Personalized Point-of-Interest Recommendation Using Improved Graph Convolutional Network in Location-Based Social Network
Abstract
:1. Introduction
- Apply the improved GCN to POI recommendation, construct a user-POI interaction graph, a POI-POI graph, and a user–user graph based on user history check-in data, deeply mine collaborative information in three types of relationships, and learn user and POI higher-order collaborative embedding vectors to improve recommendation performance;
- Based on the users’ higher-order social embedding vector learned in the user–user graph, the higher-order social friend influence of the user and social friends and the community neighbor influence of the user and close neighbors are captured to alleviate data sparsity;
- Conduct experiments on real datasets to evaluate the performance of the proposed model, PPR_IGCN. The experimental results show that the model outperforms other existing models, which verifies the effectiveness of the proposed model.
2. Related Work
2.1. POI Recommendation
2.2. Recommendation Based on GCN
3. Proposed Model
3.1. Preliminaries
3.2. PPR_IGCN Model
3.3. The Learning Mode of Multi-Dimensional Collaborative Influence
3.3.1. Learning the Collaborative Influence of the User-POI Interaction Graph
3.3.2. Learning the Collaborative Influence of the POI-POI Graph
3.3.3. Learning the Collaborative Influence of the User–User Graph
3.4. Learning Social Influence
3.5. Model Prediction and Optimization
4. Experiments
4.1. Datasets
4.2. Evaluation Metrics
4.3. Parameter Settings
- (1)
- Determination of user and POI embedding vector dimension d
- (2)
- Determination of the number n of the most similar locations/friends/neighbors
4.4. Compared Experiment
- (1)
- LightGCN [28]: This model removes unnecessary feature transformation and nonlinear activation in traditional GCNs, simplifying the design of neighborhood aggregation in GCN;
- (2)
- FGRec [34]: A fine-grained POI recommendation framework is proposed; a group friend model is designed to capture social influence; a joint Poisson factor model is used to learn category influence; and the personalized Gaussian kernel model is used to capture geographic information influence;
- (3)
- LGLMF [37]: A method for implementing POI recommendations by integrating the local geographic model into the logistic MF algorithm;
- (4)
- FGCRec [38]: A unified probability distribution model based on four key geographic features that captures geographic influence from the perspectives of users and locations and explores the contribution of check-in frequency;
- (5)
- SUCP [39]: A social user activity center POI recommendation system, which jointly models the user activity center and social relationships based on CF.
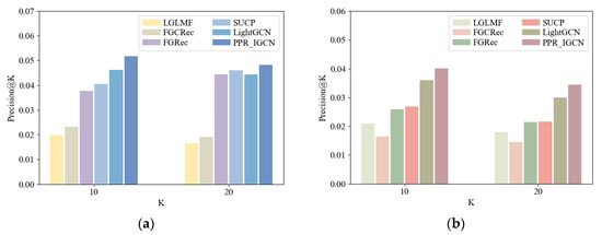
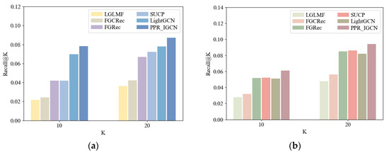
4.5. Performance Comparison and Analysis
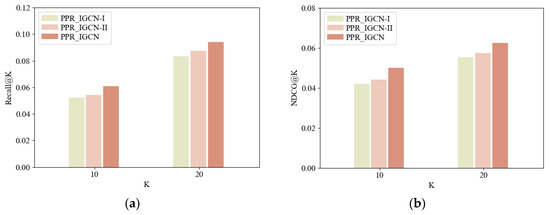
4.6. Ablation Study
5. Conclusions
Author Contributions
Funding
Data Availability Statement
Conflicts of Interest
References
- Hashim-Jones, J.; Wang, C.; Islam, M.S.; Stantic, B. Interdependent Model for Point-of-Interest Recommendation via Social Networks; Springer International Publishing: Cham, Switzerland, 2018; pp. 161–173. [Google Scholar]
- Papangelis, K.; Chamberlain, A.; Lykourentzou, I.; Khan, V.-J.; Saker, M.; Liang, H.-N.; Sadien, I.; Cao, T. Performing the Digital Self: Understanding Location-Based Social Networking, Territory, Space, and Identity in the City. ACM Trans. Comput.-Hum. Interact. 2020, 27, 1–26. [Google Scholar] [CrossRef]
- Chakraborty, A.; Ganguly, D.; Caputo, A.; Jones, G.J.F. Kernel Density Estimation Based Factored Relevance Model for Multi-Contextual Point-of-Interest Recommendation. Inf. Retr. 2022, 25, 44–90. [Google Scholar] [CrossRef]
