Next Article in Journal
Multitask Coupling Network for Occlusion Relation Reasoning
Next Article in Special Issue
Global Prescribed-Time Stabilization of Input-Quantized Nonlinear Systems via State-Scale Transformation
Previous Article in Journal
Anomaly Detection in 6G Networks Using Machine Learning Methods
Previous Article in Special Issue
A Simple Learning Approach for Robust Tracking Control of a Class of Dynamical Systems
 
 
Font Type:
Arial Georgia Verdana
Font Size:
Aa Aa Aa
Line Spacing:
Column Width:
Background:
Review

Research on Synthesis of Multi-Layer Intelligent System for Optimal and Safe Control of Marine Autonomous Object

by
Wojciech Koznowski
,
Krzysztof Kula
,
Agnieszka Lazarowska
,
Józef Lisowski
*,
Anna Miller
,
Andrzej Rak
,
Monika Rybczak
,
Mostefa Mohamed-Seghir
and
Mirosław Tomera
Faculty of Electrical Engineering, Gdynia Maritime University, 81-225 Gdynia, Poland
*
Author to whom correspondence should be addressed.
Electronics 2023, 12(15), 3299; https://doi.org/10.3390/electronics12153299
Submission received: 11 July 2023 / Revised: 23 July 2023 / Accepted: 30 July 2023 / Published: 31 July 2023

Abstract

The article presents the synthesis of a multi-layer group control system for a marine autonomous surface vessel with the use of modern control theory methods. First, an evolutionary programming algorithm for determining the optimal route path was presented. Then the algorithms—dynamic programming with neural state constraints, ant colony, and neuro-phase safe control algorithms—were presented. LMI and predictive line-of-sight methods were used for optimal control. The direct control layer is implemented in multi-operations on the principle of switching. The results of the computer simulation of the algorithms were used to assess the quality control.

1. Introduction

According to the European Maritime Safety Agency (EMSA) presented in [1], the progressive automation of ships leads to the complete autonomy of remotely controlled unmanned ships, which is slowly becoming normal in the field of maritime safety. However, recent technological breakthroughs in information technology, digitization, and machine learning have opened up the possibility of the practical implementation of some of these solutions in maritime autonomous surface ships (MASSs). MASSs will have considerable potential in technical, economic, environmental, legislative, and social applications in the coming years. This development can also provide opportunities and new concepts that could enhance logistics and improve the overall environmental impact of transport.
The Lloyd’s Register in [2] analyzes the techniques of autonomy and artificial intelligence (AI) used in the maritime domain and draws attention to their dependence on digital infrastructure and available means of communication. Through the use of advanced automation for the design and construction of autonomous ships, AI information technology has had a significant impact on maritime activities around the world.

1.1. State of Knowledge

The configuration of the MASS control system, enabling fully autonomous operations in various operating conditions, and an overview of the selection of hardware and software are presented in Zubowicz et al. [3]. The control system is functionally decomposed into layers, implemented by a hierarchical control structure. The layers of the system are designed in a way that allows the MASS vehicle under consideration to operate autonomously.
Chen et al., in [4], propose a multi-layer distributed structure for controlling a transport facility. The problem of transporting objects, for example, barges, is formulated as a combination of several subproblems: Object trajectory tracking, control allocation, and MASS formation tracking. The model predictive control (MPC)-based controller is designed to control the movement of each MASS.
According to Hu et al. [5], reducing the proportion of the human factor in the introduction of autonomous shipping can help mitigate various types of ship losses at sea and reduce labor costs. The ship’s autonomy should primarily be ensured by proper route planning and accurate tracking. Therefore, an efficient and safe method of path planning (ESP) is proposed that takes into account ship dynamics to ensure that the optimal trajectory is generated in real time. The optimization goals include fuel consumption and trajectory smoothness.
In [6], Guan et al. describe the interaction of the three decision-making parts of the smart maritime autonomous surface ship (SMASS) in the field of sensing, decision making, and control. In [7], Hinostroza and Lekkas describe the operations of docking, visiting a specific container loading location that makes up the MASS planning system. In [8], Zhang et al. review the major advances in MASS anti-collision technology.
Stateczny and Burdziakowski [9] describe the universal autonomous control and management system (UACAMS) of an unmanned surface vessel in terms of various levels of autonomy. Meanwhile, Zwolak et al. [10] present the testing and use of unmanned surface vessels in real sea conditions in the North Sea using the example of the USV “Maxlimer”, which, while carrying goods, demonstrated the ability of unmanned surface vessels to interact with real sea traffic in an uncontrolled environment. Finally, in [11], Pedersen et al. propose a solution for MASS simulation testing using a digital twin containing complex mathematical models of the ship and its equipment, including all sensors and actuators.
To sum up, the analysis of the literature shows that in order to better solve the problem of integrating individual levels of remote sensing and controlling the movement of an autonomous surface object operating among a group of other encountered objects, the methods of modern control theory and artificial intelligence should be more widely used.

1.2. Study Objectives

The analysis of the literature shows that in order to better solve the problem of integrating individual levels of remote sensing and controlling the motion of an autonomous surface object operating among a group of other encountered objects, the selected methods of modern control theory and artificial intelligence should be more widely used.
Therefore, the aim of this article is to synthesize a hierarchical control system for a moving object along a given trajectory, taking into account other objects passing by.
The scientific goal is to develop and compare multi-object safe control algorithms for the movement of surface objects among a group of other encountered objects and robust control algorithms.
The aim of this research is to carry out an experimental analysis of the functioning of particular control algorithms by means of simulation tests related to real navigation scenarios.

1.3. Contributions

The original research achievements in the field of synthesis of a multi-layer ship control system include:
  • Determining the optimal ship path running at a safe distance from the boundary of the dynamically moving hurricane;
  • determining the safe ship trajectory, taking into account the navigator’s subjectivity in assessing the navigational situation, through the use of AI methods;
  • development of a switch-based control system structure that enables optimal and robust ship movement in a variety of usable operating modes.

1.4. Study Content

This paper is organized as follows. First, the multi-level control of a marine surface object in the form of an appropriate multi-layer structure is formulated. The following sections describe the algorithms in detail: the optimal route path, safe control, optimal robust control, and switching-based multi-operational control. The presentation of individual algorithms is supported by the results of computer simulations of the developed algorithms using example scenarios of real navigational situations at sea. The concluding section evaluates the research results and presents the scope of future work on the subject.

2. Multi-Layer Control System of Marine Autonomous Surface Ships

The MASS motion control process, commonly referred to as ship steering or ship guidance, includes functions such as automatic steering on a given course or trajectory, collision avoidance, sailing in a large circle or optimal route, and precision control when entering the port, mooring, and anchoring. The overriding task, arising directly from the shipping system, is to safely and economically maneuver the MASS from the starting port to the final port. The systems performing the abovementioned functions are closely related and form a hierarchical, multi-level MASS traffic control system.
In practice, the multi-layer ship motion control system is implemented by integrated ship control (ISC), which meets the following functional requirements:
  • Possibility of operating the system by one operator;
  • operation in all climatic conditions and at any time of the day, using the automatic radar plotting aids (ARPA) system as the main source of ships detection and information about their movement;
  • automation of determining the ship’s position, path planning, and traffic control using the electronic instrument system (EIS);
  • accurate and safe guiding of the ship on a set course or on a set trajectory using the adaptive autopilot.
At the same time, as shown in Figure 1, the functional level of the MASS system is implemented using various methods of modern control theory and artificial intelligence, creating appropriate control layers, starting from direct control, through optimization and adaptation layers, safe control, and superior control.
For the synthesis of individual layered control algorithms, the use of control theory methods such as dynamic optimization, robust LMI, and optimal MPC is proposed.
On the other hand, the artificial intelligence methods used are represented by neural networks, fuzzy control, and evolutionary programming.
It is a multi-layer system whose structure is subject to a hierarchy of control types. First, the optimal path of the entire cruise route is determined. Then, during the movement of the ship on this route, if it is necessary to pass another ship, a safe trajectory is determined to the nearest point of turning on the optimal path. The movement of the ship in all these sections is under direct control in real time.

3. Optimal Route Path

One of the elements of the MASS hierarchical multi-level ship traffic control system is the module for determining the ship’s route between the port of departure and the port of destination. The key criterion related to determining the passage route for the ship is to ensure maximum safety with minimum operating costs related mainly to fuel consumption.
At the same time, the development of the passage route should be carried out while respecting current regulations contained in the International Maritime Organization (IMO) resolution A.893 (21), according to which the ship’s passage route should be planned in accordance with four aspects:
  • Appraising all relevant information;
  • planning an intended trip;
  • execution of the plan, taking into account the prevailing hydrometeorological and navigational conditions;
  • monitoring the vessel’s progress against the voyage plan.
The task of planning the route must therefore contain information about the geographical coordinates of the route, identifying potential problems and threats on the route, and the adoption of procedures (e.g., determining anti-collision maneuvers) during the implementation of the route.
When planning the route between the departure port and the destination port, elements such as crew safety, travel time, fuel consumption, and exhaust gas emissions into the atmosphere are also taken into account. Elements affecting the length and shape of the route are also considered, such as static (land, canals, shoals, fairways, areas excluded from navigation) and dynamic (hydro-meteorological conditions, other ships, and moving objects such as icebergs) elements. Determining the optimal passage route for a ship is, therefore, a complex and multi-criteria task. When determining the passage route for a ship, the possibility of its correction in the event of changes in hydro-meteorological or navigational conditions should also be taken into account. Such changes are often unavoidable, as weather conditions can change over a short period of time, just as navigational situations can change. The correction of the ship’s passage route is often associated with the extension of the route, which, of course, adversely affects fuel consumption and other ship operating costs.

3.1. Control Task

In dealing with the issues in the field of multi-criteria optimization in the process of determining the ship’s route, various methods and algorithms can be found in the literature [12]. One of the methods used to solve multi-criteria problems is multi-objective evolutionary algorithms (MOEAs). These types of algorithms are extensions of the classical evolutionary algorithm that replace the standard, single-criterion objective function with a vector of such functions.
The criteria most often taken into account when determining the route are the length of the route (min), travel time (min), number of turning points (min), safe avoidance of objects in the navigation environment (max), and fuel consumption (min).
Evolutionary algorithms use the mechanisms of natural evolution, such as selection—that is, the survival of the strongest and best-adapted individuals—or reproduction. The creation of this method of artificial intelligence aimed to develop a computer program that solves problems in a way that is as close as possible to the natural evolutionary course. In the natural process of evolution, there is a large selection of individuals. The principle of “the strongest wins” is at the forefront, i.e., only the best-adapted individuals have a chance to survive and initiate another theoretically stronger population.

