Abstract
Accurate and efficient channel estimation (CE) is critical in the context of autonomous driving. This paper addresses the issue of orthogonal frequency-division multiplexing (OFDM) channel estimation in 5G communication systems by proposing a channel estimation model based on the Parrot Optimizer (PO). The model optimizes for the minimum bit error rate (BER) and the minimum mean square error (MMSE) using the Parrot Optimizer to estimate the optimal channel characteristics. Simulation experiments compared the performance of PO-CE with the Least Squares (LS) method and the MMSE method under various signal-to-noise ratios (SNR) and modulation schemes. The results demonstrate that PO-CE’s performance approximates that of MMSE under high SNR conditions and significantly outperforms LS in the absence of prior information. The experiments specifically included scenarios with different modulation schemes (QPSK, 16QAM, 64QAM, and 256QAM) and pilot densities (1/3, 1/6, 1/9, and 1/12). The findings indicate that PO-CE has substantial potential for application in 5G channel estimation, offering an effective method for optimizing wireless communication systems.
1. Introduction
In the 1970s, OFDM was introduced and implemented by researchers such as Weinstein and Ebert. Its principle involves dividing the wireless channel into multiple orthogonal subchannels in the frequency domain and transmitting data in parallel over these subchannels. The main steps include modulation, inverse discrete Fourier transform (IDFT), cyclic prefix (CP) insertion, parallel-to-serial conversion and transmission, reception and serial-to-parallel conversion, cyclic prefix removal, discrete Fourier transform (DFT), demodulation, and data recovery [1,2,3,4,5]. Currently, OFDM technology is the primary modulation scheme in high-speed wireless communication systems due to its advantages in mitigating inter-symbol interference [6,7], improving spectral efficiency [8,9], enhancing system anti-interference capability, and offering flexible access methods [10,11].
With the development of 5G communication technology, OFDM has been widely applied in various high-speed wireless communication systems, becoming the mainstream modulation technique. However, due to the complexity and variability of wireless channels, the signals received at the receiver often suffer from noise, interference, and multipath effects, leading to signal quality degradation. Therefore, obtaining accurate channel state information (CSI) is crucial for ensuring system reliability and performance [12,13]. Currently, channel estimation can be categorized into blind channel estimation, semi-blind channel estimation, and non-blind channel estimation (pilot-based channel estimation) based on prior knowledge.
Blind channel estimation relies solely on the statistical characteristics of the received signals without any known pilot signals or training sequences. It saves spectral resources but has high algorithm complexity and slow convergence speed, making it suitable for scenarios with tight spectral resources. Common techniques include high-order statistics [14,15,16], cyclostationary characteristics [17,18,19], and subspace methods [20,21,22,23].
Non-blind channel estimation involves inserting known pilot signals at the transmitter and estimating the channel response at the receiver using these known signals. Common non-blind estimation methods include the LS method and the MMSE method [24,25,26]. The LS method estimates the channel matrix by minimizing the squared error between the pilot and received signals and is widely applied due to its simplicity and ease of implementation. However, the LS method performs poorly under low SNR conditions, being highly susceptible to noise. The MMSE method, on the other hand, takes into account the statistical characteristics of the noise, optimizing channel estimation by minimizing the mean square error. While MMSE offers better performance under low SNR conditions compared to LS, it requires prior knowledge of the channel and noise statistics, which is challenging to obtain in practical applications, leading to higher computational complexity [27,28].
Semi-blind channel estimation combines partial known pilot signals with received data for channel estimation. Compared to blind estimation, it improves accuracy and convergence speed by introducing a small number of pilot signals; compared to non-blind estimation, it reduces the number of pilot signals, enhancing spectral efficiency. Common semi-blind estimation methods include Eigenvalue Decomposition (EVD) [29,30,31] and Independent Component Analysis (ICA) [32,33,34,35].
Recently, deep learning-based channel estimation methods have gained extensive attention due to their potential to achieve near-MMSE performance without prior channel statistical information [36,37]. However, these methods suffer from high computational complexity, lack of interpretability, limited adapt-ability to channel variations, and strong data dependency. Meanwhile, the Parrot Optimizer (PO) has demonstrated outstanding optimization performance, sparking research into its application across various fields.
Based on this, the present study proposes a PO-based channel estimation technique and validates its effectiveness in specific 5G channels. Specifically, this research employs the Parrot Optimizer for channel estimation, exploring its potential application without prior channel statistical information. Compared to traditional MMSE algorithms and deep learning methods, the Parrot Optimizer demonstrates greater flexibility in practical deployments, particularly without the need for complex training processes. The specific contributions of this paper are as follows:
- This paper proposes a Parrot Optimizer based channel estimation scheme (Parrot Optimizer-Channel Estimation, PO-CE), designed for pilot-based channel estimation to enhance OFDM system performance under frequency-selective fading conditions. The PO-CE scheme leverages the global search capability of the Parrot Optimizer to optimize the channel estimation process, improving system robustness and accuracy;
- Extensive simulations were conducted to evaluate the performance of the PO-CE scheme in terms of BER and MSE, comparing it with traditional LS and MMSE methods. The experiments, based on the 5G New Radio (NR) TDL-300 fading channel model, covered various modulation schemes (such as QPSK, 16QAM, 64QAM, and 256QAM) and multiple pilot configurations (1/3, 1/6, 1/9, and 1/12). Simulation analysis confirmed the effectiveness of the PO-CE scheme under different channel conditions and system configurations.
The experimental results indicate that the PO-CE channel estimation scheme outperforms the traditional LS algorithm in all scenarios regarding BER and MSE metrics and achieves performance comparable to the MMSE algorithm. Specifically, the PO-CE scheme exhibits high channel estimation accuracy and low error rates across different modulation schemes and pilot configurations, demonstrating its promising application potential in practical 5G communication systems. This research highlights the application prospects of the Parrot Optimizer in 5G channel estimation and its feasibility as an effective optimization tool, providing new insights and technical support for future optimization algorithm-based channel estimation methods.
2. Channel Estimation Model
2.1. OFDM Channel Estimation Model
This section provides a detailed explanation of channel estimation techniques in Orthogonal Frequency Division Multiplexing (OFDM) systems. OFDM systems feature a unique frame structure where the resource grid consists of complex data and pilot symbols, with representing the number of subcarriers in the frequency domain and representing the number of OFDM symbols in the time domain. At the transmitter, the resource grid is processed through an Inverse Discrete Fourier Transform (IDFT) to generate the baseband signal. During transmission, the baseband signal is affected by multipath channels and superimposed with Additive White Gaussian Noise (AWGN), causing signal distortion and interference. At the receiver, Discrete Fourier Transform (DFT) is typically used to process the received signal and restore the received resource grid. Accurate channel estimation at this stage is crucial for system performance, as it effectively compensates for multipath effects and noise interference, thereby improving the Signal-to-Noise Ratio (SNR) and enhancing data transmission reliability and efficiency.
