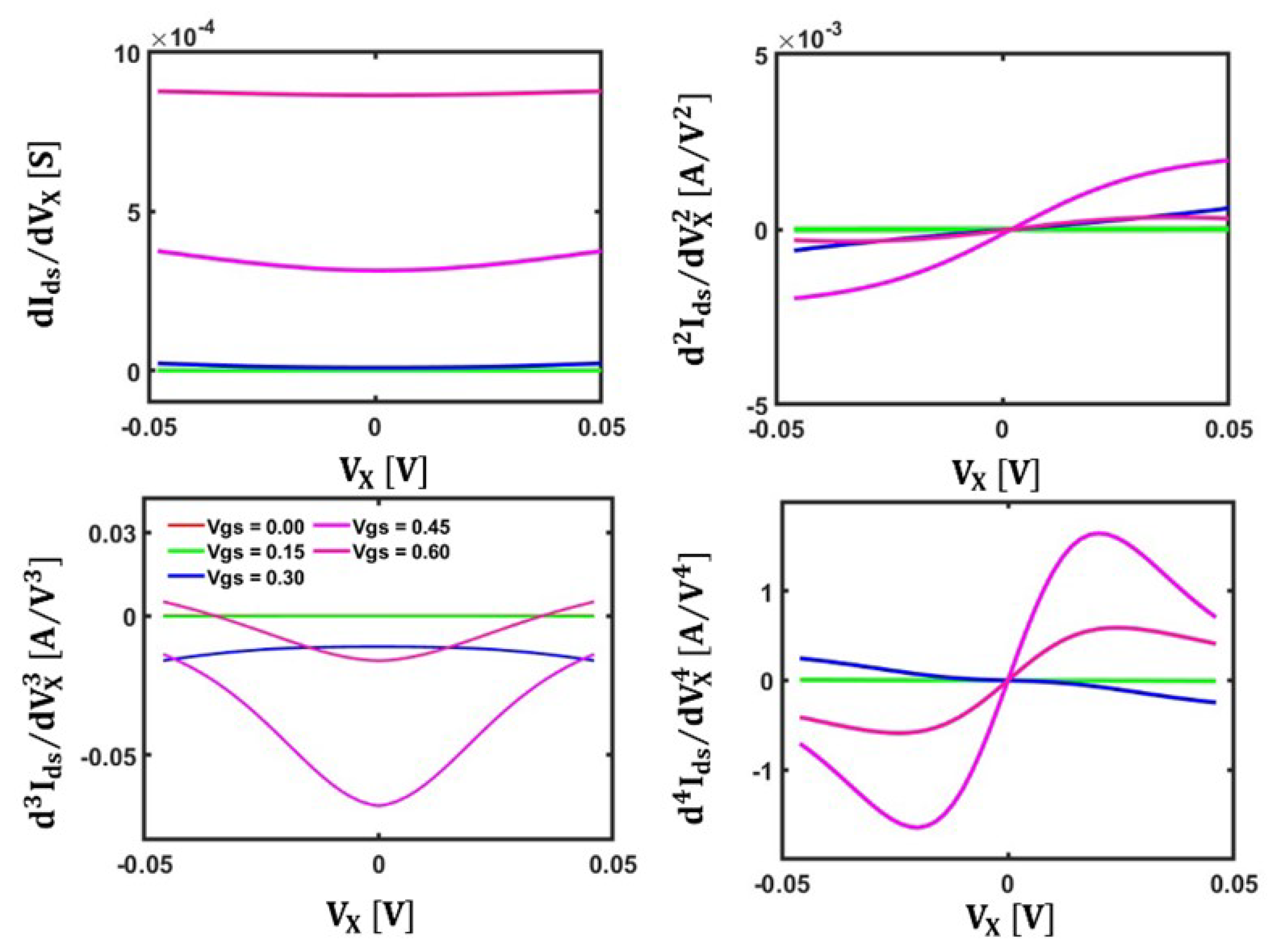
6. Improvements in Spice Simulation
7. Conclusions
Author Contributions
Funding
Data Availability Statement
Acknowledgments
Conflicts of Interest
References
- Wang, J.; Kim, Y.H.; Ryu, J.S.; Jeong, C.W.; Choi, W.S.; Kim, D.S. Artificial neural network-based compact modeling methodology for advanced transistors. IEEE Trans. Electron Devices 2021, 68, 1318–1325. [Google Scholar] [CrossRef]
- Woo, S.; Jeong, H.; Choi, J.; Cho, H.; Kong, J.-T.; Kim, S. Machine-learning-based compact modeling for sub-3-nm-node emerging transistors. Electronics 2022, 11, 2761. [Google Scholar] [CrossRef]
- Jeong, H.; Woo, S.; Choi, J.; Cho, H.; Kim, Y.; Kong, J.T.; Kim, S. Fast and expandable ANN-based compact model and parameter extraction for emerging transistors. IEEE J. Electron Devices Soc. 2023, 11, 153–160. [Google Scholar] [CrossRef]
- Choi, J.; Jeong, H.; Woo, S.; Cho, H.; Kim, Y.; Kong, J.T.; Kim, S. Enhancement and expansion of the neural network-based compact model using a binning method. IEEE J. Electron Devices Soc. 2024, 12, 65–73. [Google Scholar] [CrossRef]
- Lyu, Y.; Chen, W.; Zheng, M.; Yin, B.; Li, J.; Cai, L. Machine learning-assisted device modeling with process variations for advanced technology. IEEE J. Electron Devices Soc. 2023, 11, 303–310. [Google Scholar] [CrossRef]
- Kim, B.; Shin, M. A novel neural-network device modeling based on physics-informed machine learning. IEEE Trans. Electron Devices 2023, 11, 6021–6025. [Google Scholar] [CrossRef]
- Sheelvardhan, K.; Guglani, S.; Ehteshamuddin, M.; Roy, S.; Dasgupta, A. Machine learning augmented compact modeling for simultaneous improvement in computational speed and accuracy. IEEE Trans. Electron Devices 2024, 71, 239–245. [Google Scholar] [CrossRef]
