Ultracompact SIRC-Based Self-Triplexing Antenna with High Isolation
Abstract
:1. Introduction
- (i)
- A systematic design approach for SIRC cavity-based slot antennas is presented.
- (ii)
- We suggest, fabricate, and test an ultracompact single-layer tri-band antenna with high isolation and gain in all three bands.
- (iii)
- The proposed STA configuration exhibits a highly miniaturized footprint area.
- (iv)
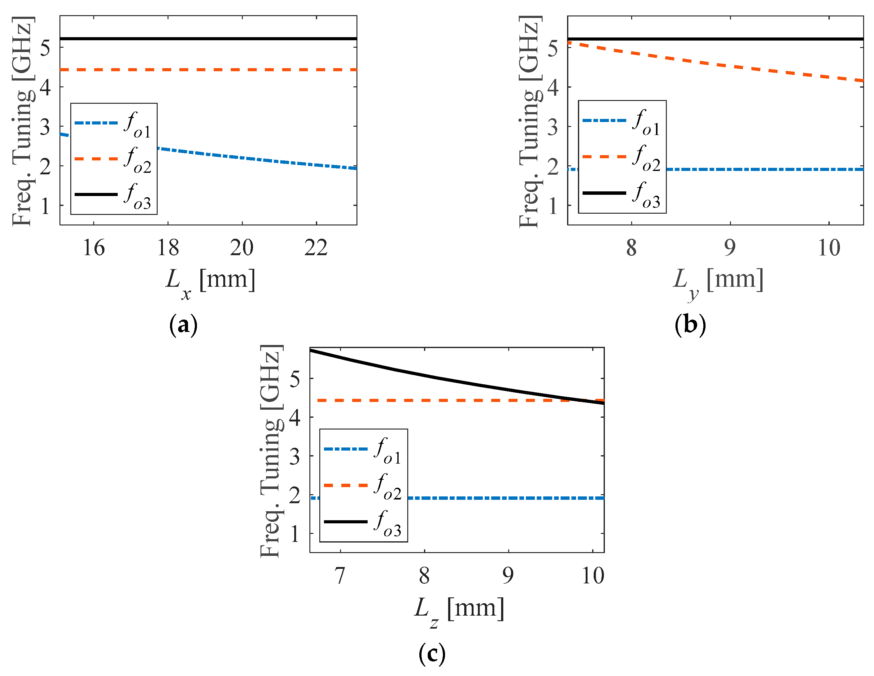
- It is possible to tune all three bands independently without disturbing the other radiating frequency bands.
- (v)
- For a better comprehension of the working principle of the proposed STA, an equivalent lumped-circuit model is developed.
- (vi)
- Port one is orthogonally connected to ports two and three, resulting in a very weak cross-coupling path between ports and increased isolation. As a result, all three ports achieve excellent isolation of greater than 32.42 dB.
2. Development and Analysis of the Proposed SIRC-Based Self-Triplexing Antenna
2.1. Antenna Configuration
2.2. Equivalent Lumped-Circuit Model
2.3. Independent Frequency Tunability
3. Fabrication, Measurement, and Results Discussion
4. Conclusions
Author Contributions
Funding
Data Availability Statement
Acknowledgments
Conflicts of Interest
References
- Chen, S.C.; Wang, Y.S.; Chung, S.J. A decoupling technique for increasing the port isolation between two strongly coupled antennas. IEEE Trans. Antennas Propag. 2008, 56, 3650–3658. [Google Scholar] [CrossRef]
- Ahmad, S.; Boubakar, H.; Naseer, S.; Alim, M.E.; Sheikh, Y.A.; Ghaffar, A.; Al-Gburi, A.J.A.; Parchin, N.O. Design of a Tri-Band Wearable Antenna for Millimeter-Wave 5G Applications. Sensors 2022, 22, 8012. [Google Scholar] [CrossRef]
- Wang, D.; Chan, C.H. Multiband antenna for WiFi and WiGig communications. IEEE Antennas Wirel. Propag. Lett. 2015, 15, 309–312. [Google Scholar] [CrossRef]
- Anguera, J.; Andújar, A.; García, C. Multiband and small coplanar antenna system for wireless handheld devices. IEEE Trans. Antennas Propag. 2013, 61, 3782–3789. [Google Scholar] [CrossRef]
- Cui, Y.; Wang, X.; Shen, G.; Li, R. A triband SIW cavity-backed differentially fed dual-polarized slot antenna for WiFi/5G applications. IEEE Trans. Antennas Propag. 2020, 68, 8209–8214. [Google Scholar] [CrossRef]
- Bozzi, M.; Georgiadis, A.; Wu, K. Review of substrate-integrated waveguide circuits and antennas. IET Microw. Antennas Propag. 2011, 5, 909–920. [Google Scholar] [CrossRef]
- Zheng, Z.; Li, D.; Tan, X.; Chen, Q. Single-Layer Dual-/Tri-band SIW Filtenna Based on Multifunctional Cavity-Backed Slots. IEEE Trans. Antennas Propag. 2023, 71, 4498–4503. [Google Scholar] [CrossRef]
- Niu, B.J.; Tan, J.H. Half-mode SIW cavity antenna for tri-band MIMO applications. Microw. Opt. Technol. Lett. 2020, 62, 1697–1701. [Google Scholar] [CrossRef]