Therefore, in the research and application of 5G communication technology, channel estimation techniques hold significant importance. The frequency-selective fading channel environment adopted in 5G systems imposes higher requirements on channel estimation, making the development of efficient and accurate channel estimation methods essential for enhancing the performance of OFDM systems in 5G networks. Existing channel estimation methods include LS and MMSE based techniques, as well as emerging deep learning-based channel estimation methods.
In an OFDM system, the received signal can be expressed as
where represents the operation of placing the transmitted signal on the diagonal of a matrix, is the channel response, and is the additive noise. Channel estimation is a critical process that involves estimating the frequency channel response , which is used for equalizing the received signal in the subsequent stage. To estimate the channel, part of the resource grid is used to insert pilot symbols. Figure 1 shows a comb pilot pattern with a 1/4 pilot density. When the channel changes within an OFDM block, this pattern is used for fast fading estimation. First, the channel response values at pilot positions are estimated, denoted as . Then, different algorithms are employed to obtain the entire channel response matrix from . To maintain a reasonable ratio of pilot symbols to the total number of symbols and to improve the accuracy of channel estimation, the number and positions of pilot symbols should be carefully determined based on the deployment scenario.
Figure 1.
Comb Pilot Pattern with 1/4 Pilot Density.
This pattern is employed for fast fading estimation when the channel varies within an OFDM block. Pilot symbols are inserted at regular intervals, occupying one fourth of the total subcarriers. These pilots are crucial for accurately estimating the channel response values at the pilot positions, denoted as . Subsequently, various algorithms can utilize these estimated values to reconstruct the entire channel response matrix h, ensuring effective equalization of the received signal.
2.2. LS-Based Channel Estimation Model
In practical applications, channel estimation is typically accomplished through pilot symbols. Let the pilot signal at the transmitter be denoted as , the pilot signal at the receiver as , and the noise as . The received pilot signal at the receiver can then be expressed as
The objective of the LS method is to minimize the error between the received signal and the model signal. Thus, in matrix form, the received signal can be expressed as
where is the equivalent representation of the diagonal matrix . The error can be represented as
The goal of the LS method is to minimize the sum of the squared errors, which is
To find the channel estimate that minimizes the error, we can solve the following equation:
Expanding the sum of squared errors gives the following equation:
where denotes the conjugate transpose. Taking the derivative of the above expression with respect to and setting the derivative to zero can be expressed as
Expanding the above equation, we obtain
Noting that is a constant term and its derivative with respect to is zero. The derivatives of the remaining terms are
Since and are conjugate pairs with the same derivative, setting the derivative to zero gives
Rearranging the equation, we obtain
Thus, the final LS estimation formula is
To distinguish the above formula from subsequent formulas, the LS method can be used in the following way to determine the frequency channel response at the pilot points:
2.3. MMSE-Based Channel Estimation Model
Compared to LS, a more advanced channel estimation algorithm is MMSE, which utilizes channel statistical knowledge. In this algorithm, the LS estimate is multiplied by a weight matrix , providing the MMSE estimate as follows:
Considering the relationship between the LS estimate and the actual channel , it can be expressed as
where is the estimation error.
The goal of MMSE estimation is to minimize the mean square error (MSE), which is
We aim to find a weight matrix such that the weighted LS estimate is as close as possible to the true channel . The formula expands to
Using the linearity property of expectation, we can obtain
Simplifying the expectation terms. The first term is
where .
For the second term, we obtain
The third term is
The fourth term is
Combining all terms into the MSE expression, we obtain
Taking the derivative with respect to and setting it to zero is expressed as
We obtain
Solving for , we obtain
Since is a covariance matrix, we can denote . Therefore, the above equation becomes
Solving this equation, we obtain
Assuming ,
assuming is the covariance matrix of the error term and is white noise with a covariance matrix of . Specifically, represents the Signal-to-Noise Ratio (SNR) scaling factor, which is used to adjust the covariance matrix of the error term in the MMSE-based channel estimation model. This factor is crucial for correctly modeling the impact of noise on the channel estimation process:
Substituting into the expression for the weight matrix , we obtain
2.4. PO-Based Channel Estimation Model
Optimization problems have always garnered significant attention due to their critical role in mathematics and various scientific and technical fields. Numerous algorithms, such as dynamic programming and branch and bound, can provide globally optimal solutions for all nonlinear problems. Due to their efficiency and global characteristics, meta-heuristic optimization algorithms inspired by biological or physical phenomena have gained popularity in technical applications. Population-based techniques that mimic the behavior of animal groups have shown remarkable performance in evolutionary algorithms and are well-suited for optimization needs in high-speed communication applications.
As an effective contemporary research technique, stochastic optimization methods have shown outstanding performance in solving complex optimization challenges. Reference [38] introduced the Parrot Optimizer (PO), an optimization method inspired by the behavior of trained Pyrrhura Molinae parrots. The study presented qualitative analysis and comprehensive experiments to demonstrate PO’s unique characteristics in handling various optimization problems. Performance evaluations included benchmarking on 35 functions, covering classical cases and issues from the IEEE CEC 2022 test set, and comparisons with eight popular algorithms, highlighting PO’s competitive advantage in exploration and exploitation [38]. The mathematical model of the PO in this paper is discussed following the work of Lian et al. in [38].
- Population Initialization
Considering the population size , the maximum number of iterations , and the upper and lower bounds of the search space, and , respectively, the initialization formula for PO can be expressed as
where represents a random number in the range , and represents the position of the -th parrot at the initial stage.
- B.
- Foraging Behavior
During the foraging behavior of PO, parrots primarily estimate the approximate location of food by observing the position of the food or considering the owner’s position, then fly to the corresponding position. The movement of the position follows the equation
In Equation (35), represents the current position, and represents the next updated position. denotes the average position of the current population, and denotes the Levy distribution [39], which is used to describe the parrot’s flight. represents the best position found from initialization to the current search, and it also represents the current position of the owner. represents the current iteration number. The term indicates movement based on the individual’s position relative to the owner’s position. The term represents determining the direction of the food by observing the position of the entire population.
The average position of the current population is calculated using the formula
The Levy distribution can be obtained from the formula, with typically valued at 1.5.
- C.