- Han, P.; Shang, S.; Sun, A.; Zhao, P.; Zheng, K.; Zhang, X. Point-of-Interest Recommendation With Global and Local Context. IEEE Trans. Knowl. Data Eng. 2022, 34, 5484–5495. [Google Scholar] [CrossRef]
- Chang, W.; Sun, D.; Du, Q. Intelligent Sensors for POI Recommendation Model Using Deep Learning in Location-Based Social Network Big Data. Sensors 2023, 23, 850. [Google Scholar] [CrossRef]
- Li, J.; Cai, T.; Mian, A.; Li, R.H.; Sellis, T.; Yu, J.X. Holistic Influence Maximization for Targeted Advertisements in Spatial Social Networks. In Proceedings of the 2018 IEEE 34th International Conference on Data Engineering (ICDE), Paris, France, 16–19 April 2018; pp. 1340–1343. [Google Scholar]
- Yin, H.; Wang, W.; Wang, H.; Chen, L.; Zhou, X. Spatial-Aware Hierarchical Collaborative Deep Learning for POI Recommendation. IEEE Trans. Knowl. Data Eng. 2017, 29, 2537–2551. [Google Scholar] [CrossRef]
- Qian, T.; Liu, B.; Nguyen, Q.V.H.; Yin, H. Spatiotemporal Representation Learning for Translation-Based POI Recommendation. ACM Trans. Inf. Syst. 2019, 37, 1–24. [Google Scholar] [CrossRef]
- Wang, W.; Chen, J.; Wang, J.; Chen, J.; Liu, J.; Gong, Z. Trust-Enhanced Collaborative Filtering for Personalized Point of Interests Recommendation. IEEE Trans. Ind. Inform. 2020, 16, 6124–6132. [Google Scholar] [CrossRef]
- Xu, C.; Ding, A.S.; Zhao, K. A novel POI recommendation method based on trust relationship and spatial–temporal factors. Electron. Commer. Res. Appl. 2021, 48, 101060. [Google Scholar] [CrossRef]
- Zhou, F.; Qian, T.; Mo, Y.; Cheng, Z.; Xiao, C.; Wu, J.; Trajcevski, G. Uncertainty-Aware Heterogeneous Representation Learning in POI Recommender Systems. IEEE Trans. Syst. Man Cybern. Syst. 2023, 53, 4522–4535. [Google Scholar] [CrossRef]
- Fang, J.; Meng, X.; Qi, X. A Top-k POI Recommendation Approach Based on LBSN and Multi-Graph Fusion. Neurocomputing 2023, 518, 219–230. [Google Scholar] [CrossRef]
- Kipf, T.N.; Welling, M. Semi-Supervised Classification with Graph Convolutional Networks. arXiv 2016, arXiv:1609.02907. [Google Scholar] [CrossRef]
- Wang, H.; Zhao, M.; Xie, X.; Li, W.; Guo, M. Knowledge Graph Convolutional Networks for Recommender Systems. In Proceedings of the WWW ’19: The World Wide Web Conference, San Francisco, CA, USA, 13–17 May 2019; pp. 3307–3313. [Google Scholar] [CrossRef]
- Wang, X.; He, X.; Cao, Y.; Liu, M.; Chua, T.-S. KGAT: Knowledge Graph Attention Network for Recommendation. arXiv 2019, arXiv:1905.07854. [Google Scholar] [CrossRef]
- Sun, J.; Zhang, Y.; Guo, W.; Guo, H.; Tang, R.; He, X.; Ma, C.; Coates, M. Neighbor Interaction Aware Graph Convolution Networks for Recommendation. In Proceedings of the SIGIR ‘20: The 43rd International ACM SIGIR conference on research and development in Information Retrieval, Virtual Event, China, 25–30 July 2020; pp. 1289–1298. [Google Scholar]
- Chen, J.; Zhang, W. Review of point of interest recommendation systems based on location-based social networks. J. Front. Comput. Sci. Technol. 2022, 16, 1462–1478. [Google Scholar]
- Li, H.; Ge, Y.; Hong, R.; Zhu, H. Point-of-Interest Recommendations: Learning Potential Check-Ins from Friends. In Proceedings of the KDD ‘16: The 22nd ACM SIGKDD International Conference on Knowledge Discovery and Data Mining, San Francisco, CA, USA, 13–17 August 2016; pp. 975–984. [Google Scholar]
- Gao, H.; Tang, J.; Hu, X.; Liu, H. Exploring Temporal Effects for Location Recommendation on Location-Based Social Networks. In Proceedings of the RecSys ‘13: Seventh ACM Conference on Recommender Systems, Hong Kong, China, 12–16 October 2013; pp. 93–100. [Google Scholar]
