Abstract
Artificial Intelligence (AI) is increasingly used in online education platforms to provide valuable insights into students’ performance and success. However, the complexity of AI models makes it challenging for educators to interpret the specific factors that influence whether a student is going to pass or fail. Utilizing the Open University Learning Analytics Dataset (OULAD), this study employs various machine learning and deep learning techniques for predicting students’ success, along with SHapley Additive exPlanations (SHAP) as an Explainable Artificial Intelligence (XAI) technique, to understand the key factors behind success or failure. Unlike traditional statistical methods that explore variable relationships, this AI-driven approach uses advanced deep learning techniques to identify patterns and insights, allowing for a better understanding of the factors influencing student success. Additionally, this study focuses on identifying students at risk of failure using XAI techniques, specifically SHAP, to interpret model outputs by breaking down how specific factors contribute to a student’s success. This method enables targeted interventions to support their success. Results reveal that student engagement and registration timelines are critical factors affecting performance. The customized models achieve up to 94% accuracy for the designed tasks, outperforming traditional approaches. This study contributes to the use of AI in education and offers practical insights not only for educators but also for administrators and policymakers to enhance the quality and effectiveness of online learning.
1. Introduction
Artificial Intelligence (AI) has already made a strong impact on the way systems work in our society, spanning fields such as science, health, industry, finance, and media. The use of AI in academia has grown significantly, particularly in predicting student academic success [1]. Machine learning algorithms, trained on large datasets containing information about students’ interactions, can accurately assess whether a student is at risk of failing [2]. Such predictions provide timely insights to educators, encouraging them to intervene and offer support. However, the complex nature of these algorithms often obscures their decision-making processes in a “black box”, making it challenging to understand the specific reasons behind their predictions [3].
To address this limitation, Explainable Artificial Intelligence (XAI) has emerged as a critical tool [4]. XAI refers to techniques that enhance the transparency of AI models, allowing educators to understand the factors behind a student’s at-risk prediction and tailor their interventions to target specific issues [5]. This study applies the XAI method, SHapley Additive exPlanations (SHAP), to find the factors influencing a student’s academic outcome that is operationalized in terms of a pass or fail grade.
Success in education, in this context, is defined by students achieving passing grades, while failure includes failing grades or course withdrawal. This binary classification aligns with institutional grading systems and provides a practical framework for identifying students in need of support. Moreover, the focus on student success is critical because understanding the underlying factors can lead to more effective interventions and support strategies. Additional explanations will clarify how this study intends to identify at-risk students and provide insights into the complexities of failure behavior, ultimately aiming to enhance student retention and success in online learning environments.
This approach is supported by Tinto’s Student Integration Model [6], which emphasizes the significance of student engagement and persistence as crucial factors in academic success. Both academic and social integration motivate students toward degree completion. Furthermore, Constructivist Learning Theory [7] reinforces the importance of active student involvement in learning, linking engagement to deeper understanding and success. Our study also focuses on course engagement details, aligning with these theories to support the claim that well-structured academic support enhances student outcomes.
This study addresses the gap between advanced analytics, particularly AI-driven educational data analysis, and practical educational applications. The gap refers to the disconnect between the ability to generate highly accurate predictive models and the challenge of making these models interpretable and actionable for educators. By using XAI methods, we bridge this gap, providing educators with accurate predictions as well as interpretable insights that allow them to take effective action.
The implications of this work extend to educational practices, where targeted interventions informed by explainable models can be more effective in preventing student failure. From a policy perspective, this research can guide the development of data-driven strategies for improving student retention and success, emphasizing the role of early identification and support for at-risk students.
The goals of this research are three-fold: (1) predict students’ grades for a course; (2) predict students at risk of failure based on the overall performance; and (3) identify the factors contributing to these predictions. These objectives are interrelated and allow for a comprehensive understanding of the factors influencing educational success as defined above.
The main contributions of this study are summarized as follows:
- An exploratory data analysis is presented, followed by goal-specific pre-processing of data for enhanced results.
- Grade prediction for a course is performed by employing various machine learning techniques, accompanied by a comparative analysis.
- The prediction of at-risk students is presented using both machine learning and deep learning models.
- The identification of critical factors influencing predictions is executed using the SHAP method.
This article is organized as follows: Section 2 discusses the related work; exploratory data analysis is presented in Section 3; the pre-processing is discussed in Section 4; the methodology is explained in Section 5; Section 6 presents the results; the discussion is included in Section 7; and the conclusion is added in Section 8.
2. Related Work
Explainable Artificial Intelligence (XAI) has been a busy research area recently because of its use in identifying the underlying factors behind the model’s predictions [8]. It was employed by researchers in a variety of applications. Researchers leveraged XAI to for a deep understanding of autonomous driving systems [9], while a few of them employed XAI in virtual reality environments for eye-tracking applications [10]. Romano et al. conducted a research study to identify relations between respiratory cancer mortality in Italy, pollution, and socio-economic factors using XAI [11]. Yagin et al. employed XAI to gain insights on reasons to diabetic retinopathy [12]. Carvalho et al. studied the factors behind swimming performance using XAI [13].
The use of XAI in education to explain and predict student performance is relatively new. While AI and machine learning have been employed to predict student success, there is an increasing demand for these models to be understandable as well. People want to know why a model makes certain predictions, not just what the accuracy percentage is. This knowledge is especially important for professionals such as psychologists and researchers who use these models. They prefer simpler models that are easier to understand, even if they are not as complex.
In recent years, the application of machine learning to predict student performance has gained substantial attention in educational data mining, offering valuable insights for improving academic outcomes and institutional strategies. Hussain and Khan [14] explored the use of regression and decision tree classifiers to predict students’ marks and grades using data from the Board of Intermediate and Secondary Education (BISE), highlighting the efficiency of machine learning in forecasting academic performance based on historical student data. Pallathadka et al. expanded on this approach by utilizing a variety of machine learning algorithms, such as Naive Bayes, ID3, C4.5, and SVM, to predict student outcomes and assist educational institutions in reducing failure rates through early intervention [15]. Chen and Zhai further investigated the performance of machine learning models across different types of educational data, comparing the results of random forest, decision tree, and artificial neural networks for both binary and multi-class prediction tasks, with random forest demonstrating superior generality across various datasets [16]. These studies collectively underscore the significance of machine learning techniques in forecasting student performance, enabling educational institutions to adopt data-driven strategies to enhance student retention and success.
Mothilal et al. [17] employed the Local Interpretable Model-Agnostic Explanations (LIME) method to investigate the reasons linked with students dropping out. The authors used data from the students’ grades in high school subjects such as physics, chemistry, mathematics, and the effort that students put in these subjects to explain dropout rates in the first year of engineering. There was an 84% at-risk prediction of dropping out, and the employed method showed the relation between high school grades and the probability of dropping out in the engineering program. The study, however, lacked a critical analysis of the results with respect to the LIME method and therefore highlights the thorough evaluation of the currently employed method.