- Roosting Behavior
The Pyrrhura Molinae parrot is a highly social creature, and its roosting behavior involves suddenly flying to any part of the owner’s body and staying there for some time. This can be expressed as
where denotes a vector of ones with a dimension of dim. The term represents flying towards the owner, while represents the process of randomly staying at some part of the owner’s body.
- D.
- Communication Behavior
The Pyrrhura Molinae parrot, being a social animal, exhibits close communication within the group. This communication behavior includes flying towards the group and interacting or interacting directly without flying towards the group. In PO, these two behaviors are assumed to have the same probability, and the average position of the current population symbolizes the group’s center. It can be expressed as
where indicates the process of an individual joining the parrot group for communication, and represents the process of flying away immediately after communication. Both behaviors are feasible and are implemented using generated within the range [0, 1].
- E.
- Fear of Strangers Behavior
Generally, birds have a natural fear of strangers, and the Pyrrhura Molinae parrot is no exception. Their behavior of staying away from unfamiliar people and seeking the owner’s protection is described as follows:
where represents the process of relocating to fly towards the owner, and represents moving away from strangers.
3. Numerical Simulations
3.1. Simulation Parameter Settings
In this section, the goal is to determine the optimal position sought by the parrots. Ideally, the optimal position corresponds to the actual channel. However, at the receiver, the parrots are completely blind to the channel and cannot determine whether their current position is close to the actual propagation path. Therefore, a cost function is defined to guide the population towards the target of minimum BER. Referencing [40], the simulation parameters used in this study are shown in Table 1, Table 2 and Table 3.
Table 1.
Parameters of the PO-CE Model.
Table 2.
Tap Delay Line model of 5G NR TDL-C300 channel (delay Spread = 300 ns).
Table 3.
Simulation parameters of the OFDM system.
The image shows 16QAM constellation diagrams with different dispersions, with the left diagram being better due to lower dispersion and clearer constellation points.
During the movement process, each position of the parrot corresponds to a constellation diagram (which is derived from the channel equalization process). A position is considered better if the constellation diagram at that position exhibits less dispersion (as shown in Figure 2). To determine the variance of the equalized symbols, the signals are clustered into clusters, and the distance from the signal to the reference signal is used to represent the dispersion, as follows:
where and are the estimated signal and the reference signal, respectively. Here, , delay spread , Doppler frequency , i.e.,
Figure 2.
16QAM constellation diagram with different dispersions (left is better). Figure 2 illustrates the constellation diagrams of a 16QAM signal under different Signal-to-Noise Ratios (SNR). In (a), where the SNR is 15, the constellation points are distinctly concentrated around their ideal positions, indicating minimal noise. This results in higher signal quality and a lower bit error rate (BER). Conversely, in (b), with an SNR of 5, the constellation points are more dispersed, with a greater deviation from their ideal positions. This increased dispersion is due to the higher noise level associated with the lower SNR, leading to poorer signal quality and a higher bit error rate.
The computational complexity of the PO-based channel estimation algorithm (the PO_CE algorithm is shown in Algorithm 1) is higher than that of the LS and MMSE algorithms. While the LS-based channel estimation algorithm is simple, its results are poor and cannot be used in real scenarios. Although the ideal MMSE offers superior performance, it often assumes known channel information and noise variance, which are typically not available in practical applications, thereby reducing its performance. In contrast to the ideal MMSE, the proposed method does not require pre-estimated noise power and correlation matrices, making it more feasible for practical applications.
| Algorithm 1: Pseudocode of PO_CE |
| Initialize parameters such as dimension, mumber of agents, and so on. Initialize the position ( represents the number of agents.) for each agent. For j = 1 to Max number of iterations, perform the following: Calculate the fitness function. Find the best position and the worst position. For i = 1 to , do: Update the position. Randomly select a strategy for each search agent and update the position according to Equations (35)–(40). End Use the best position to estimate the channel . Perform signal equalization and clustering to obtain . Calculate MMSE_LOSS and find the optimal solution . End |
| Output the optimal channel estimation . |
Specifically, the computational complexity of the PO algorithm mainly depends on three aspects: solution initialization, fitness function calculation, and solution update. Let be the number of solutions; the initialization complexity is . The complexity of the update process is
, where is the total number of iterations and is the problem dimension, including finding the optimal position and updating the positions of all solutions. The advantage of this algorithm is that the migration of group members is independent and can be performed in parallel on hardware, significantly reducing the algorithm complexity.
3.2. BER Comparison Analysis
BER is a crucial metric for evaluating the performance of communication systems. It is calculated using the following formula:
The number of erroneous bits indicates the number of bits incorrectly decoded at the receiver, while the total number of received bits refers to the total number of bits received during transmission. BER reflects the probability of bit errors occurring during transmission, directly impacting the reliability and performance of the communication system.
In 5G systems, the accuracy of channel estimation significantly affects BER. Firstly, BER directly reflects the quality of channel estimation. By analyzing BER, the performance of different channel estimation algorithms under various channel conditions can be evaluated, thereby optimizing the algorithm to improve the overall system performance. Secondly, BER provides a theoretical basis for optimizing channel estimation algorithms.
When designing and optimizing channel estimation algorithms, minimizing BER is often the target. Through simulations and practical testing, analyzing the BER performance of different algorithms under various channel conditions allows for the selection of the optimal algorithm. Thirdly, BER can guide the adjustment of system parameters. By analyzing BER, the optimal parameter configuration can be found to enhance the overall system performance.
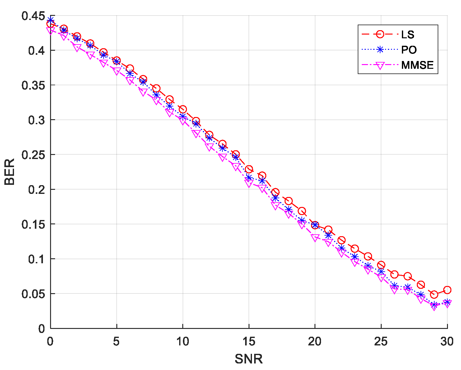
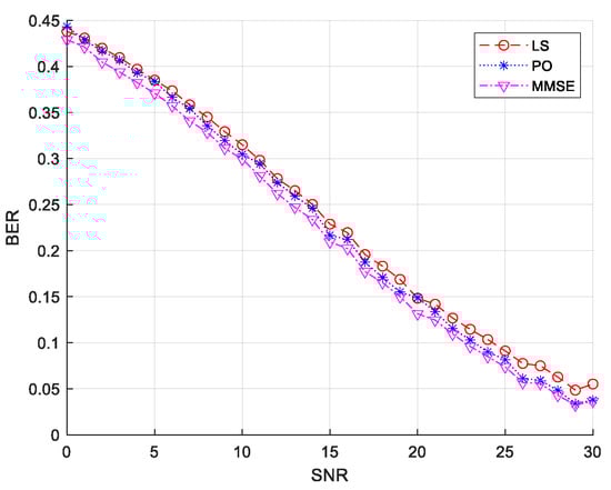
Figure 3 shows the BER performance of LS, PO, and MMSE channel estimation algorithms under different SNR. Under high SNR conditions, the BER of the PO algorithm is close to that of the MMSE algorithm, while under low SNR conditions, the PO algorithm outperforms the LS algorithm. This makes the PO algorithm an ideal choice for practical applications, capable of maintaining high estimation accuracy while reducing computational complexity and improving system efficiency.