3.2. Control Algorithm

In the method using evolutionary algorithms to determine the ship’s route, each individual in the population is a potential solution to the problem. During the calculations, the algorithm operates on a population of individuals representing various variants of the ship’s route, described as a broken line with fixed speeds on each section of the route. The representation of the route in the evolutionary algorithm includes an ordered set of turning points in the form of the geographical coordinates of a given point, with an additional parameter describing the speed on a given section of the route between successive points. The individuals of the population processed in the algorithm are evaluated using the matching function, which may take into account the abovementioned criteria.
The general operating principle of the evolutionary algorithm is based on the cyclic processing of the population of solutions using genetic operators such as selection, reproduction, crossing, mutation, and operators specialized for the needs of a specific issue. An example of specialized versions of operators that improve algorithm efficiency are mutation operators, whose operation depends on the angle between the sections of the passage route related to the considered turning point. With a large value of the angle, the gene is deleted, provided that the new traversal route does not violate navigational constraints. For the average value of the angle, the vertex is randomly moved in the direction that causes smoothing of the route, and the operation is performed provided that the trajectory remains safe. The addition of the turning point occurs at acute angles between segments, where the vertex of the angle is shifted to a randomly selected position on the first arm of the angle, while the new point is added in a random place on the second arm of the angle. The listed exemplary specialized operators are used provided that the modifications introduced by them do not violate the adopted constraints. Another example of the use of specialized operators is “repair operators”, used in preprocessing. The most famous of this group of operators are:
  • Global mutation, which randomly shifts the turning point. The change is possible in the entire allowable range provided that the condition of inviolability of constraints is met;
  • speed mutation, which modifies the speed on a randomly selected section of the trajectory. This may allow the avoidance of contact with dynamic constraints;
  • crossing, using genetic material from two parental trajectories, thus creating offspring. The intersection points of the genetic material coming from the “parents” are selected at random from among the intersection points that will not result in a violation of the restrictions in the offspring. Then, the individuals exchange the cut fragments, creating offspring.
Different variations of the algorithms can be used for the determination of the ship’s route by means of an evolutionary algorithm [13].
The special structure of a multi-population competitive evolutionary MPEA algorithm for determining the optimal path of a MASS as a multi-stage decision-making process was tested using MATLAB/Simulink version R2023a software (Algorithm 1).
Algorithm 1: Multi–Population Evolutionary Algorithm
BEGIN
| Load navigational situation
| Create similar Thread T1
| Create similar Thread T2
| Thread T1
| | Create randomized population
| | Iteration over MAXpop1 iterations
| |  Apply Mutation operators
| |  Calculate fitness
| |  Select best individuals
| |  Crossover best individuals
| | Update variables
| Save best solution S1
| Thread T2
| | Create randomized population
| | Calculate fitness of starting population
| | Move best starting individuals into elite population
| | Iteration over MAXpop2 iterations
| |  Iteration over base individuals
| |   Apply Mutation operators
| |   Calculate fitness
| |  Update variables
| |  Iteration over elite individuals
| |   Apply Mutation operators
| |   Calculate fitness
| |  Update variables
| |  Exchange base individuals better than elite individuals
| | Update variables
| Save best solution S2
| Compare solution S1 and S2, select better of these
| Return result solution
END
This algorithm is used to ensure the improved reliability and repeatability of the obtained solutions in relation to the classical evolutionary algorithm. MPEA consists of two competing algorithms whose solutions obtained in the course of evolution compete with each other. As the final solution, a better solution based on the assumed assessment criteria is adopted.
The optimization criteria in the MPEA for a given set of routes are based on the following equation:
min C T ( r o u t e s ) = min C S r o u t e s + min C E ( r o u t e s )
where CT is the total cost of the given route; CS is the safety cost of the given route; and CE is the economic cost of the given route.
The safety cost CS of a route increases proportionally to the decreasing distance between the ship and various constraints, both static and dynamic. The economic cost CE is proportional to time and the amount of fuel (energy) required to navigate a given route.
The first of the competing algorithms has the typical structure of an evolutionary algorithm. It is run several times, and solutions are transferred from the previous run to the population processed in the next run. The second evolutionary algorithm includes two populations in its structure: the base and the elite populations. The elite population consists of the fittest individuals from the initial population. The base population contains the remaining (less adapted) individuals from the initial population. Both populations evolve independently, and migration between them is possible. The migration process involves individuals from the base population with a fitness value higher than the average fitness value of the elite population. The value of the migration delay and its period are selected through experiments. The base population is responsible for exploring the problem solution space. The elite population exploits the surroundings for the best solutions obtained by the base population. An example of the MPEA application is shown in Figure 2, which shows the result of the algorithm used to determine the route of the ship passing through the Gulf of Mexico, in the presence of a navigational constraint in the form of a moving hurricane. Points p0 to pk connected with a blue line show the best solution found with the MPEA algorithm, while thin green lines denote other inferior solutions.
Subsequently, the designated coordinates of the passage route in the form of turning points and speeds on individual sections of the route are transferred to the ship’s control system for execution.
In the above example, the main dynamic constraint is a hurricane moving in a southerly direction. High accuracy in the digital representation of navigational constraints is a necessary requirement for MPEA to provide accurate data. Dynamic constraint information for global passage route calculation is available from a limited number of sources, and the time between their updates can be significant. The use of MPEA comes with the cost of providing data from as many sources as possible that are not directly available from the ship’s sensors, such as satellite data or weather reports.
The widespread availability and standardization of as much data as possible related to factors affecting the quality and safety of navigation will probably increase as more MASS vessels enter service. This trend will certainly improve the operation quality of other types of algorithms as well as the safety of manned vessels using modern navigator assistance techniques.
As can be seen in Figure 2, the presence of the hurricane affects the routes determined by the algorithm in the vicinity of points p1 and p2. The various routes run north of the line connecting these points.
In the final solution, the algorithm determines a route that runs at the boundary of the region of the dynamically moving hurricane but within the safe distance set by the initial parameters.

4. Safe Control

4.1. Control Task

The automatic tracking of the movement of at least 20 MASS encounters and the determination of their speed and course, elements of approach, and collision risk assessment are performed by the ARPA anti-collision radar system. As a result of MASS 0 motion with velocity V0 and heading ψ0 relative to meet jth MASS js, moving with speed Vj and course ψj, a certain situation at sea is determined. The quantities characterizing this situation in the form of distance Dj and bearing Nj to the jth MASS j are measured by ARPA radar. The ARPA radar system enables the automatic tracking of the movement of encountered ships, the determination of their speed and course, as well as elements of approach in the form of the smallest distance of the closest point of approach DCPAj = Djmin and the time to the closest point of approach TCPAj = Tjmin. The main task of the entire control system is to avoid collisions, which consists of controlling MASS 0 in such a way that the smallest approach distance becomes greater than the safe passing distance Ds established in the given navigation conditions:
D j m i n = min V 0 , ψ 0 D j t D s
This is achieved first by determining the safe trajectory MASS 0 ps(V0s, y0s) as a sequence of successive changes in the ship’s course y0s and speed V0s at stage k, as previously developed.

4.2. Dynamic Programming with Neural State Constraints

The Bellman principle of optimality facilitates the synthesis of optimal MASS control. Regardless of the state and initial decisions of MASSs, the remaining optimal strategies depend on the current state and the decision made. Since the MASS collision avoidance process satisfies the conditions of duality, the optimal trajectory can be determined by starting the calculations at the first step and proceeding to the last step.
Another dynamic programming approach used in ship control can be found in [14].
The state equations of the MASS 0 control process include linear equations of the kinematics of its movement, nonlinear equations of the dynamics of the course change according to Nomoto, and linear equations of the dynamics of the change in speed of movement. The state constraints of the control process consist of collision hazard domains by passing MASS js in the shape of a circle of a fixed object and an ellipse of a moving object, changing in size depending on the risk of collision. The domains are generated by a three-layer artificial neural network previously learned by the navigators (Figure 3).
Neural constraints, assigned to the MASS j passed, ensure safe control. On the other hand, the smallest losses in the MASS path will result in safely passing MASS js; with its constant speed, it leads to time-optimal control t*. The minimum time tk* to flow through the MASS k stages is defined as:
t k * = min u 1 , k 1 , u 2 , k 1 t k 1 * x 1 , k x 2 , k , x 3 , k 1 , x 4 , k 1 , x 5 , k 1 , x 6 , k 1 + Δ t k x 1 , k . x 2 , k , x 1 , k + 1 , x 2 , k + 1
where x1 = X0 and x2 = Y0 are coordinates of MASS 0 from GPS; x3 = y0 is MASS 0 course from gyro; x4 = dy0/dt is the angular speed of MASS 0 return from speed gyro; x5 = V0 is MASS 0 speed from log; x6 = dV0/dt is MASS 0 acceleration; u1 = a is rudder deflection; and u2 = n is the propeller rotational speed [15,16].

4.2.1. Control Algorithm

The operation of the dynamic programming control algorithm DP, developed for determining the safe trajectory of a MASS 0 among a group of MASS j as a multi-stage decision-making process, was tested using MATLAB/Simulink version R2023a software (Algorithm 2).
Algorithm 2: Dynamic programming with neural domains
BEGIN
| Load data
| Convert data and save
| Call calculations
| Calculations
| Call up DP1
| Task DP1
| | Iteration over nodes
| | Calculate trajectory parameters
| | Iteration over MASS 0 velocities
| | Calculate the MASS 0 position on the trajectory
| | Calculate the speed and MASS 0 course
| | Call up NEURAL DOMAIN
| | Update variables
| Call up DP2
| Task DP2
| | Iteration over nodes
| | Iteration over MASS 0 velocities
| | Call up NEURAL DOMAIN
| | Update variables
| | Save results
| | Check step if it is not the last one
| | DP2 recursive call
| | If it is the last one
| Call up DP3
| Task DP3
| | Reading the MASS 0 last position
| | Determination of the end node
| | Iteration over MASS 0 velocities
| | Call up NEURAL DOMAIN
| | Update variables
| | Save results
| Call up results
END
The algorithm consists of three tasks: DP1, DP2, and DP3. The first step is the initialization of the input data, i.e., loading the simulation parameters and MASS 0 and MASS j motion parameters. Then, the DP1 task initializes the initial nodes and calculates the parameters of the first and second steps of determining the ship’s safe trajectory. In each node, the arrival time of the maneuver is calculated, and it is determined whether it is in the collision zone of the MASS j domains, which are determined by the NEURAL DOMAIN task. After completing the calculations in the first stage, the MASS 0 trajectory segments are saved. Then, the final position of the nodes in the first stage is transferred to the PD2 task, which implements the possible paths in the second stage of determining the safe trajectory. These calculations are repeated in the next stages until the stage before the last K − 1. Then, the DP3 task selects the node with the shortest MASS 0 time to reach it, i.e., the optimal time t*, and determines the MASS 0 safe trajectory from the end to the beginning. These results are presented by the result function, which is responsible for printing the results.

4.2.2. Computer Simulation

First, the DP algorithm for calculating the MASS 0 safe path while passing j other MASS js was subjected to simulation tests on the example of scenario A, in which j = 5. The data from this navigation situation are presented in Table 1, and the optimal and safe trajectory course is illustrated in Figure 4.
Then, the DP algorithm for calculating the MASS 0 safe path when passing j other MASS js was subjected to simulation tests on the example of scenario B, in which j = 7. The data from this navigation situation are presented in Table 2, and the optimal and safe trajectory course is illustrated in Figure 5.

