Clustered Federated Learning Based on Momentum Gradient Descent for Heterogeneous Data
Abstract
1. Introduction
- We propose clustered federated learning based on momentum gradient descent to address the data owned by clients in federated learning, where the data are habitually non-independently identically distributed.
- We establish a convergence guarantee for the proposed CFL-MGD algorithm in a convex setting and show that our algorithm can achieve exponential convergence.
- We experimentally show that the proposed algorithm can perform well in non-convex settings, such as neural networks.
2. Related Work
2.1. FL and Data Heterogeneity
2.2. Momentum Method
3. Preliminaries
- (a)
- For gradient averaging, we first compute the (stochastic) gradient and update the momentum
- (b)
- For model averaging, local updates are performed in parallel on each client:
- (a)
- Gradient averaging:
- (b)
- Model averaging:
4. CFL-MGD Algorithm
| Algorithm 1 Clustered federated learning based on momentum gradient descent (CFL-MGD) |
|
5. Theoretical Guarantees
6. Simulation and Analysis
6.1. Datasets
6.2. Neural Network Model
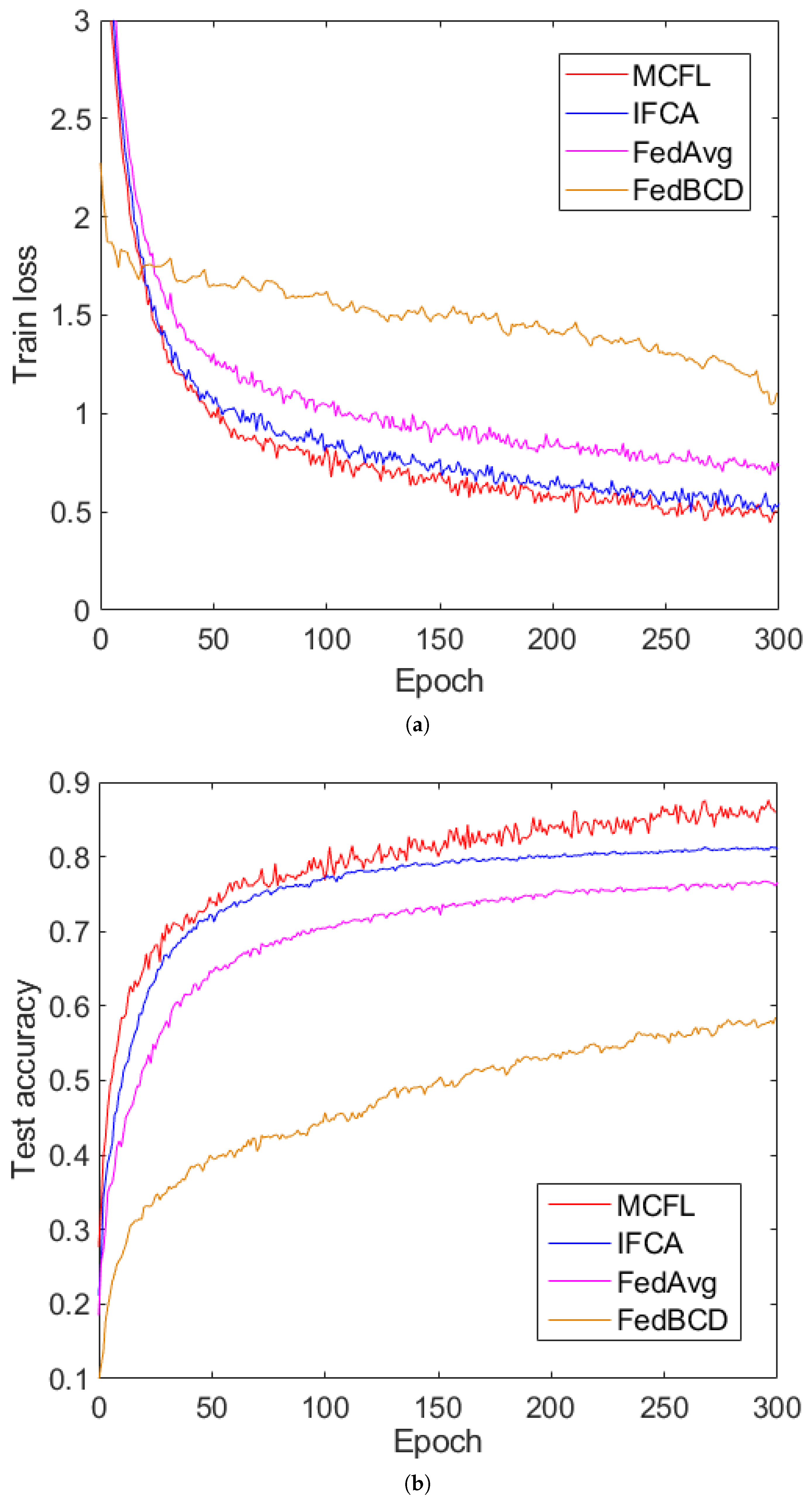
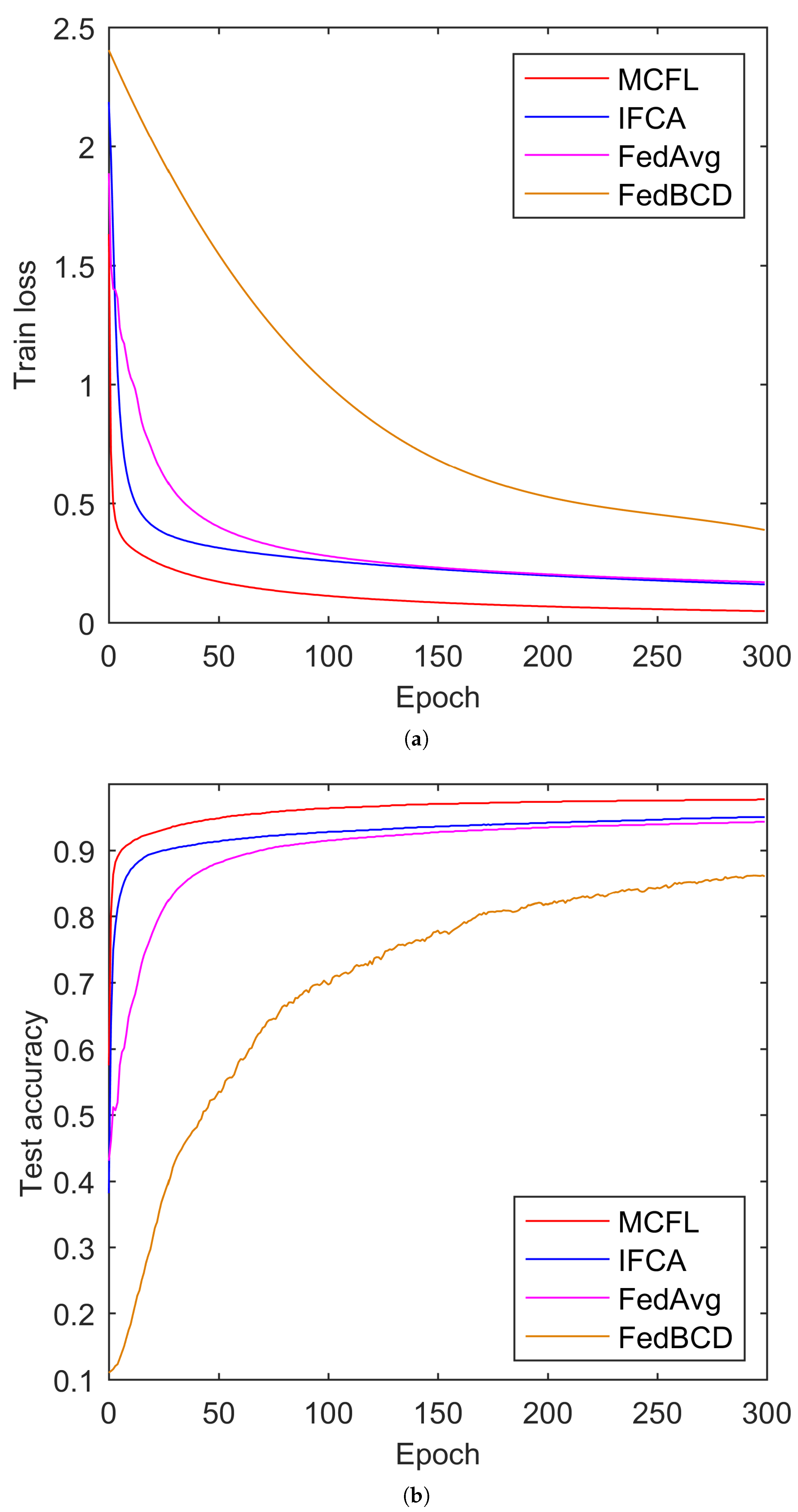
6.3. Results Analysis
7. Conclusions
Author Contributions
Funding
Data Availability Statement
Conflicts of Interest
Appendix A. Proof of Lemma 2
Appendix B. Proof of Theorem 1
References
- Neglia, G.; Calbi, G.; Towsley, D.; Vardoyan, G. The Role of Network Topology for Distributed Machine Learning. In Proceedings of the IEEE INFOCOM 2019—IEEE Conference on Computer Communications, Paris, France, 29 April–2 May 2019; pp. 2350–2358. [Google Scholar] [CrossRef]
- Cheng, P.; Ma, C.; Ding, M.; Hu, Y.; Lin, Z.; Li, Y.; Vucetic, B. Localized Small Cell Caching: A Machine Learning Approach Based on Rating Data. IEEE Trans. Commun. 2019, 67, 1663–1676. [Google Scholar] [CrossRef]
- Xie, J.; Zheng, Y.; Du, R.; Xiong, W.; Cao, Y.; Ma, Z.; Cao, D.; Guo, J. Deep Learning-Based Computer Vision for Surveillance in ITS: Evaluation of State-of-the-Art Methods. IEEE Trans. Veh. Technol. 2021, 70, 3027–3042. [Google Scholar] [CrossRef]