A different study [4] stressed the implication of explainability in the field of learning analytics. Another study [2] employed XAI to understand the reasons for students dropping out of a massive open online course (MOOC). The authors showed the week-wise analysis of failure probabilities and explanations. They demonstrated the change in relation between contributing features and the probabilities over time.
It is clear from the above discussion that, while substantial work was made in applying XAI methods to predict student performance and understand the factors influencing student success [18], our study presents a novel approach by leveraging SHAP for in-depth analysis, specifically focused on identifying key predictors of student success in an online education system. The factors considered in this study are measurable predictors of student success, including engagement levels (e.g., time spent on the platform, participation in activities), registration timelines (e.g., how early or late a student registers for a course), and interaction with course materials (e.g., frequency and depth of interaction with learning content). By focusing on these specific factors, we aim to provide actionable insights for improving student support. In terms of student outcomes, this study refers to student learning outcomes, particularly focusing on academic performance (e.g., pass/fail rates) and overall engagement. To further connect the pedagogical and technical aspects of this study, we have drawn upon multiple foundational theories.
To connect the pedagogical and technical aspects of this study, we draw upon several foundational theories. In addition to Social Cognitive Theory [19], which emphasizes the role of self-efficacy, and Bloom’s Taxonomy [20], which organizes learning into hierarchical cognitive levels, Constructivist Learning Theory highlights how students build knowledge through active engagement with course materials [7]. This theory aligns with our findings, which indicate that students who interact more frequently and deeply with learning content tend to perform better academically.
By combining these educational theories with AI-driven models, this study offers a framework that connects advanced technical analytics with practical pedagogical insights.
3. Data Selection and Exploratory Analysis
In this section, the dataset is first explained, its structure and features, followed by exploratory analysis.
3.1. Dataset
The foundation of this research is a dataset sourced from the Open University Learning Analytics Dataset [21], encompassing data on 32,593 students over a 9-month course period from 2014 to 2015. This dataset includes information related to student demographics, course enrollments, assessment performances, and interactions within the virtual learning environment (VLE). The database has seven tables, namely: studentRegistration, studentAssessment, assessments, studentInfo, courses, studentVle, and vle. Every table of the dataset has unique information that can be connected to the facts from other tables by means of identifier fields. There are 32,593 registered students and 22 module presentations in the dataset. The dataset structure is depicted in Figure 1.
Figure 1.
Dataset structure.
This dataset is from 2015, and several factors justify its continued relevance in the context of student behavior analysis. First, foundational trends in educational engagement have been stable over time, with various studies confirming similar patterns in student behavior, even as technology and learning environments evolve [22]. Second, the fundamental principles of educational psychology, such as self-efficacy and motivation, remain actual despite changes brought about by events like the pandemic [23]. While we acknowledge the potential changes in student behavior, the dataset used has valuable insights relevant to current educational contexts, facilitating a deeper understanding of the continuity and change in student engagement patterns.
3.2. Exploratory Analysis
This section presents the exploratory data analysis. The visualizations of this section provide insights into student performance and engagement patterns.
Figure 2 provides an overview of assessment scores revealing a nuanced picture of academic performance. A substantial concentration of scores corresponds to a range of moderately high to high marks. The presence of peaks around certain score ranges could imply that some assessments have a common level of difficulty, leading to clusters of similar scores.
Figure 2.
Distribution of assessment scores.
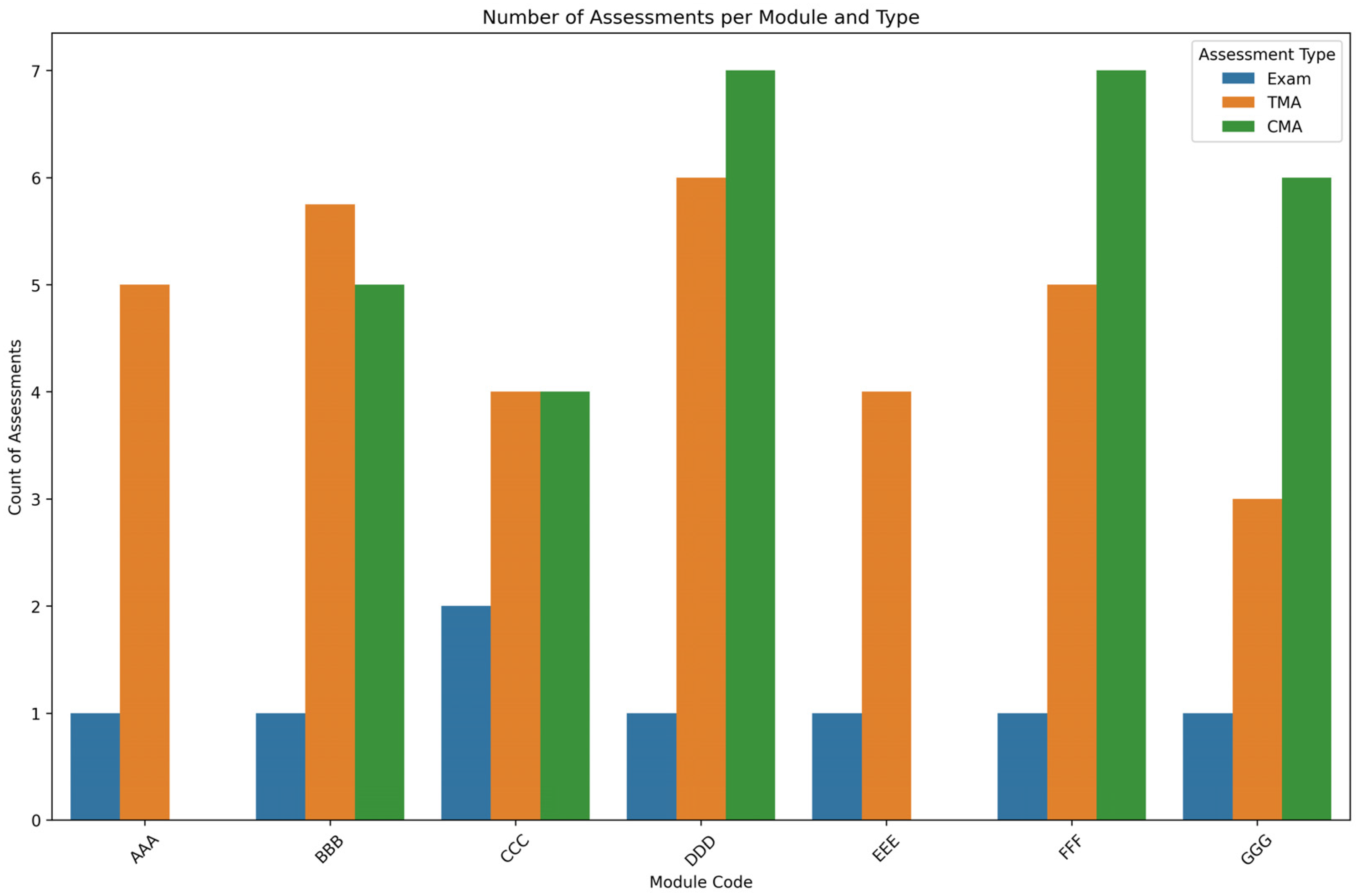
Following the analysis of student assessment scores, attention is put to the types and frequency of assessments conducted across different modules, as illustrated in Figure 3.