- Niu, B.J.; Tan, J.H. Compact tri-band MIMO antenna based on quarter-mode slotted substrate-integrated-waveguide cavity. Int. J. RF Microw. Comput.-Aided Eng. 2020, 30, e22101. [Google Scholar] [CrossRef]
- Mandal, B.; Parui, S.K. Wearable tri-band SIW based antenna on leather substrate. Electron. Lett. 2015, 51, 1563–1564. [Google Scholar] [CrossRef]
- Cheong, P.; Chang, K.F.; Choi, W.W.; Tam, K.W. A highly integrated antenna-triplexer with simultaneous three-port isolations based on multi-mode excitation. IEEE Trans. Antennas Propag. 2014, 63, 363–368. [Google Scholar] [CrossRef]
- Nandi, S.; Mohan, A. An SIW cavity-backed self-diplexing antenna. IEEE Antennas Wirel. Propag. Lett. 2017, 16, 2708–2711. [Google Scholar] [CrossRef]
- Barik, R.K.; Cheng, Q.S.; Dash, S.K.; Pradhan, N.C.; Subramanian, K.S. Design of a compact orthogonal fed self-diplexing bowtie-ring slot antenna based on substrate integrated waveguide. Int. J. RF Microw. Comput.-Aided Eng. 2020, 30, e22422. [Google Scholar] [CrossRef]
- Pradhan, N.C.; Subramanian, K.S.; Barik, R.K.; Cheng, Q.S. A shielded-QMSIW-based self-diplexing antenna for closely spaced bands and high isolation. IEEE Antennas Wirel. Propag. Lett. 2021, 20, 2382–2386. [Google Scholar] [CrossRef]
- Barik, R.K.; Koziel, S.; Cheng, Q.S.; Szczepanski, S. Highly Miniaturized Self-Diplexed U-Shaped Slot Antenna Based on Shielded QMSIW. IEEE Access 2021, 9, 158926–158935. [Google Scholar] [CrossRef]
- Priya, S.; Kumar, K.; Dwari, S.; Mandal, M.K. Circularly polarized self-diplexing SIW cavity backed slot antennas. IEEE Trans. Antennas Propag. 2019, 68, 2387–2392. [Google Scholar] [CrossRef]
- Dash, S.K.K.; Cheng, Q.S.; Barik, R.K.; Pradhan, N.C.; Subramanian, K.S. A compact substrate integrated self-diplexing antenna for WiFi and ISM band applications. In Proceedings of the 50th European Microwave Conference (EuMC), Utrecht, The Netherlands, 12–14 January 2021; pp. 232–235. [Google Scholar]
- Barik, R.K.; Cheng, Q.S.; Dash, S.K.K.; Pradhan, N.C.; Karthikeyan, S.S. Compact high-isolation self-diplexing antenna based on SIW for C-band applications. J. Electromagn. Waves Appl. 2020, 34, 960–974. [Google Scholar] [CrossRef]
- Iqbal, A.; Al-Hasan, M.; Mabrouk, I.B.; Nedil, M. Ultracompact quarter-mode substrate integrated waveguide self-diplexing antenna. IEEE Antennas Wirel. Propag. Lett. 2021, 20, 1269–1273. [Google Scholar] [CrossRef]
- Iqbal, A.; Tiang, J.J.; Lee, C.K.; Mallat, N.K. SIW cavity backed self-diplexing tunable antenna. IEEE Trans. Antennas Propag. 2021, 69, 5021–5025. [Google Scholar] [CrossRef]
- Dash, S.K.K.; Cheng, Q.S.; Barik, R.K.; Khan, T.; Subramanian, K.S. A compact dual-fed highly isolated SIW based self-diplexing antenna. AEU-Int. J. Electron. Commun. 2021, 132, 153613. [Google Scholar] [CrossRef]