- Chen, H.; Liu, Z.; Kang, X.; Nishide, S.; Ren, F. Investigating voice features for Speech emotion recognition based on four kinds of machine learning methods. In Proceedings of the 6th IEEE International Conference on Cloud Computing and Intelligence Systems, CCIS 2019, Singapore, 19–21 December 2019; IEEE: Piscataway, NJ, USA, 2019; pp. 195–199. [Google Scholar] [CrossRef]
- Manjunath, K.E. Multilingual Phone Recognition in Indian Languages—Studies in Speech Signal Processing, Natural Language Understanding, and Machine Learning; Springer: Berlin/Heidelberg, Germany, 2022. [Google Scholar] [CrossRef]
- Zheng, C.; Liu, S.; Huang, Y.; Zhang, W.; Yang, L. Unsupervised Recurrent Federated Learning for Edge Popularity Prediction in Privacy-Preserving Mobile-Edge Computing Networks. IEEE Internet Things J. 2022, 9, 24328–24345. [Google Scholar] [CrossRef]
- Konečný, J.; McMahan, H.B.; Yu, F.X.; Richtárik, P.; Suresh, A.T.; Bacon, D. Federated Learning: Strategies for Improving Communication Efficiency. arXiv 2016, arXiv:1610.05492. [Google Scholar]
- Li, T.; Sahu, A.K.; Talwalkar, A.; Smith, V. Federated Learning: Challenges, Methods, and Future Directions. IEEE Signal Process. Mag. 2020, 37, 50–60. [Google Scholar] [CrossRef]
- Caldas, S.; Wu, P.; Li, T.; Konečný, J.; McMahan, H.B.; Smith, V.; Talwalkar, A. LEAF: A Benchmark for Federated Settings. arXiv 2018, arXiv:1812.01097. [Google Scholar]
- Xu, C.; Liu, S.; Yang, Z.; Huang, Y.; Wong, K.K. Learning Rate Optimization for Federated Learning Exploiting Over-the-Air Computation. IEEE J. Sel. Areas Commun. 2021, 39, 3742–3756. [Google Scholar] [CrossRef]
- Wu, H.; Wang, P. Node Selection Toward Faster Convergence for Federated Learning on Non-IID Data. IEEE Trans. Netw. Sci. Eng. 2022, 9, 3099–3111. [Google Scholar] [CrossRef]
- Li, X.; Huang, K.; Yang, W.; Wang, S.; Zhang, Z. On the Convergence of FedAvg on Non-IID Data. In Proceedings of the 8th International Conference on Learning Representations, ICLR 2020, Addis Ababa, Ethiopia, 26–30 April 2020. [Google Scholar]
- Cho, Y.J.; Wang, J.; Chiruvolu, T.; Joshi, G. Personalized Federated Learning for Heterogeneous Clients with Clustered Knowledge Transfer. arXiv 2021, arXiv:2109.08119. [Google Scholar]
- Shu, J.; Yang, T.; Liao, X.; Chen, F.; Xiao, Y.; Yang, K.; Jia, X. Clustered Federated Multitask Learning on Non-IID Data with Enhanced Privacy. IEEE Internet Things J. 2023, 10, 3453–3467. [Google Scholar] [CrossRef]