Figure 3.
Type and number of assessments per module.
This analysis shows the composition of assessment types for each module, such as Exam, Tutor-Marked Assessments (TMAs) and Computer-Marked Assessments (CMAs). This chart shows a varied reliance on assessment types across the modules indicating the different learning outcomes that each module aims to measure. For instance, modules with a higher count of CMAs may focus on objective, knowledge-based evaluations, while those with more TMAs might emphasis subjective, skill-based assessments.
Figure 4 shows the outcome of students’ assessment in terms of percentage among four categories, including ‘Pass’, ‘Fail’, ‘Withdrawn’, and ‘Distinction’. The percentage-based approach of this chart allows for an equitable comparison regardless of the size of the student cohort in each module. For example, the module CCC shows a substantial percentage of ‘Distinction’ results. However, it also shows a significant percentage of ‘Fail’ results, indicating a polarized outcome where students either performed exceptionally good or very bad. The module GGG has the lowest ‘Fail’ results, suggesting not only high performance but also that the assessments may be well-aligned with the students’ capabilities or interests. In contrast, modules AAA, BBB, and FFF show an acceptable percentage of students in each category, which indicates an intermediate difficulty in content and educational methodologies.
Figure 4.
Percentage of final results by module.
Furthermore, the ‘Withdrawn’ category is significant as it may point to external factors affecting student retention, such as the perceived difficulty of the course material, the level of student engagement required, or even personal circumstances impacting student persistence.
Building on the earlier analysis, Figure 5 illustrates the relationship between assessment types and student outcomes. A balanced distribution can be observed in both the CMA and TMA while there is a notable proportion of ‘Withdrawn’ in TMA. This result may indicate the demanding nature of such assessments.
Figure 5.
Percentage of final results by assessment type.
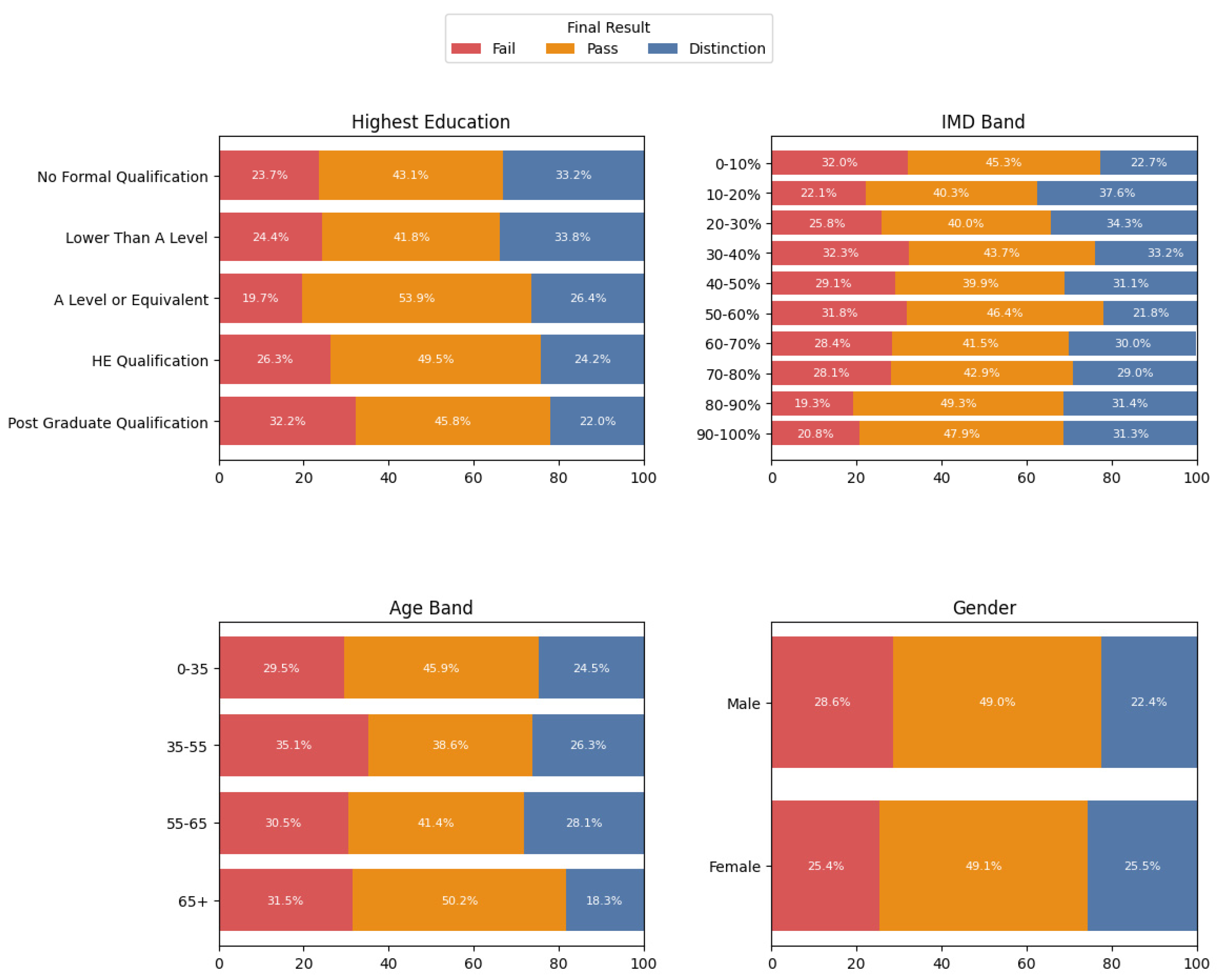
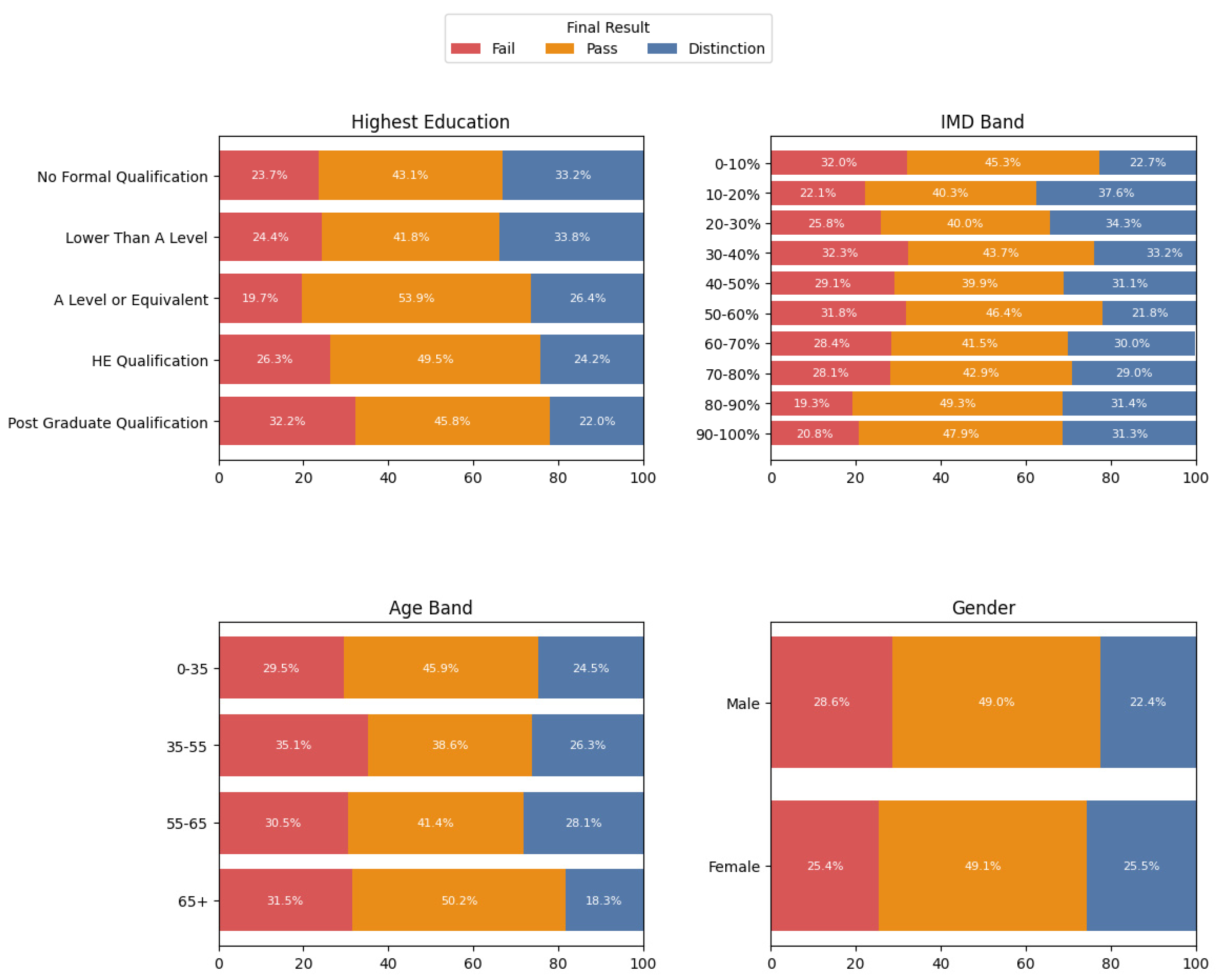
Age, gender, highest education, and IMD band are significant attributes of the dataset. The percentage performance of students for each of these attributes is illustrated in Figure 6. Interestingly, students aged between 35 and 55 exhibit a more favorable performance, with fewer withdrawals and a higher count of ‘pass’ and ‘distinction’ outcomes, compared to the 0–35 age band.
Figure 6.
Performance of students measured against different attributes: highest education, IMD band, age and gender.
In terms of gender, there is minimal variation in performance between males and females, with males having a slightly higher representation. The highest educational attainment reveals a majority holding A-level qualifications or equivalent. A discernible trend emerges where postgraduate students showcase exemplary performance, characterized by minimal withdrawals and a greater number of ‘distinction’ results. In contrast, individuals with no formal qualifications, although few, tend to exhibit worse performance, with increased withdrawals and fails.
The IMD band suggests a clear gradient in academic performance in relation to economic deprivation; students from less deprived areas tend to fare better academically, underlining the potential impact of socioeconomic factors on educational outcomes.