4.3. Ant Colony Optimization

The functional scheme of a safe ship control algorithm based on ant colony optimization (ACO) is shown in Figure 6.
Ant colony optimization is a swarm intelligence method inspired by the foraging behavior observed in ant colonies in nature. In the algorithm, a swarm of artificial ants searches through the solution space in order to find the best solution to the considered optimization problem. This approach has been utilized for the calculation of a safe trajectory for MASS. Other approaches based on swarm intelligence applied to ship control can be found in [17,18,19,20,21].

4.3.1. Control Algorithm

The operation of the ACO-based safe ship control algorithm, developed for determining the safe trajectory of a MASS 0 among a group of MASS js as a multi-stage decision-making process, was tested using MATLAB/Simulink version R2023a software (Algorithm 3).
First, the algorithm collects data describing the navigation situation in the form of ψj, Vj, Dj, and Nj, which are fed into the algorithm. Then, the algorithm calculates the relative values of the course, speed, and bearing MASS j. In the next step, dangerous MASS js whose courses intersect with MASS 0 are determined, and the intersection point is in the specified observation area. The algorithm then constructs a graph of MASS 0 turning points, taking into account the areas occupied by the encountered ship domains. The ACO algorithm calculations are then applied to determine a safe MASS 0 trajectory. This step of the algorithm consists of ACO data retrieval, artificial ants searching for solutions, and updating the pheromone trail.
Algorithm 3: Ant colony optimization with hexagon domains
BEGIN
| Input data: ψ0, V0, ψj, Dj, Nj
| Convert data and save
| Calculation of MASS j relative courses, speeds, bearings
| Determining dangerous MASS j
| Building of the construction graph
| ACO parameters initializatin
| FOR iteration = 1 TO max_iterations DO
| | Solutions construction by artificial ants
| | Pheromone trail update
| END FOR
| Selection of the best trajectory and display of the results
END
The criterion of optimality is the minimum length of the safe trajectory ps:
d i s t p s = i = 0 k 1 ( x i + 1 x i ) 2 + ( y i + 1 y i ) 2 m i n
A more detailed description of the algorithm can be found in [18].

4.3.2. Computer Simulation

The input data for the navigational situations used in the calculations of MASS 0 safe trajectories by the ACO-based algorithm are listed in Table 1 and Table 2.
Figure 7 and Figure 8 present the solutions obtained for these test cases.

4.4. Fuzzy Neural Control

In order to reduce human error and significantly improve safety at sea, this section of the article proposes fuzzy set theory as a smart decision-making instrument for the navigator to ameliorate the safety of seagoing ships in collision situations. This part of the article presents an AI-based fuzzy neural optimization FNO algorithm to determine a safe trajectory in collision-threatening situations. In this algorithm, the optimization of the trajectory of the ship is shown in Figure 9 as a multi-stage decision-making process in a blurred environment [22,23,24,25].
Solving this task requires the use of special neurons with the advised artificial neural network. These neurons are presented in [26] and are termed max-neurons and min-neurons. These neurons allow the construction of a neural network for solving the task of optimal multi-stage control in a blurred environment. The framework of an artificial neural network hinges on the number of layers and the principles of connections among the neurons. This determines its quantity, velocity of action, and, above all, the efficacy of its actions, which are instrumental in solving a given task.
In this part of the study, the neural network suggested in [24] was used to solve the fuzzy programming tasks introduced therein. Its design consists of alternate layers based on min-neurons and max-neurons. Input neuron weights are not assigned by training in the ordinary sense but rather result from the description of the presented task, i.e., the state transitions, fuzzy constraints, and fuzzy targets. Therefore, for the structure of the neural network to work properly, it is necessary to determine the connections among the neurons’ minimum mki and maximum Mkj layers of the same stage (phase 1) and among the neurons of maximum layers of stage k − 1 and the minimum of stage k (phase 2). The connection function W(Mk−1l, mki) is accountable for connecting two kinds of neurons in the same phase, which can take two values: a lack of connection is marked by the number 0, while the number 1 means that the connection exists.

4.4.1. Control Algorithm

The operation of the fuzzy neural optimization algorithm FNO, developed for determining the safe trajectory of a MASS 0 among a group of MASS js as a multi-stage process to make decisions, was tested using MATLAB/Simulink version R2023a software (Algorithm 4).
Algorithm 4: Fuzzy neural optimization
BEGIN
Calculation of all membership functions;
For all max-neurons at stage k = 0 set;   q R M 0 j ;
For all min-neurons at stage k set   q R m k i ;
For all max-neurons at stage k set q T M k j ;
IF k = N then k = k + 1 go return to position 3, in another case continue
Set: k = 1, j = 1, I = 1;
Calculate q C m k i = q T m k i = f N k q R m k i , q T M k j and set l = 1;
IF q R M k 1 l = q T m k i then s e t   W M k 1 l , m k i = 1
 and calculate
y m k i = min   μ C q R m k i , μ G M k j , y M k 1 l ;
u k M 0 j = μ G N k q R M 0 j
IF l ≠ last( M k 1 ) then l = l + 1 and return to 8
Else IF i ≠ last( m k ) then i = i + 1 and return to 6
Else IF j ≠ last( M k ) then j = j + 1 and return to 6
Else IF kN then k = k + 1 and return to 6
Else go 10
10 Set t = 0 and j = 1 and y M N t j = 0 ;
11 Calculate y M N t j = max i   y m N t i , y ( M N t j ) ;
12 IF i ≠ last( m N t ) then i = i + 1 and return to 11
Else IF j ≠ last( M N t ) then j = j + 1 and return to 10
Else IF tN then t = t + 1 return to 10
Else go 13;
13 Determination of the best solution
END

4.4.2. Computer Simulation

Table 1 and Table 2 present the input data of the navigation situations used to determine safe MASS 0 trajectories using an FNO algorithm based on an ANN in a blurred environment. Figure 10 and Figure 11 show the computer simulation results obtained for these test cases.
In a real navigation situation, there are many safe trajectories from which the safe trajectory is selected. Its course depends on the adopted optimality criterion, which is different for each method. The effectiveness of the method depends on the number of necessary maneuvers and their dynamic feasibility. It is especially important in conditions of constrained visibility at sea.

5. Optimal/Robust Control

5.1. Control Task

The tasks carried out at this level basically concern the control of an autonomous MASS along a reference motion trajectory developed in the higher layers of the control structure. The motion trajectory is most often defined in the form of a sequence of waypoints containing the geographic coordinates of successive locations where the ship should change the parameters of its motion, as well as additional information regarding these parameters. The control strategies for the various segments of the trajectory between waypoints as well as during the turns themselves may differ depending on the character of the body of water on which the ship’s movement takes place:
  • In open waters, during ocean sailing, when the reference trajectory is usually close to the great circle, the most common factors determining the control objective along the trajectory are economic parameters, such as limiting control efforts or minimizing the fuel consumption of the main engine. The ship then travels at a constant speed;
  • in coastal shipping and in restricted waters, due to the large number of obstacles, safety factors become important. Thus, the goal of steering is usually to follow the route with the smallest possible deviation from the reference trajectory. It is acceptable to maneuver with the vessel’s speed;
  • during maneuvering in a harbor, it is necessary for the control system to be able to perform sequences of precise maneuvers at low speeds, such as lateral movements, while maintaining a constant heading or turning in place.
Thus, as can be seen, in this layer, the control algorithms of the ship’s steering and propulsion devices should be flexibly adapted to the conditions under which the ship’s movement takes place. Hence, adaptive, optimal, predictive, or robust control paradigms are very often applied here.

5.2. State Process Identification

One of the key elements in the design of the aforementioned control systems is knowledge of both the dynamic properties of the ship and the nature of the environmental disturbances affecting it.

5.2.1. Modeling of Ship Dynamics

For the control of marine cargo ships, a 3DOF horizontal motion model—HMM (surge, sway, and yaw)—is considered an appropriate description of their motion. In most publications on such models, the description of the relationship between their inputs and outputs is given explicitly in the form of mathematical equations. Such a form is called a white-box model. The structures of the mathematical equations can then be customarily assigned to one of two groups, as follows:
  • Models in the form of a set of complex, nonlinear equations of dynamics are used to simulate the motion of a ship and to design and verify ship control systems. The basis of their construction is the analysis of Newtonian laws of dynamics. They take the form of:
    m u ˙ m v r + x G r 2 = X T O T m v ˙ + m x G r ˙ + m u r = Y T O T m x G v ˙ + I z r ˙ + m x G u r = N T O T
    where m denotes the mass of the ship; u , v , r are the surge, sway, and yaw, respectively; I z is the ship’s moment of inertia relative to the vertical axis of the reference frame; x G is the longitudinal coordinate of the ship’s center of gravity; and X T O T ,   Y T O T ,   Y T O T symbolize the sums of all forces and moments acting along the longitudinal axis, transverse axis, and around the vertical axis of the reference frame, respectively [27].
Depending on how the right-hand sides of the equations in (5) are developed, a distinction is made between Abkowitz- or MMG-type models.
  • Models in the form of simplified equations. Often, this is a linear SISO transfer function description or linear relations supplemented with clearly defined nonlinearities. Such forms are most often used as the sub-blocks of control systems, for example, as reference models in adaptive or predictive control schemes because they provide algorithms for predicting future states of a control object that are easy to implement in numerous types of hardware systems. Simplified models are also built in the form of state equations, which often play the role of filters that reproduce non-measurable state variables and lead to measurement data fusion from various navigation devices. An example is a system of discrete equations of state in the form of:
    x k + 1 = A x k + B u k + K e k y k = C x k + e k
    where x , u , y denote the state, input, and output vectors, respectively; A , B , C are the state, input, and output matrices, respectively; K is the disturbance component matrix; and e symbolizes the disturbance signal.
In contrast to white-box models, structures called black-box models are also used. They represent pure input–output relationships. Their parameters are non-analytical and are not directly related to the physical parameters describing the movement of the ship. Very often, they are implemented in the form of artificial neural networks (ANNs), although they are also identified using regression methods [28]. There are also models with a structure that is a combination of both of the mentioned layouts, called gray-box models [29].
The identification process involves tuning the parameters of the selected model, given in the form of hydrodynamic coefficients defined on the right side of Equation (5), or in the form of a matrix of state (Equation (6)), so that the deviation between its outputs and the corresponding output signals recorded for the same input signals on the identified vessel is minimal.
Identification algorithms include numerous variations of regression methods. Modified versions of the classic least-squares algorithm are frequently used, for example, in the work of Zhao et al. [30]. The extended Kalman filter (EKF) technique is used in many projects, for example, by Alexandersson et al. [31].
Since the 1990s, artificial intelligence and soft computing methods have been widely used to tune model coefficients. Many researchers use algorithms from the SVM (support vector machine) family—for example, in [32]—and also other machine learning methods. Meta-heuristic methods are also used, such as the CSA (crow search algorithm) [33] and genetic algorithms [34]. They are frequently used to optimize the parameters of models that do not meet the designer’s expectations.