Figure 3.
BER performance of LS, MMSE, and PO-CE under 256QAM constellation diagram and 1/12 pilot density. X-axis: SNR [Db]. The curves are the results of simulations.
At approximately 0 Db SNR, the BER of the LS algorithm is 0.4380, the PO algorithm is 0.4433, and the MMSE algorithm is 0.4290. Under low SNR conditions, the BER of all three algorithms is relatively high with little difference, but the MMSE algorithm performs slightly better. As the SNR increases to approximately 5 Db, the BER of the LS algorithm is 0.3969, the PO algorithm is 0.3931, and the MMSE algorithm is 0.3825. At SNRs of approximately 10 Db, 20 Db, and 30 Db, both the PO and MMSE algorithms outperform the LS algorithm.
Overall, while the LS algorithm is simple to implement, it has a large error under low SNR conditions, resulting in the highest BER. As the SNR increases, the BER gradually decreases, but it still lags behind the PO and MMSE algorithms at higher SNRs. The PO algorithm consistently demonstrates high channel estimation accuracy across all SNR conditions, especially under medium to high SNR conditions where its BER is close to that of the MMSE algorithm. The MMSE algorithm shows the best channel estimation performance under all SNR conditions but relies on precise prior channel statistical information. The PO algorithm strikes a balance between performance and computational complexity, making it highly valuable for practical 5G communication systems. By optimizing channel estimation algorithms, the accuracy of channel estimation and overall system performance can be significantly improved, providing support for efficient and reliable wireless communication.
3.3. MSE Comparison Analysis
Mean Squared Error (MSE) is a key metric in channel estimation. The formula for MSE is
where represents the estimated channel response, is the true channel response, denotes the Euclidean norm, and denotes the expectation. MSE quantifies the deviation between the estimated value and the true value and is a crucial indicator for evaluating the performance of channel estimation algorithms.
In 5G communication systems, the accuracy of channel estimation is critical for system performance. Firstly, MSE directly reflects the accuracy of channel estimation. By analyzing MSE, the performance of different channel estimation algorithms under various channel conditions can be quantified, allowing for the selection of the optimal algorithm to enhance the overall system performance. Secondly, MSE provides a theoretical foundation for optimizing channel estimation algorithms. When designing and optimizing channel estimation algorithms, minimizing MSE is often the goal. Through simulations and practical testing, analyzing the MSE performance of different algorithms under various channel conditions can identify the best algorithm. Thirdly, MSE can guide the adjustment of system parameters. By analyzing MSE, the optimal parameter configuration can be found to enhance the overall system performance. Fourthly, MSE plays a significant role in Channel State Information (CSI) feedback. The magnitude of MSE directly affects the accuracy of CSI, thereby impacting the system’s adaptive performance. Optimizing channel estimation algorithms to minimize MSE and improve CSI accuracy subsequently enhances system spectral efficiency and transmission reliability.
Figure 4 illustrates the MSE performance of LS, PO, and MMSE channel estimation algorithms under different SNR conditions. Overall, as SNR increases, the MSE of all three algorithms significantly decreases, indicating improved channel estimation accuracy under high SNR conditions.
Figure 4.
MSE performance of LS, MMSE, and PO-CE under 256QAM constellation diagram and 1/12 pilot density (step size is 1 Db). X-axis: SNR [Db]. The curves are the results of simulations.
Specifically, under low SNR conditions (0 to 5 Db), the MSE of the three algorithms varies greatly. The LS algorithm performs the worst under low SNR conditions, with an MSE still above 1 at 5 Db SNR. The LS algorithm does not account for noise effects and is based solely on the least squares criterion, resulting in large errors under low SNR conditions. As SNR increases, the MSE of the LS algorithm rapidly decreases, gradually approaching the MMSE and PO algorithms under high SNR conditions. The MMSE algorithm consistently outperforms the LS algorithm across all SNR conditions, with significant advantages under low SNR conditions. At 0 Db SNR, the MSE of the MMSE algorithm is approximately 0.5, significantly lower than that of the LS algorithm. The PO algorithm performs between the LS and MMSE algorithms under low SNR conditions, with an MSE slightly higher than the MMSE algorithm but lower than the LS algorithm at 0 Db SNR. As SNR increases, the MSE of the PO algorithm rapidly decreases, approaching the MMSE algorithm under high SNR conditions.
3.4. Impact of Modulation Schemes
Figure 5 presents the BER performance of LS, PO, and MMSE channel estimation algorithms under different modulation schemes (QPSK, 16QAM, 64QAM, and 256QAM) with a pilot density of 1/12 and a step size of 5 Db. The general trend shows that as the Signal-to-Noise Ratio (SNR) increases, the BER of all three algorithms significantly decreases, but the performance of each algorithm varies notably with different modulation schemes. From Figure 5a–d, it can be observed that as the modulation order increases, the differences in BER among the three algorithms narrow, especially at an SNR of 0 Db, where the errors are most pronounced. Simultaneously, the overall BER value increases with higher modulation orders.
Figure 5.
BER performance of LS, PO, and MMSE channel estimation algorithms under different modulation schemes. X-axis: SNR [Db]. The curves are the results of simulations.
Specifically, under low SNR conditions, all three algorithms exhibit high errors, with PO and MMSE slightly outperforming LS. Under medium SNR conditions, PO and MMSE algorithms outperform LS. Under high SNR conditions, MMSE slightly outperforms PO, and PO significantly outperforms LS. The LS algorithm shows large errors under low SNR conditions; as SNR increases, BER gradually decreases, but the performance remains poor under high-order modulation (such as 256QAM) with high BER. The PO algorithm consistently demonstrates high channel estimation accuracy across all SNR conditions, especially under high-order modulation, where its BER is significantly lower than LS and close to MMSE. The MMSE algorithm exhibits the best performance in terms of BER under all SNR conditions.