The relationship between student engagement, as measured by clicks within the virtual learning environment, and academic performance is illustrated in Figure 7. The chart shows average scores against binned click ranges. Amongst the observed patterns, a salient trend is the initial increase in average scores with higher click counts, indicative of a positive relationship between engagement and performance up to a certain threshold.
Figure 7.
Average score per click bins.
4. Data Preprocessing
This section presents the pre-processing of the dataset. The general steps involve the following:
- Merge and Consolidate: combining relevant tables to achieve a unified presentation.
- Missing Value Handling: filling the missing values with the mode and removing duplicates.
- Feature Engineering: deriving new attributes and encoding categorical variables to enrich the dataset for modeling.
- Data Splitting: splitting the dataset among train, validation, and test sets for model training, optimization, and testing.
In this regard, as mentioned in the Contributions, the pre-processing of the dataset is segregated in two ways, where one is targeted for student grade classification while the other is aimed to be used for the prediction of at-risk students. Both pre-processing strategies are explained in the following subsections.
4.1. Data Pre-Processing for Grade Classification
In this sub-section, the pre-processing of the data is explained in a way that is specifically tailored for the goal of course grade prediction.
It is pertinent to mention that, in our study, the Open University Learning Analytics Dataset [21] served as the primary source of raw data, encompassing student engagement metrics, registration details, and various course interactions. The data transformations applied were confined to standard pre-processing techniques, including normalization and missing value imputation, to ensure data uniformity and handle gaps in the dataset. These methods are common in machine learning workflows and are vital for improving model performance without introducing bias. Beyond this pre-processing, no further arbitrary manipulation or modification of the raw data was performed. This decision ensures that the findings generated from our models reflect existing patterns within the original dataset, thus confirming the integrity of the analysis and minimizing the risk of misleading conclusions.
The first critical step in pre-processing involved the merging of tables to consolidate relevant data points into a single dataset. This process involved multiple types of data such as student information and registration, student demographic information, student assessment, and VLE interactions. Following this process, 22 features were engineered.
After the initial data merging and feature engineering, further procedures were applied to refine the dataset for the grade classification task. These procedures involved the handling of missing values, the removal of duplicate entries, the identification and normalization of numerical as well as categorical variables, separating features and target labels, and data splitting in train, validation, and test sets. After performing these procedures, the number of features increased to 68, encompassing both original and newly engineered features. The expanded feature set included both specific identifiers, such as ‘id_student’, and encoded variables, such as ‘code_module_AAA’. The final features, including identifiers, numerical, and categorical features, are as follows:
Identifiers and numerical features: ‘id_student’, ‘num_of_prev_attempts’, ‘studied_credits’, ‘date_registration’, ‘date_unregistration’, ‘id_assessment’, ‘date_submitted’, ‘is_banked’, ‘score’, ‘date’, ‘weight’, ‘total_clicks’, ‘module_presentation_length’.