- Butola, R.; Li, Y.; Kola, S.R. Compact model build upon dynamic weighting artificial neural network approach for complementary field effect transistors. IEEE Trans. Electron Devices 2024, 71, 246–253. [Google Scholar] [CrossRef]
- Wei, J.; Wang, H.; Zhao, T.; Jiang, Y.L.; Wan, J. A new compact MOSFET model based on artificial neural network with unique data preprocessing and sampling techniques. IEEE Trans. Comput.-Aided Des. Integr. Circuits Syst. 2022, 42, 1250–1254. [Google Scholar] [CrossRef]
- Zhang, L.; Chan, M. Artificial neural network design for compact modeling of generic transistors. J. Comput. Electron. 2017, 16, 825–832. [Google Scholar] [CrossRef]
- Park, C.; Park, J.; Vincent, P.; Cho, H. Accelerating DTCO with a sample-efficient active learning framework for TCAD device modeling. In Proceedings of the 2024 61th ACM/IEEE Design Automation Conference (DAC), San Francisco, CA, USA, 23–27 June 2024. [Google Scholar]
- Liu, H.; Ong, Y.S.; Cai, J. A survey of adaptive sampling for global metamodeling in support of simulation-based complex engineering design. Struct. Multidiscip. Optim. 2018, 57, 393–416. [Google Scholar] [CrossRef]
- Kumar, R.; Narayan, S.L.; Kumar, S.; Roy, S.; Kaushik, B.K.; Achar, R.; Sharma, R. Knowledge-based neural networks for fast design space exploration of hybrid copper-graphene on-chip interconnect networks. IEEE Trans. Electromagn. Compat. 2021, 64, 182–195. [Google Scholar] [CrossRef]
- Sentaurus Device User Guide, version P-2019.03; Synopsys: Mountain View, CA, USA, 2019.