- Cho, Y.J.; Wang, J.; Chirvolu, T.; Joshi, G. Communication-Efficient and Model-Heterogeneous Personalized Federated Learning via Clustered Knowledge Transfer. IEEE J. Sel. Top. Signal Process. 2023, 17, 234–247. [Google Scholar] [CrossRef]
- Xie, B.; Dong, X.; Wang, C. An Improved K -Means Clustering Intrusion Detection Algorithm for Wireless Networks Based on Federated Learning. Wirel. Commun. Mob. Comput. 2021, 2021, 9322368:1–9322368:15. [Google Scholar] [CrossRef]
- Dennis, D.K.; Li, T.; Smith, V. Heterogeneity for the Win: One-Shot Federated Clustering. In Proceedings of the 38th International Conference on Machine Learning, ICML 2021, Virtual Event, 18–24 July 2021; Meila, M., Zhang, T., Eds.; Proceedings of Machine Learning Research (PMLR): London, UK, 2021; Volume 139, pp. 2611–2620. [Google Scholar]
- Zeng, D.; Hu, X.; Liu, S.; Yu, Y.; Wang, Q.; Xu, Z. Stochastic Clustered Federated Learning. arXiv 2023, arXiv:2303.00897. [Google Scholar]
- Awasthi, P.; Sheffet, O. Improved Spectral-Norm Bounds for Clustering. In Proceedings of the Approximation, Randomization, and Combinatorial Optimization. Algorithms and Techniques—15th International Workshop, APPROX 2012, and 16th International Workshop, RANDOM 2012, Cambridge, MA, USA, 15–17 August 2012; Lecture Notes in Computer Science. Springer: Berlin/Heidelberg, Germany, 2012; Volume 7408, pp. 37–49. [Google Scholar] [CrossRef]
- Sattler, F.; Müller, K.; Samek, W. Clustered Federated Learning: Model-Agnostic Distributed Multi-Task Optimization under Privacy Constraints. IEEE Trans. Neural Netw. Learn. Syst. 2020, 32, 3710–3722. [Google Scholar] [CrossRef] [PubMed]
- Xie, M.; Long, G.; Shen, T.; Zhou, T.; Wang, X.; Jiang, J.; Zhang, C. Multi-Center Federated Learning. arXiv 2021, arXiv:2005.01026. [Google Scholar]
- Ma, Z.; Zhao, M.; Cai, X.; Jia, Z. Fast-convergent federated learning with class-weighted aggregation. J. Syst. Archit. 2021, 117, 102125. [Google Scholar] [CrossRef]
- Ghosh, A.; Chung, J.; Yin, D.; Ramchandran, K. An Efficient Framework for Clustered Federated Learning. In Proceedings of the Advances in Neural Information Processing Systems 33: Annual Conference on Neural Information Processing Systems 2020, NeurIPS 2020, Virtual, 6–12 December 2020. [Google Scholar]