Encoded categorical features: course modules (‘code_module_AAA’ to ‘code_module_GGG’), presentation years (‘code_presentation_2013B’ to ‘code_presentation_2014J’), demographic information (gender, region, highest education, IMD band, age band, disability), assessment types, and stratification columns reflecting combinations of age and gender.
4.2. Data Pre-Processing for Early Prediction of At-Risk Students
In this sub-section, pre-processing of the data was specifically performed for the goal of early prediction for students who were at-risk of failure. A multi-step process, including data pre-processing and integration, was designed. The details are as follows:
- Initial filtering of assessments and VLE interactions based on predetermined deadlines was performed.
- Subsequently, student demographic and registration information were merged with academic records, capturing a holistic view of each student’s academic journey. To maintain the dataset’s relevance, early withdrawn students were filtered out.
- VLE interaction data were aggregated at the module presentation level. A quantifiable measure of student engagement was obtained by calculating the number of clicks.
- The final step involved merging the aggregated VLE data with student assessments and course details.
After the pre-processing steps, a focused and relevant feature set with a balanced mix of demographic and academic performance indicators was ready.
5. Methodology
For performance evaluation, a range of machine learning techniques were used, including ensemble methods, instance-based learning, and deep learning.
5.1. Machine Learning Techniques Used for Course Grade Prediction
5.1.1. Random Forest Classifier
Random forest was proposed by Breiman. It involves constructing multiple decision trees during training and predicting the class that is the mode of the individual tree predictions [24]. Equation (1) represents the Gini Index, which is a measure of the impurity or purity used when constructing decision trees in the context of classification problems.
This equation is simplified in a binary classification to
Here, Pi refers to the proportion of samples that belongs to class i for a particular split, and P+ and P− are the proportion of the positive and negative classes.
5.1.2. Gradient Boosting Classifier
Gradient Boosting works by sequentially adding predictors to an ensemble, each one correcting its predecessor [25]. This method effectively reduces bias and variance, making it an effective tool for predictive modeling. Equation (3) describes the learning rate in the context of the Gradient Boosting algorithm, which is a critical component because it dictates the contribution of each new tree added to the model.
5.1.3. k-Nearest Neighbors (k-NNs)
k-NN is based on instance-based learning that classifies new instances based on a similarity measure (e.g., distance functions) [26]. Equation (4) represents Euclidean distance, which is a common distance metric used with the k-Nearest Neighbor (k-NN) algorithm.
5.1.4. Multi-Layer Perceptron (Neural Network)
The neural network model was inspired by the biological structure of the central nervous system [27]. A multi-layer perceptron consists of at least three layers of nodes: an input layer, a hidden layer, and an output layer. Equation (5) is the representation of a type of feedforward artificial neural network used in an MLP.
5.1.5. First Custom Neural Network Architecture
A custom neural network was developed with densely connected layers and was fine-tuned to our dataset. ReLU activation functions in the hidden layers and a sigmoid function at the output layer was used, while an Adam optimizer and binary cross-entropy loss function were used to compile the model. For the sake of reference, it is called the first custom NN model. The summary of the first custom model is shown in Figure 8 (Left).
Figure 8.
1st custom model (left); 2nd custom model (center); convolutional neural network (right).
5.2. Machine Learning Techniques Used Prediction of At-Risk Students
In this sub-section, a few more machine learning as well as deep learning models are presented, which were developed for predicting students to be at-risk of failure.
5.2.1. Second Custom Neural Network Architecture
A second custom NN model was developed for the prediction of students at risk of failure. We call it the second custom model. The model was designed to handle the data in a 1D array format, compiled using the Adam optimizer and sparse categorical cross entropy, making it suitable for our integer-labeled data. The summary of the second custom model is shown in Figure 8 (Center).
5.2.2. Convolutional Neural Network (CNN)
The CNN model implemented here uses 1D convolutional layers, which are particularly useful for extracting features from sequences of data [28]. A dropout layer is used to prevent overfitting and dense layers to interpret the features for binary classification. The model summary of the CNN is shown in Figure 8 (Right).
5.2.3. Long Short-Term Memory (LSTM)
The LSTM model is designed to process sequential data by taking advantage of its memory cells that can maintain information in memory for long periods of time [29]. This model is particularly useful for our time series-like data, allowing the network to remember past data points and use them to influence the output, effectively capturing temporal relationships in the data. The model summary of the LSTM is shown in Figure 9.
Figure 9.
LSTM model summary.
5.2.4. XGBoost
The eXtreme Gradient Boosting (XGBoost) is based on gradient-boosted decision trees to ensure speed and performance [30]. Equation (6) is a Taylor series expansion, which approximates a function around point a:
This equation is used in the XGBoost to approximate the loss function, which measures the difference between the predicted and actual values.
5.3. Model Evaluation Metrics
It is important to ensure that the employed method is performing in a proper way [31]. To measure the efficiency and performance of the model, metrics including confusion matrix, accuracy, recall, precision, and F1 metrics are used.
5.4. Modeling and Hyper-Parameter Tuning
To enhance the predictive capabilities of the model for course success prediction, a fine-tuning approach was implemented to the best performing models by adjusting the number of layers and filters. The maximum number of epochs was limited to 30. The hyper-parameter tuning applied for custom developed neural network models 1 and 2 are summarized in Table 1 and Table 2, respectively.
Table 1.
Hyper parameters and corresponding accuracy for first custom model.
Table 2.
Hyper parameters and corresponding accuracy for second custom model.
5.5. SHAP Method
SHAP (SHapley Additive exPlanation) is a technique based on Shapley values [5] that aims to explain the outcomes generated by predictive machine learning models. Its goal is to provide an explanation for a single prediction by determining the contribution of each feature to that prediction. Formally, Shapley values are calculated as follows:
where is the set of all features, is the model trained with the subset features, and is the model trained without the feature. Essentially, the formula calculates the difference in predictions by comparing the outcomes of training a model with and without a specific feature, considering every possible combination of features [32].
In this study, SHAP is the main method used to understand and explain the developed machine learning model for predicting failures in a VLE. Implementation is conducted using the Python module SHAP (v0.44.1), which provides both global and local interpretability. The global level provides insights for all students, while the local level focuses on specific students, treating them as unique cases, to explain the particular reasons behind an individual’s decision to fail. Consequently, while the importance of different engagement indicators can be comprehended at the global level, the reasons underlying a particular student’s decision to fail can be explained at the local level.
The SHAP method was applied to the models with the highest predictive performance to interpret the model predictions. This step aimed to accomplish the following:
- Uncover the contribution of each feature to the prediction outcome, providing insights into the models’ decision-making processes.
- Highlight the factors influencing students’ performance, facilitating a deeper understanding of the underlying patterns and trends.
- Offer actionable insights for educational stakeholders by identifying key predictors of student success and risk factors for failure.
This interpretative approach not only enhances trust in the predictive models but also supports educational interventions by illuminating the pathways through which student engagement and performance can be improved.