By analyzing the BER under different modulation schemes and considering the complexity of the PO algorithm, it can be concluded that the PO algorithm strikes a balance between performance and computational complexity. It exhibits high channel estimation accuracy under various modulation schemes and SNR conditions, making it suitable for practical applications. In contrast, the LS algorithm is simple to compute but performs poorly under low SNR and high-order modulation conditions; the MMSE algorithm, while superior in performance, is limited by the need for prior knowledge. The PO algorithm provides an effective channel estimation method for 5G communication systems, balancing performance and complexity. By optimizing channel estimation algorithms, the accuracy and overall performance of 5G communication systems can be significantly improved, supporting efficient and reliable wireless communication. The data in Figure 5 further validate the superiority of the PO algorithm under different modulation schemes and SNR conditions, especially under high-order modulation and high SNR conditions, where the BER of the PO algorithm is close to that of the MMSE algorithm, indicating its potential for practical applications.
Figure 6 presents the MSE performance of the LS, PO, and MMSE channel estimation algorithms under different modulation schemes (QPSK, 16QAM, 64QAM, and 256QAM) with a pilot density of 1/12 and a step size of 5 Db. The general trend shows that as SNR increases, the MSE of all three algorithms significantly decreases. Specifically, under low SNR conditions (0 to 5 Db), the MSE of the three algorithms varies greatly. The LS algorithm performs the worst under low SNR conditions, with an MSE still above 1 at 5 Db SNR. The LS algorithm does not account for noise effects and is based solely on the least squares criterion, resulting in large errors under low SNR conditions. As SNR increases, the MSE of the LS algorithm rapidly decreases, gradually approaching the MMSE and PO algorithms under high SNR conditions. The MMSE algorithm consistently outperforms the LS algorithm across all SNR conditions, with significant advantages under low SNR conditions. At 0 Db SNR, the MSE of the MMSE algorithm is approximately 0.5, significantly lower than that of the LS algorithm. The PO algorithm’s performance falls between the LS and MMSE algorithms under low SNR conditions, with an MSE slightly higher than the MMSE algorithm but lower than the LS algorithm at 0 Db SNR. As SNR increases, the MSE of the PO algorithm rapidly decreases, approaching the MMSE algorithm under high SNR conditions.
Figure 6.
MSE performance of LS, PO, and MMSE channel estimation algorithms under different modulation schemes. X-axis: SNR [Db]. The curves are the results of simulations.
In summary, the MSE trend clearly reflects the performance characteristics of different channel estimation algorithms. The LS algorithm is simple but has large errors under low SNR conditions; the MMSE algorithm provides the highest accuracy; and the PO algorithm’s performance accuracy falls between the two, with a performance close to that of the MMSE algorithm under high SNR conditions.
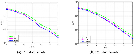
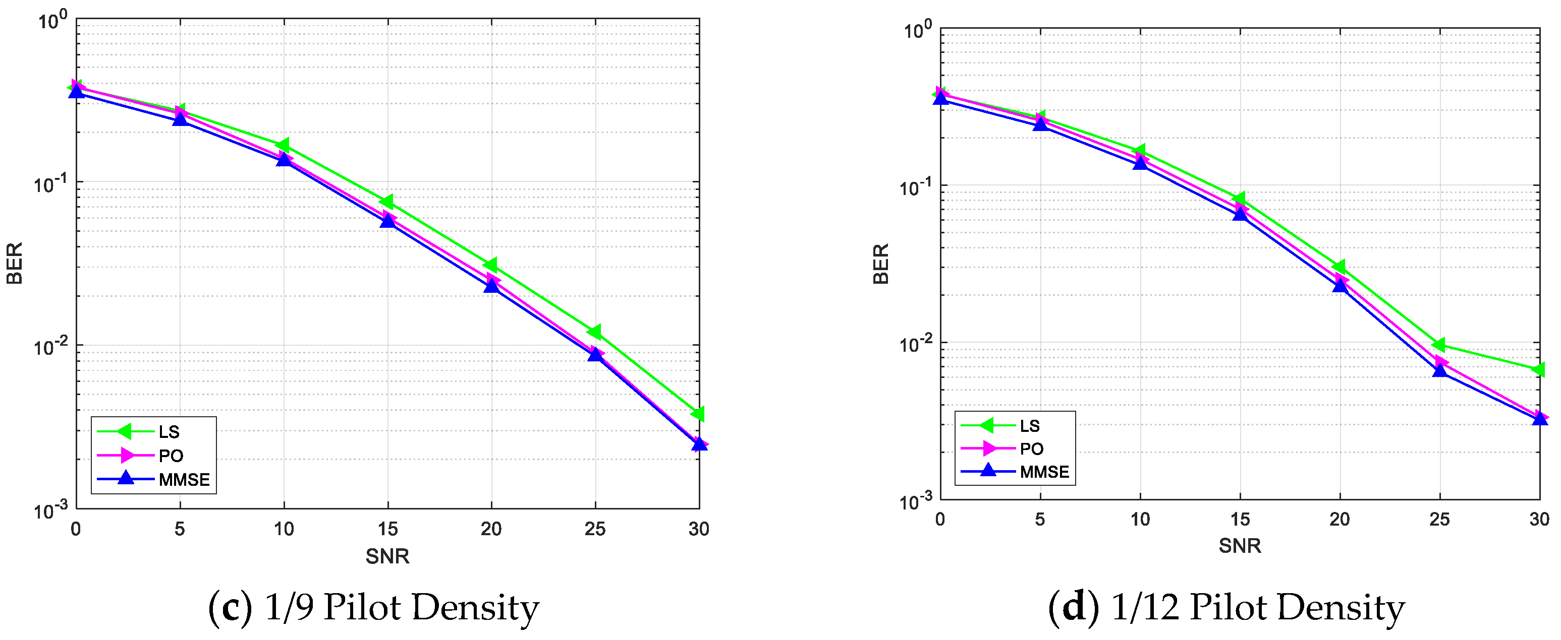
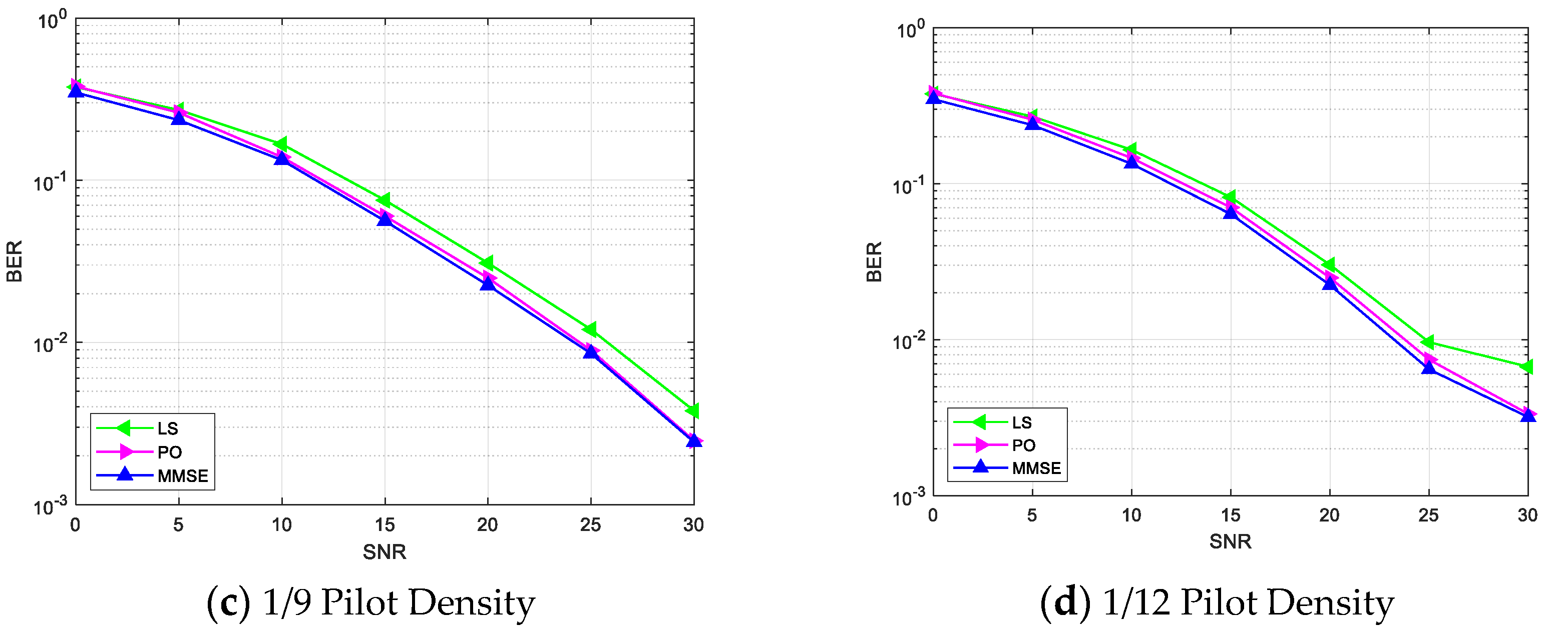
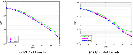
3.5. Analysis of the Impact of Pilot Density
Figure 7 presents the MSE performance of the LS, PO, and MMSE channel estimation algorithms under different pilot densities (1/3, 1/6, 1/9, and 1/12) with 16QAM modulation. Overall, the trends of the three algorithms are consistent across different pilot densities. Under 1/3 pilot density, the MSE of the PO algorithm is slightly higher than that of the MMSE under low SNR conditions but significantly lower than that of the LS algorithm. Under high SNR conditions, the MSE of the PO algorithm approaches that of the MMSE, with both significantly outperforming the LS algorithm. This indicates that under 1/3 pilot density, the PO algorithm can maintain high channel estimation accuracy while keeping computational complexity low, making it suitable for practical applications.