- Liu, B.; Xiong, H.; Papadimitriou, S.; Fu, Y.; Yao, Z. A General Geographical Probabilistic Factor Model for Point of Interest Recommendation. IEEE Trans. Knowl. Data Eng. 2015, 27, 1167–1179. [Google Scholar] [CrossRef]
- Wang, X.; Salim, F.D.; Ren, Y.; Koniusz, P. Relation Embedding for Personalised POI Recommendation. arXiv 2020, arXiv:2002.03461. [Google Scholar] [CrossRef]
- Xu, Y.; Li, X.; Li, J.; Wang, C.; Gao, R.; Yu, Y. SSSER: Spatiotemporal Sequential and Social Embedding Rank for Successive Point-of-Interest Recommendation. IEEE Access 2019, 7, 156804–156823. [Google Scholar] [CrossRef]
- Zhu, J.; Guo, X. Deep Neural Model for Point-of-Interest Recommendation Fused with Graph Embedding Representation. In Proceedings of the Wireless Algorithms, Systems, and Applications, Honolulu, HI, USA, 24–26 June 2019; pp. 495–506. [Google Scholar]
- Cao, K.; Guo, J.; Meng, G.; Liu, H.; Liu, Y.; Li, G. Points-of-Interest Recommendation Algorithm Based on LBSN in Edge Computing Environment. IEEE Access 2020, 8, 47973–47983. [Google Scholar] [CrossRef]
- Lian, D.; Zhao, C.; Xie, X.; Sun, G.; Chen, E.; Rui, Y. GeoMF: Joint Geographical Modeling and Matrix Factorization for Point-of-Interest Recommendation. In Proceedings of the KDD ‘14: The 20th ACM SIGKDD International Conference on Knowledge Discovery and Data Mining, New York, NY, USA, 24–27 August 2014; pp. 831–840. [Google Scholar]
- Wang, X.; He, X.; Wang, M.; Feng, F.; Chua, T.-S. Neural Graph Collaborative Filtering. arXiv 2019, arXiv:1905.08108. [Google Scholar] [CrossRef]
- Wu, S.; Zhang, Y.; Gao, C.; Bian, K.; Cui, B. GARG: Anonymous Recommendation of Point-of-Interest in Mobile Networks by Graph Convolution Network. Data Sci. Eng. 2020, 5, 433–447. [Google Scholar] [CrossRef]
- He, X.; Deng, K.; Wang, X.; Li, Y.; Zhang, Y.; Wang, M. LightGCN: Simplifying and Powering Graph Convolution Network for Recommendation. arXiv 2020, arXiv:2002.02126. [Google Scholar] [CrossRef]
- Chang, B.; Jang, G.; Kim, S.; Kang, J. Learning Graph-Based Geographical Latent Representation for Point-of-Interest Recommendation. In Proceedings of the CIKM ‘20: The 29th ACM International Conference on Information and Knowledge Management, Virtual Event, Ireland, 19–23 October 2020; pp. 135–144. [Google Scholar]
- Li, J.; Wang, X.; Feng, W. A Point-of-Interest Recommendation Algorithm Combining Social Influence and Geographic Location Based on Belief Propagation. IEEE Access 2020, 8, 165748–165756. [Google Scholar] [CrossRef]
- Zhong, T.; Zhang, S.; Zhou, F.; Zhang, K.; Trajcevski, G.; Wu, J. Hybrid graph convolutional networks with multi-head attention for location recommendation. World Wide Web 2020, 23, 3125–3151. [Google Scholar] [CrossRef]
- Ying, R.; He, R.; Chen, K.; Eksombatchai, P.; Hamilton, W.L.; Leskovec, J. Graph Convolutional Neural Networks for Web-Scale Recommender Systems. arXiv 2018, arXiv:1806.01973. [Google Scholar]
- Mikolov, T.; Sutskever, I.; Chen, K.; Corrado, G.; Dean, J. Distributed Representations of Words and Phrases and Their Compositionality. In Proceedings of the Nips’13: The 26th International Conference on Neural Information Processing Systems, Lake Tahoe, NV, USA, 5–10 December 2013; pp. 3111–3119. [Google Scholar]
- Su, Y.; Zhang, J.D.; Li, X.; Zha, D.; Xiang, J.; Tang, W.; Gao, N. FGRec: A Fine-Grained Point-of-Interest Recommendation Framework by Capturing Intrinsic Influences. In Proceedings of the 2020 International Joint Conference on Neural Networks (IJCNN), Glasgow, UK, 19–24 July 2020; pp. 1–9. [Google Scholar]