6. Results
In this section, the prediction results of the machine learning models are presented. The first sub-section presents the results for grade classification task The second sub-section presents the results for at-risk prediction. The third sub-section includes the application of the SHAP method for the identification of important parameters contributing toward successful predictions in the first two sub-sections.
6.1. Grade Classification Results
The results of machine learning models for grade classification are presented in this sub-section. Table 3 presents the overall accuracy of models employed for grade classification.
Table 3.
Accuracy of trained models for grade classification.
Next, each model’s performance was assessed using other metrics such as precision, recall, and F1-score where the results of these metrics are included in Table 4, Table 5 and Table 6, respectively.
Table 4.
Precision of trained models for grade classification.
Table 5.
Recall of trained models for grade classification.
Table 6.
F1 score of trained models for grade classification.
The results in Table 4, Table 5 and Table 6 reveal that the first custom NN model and random forest showed an overall superior performance over other classifiers in predicting the grades for all the classes. Considering the F-1 score across all classes, the custom NN model outperformed the rest of the models. However, for the ‘distinction’ category, the random forest and gradient boosting classifier showed a similar performance to the NN model. The confusion matrix for the custom NN model is shown in Figure 10 while confusion matrices for the rest of the ML models are shown in Figure 11. The confusion matrices reveal that almost all the machine learning models were confused between ‘withdraw’ and ‘pass’ classes and ended up making a large number of misclassifications for these classes.
Figure 10.
Confusion matrix result for (first) custom NN.

Figure 11.
Confusion matrix result of employed ML models.
6.2. Results for Prediction of At-Risk Students
To perform the prediction of at-risk students, eight ML models were utilized, including both machine learning and deep learning models. For the prediction of ‘at-risk’, the data were categorized into two categories: pass and fail. The pass category is considered safe while the fail category represents at-risk. Both fail and withdrawn categories are combined as the fail category for at-risk prediction. The employed models were trained and tested for each of the categories, and the results were computed in terms of accuracy, precision, recall, and the F1 score. Table 7 presents the accuracy of the trained models on the test data. The precision, recall, and F-1 score are presented in Table 8, Table 9 and Table 10, respectively.
Table 7.
Accuracy of trained models for at-risk classification.
Table 8.
Precision of trained models for at-risk classification.
Table 9.
Recall of trained models for at-risk classification.
Table 10.
F1 score of trained models for at-risk classification.
It is obvious that the second custom model showed the best performance with an accuracy of 93%. Since the purpose of at-risk prediction is to achieve higher efficiency toward predicting the ‘fail’ class, in this context, it can be observed that all the models showed a superior performance for the ‘fail’ class in comparison to the ‘pass’ class. Almost all models achieved an F1 score around or higher than 0.9. Considering the at-risk prediction performance of the models, precision is the true representation. It can be observed that only the custom NN model achieved a 90% score for precision and outperformed other models with a large margin.
The confusion matrices for the second custom NN model and the LSTM model are shown in Figure 12.
Figure 12.
Confusion matrix result of second custom NN model (left) and LSTM (right).
The confusion matrices for the rest of the models are shown in Figure 13.

Figure 13.
Confusion matrix result of employed ML and DL models.
6.3. SHAP Method Application
Explainable AI is employed utilizing SHapley Additive exPlanations (SHAP) to interpret the predictive model’s output. The application and results of the SHAP method are discussed in the following sections individually for grade classification as well as at-risk classification.
6.3.1. Grade Classification
For grade classification, the SHAP summary plot provides a meaningful visualization of the feature importance that is determined by the model, as shown in Figure 14. The illustration reveals that ‘Total Clicks’ in the virtual learning environment (VLE) was the most influential feature, with higher interaction levels strongly associated with increased probabilities of classifying a student as likely to succeed. Conversely, ‘date unregistration’ was a significant negative predictor, where an unregistration event could suggest a decreased likelihood of course completion, thereby predicting failure.
Figure 14.
SHAP summary plot for grade classification [Class 2: Distinction; Class 1: Fail; Class 0: Pass; Class 3: Withdrawn].
The number of previous attempts was particularly impactful for one of the classes, indicating that students who repeatedly attempt courses may be more easily classified into this specific category.
Module-specific features (‘Code_Module_FFF’, ‘Code_Module_BBB’, ‘Code_Module_DDD’) and temporal features (‘Code_Presentation_2013J’, ‘Code_Presentation_2014J’) suggest that certain modules and the years in which they were taken could influence student outcomes, reflecting, perhaps, the varying difficulty of modules or the different dynamics of student cohorts over time.
Demographic features, including ‘Region_London Region’ and socio-economic indicators like ‘IMD_Band_20–30%’ and ‘IMD_Band_30–40%’, also surfaced as important factors. The level of education prior to the course, such as ‘Highest_Education_A Level or Equivalent’ and ‘Highest_Education_Lower than A Level’, was indicative of the model’s consideration of a student’s background in its predictions.
Feature Importance
Figure 15 illustrates the permutation feature importance derived from the grade classification model ranking the influence of various features on the model’s output. The “Total Clicks” feature has the highest importance score, suggesting that the student engaging with the material receives the highest scores. Following in significance is the ‘id_assessment’ feature; each assignment has a different average score, which is why assignment ID is important. And when a student enrolls in courses with assignments that people normally do not receive good scores on, it increases the student’s chances to fail.
Figure 15.
Permutation feature importance.
The waterfall chart shown in Figure 16 provides representations of SHAP values for an instance within the dataset, illustrating the contribution of each feature to the model’s prediction. As shown, the ‘id_assessment’ feature significantly decreases the model’s output, while ‘total_clicks’ also decreases it but to a lesser extent.
Figure 16.
SHAP values for the first instance.
The waterfall chart shown in Figure 17 provides representations of SHAP values for a second instance. Different sets of features influence the model’s prediction: ‘total_clicks’ greatly decreases the prediction value, whereas ‘code_module_FFF’, ‘region_East Midlands Region’, and ‘imd_band_90–100%’ have minor negative contributions.
Figure 17.
SHAP values for the second instance.
6.3.2. Prediction of At-Risk Category
Employing the SHAP method for at-risk prediction results, the ‘Total Clicks’ feature once again stands out as having a significant positive impact on the model’s output, indicating that student engagement with the online learning platform is a strong predictor of academic success, as shown in Figure 18. The feature ‘date_registration’ also appears to be important, suggesting that the date when students register can influence their success, potentially capturing early commitment to their studies.
Figure 18.
SHAP summary plot for at-risk classification [Class 1: Pass, Class 0: Fail].
Regional features such as ‘Region_Scotland’ and ‘Region_South West Region’ show varying impacts on the model’s output for different classes, which could reflect regional differences in educational outcomes or support services available to students.
The ‘ID Assessment’ and ‘Score’ features are, as expected, strong predictors, directly tied to student performance on assessments. Socio-economic factors, represented by ‘IMD_Band_50–60%’ and ‘IMD_Band_40–50%’, also play a role, particularly in predicting Class 0, which may correlate with more challenging socio-economic circumstances affecting student performance.