- Ma, J.; Long, G.; Zhou, T.; Jiang, J.; Zhang, C. On the Convergence of Clustered Federated Learning. arXiv 2022, arXiv:2202.06187. [Google Scholar]
- Liu, W.; Chen, L.; Chen, Y.; Zhang, W. Accelerating Federated Learning via Momentum Gradient Descent. IEEE Trans. Parallel Distrib. Syst. 2020, 31, 1754–1766. [Google Scholar] [CrossRef]
- Luo, X.; Qin, W.; Dong, A.; Sedraoui, K.; Zhou, M. Efficient and High-quality Recommendations via Momentum-incorporated Parallel Stochastic Gradient Descent-Based Learning. IEEE CAA J. Autom. Sin. 2021, 8, 402–411. [Google Scholar] [CrossRef]
- Raghuwanshi, S.K.; Pateriya, R.K. Accelerated Singular Value Decomposition (ASVD) using momentum based Gradient Descent Optimization. J. King Saud Univ. Comput. Inf. Sci. 2021, 33, 447–452. [Google Scholar] [CrossRef]
- Ramezani-Kebrya, A.; Khisti, A.; Liang, B. On the Generalization of Stochastic Gradient Descent with Momentum. arXiv 2018, arXiv:1809.04564. [Google Scholar]
- Duchi, J.C.; Hazan, E.; Singer, Y. Adaptive Subgradient Methods for Online Learning and Stochastic Optimization. J. Mach. Learn. Res. 2011, 12, 2121–2159. [Google Scholar]
- Kingma, D.P.; Ba, J. Adam: A Method for Stochastic Optimization. In Proceedings of the 3rd International Conference on Learning Representations, ICLR 2015, San Diego, CA, USA, 7–9 May 2015. [Google Scholar]
- McMahan, H.B.; Streeter, M.J. Adaptive Bound Optimization for Online Convex Optimization. In Proceedings of the COLT 2010—The 23rd Conference on Learning Theory, Haifa, Israel, 27–29 June 2010; Omnipress: Madison, WI, USA, 2010; pp. 244–256. [Google Scholar]
- Reddi, S.J.; Kale, S.; Kumar, S. On the Convergence of Adam and Beyond. arXiv 2019, arXiv:1904.09237. [Google Scholar]
- Luo, L.; Xiong, Y.; Liu, Y.; Sun, X. Adaptive Gradient Methods with Dynamic Bound of Learning Rate. In Proceedings of the 7th International Conference on Learning Representations, ICLR 2019, New Orleans, LA, USA, 6–9 May 2019. [Google Scholar]
- Reddi, S.J.; Charles, Z.; Zaheer, M.; Garrett, Z.; Rush, K.; Konečný, J.; Kumar, S.; McMahan, H.B. Adaptive Federated Optimization. In Proceedings of the 9th International Conference on Learning Representations, ICLR 2021, Vienna, Austria, 4 May 2021. [Google Scholar]