5.2.2. Example of GA-Assisted Identification of Large-Scale Manned Ship Model Dynamics

To illustrate the topics discussed in this section, let us consider the procedure proposed by Miller [34]. A genetic algorithm was used to tune the coefficients of a model given in the form of discrete state equations in the form of Equation (6), whose coefficients were obtained through an identification process using classical methods, for data collected during experiments with a large-scale model sailing on a lake. The genetic algorithm presented in the form of Algorithm 5 was used to optimize the L2-type normalizing coefficients so that, for the verification data, the fit for the short-term prediction of 5 s of the ship’s angular velocity is at least 85%, and for the long-term prediction, 20 s, it is no less than 40%. Figure 12 shows the results of the 5 s, 10 s, and 20 s predictions for the final optimized model.
Algorithm 5: Searching for identification regularization factors maximizing value of model fitness function
Electronics 12 03299 i001
The operation of the maximizing value of the model fitness function algorithm GA, developed for identification regularization factors, was tested using MATLAB/Simulink version R2023a software (Algorithm 5).

5.3. LMI Control

The process of synthesis of the controller from a state can be realized based on linear matrix inequalities, which are a tool for convex optimization from a convex set of constraints. Linear matrix inequalities can be used in the synthesis of controllers with different configurations, including a state regulator or dynamic regulator placed in series in the main path, or in feedback. According to the authors in [35], the canonical form of LMI is as follows:
  F ( x ) = F 0 + i = 1 m F i x i 0
where x is the vector of the decision variable (unknown); matrix F0, Fi є R{nxn} are the real and symmetrical matrices, where Fi = FiT for i = 0, …, m; and the notation “ ” means that matrix F(x) is positively determined (Figure 13).
For a system determined by the below state space equalities:
x ˙ c = A x c + B u
p = C x c + D u
The state space controller was calculated based on the simulation results, and the structure of the controller was proposed based on the following:
u = K x c
Based on Figure 1 and Figure 13 for the closed loop system state space:
x ˙ c = ( A + B K ) x c + B w , x c = x i x p = ( C + B K ) x c + D w p = ( C + B K ) x c + D w p 2 = ( C + B K ) x c + D w
where A is the controlled matrix object (MASS 0) state space; B is the control matrix of the control u0 signal; Bw is the control matrix of the input signal w; C is the output matrix of the output signal p; and D is the transition matrix signal of u, w, p.
The closed-loop system structure of Figure 13 includes the control signal vector u0, input signal vector w, and the output signal vectors p, p, p2. It should be added that the determined signal vectors are closely related to the state space to determine norms such as H and H2.
For the above equations, it is determined “that a necessary and sufficient condition for a linear system to be stable is the existence of a symmetric and positively defined linear system”. The type X (feasibility problem) matrix is defined for the inequality shown below and means Lyapunov’s inequality [35]:
A T X + X A < 0 ,   X = X T > 0
A T X X A 0 0 X > 0
The multiplicity of the linear matrix inequalities used in the synthesis of a controller from a state refers to the simultaneous fulfillment of several conditions. The following subsections present the three main steps in the synthesis of a controller from a state using linear matrix inequalities.

5.3.1. LMI Conditions

LMI—First Step: Stability Zone
The first step is related to the determination of the dynamic properties of the system and concerns the definition of the desired region located in the left half-plane of the complex variable s of the polar position of the closed-loop system.
Fulfilling the inequality in (13) means that the eigenvalues of the matrix A of the system are placed in the left half of the complex variable plane s. After checking the feasibility problem (12) and stability condition (4), additional restrictions on the allowed area of the eigenvalues set in the left half of the variable planes can be made. In [34], the authors state that the first condition of the LMI is satisfied only if there is a symmetric and positively defined matrix Xzone.
R z o n e ( A , X z o n e ) = L X z o n e + M ( A X z o n e ) + M T ( A X z o n e ) T 0
where A is matrix object MASS 0; and Xzone is symmetric and positive, as defined by the user by placing them in the left half of the complex variable plane s.
The controller matrix LMI for the first condition is:
K z o n e = Y z o n e · X z o n e 1
LMI—Second Step: Minimize H Norm
The second stage is to minimize the H norm, which has an indirect effect on the control lag. The necessary and sufficient condition, according to Lyapunov, for LMI is that the smallest value of the scalar variable gamma [ɣ] needs to be found that fulfills two LMI prerequisites for X = X T , which according to [35] leads to the following relationship:
A T X + X A X B C T B T X γ Ι D T C D γ Ι 0
The minimization of the norm H is related to the estimation of the scalar value ɣ from above, referred to as the norm constraint. The scalar value of ɣ can be determined in two ways: First, on the basis of minimization of the norm, and second, by assuming that the ɣ value is a constraint of the norm with a constant value. The fulfillment of the second LMI condition allows the further synthesis of the state controller. Therefore, the property of the inverse of the matrix is written as:
K = Y · X 1
LMI—Third Step: Minimize H2 Norm
Minimizing the H2 norm is the third stage and is related to the construction of the controller, for which the primary goal is to minimize the energy of the control signal. A fixed value of ɣ2 and the relation between the values of ɣ and ɣ2 are determined. The user bases this on the Pareto curve and selects a favorable relationship between the fixed value of the H2 norm (which is the minimum value of ɣ2) and the minimized value of the H norm. The third LMI condition of the form is that the smallest value of the scalar variable, equal to the trace matrix Q, needs to be found, or, in other words, a Tr(Q) that fulfills two LMI prerequisites for X 2 = X 2 T , Q = Q T .
A X 2 + X A T B B T I 0
Q C T C X 2 0
T r ( Q )   γ 2 2  
This condition is satisfied if a symmetric and positively defined X 2 and a symmetric Q matrix exist. Referring to the property of the existence of the matrix inverse, the notation of the LMI matrix is presented as:
K 2 = Y 2 · X 2 1
After performing the calculations for the three conditions, three different matrices for the controller were obtained, that is, Kzone, K, and K2. In accordance with the literature [35,36], it was assumed that the Xzone, X, and X2 matrices determined from the above conditions are equal to each other under the assumption that the three LMI conditions are single constraints. This assumption makes it possible to synthesize a state controller that stabilizes the whole control system and minimizes norms H and H2.

5.3.2. LMI Algorithm

All calculations were made using special libraries such as Yalmip [37] and SeDuMi [38] in MATLAB 2023 software. The operation of the controller in a state with three LMI conditions was tested using MATLAB/Simulink version R2023a software (Algorithm 6).
Algorithm 6: LMI–matrix K
Electronics 12 03299 i002

5.3.3. Computer Simulation

Based on the safe trajectory determined by the DP algorithm and the ACO algorithm, the longitudinal u, lateral v, and rotational r velocity plots of the MASS 0 were determined based on the synthesis of the trajectory controller and from the LMI state controller [39,40].
Figure 14 shows the control of MASS 0 along the given trajectory from Figure 3, previously determined by the DP dynamic programming Algorithm 2, and the values of the commanded and controlled speeds.
Figure 15 shows the control of MASS 0 along the given trajectory from Figure 7, previously determined by the ACO ant colony optimization Algorithm 3, and the values of the set and controlled speeds.

5.4. Predictive Line-of-Sight Control

5.4.1. Control Algorithm

The suboptimal trajectory tracking MASS system is created as a connection between line-of-sight control (LOS) and model predictive control (MPC) algorithms [41,42]. This problem is similar to the one discussed in the control of unmanned aerial vehicles [43]. Three tasks are carried out sequentially. First, the ship’s trajectory return course is computed according to the LOS algorithm, and then this course is mapped to the reference angular velocity rLOS, which is treated as a control variable, using the ship’s model and knowledge about the differences between the present and trajectory return courses. Finally, the pure MPC controller calculates the ship thruster’s angle of rotation δ and revolutions n (Figure 16).
The reference angular velocity is calculated based on the equation:
r l o s = β k + ψ l o s k T s β k 1 + ψ l o s k 1 T s
where k − 1 is previous time step; k is current time step; β is estimated sideslip angle; and Ts is sample time.
Predictive controller output signals are determined using quadratic programming methods. The cost function defined by Equation (23) is minimized using the linearized ship dynamics model, described in Section 5.2.
J = γ y p = N 1 N r l o s k + p | k r k + p | k 2 + γ u p = 0 N u 1 Δ δ z k + p | k 2
where γu, γy are output signal change and error weight coefficients; rlos, r, Δδz are reference, output, and control signal change; *(k + p|k) is the signal value at the k + p time moment predicted in the k time moment; N, Nu are prediction and control horizon lengths.
The MPC scheme allows for the incorporation of constraints. In order not to destroy the actuator’s maximum angle of rotation, δz was set to ±20°, which is the maximum allowable deflection of the thruster when moving at full speed ahead. Moreover, azipods are not allowed to rotate faster than ±35 deg/s [44], which was also taken into account when setting the constraints.
All calculations, including empirical value estimations, were carried out using MATLAB/Simulink 2023a software (Algorithm 7).
Algorithm 7: Predictive line of sight control
BEGIN
| Get present MASS 0 position (x, y);
| Compute cross track error ye and geometricali find point (xLOS, yLOS);
| Estmate trajectory return course ψLOS;
| Calculate reference value of rotational velocity rLOS;
| for N time steps (equal to prediction horizon) minmize cost funkcion (minJ);
| for Nu time steps compute control signals: δz, n;
| Get first value from each control signal vector and cross over to actuators;
END

5.4.2. Simulation Results

Based on the lower-layer safe control algorithms, which gave a safe trajectory as a result, simulations were carried out. The results of the trajectory tracking with full speed ahead, which is an exemplary result of MASS 0 motion, are presented in Figure 17. Figure 18 presents the time courses of the cross-track error ye, azipod angle of rotation δz, and rotational velocity r compared with the reference value rlos.
The cross-track error only exceeds half of the ship’s breadth on turns when switching to the next segment of the realized trajectory takes place. During this procedure, the maximum permissible deflections of the thrusters are observed, as is an increase in the value of the set angular velocity to the maximum, consistent with the movement capabilities of the ship. The reference rotational velocity tracking is qualitatively accurate, with a delay observed due to the length of the prediction horizon.