Figure 7.
MSE performance comparison of LS, PO, and MMSE under different pilot densities. X-axis: SNR [dB]. The curves are the results of simulations.
In summary, the PO algorithm demonstrates high channel estimation accuracy under different pilot densities, especially under high SNR conditions, where its MSE approaches that of the MMSE and significantly outperforms the LS algorithm. The data in Figure 7 further validate the superiority of the PO algorithm under different pilot densities and SNR conditions.
Figure 8 presents the BER performance of the LS, PO, and MMSE channel estimation algorithms under different pilot densities (1/3, 1/6, 1/9, and 1/12) with 16QAM modulation. Overall, the BER trends in Figure 8 show a higher similarity and consistency compared to Figure 7.

Figure 8.
BER performance comparison of LS, PO, and MMSE under different pilot densities. X-axis: SNR [dB]. The curves are the results of simulations.
For instance, under 1/3 pilot density, the BER of all three algorithms significantly decreases as SNR increases. Under low SNR conditions, the BER of the PO algorithm is significantly lower than that of the LS algorithm but slightly higher than that of the MMSE algorithm. Under high SNR conditions, the BER of the PO algorithm approaches that of the MMSE algorithm, with both outperforming the LS algorithm. This indicates that under 1/3 pilot density, the PO algorithm can maintain high channel estimation accuracy while keeping computational complexity low.
In summary, the PO algorithm demonstrates high channel estimation accuracy under different pilot densities, especially under high SNR conditions, where its BER approaches that of the MMSE algorithm and it significantly outperforms the LS algorithm. This indicates that the PO algorithm achieves a good balance between performance and complexity, making it suitable for various practical application scenarios. The data in Figure 8 further validate the superiority of the PO algorithm under different pilot densities and SNR conditions.
4. Conclusions
This chapter proposes a novel method based on the Parrot Optimizer for channel estimation in wireless communication systems (PO-CE). The PO-CE algorithm was evaluated in pilot-based OFDM systems under 5G NR TDL-300 frequency-selective channels and compared with LS and MMSE algorithms using BER and MSE as performance metrics. The experiments were conducted under different system configurations, including various modulation schemes (QPSK, 16QAM, 64QAM, and 256QAM) and pilot densities (1/3, 1/6, 1/9, and 1/12).
Simulation results indicate that the PO-CE algorithm’s performance is close to that of the MMSE algorithm and that it significantly outperforms the LS algorithm. Given that the MMSE algorithm requires prior channel statistical information and has high complexity, making it difficult for practical applications, the PO-CE algorithm becomes a suitable candidate for addressing channel estimation problems in OFDM-based wireless systems. Future research may focus on improving and evaluating the performance of the PO-CE algorithm under channel coding and MIMO configurations.
Author Contributions
Conceptualization, K.S.; Software, K.S.; Validation, K.S.; Writing—original draft, K.S.; Writing—review & editing, J.X.; Visualization, J.X.; Funding acquisition, J.X. All authors have read and agreed to the published version of the manuscript.