- Krizhevsky, A.; Sutskever, I.; Hinton, G.E. ImageNet classification with deep convolutional neural networks. Commun. ACM 2017, 60, 84–90. [Google Scholar] [CrossRef]
- Sutskever, I.; Martens, J.; Dahl, G.E.; Hinton, G.E. On the importance of initialization and momentum in deep learning. In Proceedings of the 30th International Conference on Machine Learning, ICML 2013, Atlanta, GA, USA, 16–21 June 2013; Volume 28, pp. 1139–1147. [Google Scholar]
- Yan, Y.; Yang, T.; Li, Z.; Lin, Q.; Yang, Y. A Unified Analysis of Stochastic Momentum Methods for Deep Learning. In Proceedings of the Twenty-Seventh International Joint Conference on Artificial Intelligence, IJCAI 2018, Stockholm, Sweden, 13–19 July 2018; pp. 2955–2961. [Google Scholar] [CrossRef]
- Polyak, B. Some methods of speeding up the convergence of iteration methods. USSR Comput. Math. Math. Phys. 1964, 4, 1–17. [Google Scholar] [CrossRef]
- Gong, B.; Xing, T.; Liu, Z.; Wang, J.; Liu, X. Adaptive Clustered Federated Learning for Heterogeneous Data in Edge Computing. Mob. Netw. Appl. 2022, 27, 1520–1530. [Google Scholar] [CrossRef]
- Gauthier, F.; Gogineni, V.C.; Werner, S.; Huang, Y.; Kuh, A. Clustered Graph Federated Personalized Learning. In Proceedings of the 56th Asilomar Conference on Signals, Systems, and Computers, ACSSC 2022, Pacific Grove, CA, USA, 31 October–2 November 2022; IEEE: Piscataway, NJ, USA, 2022; pp. 744–748. [Google Scholar] [CrossRef]
- Pye, S.K.; Yu, H. Personalised Federated Learning: A Combinational Approach. arXiv 2021, arXiv:2108.09618. [Google Scholar]
- Mansour, Y.; Mohri, M.; Ro, J.; Suresh, A.T. Three Approaches for Personalization with Applications to Federated Learning. arXiv 2020, arXiv:2002.10619. [Google Scholar]
- Nafea, M.S.; Shin, E.; Yener, A. Proportional Fair Clustered Federated Learning. In Proceedings of the IEEE International Symposium on Information Theory, ISIT 2022, Espoo, Finland, 26 June–1 July 2022; IEEE: Piscataway, NJ, USA, 2022; pp. 2022–2027. [Google Scholar] [CrossRef]
- Nesterov, Y.E. A method of solving a convex programming problem with convergence rate O(1/k2). Sov. Math. Dokl. 1983, 27, 372–376. [Google Scholar]