6. Direct Control

The problem of ship motion direct control, which allows the ship to be moved from the docking point at the departure port to a mooring place at the destination port, belongs to a group of switching systems; a block diagram is shown in Figure 19 (for more information, see [45]). The supervisory switching system provides control in typical operations related to the movement of a vessel on the desired path between moorings at the departure and destination ports. In a control system designed with a switchable structure, it is possible to implement four different ship motion operations, marked as operating modes. The supervisory switching system operates on the basis of an optimal route path pr(Xr, Yr). The route path is given as a broken line consisting of segments connecting successive waypoints.
The supervisory switching system defines four operating modes of ship motion:
  • Mode 1. Maneuvering—allows the ship to leave or reach the place of mooring and/or to move precisely at low speed with an arbitrary sideslip angle in the harbor area or on narrow waterways.
  • Mode 2. Path keeping—enables control of the ship’s movement on path segments while minimizing the cross-track error. This mode is used in shipping areas where the vessel is expected to travel at transit speed as closely as possible along a designated path. This is ensured by the LMI control algorithm presented in Section 5.3.
  • Mode 3. Path following—this mode is also used to control the ship’s motion along a desired path consisting of waypoints and is similar to Mode 2. The only difference is that here, the applied control strategy is based on tracking the desired course determined using the line-of-sight (LOS) method presented in Section 5.4. In Mode 3, tracking the cross-track error is less accurate than in Mode 2. This mode can be used in transit-speed ship motion on open sailing areas for which the high accuracy of tracking the cross-track error from the desired path is not required.
  • Mode 4. Stop-on-path—used when switching from Mode 2 or Mode 3 to Mode 1. This mode consists of fast ship speed reduction down to almost zero on the shortest possible distance.
The supervisor monitors the operation of a set of direct controls by switching between them and sending appropriate setpoint signals to the connected direct controllers. In the supervisor, there is a block designated as a decision maker, the task of which is to implement and execute the tasks stored in the desired path and, if necessary, to automatically select the operating modes depending on the ship’s position relative to the waypoints on the water map.
The direct control comprises a set of five switchable controllers. With each mode of operation performed by the ship, a different arrangement of controllers to be activated in the ship’s direct control system is assigned. The selection of the appropriate controller depends on the selected operating mode and is carried out using the switching signal σ, which takes a value equal to the operating mode number (σ = {1, 2, 3, 4} = {Mode 1, Mode 2, Mode 3, Mode 4}). The operations described as Mode 2 and Mode 3 are performed at transit speeds, and in the switching controller system, they additionally use the ship’s surge speed controller, marked as Controller 3.
In the ship’s motion control system with a switchable structure, two operating modes are provided for steering along the optimal route path at cruising speeds: Path keeping (mode 2) and path following (mode 3). These are two alternative methods of steering along the optimal route path, but different information is used by the algorithms implemented in the regulators to control the ship’s motion. In mode 2, the regulator’s task is to minimize the cross-track error from the optimal route path, while in mode 3, the regulator’s task is to control the ship’s motion in such a way that it follows the desired course determined by the line-of-sight method. With these control strategies, Mode 2 control is more accurate. The introduction of mode 3 was intended to enable the use of algorithms found in the extensive literature on ship control on course in the ship’s motion controllers.
In the set of switching controllers, only those controllers that are switched on are active. If the controller is in the idle state, it does not work and is at rest. During the work of the active controller, the integrators are reset after each change of the desired path segment, and the decision-making block sends new setpoints to these controllers in the direct system.

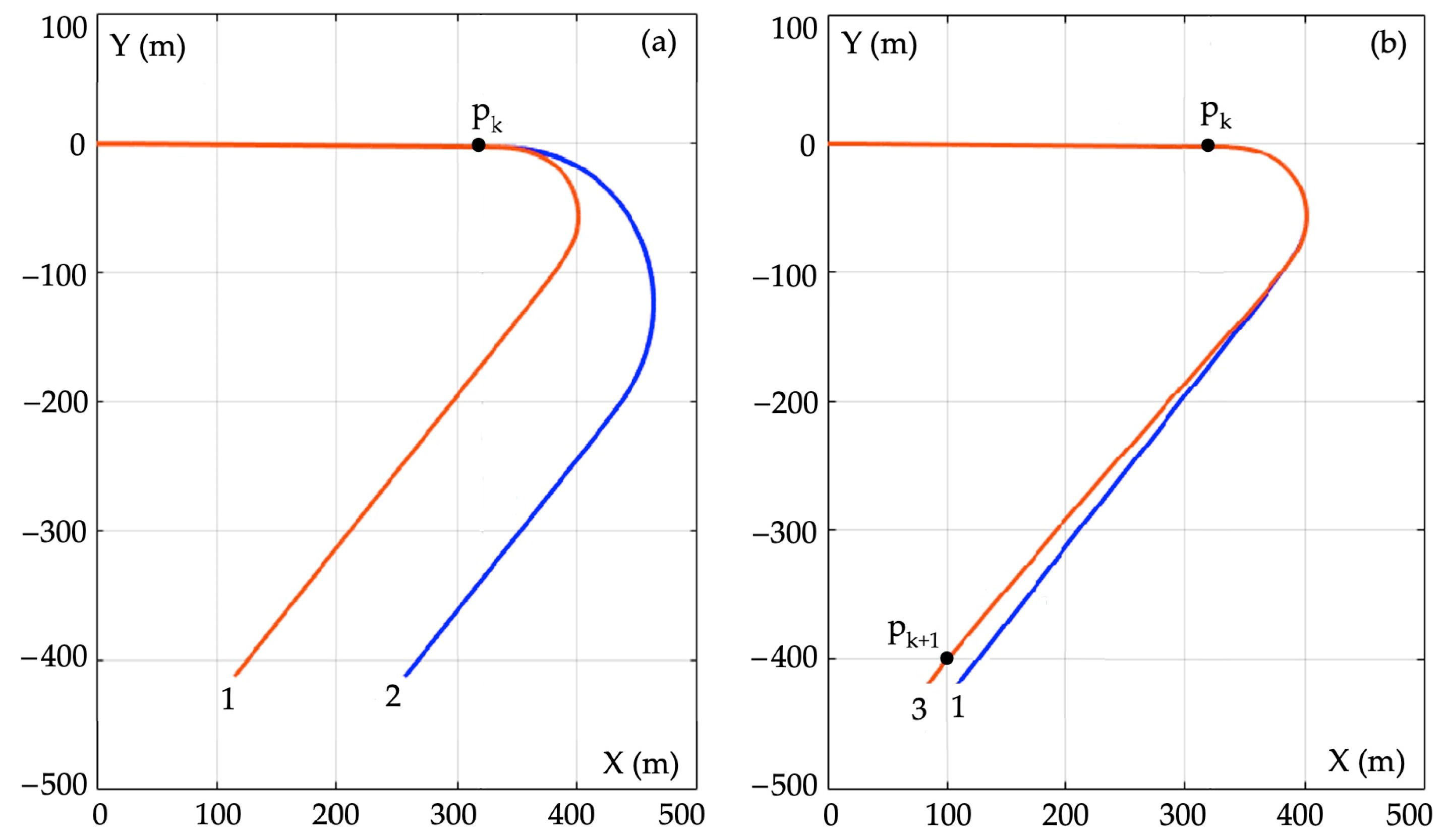
6.1. Path Keeping (Mode 2)

The implementation of the optimal route shown in Figure 19 will be performed in Mode 2 after using the controller to minimize the cross-track error ey of the ship’s position from the desired linear path segment using the linear matrix inequalities (LMI) control method presented in Section 5.3. The principle of ship motion guidance in Mode 2 is shown in Figure 20 and Figure 21.
The cross-track error ey is the smallest distance of the ship’s center of gravity from a point on the implemented linear segment of the desired path and is determined from the following relationship:
ey = −(x − Xk−1) sin(ψk−1) + (yYk−11) cos(ψk−1)
where (x, y) are the position coordinates of the moving ship; (Xk−1, Yk−1) are initial coordinates of the realized linear segment of the optimal route path; and ψk−1 is the course resulting from the implemented desired path segment connecting two successive waypoints calculated from the following rule:
ψk−1 = a tan (YkYk−1, Xk−1Xk−1)
When the ship is within the acceptance circle Rk determined around the waypoint pk, then its motion control will be switched to the next desired path segment, which connects the waypoints pk and pk+1. An acceptance circle with radius Rk is defined around each waypoint. When the ship passes the path segment connecting waypoints pk−1 and pk, a mechanism that automatically switches to the next path segment is needed. It is assumed that the waypoint pk, with coordinates (Xk, Yk) and the circle with radius Rk marked around it, has been reached when, at time t, the ship position (x, y) meets the following condition:
(Xkx)2 + (Yky)2Rk2
In order to facilitate developing the ship motion control law in Mode 2, an additional path-fixed reference system (Xr, Yr) is introduced. This system is related to the currently implemented path segment, which ends at waypoints designated as pk−1 and pk. The origin of this reference system is at the point with coordinates (Xk−1, Yk−1), while the Xr axis coincides with the direction ψk−1, resulting from the desired path segment connecting the waypoints pk−1 and pk.
The origin of this reference frame (Xr, Yr) is at the beginning point (Xk−1, Yk−1) with position coordinates and orientation ηk−1 = [Xk−1, Yk−1, ψk−1]T. In the new path-fixed reference system (Xr, Yr), the beginning point has coordinates ηk−1r = [0, 0, 0]T, while the coordinates of the moving ship ηr = [xr, yr, ψr]T are determined from the following formula:
ηr = RTk−1) (η − ηk−1)
where η = [x, y, ψ]T are the position coordinates and orientation of the moving ship in the inertial frame (XN, YN) and R is the rotation matrix in yaw described by the following formula:
R ( ψ ) = c o s   ( ψ ) s i n   ( ψ ) 0 s i n   ( ψ ) c o s ( ψ ) 0 0 0 1

6.2. Path following (Mode 3)

The principle of ship motion guidance in Mode 3 was shown in Figure 20. It involves determining the course using the LOS (line-of-sight) control method presented in Section 5.4. The desired course ψlos of the direct controller associated with Mode 3 is determined as follows:
ψ l o s = arctg y x = a r c t g y l o s y x l o s x
where (xlos, ylos) are the coordinates of the point located on the desired path at the distance Llos before the moving vessel and (x, y) are the coordinates of the vessel’s position.
The position of the point (xlos, ylos) is determined based on the solution of the following system of two equations:
tg ( ψ k 1 ) = y k y k 1 x k x = y l o s y k 1 x l o s x k 1 = c o n s t a n t
  x l o s x 2 + y l o s y 2 = L l o s 2
where Equation (28) means that the slope of the line between the two waypoints is constant, while Equation (29) results from the Pythagorean theorem.
The coordinates (xlos, ylos) of the point are moved until they reach the position of the next waypoint pk, where they remain until the vessel is within the circle with radius Rk (24). After changing to the next path segment, the coordinates of the point (xlos, ylos) begin to move again at a distance Llos in front of the ship until they reach the next waypoint pk. This rule was adopted for the ship to be guided exactly to the next waypoint for sailing along the desired path section.