- Loubet, N.; Hook, T.; Montanini, P.; Yeung, C.-W.; Kanakasabapathy, S.; Guillom, M.; Yamashita, T.; Zhang, J.; Miao, X.; Wang, J.; et al. Stacked nanosheet gate-all-around transistor to enable scaling beyond FinFET. In Proceedings of the 2017 IEEE Symposium on VLSI Technology, Kyoto, Japan, 5–8 June 2017. [Google Scholar]
- Yoon, J.S.; Jeong, J.; Lee, S.; Baek, R.H. Optimization of nanosheet number and width of multi-stacked nanosheet FETs for sub-7-nm node system on chip applications. Jpn. J. Appl. Phys. 2019, 58, SBBA12. [Google Scholar] [CrossRef]
- Ryu, D.; Kim, M.; Yu, J.; Kim, S.; Lee, J.H.; Park, B.G. Investigation of sidewall high-k interfacial layer effect in gate-all-around structure. IEEE Trans. Electron Devices 2020, 67, 1859–1863. [Google Scholar] [CrossRef]
- Yoon, J.-S.; Jeong, J.; Lee, S.; Baek, R.-H. Systematic DC/AC performance benchmarking of sub-7-nm node FinFETs and nanosheet FETs. IEEE J. Electron Devices Soc. 2018, 6, 942–947. [Google Scholar] [CrossRef]
- Sun, Y.; Thompson, E.; Nishida, T. Physics of strain effect in semiconductors and metal-oxide-semiconductor field-effect transistors. J. Appl. Phys. 2007, 101, 104503. [Google Scholar] [CrossRef]
- Reboh, S.; Coquand, R.; Augendre, E.; Barraud, S.; Maitrejean, S.; Viner, M.; Faynot, O.; Loubet, N.; Guillorn, M.; Fetterolf, S.; et al. An analysis of stress evolution in stacked GAA transistors. In Proceedings of the IEEE Silicon Nanoelectronics Workshop (SNW), Honolulu, HI, USA, 12–13 June 2016. [Google Scholar]
- Ko, K.; Lee, J.K.; Kang, M.; Jeon, J.; Shin, H. Prediction of process variation effect for ultrascaled GAA vertical FET devices using a machine learning approach. IEEE Trans. Electron Devices 2019, 66, 4474–4477. [Google Scholar] [CrossRef]
- Jeong, J.; Yoon, J.S.; Lee, S.; Baek, R.H. Comprehensive analysis of source and drain recess depth variations on silicon nanosheet FETs for sub 5-nm node SoC application. IEEE Access 2020, 8, 35873–35881. [Google Scholar] [CrossRef]
- Ko, K.; Kang, M.; Jeon, J.; Shin, H. Variability-aware simulation strategy for gate-all-around vertical field effect transistor. J. Nanosci. Nanotechnol. 2019, 19, 6715–6721. [Google Scholar] [CrossRef]
- Sudarsanan, A.; Nayak, K. TCAD-based investigation of statistical variability immunity in U-channel FDSOI n-MOSFET for sub-7-nm technology. IEEE Trans. Electron Devices 2021, 68, 2611–2617. [Google Scholar] [CrossRef]
- Seoane, N.; Fernandez, J.G.; Kalna, K.; Comesana, E.; Garcia-Loureiro, A. Simulations of statistical variability in n-type FinFET, nanowire, and nanosheet FETs. IEEE Electron Device Lett. 2021, 42, 1416–1419. [Google Scholar] [CrossRef]
- Wang, X.; Cheng, B.; Reid, D.; Pender, A.; Asenov, P.; Millar, C.; Asenov, A. FinFET centric variability-aware compact model extraction and generation technology supporting DTCO. IEEE Trans. Electron Devices 2015, 62, 3139–3146. [Google Scholar] [CrossRef]
- IEEE. International Roadmap for Devices and Systems (IRDS), 2021st ed.; IEEE: Piscataway, NJ, USA, 2021. [Google Scholar]
- Jeong, H.; Choi, J.; Cho, H.; Woo, S.; Kim, Y.; Kong, J.T.; Kim, S. MOBO-driven advanced sub-3-nm device optimization for enhanced PDP performance. IEEE Trans. Electron Devices 2024, 71, 2881–2887. [Google Scholar] [CrossRef]
- Agarwal, H.; Kushwaha, P.; Dasgupta, A.; Kao, M.Y. BSIM-CMG 111.0.0 Technical Manual; Department of Electrical Engineering and Computer Science, University California: Berkeley, CA, USA, 2019. [Google Scholar]
- FreePDK3 Predictive Process Design Kit. Available online: https://github.com/ncsu-eda/FreePDK3 (accessed on 7 October 2024).