- Pradhan, N.C.; Subramanian, K.S.; Barik, R.K.; Dalal, P.; Cheng, Q.S. Design of Compact Shielded QMSIW Based Self-Diplexing Antenna for High-Isolation. In Proceedings of the IEEE Wireless Antenna and Microwave Symposium (WAMS), Rourkela, India, 5–8 June 2022; pp. 1–4. [Google Scholar]
- Pradhan, N.C.; Sholampettai, S.K.; Barik, R.K.; Cheng, Q.S. A shielded QMSIW ultra-compact self-diplexing antenna for WiMAX/WLAN applications. J. Electromagn. Waves Appl. 2022, 36, 1869–1881. [Google Scholar] [CrossRef]
- Pradhan, N.C.; Reddy, M.G.; Subramanian, K.S.; Barik, R.K.; Koziel, S.; Cheng, Q.S. Microfluidic SIW-Based Tunable Self-Diplexing Antenna for Sub-6 GHz Band Applications. IEEE Trans. Circuits Syst. II Express Briefs 2022, 70, 1435–1439. [Google Scholar] [CrossRef]
- Kumar, K.; Dwari, S. Substrate integrated waveguide cavity-backed self-triplexing slot antenna. IEEE Antennas Wirel. Propag. Lett. 2017, 16, 3249–3252. [Google Scholar] [CrossRef]
- Iqbal, A.; Selmi, M.A.; Abdulrazak, L.F.; Saraereh, O.A.; Mallat, N.K.; Smida, A. A compact substrate integrated waveguide cavity-backed self-triplexing antenna. IEEE Trans. Circuits Syst. II Express Briefs 2020, 67, 2362–2366. [Google Scholar] [CrossRef]
- Dash, S.K.K.; Cheng, Q.S.; Barik, R.K.; Pradhan, N.C.; Subramanian, K.S. A compact triple-fed high-isolation SIW-based self-triplexing antenna. IEEE Antennas Wirel. Propag. Lett. 2020, 19, 766–770. [Google Scholar] [CrossRef]
- Barik, R.K.; Koziel, S. Highly-Miniaturized Self-Quadruplexing Antenna Based on Substrate-Integrated Rectangular Cavity. IEEE Antennas Wirel. Propag. Lett. 2023, 22, 482–486. [Google Scholar] [CrossRef]
- Barik, R.K.; Koziel, S. A Compact Self-Hexaplexing Antenna Implemented on Substrate-Integrated Rectangular Cavity for Hexa-Band Applications. IEEE Trans. Circuits Syst. II Express Briefs 2023, 70, 506–510. [Google Scholar] [CrossRef]
- Dash, S.K.K.; Cheng, Q.S.; Barik, R.K.; Jiang, F.; Pradhan, N.C.; Subramanian, K.S. A compact SIW cavity-backed self-multiplexing antenna for hexa-band operation. IEEE Trans. Antennas Propag. 2021, 70, 2283–2288. [Google Scholar] [CrossRef]
- Harrington, R.F. Effect of antenna size on gain, bandwidth, and efficiency. J. Res. Natl. Bur. Stand. Sect. D Radio Propag. 1960, 64, 1–12. [Google Scholar] [CrossRef]
- Luo, G.Q.; Hu, Z.F.; Dong, L.X.; Sun, L.L. Planar slot antenna backed by substrate integrated waveguide cavity. IEEE Antennas Wirel. Propag. Lett. 2008, 7, 236–239. [Google Scholar]
- Jin, C.; Li, R.; Alphones, A.; Bao, B. Quarter-mode substrate integrated waveguide and its application to antennas design. IEEE Trans. Antennas Propag. 2013, 61, 2921–2928. [Google Scholar] [CrossRef]














| Rx1 (Ω) | Lx1 (nH) | Cx1 (pF) | Cy1 (pF) | Lk1 (nH) | Ck1 (pF) | T1 |
| 239 | 0.373 | 18.6007 | 0.012 | 12.914 | 12.1519 | 0.4597 |