Funding
This research was supported by Natural Science Basic Research Program of Shaanxi (Program No.2023-JC-YB-575).
Data Availability Statement
Data are contained within the article.
Conflicts of Interest
Author Jiwei Xu was employed by the company Bull Group Co., Ltd. The remaining authors declare that the research was conducted in the absence of any commercial or financial relationships that could be construed as a potential conflict of interest.
References
- Şahin, A.; Hosseini, N.; Jamal, H.; Hoque, S.S.M.; Matolak, D.W. DFT-spread-OFDM-based chirp transmission. IEEE Commun. Lett. 2020, 25, 902–906. [Google Scholar] [CrossRef]
- Hossain, M.N. Performance evaluation of MIMO DFT-Spread WR-OFDM system for spectrum efficiency and power efficiency. J. Inf. Telecommun. 2022, 6, 465–481. [Google Scholar] [CrossRef]
- Zegrar, S.E.; Arslan, H. Common CP-OFDM transceiver design for low-complexity frequency domain equalization. IEEE Wirel. Commun. Lett. 2022, 11, 1349–1353. [Google Scholar] [CrossRef]
- Berggren, F.; Wang, P.; Popović, B.M. DFT-s-OFDM with enhanced time-domain spreading for B-IFDMA. IEEE Commun. Lett. 2020, 24, 2329–2333. [Google Scholar] [CrossRef]
- Soman, A.M.; Nakkeeran, R.; John, S.M. Improved DFT-based channel estimation for spatial modulated orthogonal frequency division multiplexing systems. IEICE Commun. Express 2022, 11, 208–215. [Google Scholar] [CrossRef]
- Sayed, A.; Khatun, M.; Ahmed, T.; Piya, A.A.; Chakraborty, P.; Choudhury, T. Performance analysis of OFDM system on multipath fading and inter symbol interference (ISI) using AWGN. In Computational Intelligence in Pattern Recognition: Proceedings of CIPR 2021; Springer: Singapore, 2022; pp. 25–36. [Google Scholar]
- Jung, Y.A.; Byun, S.B.; Shin, H.J.; Han, D.C.; Cho, S.H.; Lee, S.H. Frequency and Symbol Timing offset Estimation Method for CP-OFDM based System. In Proceedings of the 2021 International Conference on Information and Communication Technology Convergence (ICTC), Jeju Island, Republic of Korea, 20–22 October 2021; IEEE: New York, NY, USA; pp. 599–601. [Google Scholar]
- Abed, G.A. A New Approach to Improve Transmitting and Receiving Timing in Orthogonal Frequency Division Multiplexing (OFDM) Systems. Iraqi J. Comput. Sci. Math. 2023, 4, 83–96. [Google Scholar] [CrossRef]
- Alimi, S.; Alao, O.D.; Mumuni, Q.A. An overview of orthogonal frequency division multiplexing principles, architecture, and its application. Glob. J. Eng. Technol. Adv. 2022, 12, 120–130. [Google Scholar] [CrossRef]
- Subha, M.; Judson, D. Joint DFT Precoding and Discrete Wavelet Transform in SC-FDMA NOMA System with Carrier Frequency Offset Compensation. Period. Mineral. 2022, 91, 951–967. [Google Scholar]
- Ghosh, J.; Sharma, V.; Haci, H.; Singh, S.; Ra, I.-H. Performance investigation of NOMA versus OMA techniques for mmWave massive MIMO communications. IEEE Access 2021, 9, 125300–125308. [Google Scholar] [CrossRef]
- Liu, L.; Cai, L.; Ma, L.; Qiao, G. Channel state information prediction for adaptive underwater acoustic downlink OFDMA system: Deep neural networks based approach. IEEE Trans. Veh. Technol. 2021, 70, 9063–9076. [Google Scholar] [CrossRef]
- Ge, L.; Guo, Y.; Zhang, Y.; Chen, G.; Wang, J.; Dai, B.; Li, M.; Jiang, T. Deep neural network based channel estimation for massive MIMO-OFDM systems with imperfect channel state information. IEEE Syst. J. 2021, 16, 4675–4685. [Google Scholar] [CrossRef]
- Mai, Z.; Chen, Y.; Du, L. A novel blind mmWave channel estimation algorithm based on ML-ELM. IEEE Commun. Lett. 2021, 25, 1549–1553. [Google Scholar] [CrossRef]
- Chopra, R.; Murthy, C.R.; Suraweera, H.A.; Larsson, E.G. Blind channel estimation for downlink massive MIMO systems with imperfect channel reciprocity. IEEE Trans. Signal Process. 2020, 68, 3132–3145. [Google Scholar] [CrossRef]
- Lauinger, V.; Buchali, F.; Schmalen, L. Blind equalization and channel estimation in coherent optical communications using variational autoencoders. IEEE J. Sel. Areas Commun. 2022, 40, 2529–2539. [Google Scholar] [CrossRef]
- Wang, J.; Gao, R.; Ye, D.; Zhang, Z. Blind detection of cyclostationary signals based on multi-antenna beamforming technology. IET Commun. 2021, 15, 2439–2447. [Google Scholar] [CrossRef]
- Garakyaragh, N.; Shahtalebi, K. Blind block timing estimation for Alamouti STBC: An adaptive cyclostationary-based approach. ICT Express 2023, 9, 409–414. [Google Scholar] [CrossRef]
- Feder, A.; Gerstacker, W.; Hirschbeck, M. Blind symbol timing and carrier phase estimation for PCMA satellite signals via cyclic statistics. In Proceedings of the 2021 IEEE Global Communications Conference (GLOBECOM), Madrid, Spain, 7–11 December 2021; IEEE: New York, NY, USA, 2021; pp. 1–7. [Google Scholar]
- Choi, H.; Moon, H. Blind estimation of spreading sequence and data bits in direct-sequence spread spectrum communication systems. IEEE Access 2020, 8, 148066–148074. [Google Scholar] [CrossRef]
- Hu, C.; Wang, H.; Song, R. Pilot decontamination in multi-cell massive MIMO systems via combining semi-blind channel estimation with pilot assignment. IEEE Access 2020, 8, 152952–152962. [Google Scholar] [CrossRef]
- Gong, X.; Chen, W.; Chen, X.; Chen, J.; Ai, B. A TTSVD-enhanced fast and accurate channel estimation method for dual-polarized massive MIMO systems. In Proceedings of the 2021 IEEE International Conference on Signal Processing, Communications and Computing (ICSPCC), Xi’an, China, 17–20 August 2021; IEEE: New York, NY, USA, 2021; pp. 1–5. [Google Scholar]