Academic workload, captured by ‘Studied_Credits’, and course characteristics, such as ‘Code_Presentation_2014B’, ‘Module_Presentation_Length’, and ‘Code_Module_EEE’, are informative features that the model uses to discern patterns in student success.
Finally, the level of education prior to the course, ‘Highest_Education_Lower than A Level’ influences the model’s predictions, potentially reflecting the impact of a student’s educational background on their ability to succeed in higher education.
7. Discussions
The aim of this study is to unveil the factors affecting students’ performance within an online learning environment. Initially, the data exploration section provides useful insights of the data and explains the relation between the virtual learning environment and the student specifics. Several indicators, including demographic data, prior education, financial limitations, were identified as key factors linked with the student outcome.
The dataset details and pre-processing steps show the complexities and noise within the data. The pre-processing is extremely important to refine the data and to improve the class representation. Separate pre-processing is performed for the grade classification task and for the at-risk prediction task. Task-specific data consolidation is performed, which ensures the enhanced performance of machine learning algorithms in the next stages.
A number of machine learning classifiers were employed for the classification of grades for students. A custom shallow architecture of a multi-layer perceptron outperformed the rest of the algorithms, achieving 94% accuracy. For the at-risk prediction of student, again, the custom developed neural network model the achieved highest accuracy of 94%. Hence, a customized neural network model proved to be the best choice among others, even in comparison with deep learning models such as the CNN and LSTM. Considering the recall and F1 score, other models such as random forest showed a similar performance to the custom ANN model; however, the ANN outperformed when it was about precision. The differential performance across models underscores the importance of model selection for specific datasets at hand.
The SHAP method identified key factors significantly influencing student performance, specifically total clicks in the virtual learning environment and timely registration emerged as critical indicators related to students’ performance. The monitoring of these indicators and timely intervention will significantly enhance the success probability for students in an online learning environment. These findings suggest that educational institutions can greatly benefit from devising strategies aimed at increasing student engagement and providing additional support for those registering closer to course commencement.
While the primary dataset used in this study is from a pre-pandemic period, it is important to acknowledge the broader context of how the COVID-19 pandemic may have altered students’ habits, motivations, and learning behaviors. Several studies highlighted the shifts in student engagement and learning modalities as a result of the pandemic [23,33,34], indicating that students may now engage differently with online learning platforms compared to the pre-pandemic period. As this study uses pre-pandemic data, any conclusions drawn may not fully capture these post-pandemic changes. Therefore, future research could investigate whether the identified key factors remain as critical in post-pandemic learning environments.
Looking ahead, there exists a rich landscape for future research to further refine and enhance the predictive capabilities of models in educational settings. Longitudinal studies could provide deeper insights into the persistence of identified predictive factors over time, while the integration of qualitative data could enrich the understanding of student experiences and motivations.
8. Conclusions
This study illuminated the potential of predictive analytics within online learning environments targeted for enhancing student success. By testing a variety of predictive models, key factors that influence academic success were identified. This study provides valuable insights into the parameters identified as the most relevant for predicting student performance, highlighting their implications for educational practices and interventions. These results can be utilized to inform targeted intervention strategies and enhance curricular design by providing educators with data-driven insights into the factors most influential on student success, enabling more personalized and effective support for at-risk students of failure.
These findings underscore the importance of personalized interventions and targeted support strategies to foster student engagement and address potential challenges early on, ultimately aiming to prevent failure. The findings of this study also have practical implications for policymakers who can use these insights to guide decisions regarding resource allocation in online learning platforms, particularly by prioritizing initiatives that increase student engagement and timely course registration.
This research offers valuable insights into predicting student performance and identifying at-risk students. However, it is worth noting that the habits and motivations of students may have shifted due to the pandemic, which could alter the conclusions drawn from this study. Future work should consider how post-pandemic changes in student behavior might impact the effectiveness of AI-driven interventions.
Author Contributions
B.U., D.M. and N.H. were involved in the full process of producing this paper, including the conceptualization, methodology, modeling, validation, visualization, and preparation of the manuscript. All authors have read and agreed to the published version of the manuscript.
Funding
This study was financed by the European Union—NextGenerationEU, through the National Recovery and Resilience Plan of the Republic of Bulgaria, project № BG-RRP-2.004-0005.
Institutional Review Board Statement
The study was exempted by the Institute Board of the Faculty of Mechanical and Computer Engineering. All subjects gave their informed consent for inclusion before participating in the study. No study ethics approval is required for this type.
Informed Consent Statement
Informed consent was obtained from all subjects involved in the study.
Data Availability Statement
The data used in this research are available at https://analyse.kmi.open.ac.uk/open_dataset (accessed on 12 May 2024).
Conflicts of Interest
The authors declare no conflicts of interest.
References
- Tseng, S.F.; Tsao, Y.W.; Yu, L.C.; Chan, C.L.; Lai, K.R. Who will pass? Analyzing learner behaviors in MOOCs. Res. Pract. Technol. Enhanc. Learn. 2016, 11, 8. [Google Scholar] [CrossRef] [PubMed]
- Gardner, J.; Brooks, C. Student success prediction in MOOCs. User Model. User-Adapt. Interact. 2018, 28, 127–203. [Google Scholar] [CrossRef]