| Rx2 (Ω) | Lx2 (nH) | Cx2 (pF) | Cy2 (pF) | Lk2 (nH) | Ck2 (pF) | T2 |
| 281 | 0.189 | 6.4557 | 0.399 | 7.103 | 10.6529 | 0.429 |
| Rx3 (Ω) | Lx3 (nH) | Cx3 (pF) | Cy3 (pF) | Lk3 (nH) | Ck3 (pF) | T3 |
| 471 | 0.2495 | 1.9587 | 1.7988 | 13.808 | 0.4597 | 0.329 |
| Parameter Range | Frequency Range | Application Standards |
|---|---|---|
| 15.09 ≤ Lx ≤ 23.09 (port 1) | 1.93 ≤ f01 ≤ 2.80 | GSM/WiFi/ISM/Bluetooth/LTE/Extended PCS |
| 6.35 ≤ Ly ≤ 10.35 (port 2) | 4.16 ≤ f02 ≤ 5.60 | 5G/WLAN/WiFi/C-band |
| 6.63 ≤ Lz ≤ 10.13 (port 3) | 4.63 ≤ f03 ≤ 5.73 | 5G/WLAN/WiFi/Standard C-band/LTE |
| Ports | Freq. (GHz) | Reflection Coeff. (dB) | ISL (dB) | Realized Gain (dBi) | Radiation Efficiency (%) |
|---|---|---|---|---|---|
| 1 | 1.92 | 24.11 | 32.42 | 4.10 | 86.4 |
| 2 | 4.43 | 28.76 | 32.74 | 5.59 | 90.24 |
| 3 | 5.25 | 25.73 | 39.45 | 4.94 | 92.84 |
| Ref. | Opertion | Self-Triplexing | Size (λg2) | ISL (dB) | Gain (dBi) | LC Model |
|---|---|---|---|---|---|---|
| [2] | Tri-band | No | 0.195 | NA | 2.1/1.9/5.1 | No |
| [5] | Tri-band | No | 0.462 | >30 | 5.0/6.0/6.5 | No |
| [7] | Tri-band | No | 0.232 | NA | 5.05/4.58/3.17 | No |
| [10] | Tri-band | No | 0.912 | NA | 1.1/0.9/2.1 | No |
| [11] | Tri-band | Yes | 0.28 | >19 | 0.85/4.0/4.23 | No |
| [25] | Tri-band | Yes | 0.42 | >22.5 | 7.2/7.2/7.0 | No |
| [26] | Tri-band | Yes | 0.69 | >26 | 4.5/5.9/6.0 | Yes |
| [27] | Tri-band | Yes | 0.17 | >30.8 | 4.26/4.41/6.27 | No |
| This work | Tri-band | Yes | 0.086 | >32.4 | 4.10/5.59/4.94 | Yes |
Disclaimer/Publisher’s Note: The statements, opinions and data contained in all publications are solely those of the individual author(s) and contributor(s) and not of MDPI and/or the editor(s). MDPI and/or the editor(s) disclaim responsibility for any injury to people or property resulting from any ideas, methods, instructions or products referred to in the content. |
© 2023 by the authors. Licensee MDPI, Basel, Switzerland. This article is an open access article distributed under the terms and conditions of the Creative Commons Attribution (CC BY) license (https://creativecommons.org/licenses/by/4.0/).
Share and Cite
Barik, R.K.; Koziel, S. Ultracompact SIRC-Based Self-Triplexing Antenna with High Isolation. Electronics 2023, 12, 2112. https://doi.org/10.3390/electronics12092112
Barik RK, Koziel S. Ultracompact SIRC-Based Self-Triplexing Antenna with High Isolation. Electronics. 2023; 12(9):2112. https://doi.org/10.3390/electronics12092112
Chicago/Turabian StyleBarik, Rusan Kumar, and Slawomir Koziel. 2023. "Ultracompact SIRC-Based Self-Triplexing Antenna with High Isolation" Electronics 12, no. 9: 2112. https://doi.org/10.3390/electronics12092112
APA StyleBarik, R. K., & Koziel, S. (2023). Ultracompact SIRC-Based Self-Triplexing Antenna with High Isolation. Electronics, 12(9), 2112. https://doi.org/10.3390/electronics12092112