- Ghadimi, E.; Feyzmahdavian, H.R.; Johansson, M. Global convergence of the Heavy-ball method for convex optimization. In Proceedings of the 2015 European Control Conference (ECC), Linz, Austria, 15–17 July 2015; IEEE: Piscataway, NJ, USA, 2015. [Google Scholar]
- Yang, T.; Lin, Q.; Li, Z. Unified Convergence Analysis of Stochastic Momentum Methods for Convex and Non-convex Optimization. arXiv 2016, arXiv:1604.03257. [Google Scholar]
- Alahmari, F. A Comparison of Resampling Techniques for Medical Data Using Machine Learning. J. Inf. Knowl. Manag. 2020, 19, 2040016:1–2040016:13. [Google Scholar] [CrossRef]
- Krizhevsky, A.; Hinton, G. Learning multiple layers of features from tiny images. Handb. Syst. Autoimmune Dis. 2009, 1–60. [Google Scholar]
- Deng, L. The MNIST Database of Handwritten Digit Images for Machine Learning Research [Best of the Web]. IEEE Signal Process. Mag. 2012, 29, 141–142. [Google Scholar] [CrossRef]
- Wu, R.; Scaglione, A.; Wai, H.; Karakoç, N.; Hreinsson, K.; Ma, W. Federated Block Coordinate Descent Scheme for Learning Global and Personalized Models. In Proceedings of the Thirty-Fifth AAAI Conference on Artificial Intelligence, AAAI 2021, Thirty-Third Conference on Innovative Applications of Artificial Intelligence, IAAI 2021, Virtual, 2–9 February 2021; AAAI Press: Washington, DC, USA, 2021; pp. 10355–10362. [Google Scholar]
- Agbinya, J.I. 11 Convolutional Neural Networks. In Applied Data Analytics—Principles and Applications; CRC Press: Boca Raton, FL, USA, 2019; pp. 185–204. [Google Scholar]
- Wanchen, L. Analysis on the Weight initialization Problem in Fully-connected Multi-layer Perceptron Neural Network. In Proceedings of the 2020 International Conference on Artificial Intelligence and Computer Engineering (ICAICE), Beijing, China, 23–25 October 2020; pp. 150–153. [Google Scholar] [CrossRef]
- He, K.; Zhang, X.; Ren, S.; Sun, J. Deep Residual Learning for Image Recognition. In Proceedings of the 2016 IEEE Conference on Computer Vision and Pattern Recognition, CVPR 2016, Las Vegas, NV, USA, 27–30 June 2016; IEEE Computer Society: Piscataway, NJ, USA, 2016; pp. 770–778. [Google Scholar] [CrossRef]




| Abbreviation | Definition |