- Ma, C.; Zhang, Y.; Wang, Q.; Liu, X. Point-of-Interest Recommendation: Exploiting Self-Attentive Autoencoders with Neighbor-Aware Influence. In Proceedings of the CIKM ‘18: The 27th ACM International Conference on Information and Knowledge Management, Torino, Italy, 22–26 October 2018; pp. 697–706. [Google Scholar]
- Toh, S.C.; Lai, S.H.; Mirzaei, M.; Soo, E.Z.X.; Teo, F.Y. Sequential Data Processing for IMERG Satellite Rainfall Comparison and Improvement Using LSTM and ADAM Optimizer. Appl. Sci. 2023, 13, 7237. [Google Scholar] [CrossRef]
- Rahmani, H.A.; Aliannejadi, M.; Ahmadian, S.; Baratchi, M.; Afsharchi, M.; Crestani, F. LGLMF: Local Geographical Based Logistic Matrix Factorization Model for POI Recommendation. In Proceedings of the Information Retrieval Technology, Hong Kong, China, 7–9 November 2019; pp. 66–78. [Google Scholar]
- Su, Y.; Li, X.; Liu, B.; Zha, D.; Xiang, J.; Tang, W.; Gao, N. FGCRec: Fine-Grained Geographical Characteristics Modeling for Point-of-Interest Recommendation. In Proceedings of the ICC 2020–2020 IEEE International Conference on Communications (ICC), Dublin, Ireland, 7–11 June 2020; pp. 1–6. [Google Scholar]
- Seyedhoseinzadeh, K.; Rahmani, H.A.; Afsharchi, M.; Aliannejadi, M. Leveraging Social Influence Based on Users Activity Centers for Point-of-Interest Recommendation. Inf. Process. Manag. 2022, 59, 102858. [Google Scholar] [CrossRef]










| Dataset | Number of Users | Number of POIs | Number of Check-Ins | Number of Social Links | Density |
|---|---|---|---|---|---|
| Foursquare | 30,887 | 18,995 | 860,888 | 265,533 | 0.14% |
| Yelp | 2551 | 13,474 | 124,933 | 32,512 | 0.29% |
| Parameter | Meaning | Value |
|---|---|---|
| Learning rate | ||
| The dimension of user and POI embedding vectors | 192 | |
| Calculate the weight coefficient of similarity between the users and friends | ||
| , | Coefficients that control the weight of collaborative and social influence when computing user preferences | 1.1, 1 |
| The number of the most similar locations/friends/neighbors | 10 | |
| , , | Hyperparameters that control the importance of user-POI relation, POI-POI relation, and user–user relation | 1, 0.01, 0.01 |
| L2 regularization parameter |
Disclaimer/Publisher’s Note: The statements, opinions and data contained in all publications are solely those of the individual author(s) and contributor(s) and not of MDPI and/or the editor(s). MDPI and/or the editor(s) disclaim responsibility for any injury to people or property resulting from any ideas, methods, instructions or products referred to in the content. |
© 2023 by the authors. Licensee MDPI, Basel, Switzerland. This article is an open access article distributed under the terms and conditions of the Creative Commons Attribution (CC BY) license (https://creativecommons.org/licenses/by/4.0/).
Share and Cite
Liu, J.; Yi, H.; Gao, Y.; Jing, R. Personalized Point-of-Interest Recommendation Using Improved Graph Convolutional Network in Location-Based Social Network. Electronics 2023, 12, 3495. https://doi.org/10.3390/electronics12163495
Liu J, Yi H, Gao Y, Jing R. Personalized Point-of-Interest Recommendation Using Improved Graph Convolutional Network in Location-Based Social Network. Electronics. 2023; 12(16):3495. https://doi.org/10.3390/electronics12163495
Chicago/Turabian StyleLiu, Jingtong, Huawei Yi, Yixuan Gao, and Rong Jing. 2023. "Personalized Point-of-Interest Recommendation Using Improved Graph Convolutional Network in Location-Based Social Network" Electronics 12, no. 16: 3495. https://doi.org/10.3390/electronics12163495
APA StyleLiu, J., Yi, H., Gao, Y., & Jing, R. (2023). Personalized Point-of-Interest Recommendation Using Improved Graph Convolutional Network in Location-Based Social Network. Electronics, 12(16), 3495. https://doi.org/10.3390/electronics12163495