6.3. Path-Keeping Controller (Controller 2)

A path-keeping controller is used to control the movement of the vessel along the assigned segment between the waypoints pk−1 and pk. The control problem consists of the simultaneous minimization of the cross-track error yr and the course ψr (Figure 21). The desired course ψk−1 for the given path segment is calculated from Formula (25) and will change after reaching the next new waypoint. It is assumed that the new waypoint pj is reached when the vessel is within the acceptance circle of radius Rk around this point, according to relationship (26).
The path-keeping controller is described by the following formula [45]:
δc = −k1 vk2 rk3 ψrk4 yrk5 yIr
where δc is the commanded rudder angle; k1, k2, k3, k4, and k5 are the parameters of the path-keeping controller; v is the sway velocity; r is the yaw rate; ψr is the course error; yr is the cross-track error; and yIr is the integral of the cross-track error yr of the ship’s position from the desired line section of the optimal route path:
y ˙ I r = y I r

6.4. Course Controller (Controller 4)

For more than a century, an autopilot based on a PI regulator (Min) has continued to be widely used to guide a ship along a desired course. This can be a PD-PI switchable structure regulator or a PID regulator, sometimes equipped with an anti-wind-up system or set-point weighting. These modifications made to the PID autopilot allow the regulator to maintain its ability to compensate for the effects of disturbances such as current or wind when maintaining the set course while limiting overshoot when changing course [46].
A separate issue is the robustness or adaptation of the control system to the changing characteristics of the ship as well as the surrounding environment, which is of particular importance for autonomous ships. One alternative to autopilots based on PID controllers can be a model-based control system, which will be presented in the next subsection.

6.4.1. Control System of the Ship Course

The concept of the control system for ship maneuvering involving course changes is based on developing a reference system with a perfectly matched controller to control the model and then subjecting this control signal or set rudder deflection to the input of the process, which is the steering gear of the controlled ship. Since this model can be treated as an integral part of the controller, the structure described is referred to as internal model control (IMC). This represents an open automation system, controlled by the difference in plant and model response [47]. The advantages of IMC to control the motion of the ship are presented in [48,49].
However, according to the assumptions, the control system with an internal model, due to the preservation of stability, should not be used for integral processes, which are also the ship’s rudder deflection to the course. For this reason, the starting point for the synthesis of the proposed control system is the controller of the ship’s angular velocity, Goc(s) (32), which could operate in an open-loop system. A diagram of the control system was shown in Figure 21.

6.4.2. Outer Controller

The task of this function block is to determine the reference signal based on the selected control mode and measurements of the selected variable. The reference signal in the system is the set value of the angular velocity of the ship. It can be determined in two ways.
The controlled variable remains the ship’s course, but making the set value of angular velocity dependent on it requires an additional forming element. This is, in a sense, an outer controller, although it has a different role than its counterpart in the cascade control system. Its transfer function is as follows:
G o u c s = r r e f ( s ) ψ ( s ) = K P 1 + T d s T s + 1
The output of this module is limited to an adjustable value of rmax:
[ r r e f 1 t = r s t i f       r r e f r m a x r r e f 1 t = s i g n ( r s t ) · r m a x i f       r r e f > r m a x
The determination of the angular velocity setpoint according to the given relations leads to rapid entry into a turn with an angular velocity limited to the assumed value of rmax, while entry into a new course depends on the derivative time constant Td. However, a more appropriate mode for driving an autonomous ship to change course between two sections of the trajectory is to steer the ship along an arc with a limited turning radius R. When there is no need for an emergency maneuver, this form of turning allows a reduction in the amount of fuel consumed. The set yaw rate can be determined from the following relationship:
rref2 = u(t)/R
During the course change maneuver with a minimum turn radius limitation, it is necessary to activate this mode when it is needed to limit the reference signal to a level corresponding to the turn after the assumed radius. The operation of the MASS course controller was tested using MATLAB/Simulink version R2023a software (Algorithm 8).
Algorithm 8: MASS course controller
BEGIN
1 Set R;
2 Δψ(k) = ψlos(k) − ψ(k);
3 Calculation of rref1(k + 1);
4 rref2(k + 1) = u(k)/R;
5 IF |rref1(k + 1)| − | rref2(k + 1)| ≥ 0 than switch = 1;
Else switch = −1;
6 IF switch > 0 than rref(k + 1) = rref2(k + 1);
Else rref(k + 1) = rref1(k + 1);
END
The model and object MASS 0 ε out-of-tune signal is the result of interference and the inaccuracy of the model. The Goc(s) driver transition function in an open system controlled by the difference between the MASS 0 response and the model is as follows:
G o c s = M i n v ( s ) ( T f s + 1 ) i
where Minv(s) is the inverse model of the process; Tf is the filter time constant; and i is the integer, which can be obtained as a difference between the order of the numerator and denominator of the inverse model.
This way of determining Tf limits the power of the actuators but facilitates the control of nonlinear elements.

6.4.3. Control System with Nonlinear Model

The performance of the control system will depend on the accuracy of the model. Based on the 3DOF horizontal motion HMM model (5), after linearization around a selected point of work and after the elimination of the sway velocity, we obtain the following simplified linear differential equation:
r ¨ t + 1 T 1 + 1 T 2 r ˙ t + 1 T 1 T 2 r t = k T 1 T 2 · T 3 δ ˙ t + δ t        
where δ is the rudder deflection; T1, T2, and T3 are time constants; and k is the gain.
Since changes in longitudinal and transverse velocities change the dynamic properties of MASS 0, a model is introduced whose parameters depend on the rotational speed of the propeller n and the rudder deflection δ. Then, Equation (38) will take the form:
r ¨ t = k ( n , δ ) T 1 T 2 ( n , δ ) · ( T 3 n , δ δ ˙ t + δ t ) T 1 n , δ + T 2 n , δ T 1 n , δ T 2 n , δ r ˙ t 1 T 1 T 2 n , δ r ( t )
and can be directly used to create a model, whose transfer function with variable parameters better reflects the nonlinear properties of the ship.
Then, the transfer function of the controller Goc(s) (37) using as a filter a first-order inertia (i = 1) will be equal to:
G o c s , n , δ = ( T 1 s + 1 ) ( T 2 s + 1 ) k ( T 3 s + 1 ) ( T f s + 1 )
where the static gain k and time constants T1, T2, and T3 depend on the deflection of the rudder angle and the propeller shaft velocity.
By using a nonlinear model in the structure of the IMC controller, better control effects will be obtained.

6.4.4. Simulation Results

Simulation studies of the described maneuvers of changing the ship’s course with an autopilot based on a nonlinear internal model control (NIMC) approach were carried out using physical models of ships at the Ship Handling Research and Training Center in Iława, Poland, whose mathematical model [50] was verified during the trials. It has an electric drive. For the purpose of the simulation, only the main rudder was used for control. The dimensions of this surface vehicle are listed in Table 3.
Figure 22a shows two variants of a course change from 90 to 220 degrees initiated at a waypoint with coordinates x = 0, y = 320 m. The first is performed without a turn radius limitation, while the second is performed with a limitation of R = 120 m. This mode allows a reduction in the forward speed, drift, and angle of the heel. The second variant (Figure 22b) shows a course change that is initiated at the same waypoint but only with the application of the LOS approach. In this case (a small training basin), the Llos radius corresponds to the distance between successive waypoints.

7. Conclusions

The most important tasks of a multi-layer control system for MASS objects include signal filtering and the estimation of measurement values, the selection of algorithms and control methods, and the optimization of drive allocation.
In practice, the MASS multi-layer motion control system should meet the following functional requirements:
  • Provide the possibility of operating the system with one operator;
  • present data in a clear and unambiguous form;
  • operate in all climatic conditions and at any time of the day, using the ARPA anti-collision radar system as the main source of object detection and information about movement;
  • carry out path planning and traffic control using the EIS electronic map;
  • provide accurate and safe guidance of the ship on a given course or on a given trajectory using the adaptive autopilot.
The synthesis of the MASS multi-layer control system presented in this paper ensures both the implementation of the complex control tasks of this object and the use of the latest and most efficient optimization and artificial intelligence methods for this purpose.
In the task of determining the MASS optimal path using an evolutionary algorithm, a population of individuals representing various variants of the MASS route is used and evaluated using the matching function, which takes into account the adopted optimization criterion in the form of the length of the route (min), travel time (min), number of turning points (min), safe avoidance of objects in the navigation environment (max), and fuel consumption (min).
In the implementation of the MASS safe control task, it is necessary to use such methods that allow the determination of a safe trajectory that both minimizes the risk of collision and minimizes the loss of the road for passing MASS j. To achieve this, this paper presents three safety control methods that meet the above requirements, take into account the COLREG rules of movement at sea, and support the use of dynamic programming methods with neural constraints of the process state, particle swarm, and fuzzy-neural control.
To perform the task of optimal and robust control, the current most efficient control theory methods in the form of LMI control and predictive line-of-sight control are proposed.
In the control system, linear controllers are used to control the ship’s motion at transit speed. Nonlinear controllers can also be used in ship motion control, which should improve the quality of ship motion control over a relatively wide range of speed changes. However, it is necessary to take into account more complex mathematical models of ship dynamics at the design stage of these controllers.
The task of direct MASS control is proposed to be integrated into the switching-based multi-operational control of the ship’s motion, including four operating modes: maneuvering, path keeping, path following, and stop on path.
The problems presented in this article do not cover the entire spectrum of issues related to the control of autonomous ship motion. The described and applied control algorithms do not exhaust other possible ways to search for solutions to the studied problems. Therefore, in further work, it is advisable to:
  • Smooth the path. In the ship motion control system described in this article, the route is given in the form of a broken line. This solution has the advantage that it is easy to implement in a control system. Its disadvantage, on the other hand, is the large decrease in ship surge velocity after switching to the next segment;
  • nonlinear controllers. In the control system, linear controllers are used to control the ship’s motion at transit speed. These controllers have been designed based on simplified and linearized mathematical models of ship dynamics. The linearization of these models took place around a selected speed of ship motion, while the control algorithms designed on the basis of these models should have the possibility to operate within a much wider range of speed changes when the dynamic characteristics of the ship change significantly.
Further practical investigations of the MASS multi-layer motion control system will address:
  • System testing on 1:24-scale physical models of various types of ships at the Ship Handling Research and Training Center in Ilawa, Poland;
  • the application of the system on the research and training vessel r/v HORYZONT II.

Author Contributions

Conceptualization, J.L. and M.T.; methodology, J.L.; software, A.R.; validation, K.K., M.R., A.L. and W.K.; formal analysis, J.L.; investigation, M.T.; resources, M.M.-S.; data curation, W.K.; writing—original draft preparation, J.L.; writing—review and editing, J.L.; visualization, K.K.; supervision, J.L.; project administration, M.R.; funding acquisition, A.M. All authors have read and agreed to the published version of the manuscript.

Funding

This research was funded by the research project “Control algorithms synthesis of autonomous objects” No. WE/2023/PZ/02, Electrical Engineering Faculty, Gdynia Maritime University, Poland.

Data Availability Statement

The study did not report any data.

Conflicts of Interest

The authors declare no conflict of interest regarding the publication of this paper.