- Khosravi, H.; Shum, S.B.; Chen, G.; Conati, C.; Tsai, Y.S.; Kay, J.; Knight, S.; Martinez-Maldonado, R.; Sadiq, S.; Gašević, D. Explainable artificial intelligence. Artif. Intell. Comput. Educ. 2022, 3, 100074. [Google Scholar] [CrossRef]
- Shabaninejad, S.; Khosravi, H.; Abdi, S.; Indulska, M.; Sadiq, S. Incorporating explainable learning analytics to assist educators with identifying students in need of attention. In Proceedings of the Ninth ACM Conference on Learning@Scale, Roosevelt Island, NY, USA, 1–3 June 2022; pp. 384–388. [Google Scholar]
- De Laet, T.; Mothilal, R.K.; Broos, T.; Pinxten, M. Predicting First-year engineering student success: From traditional statistics to machine learning. In Proceedings of the 46th SEFI Annual Conference 2018, Copenhagen, Denmark, 17–21 September 2018; Volume 46, pp. 322–329. [Google Scholar]
- Tinto, V. Dropout from Higher Education: A Theoretical Synthesis of Recent Research. Rev. Educ. Res. 1975, 45, 89–125. [Google Scholar] [CrossRef]
- Dagar, Y.A. Constructivism: A Paradigm for Teaching and Learning. Arts Soc. Sci. J. 2016, 7, 1–4. [Google Scholar] [CrossRef]
- Hassija, V.; Chamola, V.; Mahapatra, A.; Singal, A.; Goel, D.; Huang, K.; Scardapane, S.; Spinelli, I.; Mahmud, M.; Hussain, A. Interpreting black-box models: A review on explainable artificial intelligence. Cogn. Comput. 2024, 16, 45–74. [Google Scholar] [CrossRef]
- Atakishiyev, S.; Salameh, M.; Yao, H.; Goebel, R. Explainable artificial intelligence for autonomous driving: A comprehensive overview and field guide for future research directions. IEEE Access 2024, 12, 101603–101625. [Google Scholar] [CrossRef]
- Bekler, M.; Yilmaz, M.; Ilgın, H.E. Assessing Feature Importance in Eye-Tracking Data within Virtual Reality Using Explainable Artificial Intelligence Techniques. Appl. Sci. 2024, 14, 6042. [Google Scholar] [CrossRef]
- Romano, D.; Novielli, P.; Diacono, D.; Cilli, R.; Pantaleo, E.; Amoroso, N.; Tangaro, S. Insights from Explainable Artificial Intelligence of Pollution and Socioeconomic Influences for Respiratory Cancer Mortality in Italy. J. Pers. Med. 2024, 14, 430. [Google Scholar] [CrossRef]
- Yagin, F.H.; Colak, C.; Algarni, A.; Gormez, Y.; Guldogan, E.; Ardigò, L.P. Hybrid Explainable Artificial Intelligence Models for Targeted Metabolomics Analysis of Diabetic Retinopathy. Diagnostics 2024, 14, 1364. [Google Scholar] [CrossRef]
- Carvalho, D.D.; Goethel, M.F.; Silva, A.J.; Vilas-Boas, J.P.; Pyne, D.B.; Fernandes, R.J. Swimming Performance Interpreted through Explainable Artificial Intelligence (XAI)—Practical Tests and Training Variables Modelling. Appl. Sci. 2024, 14, 5218. [Google Scholar] [CrossRef]
- Hussain, S.; Khan, M.Q. Student-performulator: Predicting students’ academic performance at secondary and Intermediate level using machine learning. Ann. Data Sci. 2023, 10, 637–655. [Google Scholar] [CrossRef] [PubMed]
- Pallathadka, H.; Wenda, A.; Ramirez-Asís, E.; Asís-López, M.; Flores-Albornoz, J.; Phasinam, K. Classification and prediction of student performance data using various machine learning algorithms. Mater. Today Proc. 2023, 80, 3782–3785. [Google Scholar] [CrossRef]
- Chen, Y.; Zhai, L. A comparative study on student performance prediction using machine learning. Educ. Inf. Technol. 2023, 28, 12039–12057. [Google Scholar] [CrossRef]
- Hooda, M.; Rana, C.; Dahiya, O.; Shet, J.P.; Singh, B.K. Integrating LA and EDM for improving students Success in higher Education using FCN algorithm. Math. Probl. Eng. 2022, 2022, 7690103. [Google Scholar] [CrossRef]
- Shapley, L.S. 17. A Value for n-Person Games. In Contributions to the Theory of Games (AM-28); Kuhn, H.W., Tucker, A.W., Eds.; Princeton University Press: Princeton, NJ, USA, 1953; Volume II, pp. 307–318. [Google Scholar] [CrossRef]
- Schunk, D.H. Social cognitive theory. In APA Educational Psychology Handbook, Vol 1: Theories, Constructs, and Critical Issues; American Psychological Association: Washington, DC, USA, 2012; Volume 1, pp. 101–123. [Google Scholar]
- Adams, N.E. Bloom’s Taxonomy of Cognitive Learning Objectives. J. Med. Libr. Assoc. JMLA 2015, 103, 152–153. [Google Scholar] [CrossRef] [PubMed]
- Kuzilek, J.; Hlosta, M.; Zdrahal, Z. Open University Learning Analytics dataset. Sci. Data 2017, 4, 170171. [Google Scholar] [CrossRef]
- Butucha, K.G. Emerging Trends in Student Engagement in the 21St Century Contemporary World. Baraton Interdiscip. Res. J. 2016, 6, 39–43. [Google Scholar]
- Tartavulea, C.V.; Albu, C.N.; Albu, N.; Dieaconescu, R.I.; Petre, S. Online Teaching Practices and the Effectiveness of the Educa-tional Process in the Wake of the COVID-19 Pandemic. Amfiteatru Econ. 2020, 22, 920. [Google Scholar]
- Breiman, L. Random forests. Mach. Learn. 2001, 45, 5–32. [Google Scholar] [CrossRef]
- Friedman, J.H. Greedy function approximation: A gradient boosting machine. Ann. Stat. 2001, 29, 1189–1232. [Google Scholar] [CrossRef]
- Keller, J.M.; Gray, M.R.; Givens, J.A. A fuzzy k-nearest neighbor algorithm. IEEE Trans. Syst. Man Cybern. 1985, SMC-15, 580–585. [Google Scholar] [CrossRef]
- Shanmuganathan, S. Artificial Neural Network Modelling: An Introduction; Springer International Publishing: Berlin/Heidelberg, Germany, 2016; pp. 1–14. [Google Scholar]
- O’Shea, K. An introduction to convolutional neural networks. arXiv 2015, arXiv:1511.08458. [Google Scholar]
- Hochreiter, S. Long Short-term Memory. In Neural Comput; MIT-Press: Cambridge, UK, 1997. [Google Scholar]
- Chen, T.; Guestrin, C. Xgboost: A scalable tree boosting system. In Proceedings of the 22nd acm sigkdd international conference on knowledge discovery and data mining, San Francisco, CA, USA, 13–17 August 2016; pp. 785–794. [Google Scholar]
- Cohen, S. The evolution of machine learning: Past, present, and future. In Artificial Intelligence and Deep Learning in Pathology; Elsevier: Berlin/Heidelberg, Germany, 2021; pp. 1–12. [Google Scholar]
- Lundberg, S. A unified approach to interpreting model predictions. arXiv 2017, arXiv:1705.07874. [Google Scholar]
- Lim, K.K.; Lee, C.S. Investigating Learner’s Online Learning Behavioural Changes during the COVID-19 Pandemic. Proc. Assoc. Inf. Sci. Technol. 2021, 58, 777–779. [Google Scholar] [CrossRef]
- Jereb, E.; Jerebic, J.; Urh, M. Studying Habits in Higher Education Before and After the Outbreak of the COVID-19 Pandemic. Athens J. Educ. 2023, 10, 67–84. [Google Scholar] [CrossRef]
Disclaimer/Publisher’s Note: The statements, opinions and data contained in all publications are solely those of the individual author(s) and contributor(s) and not of MDPI and/or the editor(s). MDPI and/or the editor(s) disclaim responsibility for any injury to people or property resulting from any ideas, methods, instructions or products referred to in the content. |
© 2024 by the authors. Licensee MDPI, Basel, Switzerland. This article is an open access article distributed under the terms and conditions of the Creative Commons Attribution (CC BY) license (https://creativecommons.org/licenses/by/4.0/).



