|---|---|
| m | the number of clients |
| P | total number of clusters |
| the p-th of the cluster | |
| randomly select participating clients | |
| Y | a subset of the data points on the i-th client |
| the number of data points on the i-th client | |
| the dataset and dataset size of client i | |
| the i-th client’s loss function | |
| the p-th cluster loss function | |
| the set of integers | |
| the norm of vectors | |
| if else | |
| unbiased gradient estimation of | |
| learning rate | |
| T | the number of epochs |
| CIFAR-10 | MNIST | |
|---|---|---|
| MCFL 1 | 80.43 ± 0.14 | 96.05 ± 0.12 |
| IFCA | 75.53 ± 0.90 | 92.60 ± 0.27 |
| FedAvg | 69.52 ± 1.09 | 89.84 ± 0.32 |
| FedBCD | 47.31 ± 1.50 | 70.06 ± 0.92 |
Disclaimer/Publisher’s Note: The statements, opinions and data contained in all publications are solely those of the individual author(s) and contributor(s) and not of MDPI and/or the editor(s). MDPI and/or the editor(s) disclaim responsibility for any injury to people or property resulting from any ideas, methods, instructions or products referred to in the content. |
© 2023 by the authors. Licensee MDPI, Basel, Switzerland. This article is an open access article distributed under the terms and conditions of the Creative Commons Attribution (CC BY) license (https://creativecommons.org/licenses/by/4.0/).
Share and Cite
Zhao, X.; Xie, P.; Xing, L.; Zhang, G.; Ma, H. Clustered Federated Learning Based on Momentum Gradient Descent for Heterogeneous Data. Electronics 2023, 12, 1972. https://doi.org/10.3390/electronics12091972
Zhao X, Xie P, Xing L, Zhang G, Ma H. Clustered Federated Learning Based on Momentum Gradient Descent for Heterogeneous Data. Electronics. 2023; 12(9):1972. https://doi.org/10.3390/electronics12091972
Chicago/Turabian StyleZhao, Xiaoyi, Ping Xie, Ling Xing, Gaoyuan Zhang, and Huahong Ma. 2023. "Clustered Federated Learning Based on Momentum Gradient Descent for Heterogeneous Data" Electronics 12, no. 9: 1972. https://doi.org/10.3390/electronics12091972
APA StyleZhao, X., Xie, P., Xing, L., Zhang, G., & Ma, H. (2023). Clustered Federated Learning Based on Momentum Gradient Descent for Heterogeneous Data. Electronics, 12(9), 1972. https://doi.org/10.3390/electronics12091972