References

  1. EMSA—European Maritime Safety Agency. Maritime Autonomous Surface Ships (MASS). Available online: https://emsa.europa.eu/mass.html (accessed on 7 July 2023).
  2. LR—Lloyd’s Register. Out of the Box—Implementing Autonomy and Assuring AI. Available online: https://www.lr.org/en/reports/ai-and-autonomy (accessed on 7 July 2023).
  3. Zubowicz, T.; Armiński, K.; Witkowska, A.; Śmierzchalski, R. Marine autonomous surface ship—Control system configuration. IFAC-PapersOnLine 2019, 52, 409–415. [Google Scholar] [CrossRef]
  4. Chen, L.; Hopman, H.; Negenborn, R.R. Distributed Model Predictive Control for cooperative floating object transport with multi-vessel systems. Ocean. Eng. 2019, 91, 106515. [Google Scholar] [CrossRef]
  5. Hu, X.; Hu, K.; Tao, D.; Zhong, Y.; Han, Y. GIS-Data-Driven Efficient and Safe Path Planning for Autonomous Ships in Maritime Transportation. Electronics 2023, 12, 2206. [Google Scholar] [CrossRef]
  6. Guan, W.; Cui, Z.; Zhang, X. Intelligent Smart Marine Autonomous Surface Ship Decision System Based on Improved PPO Algorithm. Sensors 2022, 22, 5732. [Google Scholar] [CrossRef] [PubMed]
  7. Hinostroza, M.A.; Lekkas, A.M. A Rudimentary Mission Planning System for Marine Autonomous Surface Ships. IFAC-PapersOnLine 2022, 55, 196–203. [Google Scholar] [CrossRef]
  8. Zhang, X.; Wang, C.; Jiang, L.; An, L.; Yang, R. Collision-avoidance navigation systems for Maritime Autonomous Surface Ships: A state of the art survey. Ocean. Eng. 2021, 235, 109380. [Google Scholar] [CrossRef]
  9. Stateczny, A.; Burdziakowski, P. Universal Autonomous Control and Management System for Multipurpose Unmanned Surface Vessel. Pol. Marit. Res. 2019, 26, 30–39. [Google Scholar] [CrossRef]
  10. Zwolak, K.; Miętkiewicz, R.; Dąbrowska, J.; Tinmouth, N. The Assessment of Unmanned Vessel Operation in Heavy Traffic Areas. Case Study of the North Sea Crossing by Unmanned Surface Vessel Sea-Kit. Marit. Tech. J. 2022, 224, 41–67. [Google Scholar] [CrossRef]
  11. Pedersen, T.A.; Glomsrud, J.A.; Haugen, O.I. Towards Simulation-based Verification of Autonomous Navigation Systems. In Proceedings of the International Seminar on Safety and Security of Autonomous Vessels (ISSAV) and European STAMP Workshop and Conference (ESWC) 2019, Helsinki, Finland, 17–20 September 2019; pp. 1–13. [Google Scholar] [CrossRef]
  12. Łebkowski, A.; Śmierzchalski, R.; Gierusz, W.; Dziedzicki, K. Intelligent Ship Control System. Transnav-Int. J. Mar. Navig. Saf. Sea Transp. 2008, 2, 63–68. [Google Scholar]
  13. Łebkowski, A.; Dziedzicki, K. Agent system in control of ship movement. J. Pol. Saf. Reliab. Assoc. 2008, 2, 235–239. [Google Scholar]
  14. Geng, X.; Wang, Y.; Wang, P.; Zhang, B. Motion of maritime autonomous surface ships by dynamic programming for collision avoidance and speed optimization. Sensors 2019, 19, 434. [Google Scholar] [CrossRef] [PubMed]
  15. Lisowski, J. Optimization Methods in Maritime Transport and Logistics. Pol. Marit. Res. 2018, 25, 30–38. [Google Scholar] [CrossRef]
  16. Lisowski, J. Multistage Dynamic Optimization with Different Forms of Neural-State Constraints to Avoid Many Object Collisions Based on Radar Remote Sensing. Remote Sens. 2020, 12, 1020. [Google Scholar] [CrossRef]
  17. Tsou, M.C.; Hsueh, C.K. The study of ship collision avoidance route planning by ant colony algorithm. J. Mar. Sci. Technol. 2010, 18, 746–756. [Google Scholar] [CrossRef]
  18. Chen, L.-J.; Huang, L.-W. Ship Collision Avoidance Path Planning by PSO Based on Maneuvering Equation. In Future Wireless Networks and Information Systems. Lecture Notes in Electrical Engineering; Zhang, Y., Ed.; Springer: Berlin/Heidelberg, Germany, 2012; Volume 144. [Google Scholar] [CrossRef]
  19. Tomera, M. Ant colony optimization algorithm applied to ship steering control. Procedia Comput. Sci. 2014, 35, 83–92. [Google Scholar] [CrossRef]
  20. Wu, G.; Xu, T.; Sun, Y.; Zhang, J. Review of multiple unmanned surface vessels collaborative search and hunting based on swarm intelligence. Int. J. Adv. Robot. Syst. 2022, 19, 2. [Google Scholar] [CrossRef]
  21. Lazarowska, A. A Nature Inspired Collision Avoidance Algorithm for Ships. TransNav Int. J. Mar. Navig. Saf. Sea Transp. 2023, 17, 341–346. [Google Scholar] [CrossRef]
  22. Mohamed-Seghir, M.; Kula, K.; Kouzou, A. Artificial Intelligence-Based Methods for Decision Support to Avoid Collisions at Sea. Electronics 2021, 10, 2360. [Google Scholar] [CrossRef]
  23. Tang, Y.; He, H.; Ni, Z.; Zhong, X.; Zhao, D.; Xu, X. Fuzzy-Based Goal Representation Adaptive Dynamic Programming. IEEE Trans. Fuzzy Syst. 2015, 24, 1159–1175. [Google Scholar] [CrossRef]
  24. Pietrzykowski, Z.; Wołejsza, P.; Nozdrzykowski, Ł.; Borkowski, P.; Banaś, P.; Magaj, J.; Chomski, J.; Mąka, M.; Mielniczuk, S.; Pańka, A.; et al. The autonomous navigation system of a sea-going vessel. Ocean Eng. 2022, 261, 112104. [Google Scholar] [CrossRef]
  25. Roman, R.-C.; Precup, R.E.; Petriu, E.M. Hybrid data-driven fuzzy active disturbance rejection control for tower crane systems. Eur. J. Control 2021, 58, 373–387. [Google Scholar] [CrossRef]
  26. Romero, R.F.; Kacprzyk, J.; Gomide, F. Neural Network Based Algorithm for Dynamic System Optimization. Asian J. Control 2008, 3, 131–142. [Google Scholar] [CrossRef]
  27. Yoshimura, Y. Mathematical Model for Manoeuvring Ship Motion (MMG Model). In Proceedings of the Workshop on Mathematical Models for Operations involving Ship-Ship Interaction, Tokyo, Japan, 4–5 August 2005; pp. 1–6. [Google Scholar]
  28. Moreno, R.; Moreno-Salinas, D.; Aranda, J. Black-Box Marine Vehicle Identification with Regression Techniques for Random Manoeuvres. Electronics 2019, 8, 492. [Google Scholar] [CrossRef]
  29. Chen, L.; Yang, P.; Li, S.; Tian, Y.; Liu, G.; Hao, G. Grey-box identification modeling of ship maneuvering motion based on LS-SVM. Ocean. Eng. 2022, 26, 112957. [Google Scholar] [CrossRef]
  30. Zhao, B.; Zhang, X.; Liang, C. A Novel Parameter Identification Algorithm for 3-DOF Ship Maneuvering Modelling Using Nonlinear Multi-Innovation. J. Mar. Sci. Eng. 2022, 10, 581. [Google Scholar] [CrossRef]
  31. Alexandersson, M.; Mao, W.; Ringsberg, J.W. System identification of Vessel Manoeuvring Models. Ocean. Eng. 2022, 266 Pt 4, 112940. [Google Scholar] [CrossRef]
  32. Zhang, M.; Kujala, P.; Musharraf, M.; Zhang, J.; Hirdaris, S. A machine learning method for the prediction of ship motion trajectories in real operational conditions. Ocean. Eng. 2023, 283, 114905. [Google Scholar] [CrossRef]
  33. Zhang, Z.; Zhang, Y.; Wang, J.; Wang, H. Parameter identification and application of ship maneuvering model based on TO-CSA. Ocean. Eng. 2022, 266 Pt 5, 113128. [Google Scholar] [CrossRef]
  34. Miller, A. Ship Model Identification with Genetic Algorithm Tuning. Appl. Sci. 2021, 11, 5504. [Google Scholar] [CrossRef]
  35. Boyd, S.; El Ghaoui, L.; Feron, E.; Balakrishnan, V. Linear Matrix Inequalities in System and Control Theory; Society for Industrial and Applied Mathematics: Philadelfia, PA, USA, 1994; ISBN 0-89871-334-X. [Google Scholar]
  36. Geromel, J.C. Differential Linear Matrix Inequalities. In Sampled-Data Systems Filtering and Control; Springer Nature: Berlin/Heidelberg, Germany, 2023; ISBN 978-3031297533. [Google Scholar]
  37. Lofberg, J. YALMIP: A toolbox for modeling and optimization in MATLAB. In Proceedings of the IEEE International Conference on Robotics and Automation (IEEE Cat. No. 04CH37508), Taipei, Taiwan, 26 April–1 May 2004; pp. 284–289. [Google Scholar] [CrossRef]
  38. Peaucelle, D.; Henrion, D.; Labit, Y.; Taitz, K. User’s Guide for SEDUMI INTERFACE 1.04, Toulouse, France. 2002. Available online: https://homepages.laas.fr/henrion/papers/sdmguide.pdf (accessed on 7 July 2023).
  39. Rybczak, M.; Gierusz, W. Maritime Autonomous Surface Ships in Use with LMI and Overriding Trajectory Controller. Appl. Sci. 2022, 12, 9927. [Google Scholar] [CrossRef]
  40. Rybczak, M.; Podgórski, K. Pareto Effect of LMI for Ship Propulsion. Appl. Sci. 2021, 11, 7297. [Google Scholar] [CrossRef]
  41. Fossen, T.I.; Breivik, M.; Skjetne, R. Line-of-sight path following of underactuated marine craft. IFAC Proc. Vol. 2003, 36, 211–216. [Google Scholar] [CrossRef]
  42. Gierusz, W.; Miller, A. Prediction control systems in marine applications. TransNav—Int. J. Mar. Navig. Saf. Sea Transp. 2020, 14, 361–366. [Google Scholar] [CrossRef]
  43. Tripicchio, P.; Unetti, M.; D’Avella, S.; Avizzano, C.A. Smooth Coverage Path Planning for UAVs with Model Predictive Control Trajectory Tracking. Electronics 2023, 12, 2310. [Google Scholar] [CrossRef]
  44. Miller, A. Model Predictive Ship’s Trajectory Tracking System based on Line of Sight method. Bull. Pol. Acad. Sci. Tech. Sci. 2023, e145763. [Google Scholar] [CrossRef]
  45. Tomera, M. Switching-Based Multi-Operational Control of Ship Motion; Akademicka Oficyna Wydawnicza EXIT: Warszawa, Poland, 2018; ISBN 978-83-7837-073-4. [Google Scholar]
  46. Chi, R.; Li, R.; Shen, D.; Hou, Z.; Huang, B. Enhanced P-Type Control: Indirect Adaptive Learning from Set-Point Updates. IEEE Trans. Autom. Control 2023, 68, 1600–1613. [Google Scholar] [CrossRef]
  47. Morari, M.; Zafiriou, E. Robust Process Control; PRT Prentice Hall: Upper Saddle River, NJ, USA, 1998; ISBN 0-13-782153-0. [Google Scholar]
  48. Tzeng, C.Y. An Internal Model Control Approach to the Design of Yaw-Rate-Control Ship-Steering Autopilot. IEEE J. Ocean. Eng. 1999, 24, 507–513. [Google Scholar] [CrossRef]