- Shahriari, B.; Swersky, K.; Wang, Z.; Adams, R.P.; De Freitas, N. Taking the human out of the loop: A review of Bayesian optimization. Proc. IEEE 2015, 104, 148–175. [Google Scholar] [CrossRef]
- Deshwal, A.; Doppa, J. Combining latent space and structured kernels for Bayesian optimization over combinatorial spaces. Adv. Neural Inf. Process. Syst. 2021, 34, 8185–8200. [Google Scholar]
- McAndrew, C.C. Validation of MOSFET model source-drain symmetry. IEEE Trans. Electron Devices 2006, 53, 2202–2206. [Google Scholar] [CrossRef]














| Parameters | Values | ||
|---|---|---|---|
| WFV | Grain size [nm] | 5 | |
| Work function | NMOS | 40%: 4.4 eV, 60%: 4.6 eV | |
| PMOS | 40%: 4.6 eV, 60%: 4.8 eV | ||
| RDF | Doping based | ||
| Test Devices: TCAD 100 Samples, Target Loss: 1.5% | ||||||||
|---|---|---|---|---|---|---|---|---|
| Model | ANN | MFNN | MFNN (Our work) | |||||
| Sampling method | LHS | Active learning | LHS | Activ learning | ||||
| Device | NMOS | PMOS | NMOS | PMOS | NMOS | PMOS | NMOS | PMOS |
| Required training devices | 840 | 760 | 720 | 600 | 680 | 560 | 400 | 360 |
| Required model size (HL, HN) | 3, 30 | 3, 25 | 3, 25 | 3, 20 | 3, 20 | 3, 15 | 3, 15 | 3, 15 |
| Related Works [2,3,4] (Our Previous Works) | Related Work [7] (Estimation Results) | Related Work [9] (Estimation Results) | Our Work | ||
|---|---|---|---|---|---|
| Input dimension (excluded bias voltage) | 5 | 8 | 8 | 8 | |
| NN model | ANN | MFNN | ANN | MFNN | |
| Model size | Hidden layers | 2 | 3 | 3 | 3 |
| Hidden neurons | 20 | 20 | 30 | 15 | |
| Numbers of W, B (by Equation (5)) | 608 | 1091 | 2231 | 671 | |
| Sampling method | One-shot sampling | LHS | LHS | Active learning | |
| LFNN model update | - | Transfer learning | |||
| Analysis level | Circuit level | ||||
Disclaimer/Publisher’s Note: The statements, opinions and data contained in all publications are solely those of the individual author(s) and contributor(s) and not of MDPI and/or the editor(s). MDPI and/or the editor(s) disclaim responsibility for any injury to people or property resulting from any ideas, methods, instructions or products referred to in the content. |
© 2024 by the authors. Licensee MDPI, Basel, Switzerland. This article is an open access article distributed under the terms and conditions of the Creative Commons Attribution (CC BY) license (https://creativecommons.org/licenses/by/4.0/).
Share and Cite
Jeong, H.; Choi, J.; Kim, Y.; Kong, J.-T.; Kim, S. Efficient Neural Network-Based Compact Modeling for Novel Device Structures Using a Multi-Fidelity Model and Active Learning. Electronics 2024, 13, 4840. https://doi.org/10.3390/electronics13234840
Jeong H, Choi J, Kim Y, Kong J-T, Kim S. Efficient Neural Network-Based Compact Modeling for Novel Device Structures Using a Multi-Fidelity Model and Active Learning. Electronics. 2024; 13(23):4840. https://doi.org/10.3390/electronics13234840
Chicago/Turabian StyleJeong, HyunJoon, JinYoung Choi, Yohan Kim, Jeong-Taek Kong, and SoYoung Kim. 2024. "Efficient Neural Network-Based Compact Modeling for Novel Device Structures Using a Multi-Fidelity Model and Active Learning" Electronics 13, no. 23: 4840. https://doi.org/10.3390/electronics13234840
APA StyleJeong, H., Choi, J., Kim, Y., Kong, J.-T., & Kim, S. (2024). Efficient Neural Network-Based Compact Modeling for Novel Device Structures Using a Multi-Fidelity Model and Active Learning. Electronics, 13(23), 4840. https://doi.org/10.3390/electronics13234840