- Vasylyshyn, V. Channel estimation method for OFDM communication system using adaptive singular spectrum analysis. In Proceedings of the 2020 IEEE 40th International Conference on Electronics and Nanotechnology (ELNANO), Kyiv, Ukraine, 22–24 April 2020; IEEE: New York, NY, USA, 2020; pp. 884–887. [Google Scholar]
- Pragna, P.; Sahana, P.; Naik, S.; Charantimath, S.R.; Karjigi, V. Channel Estimation using Conventional Methods and Deep Learning. In Proceedings of the 2021 2nd Global Conference for Advancement in Technology (GCAT), Bangalore, India, 1–3 October 2021; IEEE: New York, NY, USA, 2021; pp. 1–7. [Google Scholar]
- Yan, G.; Sheng, S. An exponential smoothing channel estimation method for MIMO-OFDM system. In Journal of Physics: Conference Series; IOP Publishing: Bristol, UK, 2021; Volume 1871, p. 012054. [Google Scholar]
- Patra, J.P.; Pradhan, B.B.; Singh, P. A dft-based low complexity lmmse channel estimation technique for ofdm systems. J. Telecommun. Inf. Technol. 2022, 1, 72–78. [Google Scholar] [CrossRef]
- Munshi, A.; Unnikrishnan, S. Performance analysis of compressive sensing-based LS and MMSE channel estimation algorithm. J. Commun. Softw. Syst. 2021, 17, 13–19. [Google Scholar] [CrossRef]
- Gayathri, R.; Perarasi, T.; Saranya, S.; Harikirubha, S.; Roobini, K. Analysis of LSE and MMSE Pilot Based Channel Estimation Techniques for MIMO-OFDM System. In IOP Conference Series: Materials Science and Engineering; IOP Publishing: Bristol, UK, 2021; Volume 1084, p. 012042. [Google Scholar]
- Hu, C.; Wang, H.; Song, R. Group successive interference cancellation assisted semi-blind channel estimation in multi-cell massive MIMO-NOMA systems. IEEE Commun. Lett. 2021, 25, 3085–3089. [Google Scholar] [CrossRef]
- de Araújo, G.T.; de Almeida AL, F.; Boyer, R.; Fodor, G. Semi-Blind Joint Channel and Symbol Estimation for IRS-Assisted MIMO Systems. IEEE Trans. Signal Process. 2023, 71, 1184–1199. [Google Scholar] [CrossRef]
- Missaoui, N.; Kammoun, I.; Siala, M. Blind and Semi-blind Channel Estimation and Collision Resolution for the Uplink of MU-MIMO and Massive MIMO Systems for B5G Networks. Wirel. Pers. Commun. 2024, 1–19. [Google Scholar] [CrossRef]
- Huang, X.; Zhu, X.; Jiang, Y.; Liu, Y. Efficient enhanced K-means clustering for semi-blind channel estimation of cell-free massive MIMO. In Proceedings of the ICC 2020-2020 IEEE International Conference on Communications (ICC), Dublin, Ireland, 7–11 June 2020; IEEE: New York, NY, USA, 2020; pp. 1–6. [Google Scholar]
- Wan, X.; Zhu, X.; Jiang, Y.; Liu, Y.; Zhao, J. An interference alignment and ICA-based semiblind dual-user downlink NOMA system for high-reliability low-latency IoT. IEEE Internet Things J. 2020, 7, 10837–10851. [Google Scholar] [CrossRef]
- Xu, Z.; Zhu, X.; Zhang, Y.; Jiang, Y.; Lau, V.; Sun, S. Sparse ICA Based Semi-Blind Massive MIMO Channel Estimation without Prior Information of Inter-Cell Interference. In Proceedings of the 2023 IEEE 98th Vehicular Technology Conference (VTC2023-Fall), Hong Kong, China, 10–13 October 2023; IEEE: New York, NY, USA, 2023; pp. 1–5. [Google Scholar]
- Khosravy, M.; Gupta, N.; Dey, N.; Ger, P.M. Smart green ocean underwater IoT network by ICA-based acoustic blind MIMO OFDM transceiver: With analysis of acoustic channel sparsity and blind estimation efficiency in data rate and energy consumption. Earth Sci. Inform. 2021, 14, 1073–1081. [Google Scholar] [CrossRef]
- Gao, J.; Zhong, C.; Li, G.Y.; Soriaga, J.B.; Behboodi, A. Deep learning-based channel estimation for wideband hybrid mmWave massive MIMO. IEEE Trans. Commun. 2023, 71, 3679–3693. [Google Scholar] [CrossRef]
- Yu, W.; Shen, Y.; He, H.; Yu, X.; Song, S.; Zhang, J.; Letaief, K.B. An adaptive and robust deep learning framework for THz ultra-massive MIMO channel estimation. IEEE J. Sel. Top. Signal Process. 2023, 17, 761–776. [Google Scholar] [CrossRef]
- Lian, J.; Hui, G.; Ma, L.; Zhu, T.; Wu, X.; Heidari, A.A.; Chen, Y.; Chen, H. Parrot optimizer: Algorithm and applications to medical problems. Comput. Biol. Med. 2024, 172, 108064. [Google Scholar] [CrossRef] [PubMed]
- Wolfram Research. Levy Distribution, Wolfram Language Function. 2008. (Updated in 2016). Available online: https://reference.wolfram.com/language/ref/LevyDistribution.html (accessed on 20 August 2020).
- Nguyen, T.H.P.; To, T.N.; Tran-Thi, D.; Le-Trung, Q. 5G Channel Estimation Based on Whale Optimization Algorithm. Wirel. Commun. Mob. Comput. 2023, 2023, 5800673. [Google Scholar] [CrossRef]
- Hilt, A. Threshold degradation of digital receivers due to interference in fixed wireless access networks. In Proceedings of the 2023 33rd International Conference Radioelektronika (RADIOELEKTRONIKA), Pardubice, Czech Republic, 19–20 April 2023; IEEE: New York, NY, USA, 2023; pp. 1–6. [Google Scholar]
Disclaimer/Publisher’s Note: The statements, opinions and data contained in all publications are solely those of the individual author(s) and contributor(s) and not of MDPI and/or the editor(s). MDPI and/or the editor(s) disclaim responsibility for any injury to people or property resulting from any ideas, methods, instructions or products referred to in the content. |
© 2024 by the authors. Licensee MDPI, Basel, Switzerland. This article is an open access article distributed under the terms and conditions of the Creative Commons Attribution (CC BY) license (https://creativecommons.org/licenses/by/4.0/).