  49. Kula, K.S. Heading control system with limited turning radius based on IMC structure. In Proceedings of the 21th International Conference Methods and Models in Automation and Robotics (MMAR), Miedzyzdroje, Poland, 29 August–September 2016; pp. 134–139. [Google Scholar] [CrossRef]
  50. Gierusz, W.; Tomera, M. Logic thrust allocation applied to multivariable control of the training ship. Control Eng. Pract. 2006, 4, 511–524. [Google Scholar] [CrossRef]
Figure 1. Multi-layer structure of marine autonomous surface ship (MASS) group control system.
Figure 1. Multi-layer structure of marine autonomous surface ship (MASS) group control system.
Electronics 12 03299 g001
Figure 2. Example of determining the passage route using MPEA in the Gulf of Mexico in the presence of a hurricane.
Figure 2. Example of determining the passage route using MPEA in the Gulf of Mexico in the presence of a hurricane.
Electronics 12 03299 g002
Figure 3. Functional scheme for determining the MASS 0 safe trajectory using the DP-based algorithm: p*(V0*, ψ0*) is optimal trajectory; ps(V0s, ψ0s) is safe trajectory.
Figure 3. Functional scheme for determining the MASS 0 safe trajectory using the DP-based algorithm: p*(V0*, ψ0*) is optimal trajectory; ps(V0s, ψ0s) is safe trajectory.
Electronics 12 03299 g003
Figure 4. Navigational situation A presenting MASS 0 encounter with five target ships (MASS 1 to MASS 5) and the DP algorithm solution of this test case: (left)—initial positions of MASS objects; (right)—movement of MASS objects from pk−1 to pk and safe and optimal MASS 0 trajectory; t* is the optimal time of the trajectory.
Figure 4. Navigational situation A presenting MASS 0 encounter with five target ships (MASS 1 to MASS 5) and the DP algorithm solution of this test case: (left)—initial positions of MASS objects; (right)—movement of MASS objects from pk−1 to pk and safe and optimal MASS 0 trajectory; t* is the optimal time of the trajectory.
Electronics 12 03299 g004
Figure 5. Navigational situation B presenting MASS 0 encounter with five target ships (MASS 1 to MASS 7) and the DP algorithm solution of this test case: (left)—initial positions of MASS objects; (right)—movement of MASS objects from pk−1 to pk and safe and optimal MASS 0 trajectory; t* is the optimal time of the trajectory.
Figure 5. Navigational situation B presenting MASS 0 encounter with five target ships (MASS 1 to MASS 7) and the DP algorithm solution of this test case: (left)—initial positions of MASS objects; (right)—movement of MASS objects from pk−1 to pk and safe and optimal MASS 0 trajectory; t* is the optimal time of the trajectory.
Electronics 12 03299 g005
Figure 6. Functional scheme for determining the MASS 0 safe trajectory using the ACO-based algorithm: p*(V0*, ψ0*) is optimal trajectory; ps(V0s, ψ0s) is safe trajectory.
Figure 6. Functional scheme for determining the MASS 0 safe trajectory using the ACO-based algorithm: p*(V0*, ψ0*) is optimal trajectory; ps(V0s, ψ0s) is safe trajectory.
Electronics 12 03299 g006
Figure 7. Navigational situation presenting MASS 0 encounter with five target ships (MASS 1 to MASS 5) and the ACO algorithm solution of this test case: (left)—initial positions of MASS objects; (right)—movement of MASS objects from pk−1 to pk points and optimal MASS 0 trajectory.
Figure 7. Navigational situation presenting MASS 0 encounter with five target ships (MASS 1 to MASS 5) and the ACO algorithm solution of this test case: (left)—initial positions of MASS objects; (right)—movement of MASS objects from pk−1 to pk points and optimal MASS 0 trajectory.
Electronics 12 03299 g007
Figure 8. Navigational situation presenting MASS 0 encounter with seven target ships (MASS 1 to MASS 7) and the ACO algorithm solution of this test case: (left)—initial positions of MASS objects; (right)—movement of MASS objects from pk−1 to pk points and optimal MASS 0 trajectory.
Figure 8. Navigational situation presenting MASS 0 encounter with seven target ships (MASS 1 to MASS 7) and the ACO algorithm solution of this test case: (left)—initial positions of MASS objects; (right)—movement of MASS objects from pk−1 to pk points and optimal MASS 0 trajectory.
Electronics 12 03299 g008
Figure 9. Functional scheme for determining the MASS 0 safe trajectory using the fuzzy neural optimization FNO algorithm: p*(V0*, ψ0*) is optimal trajectory; ps(V0s, ψ0s) is safe trajectory.
Figure 9. Functional scheme for determining the MASS 0 safe trajectory using the fuzzy neural optimization FNO algorithm: p*(V0*, ψ0*) is optimal trajectory; ps(V0s, ψ0s) is safe trajectory.
Electronics 12 03299 g009
Figure 10. Navigational situation presenting MASS 0 encounter with five target ships (MASS 1 to MASS 5) and the FNO algorithm solution of this test case: (left)—initial positions of MASS objects; (right)—movement of MASS objects from pk−1 to pk points and optimal MASS 0 trajectory.
Figure 10. Navigational situation presenting MASS 0 encounter with five target ships (MASS 1 to MASS 5) and the FNO algorithm solution of this test case: (left)—initial positions of MASS objects; (right)—movement of MASS objects from pk−1 to pk points and optimal MASS 0 trajectory.
Electronics 12 03299 g010
Figure 11. Navigational situation presenting MASS 0 encounter with seven target ships (MASS 1 to MASS 7) and the FNO algorithm solution of this test case: (left)—initial positions of MASS objects; (right)—movement of MASS objects from pk−1 to pk points and optimal MASS 0 trajectory.
Figure 11. Navigational situation presenting MASS 0 encounter with seven target ships (MASS 1 to MASS 7) and the FNO algorithm solution of this test case: (left)—initial positions of MASS objects; (right)—movement of MASS objects from pk−1 to pk points and optimal MASS 0 trajectory.
Electronics 12 03299 g011
Figure 12. Comparison between test values of ship angular velocity output (dashed) and values predicted by identified, optimized model (a) for 5 s prediction horizon; (b) for 10 s prediction horizon; and (c) for 20 s prediction horizon.
Figure 12. Comparison between test values of ship angular velocity output (dashed) and values predicted by identified, optimized model (a) for 5 s prediction horizon; (b) for 10 s prediction horizon; and (c) for 20 s prediction horizon.
Electronics 12 03299 g012
Figure 13. System blocs for synthesis static state LMI controller: ps(V0s, ψ0s) is the safe trajectory of MASS 0; w(u, v, r) is set control vector; p0(X, Y, y) is MASS 0 position; p((Xm, Ym, ψm) is measured MASS 0 position; u0 is control signal.
Figure 13. System blocs for synthesis static state LMI controller: ps(V0s, ψ0s) is the safe trajectory of MASS 0; w(u, v, r) is set control vector; p0(X, Y, y) is MASS 0 position; p((Xm, Ym, ψm) is measured MASS 0 position; u0 is control signal.
Electronics 12 03299 g013
Figure 14. Ship trajectory for the DP algorithm. Values of set speed—dashed line, controlled—solid line.
Figure 14. Ship trajectory for the DP algorithm. Values of set speed—dashed line, controlled—solid line.
Electronics 12 03299 g014
Figure 15. Ship trajectory for the ACO algorithm. Values of set speed—dashed line, controlled—solid line.
Figure 15. Ship trajectory for the ACO algorithm. Values of set speed—dashed line, controlled—solid line.
Electronics 12 03299 g015aElectronics 12 03299 g015b
Figure 16. Predictive line-of-sight control principle.
Figure 16. Predictive line-of-sight control principle.
Electronics 12 03299 g016
Figure 17. Exemplary trajectory tracking results: p1, p2, p3, and p4 are MASS 0 return points on set path.
Figure 17. Exemplary trajectory tracking results: p1, p2, p3, and p4 are MASS 0 return points on set path.
Electronics 12 03299 g017
Figure 18. Measured value time courses: ye is cross-track error; dz is azipod angle of rotation; r is rotational speed.
Figure 18. Measured value time courses: ye is cross-track error; dz is azipod angle of rotation; r is rotational speed.
Electronics 12 03299 g018
Figure 19. Block diagram of switching-based multi-operational ship motion controller.
Figure 19. Block diagram of switching-based multi-operational ship motion controller.
Electronics 12 03299 g019
Figure 20. Principle of ship motion guidance in Mode 2 and Mode 3.
Figure 20. Principle of ship motion guidance in Mode 2 and Mode 3.
Electronics 12 03299 g020
Figure 21. Block diagram of the ship course control system.
Figure 21. Block diagram of the ship course control system.
Electronics 12 03299 g021
Figure 22. Course change maneuvers: (a)—course change from 90 to 220 degrees; (b)—course change to the waypoint; 1—simple course change; 2—course change with turn radius restricted to R > 120 m; 3—course change to the next waypoint using LOS approach.
Figure 22. Course change maneuvers: (a)—course change from 90 to 220 degrees; (b)—course change to the waypoint; 1—simple course change; 2—course change with turn radius restricted to R > 120 m; 3—course change to the next waypoint using LOS approach.
Electronics 12 03299 g022
Table 1. Input data of test case A where MASS 0 encounters five target ships.
Table 1. Input data of test case A where MASS 0 encounters five target ships.
Bearing Nj (°)Distance Dj (nm)Speed Vj (kn)Course ψj (°)
MASS 0--200
MASS 13268.810.590
MASS 23557.312.2180
MASS 3117.518200
MASS 4276.87.3270
MASS 535615.7275
Table 2. Input data of test case B where MASS 0 encounters seven target ships.
Table 2. Input data of test case B where MASS 0 encounters seven target ships.
Bearing Nj (°)Distance Dj (nm)Speed Vj (kn)Course ψj (°)
MASS 0--200
MASS 13268.813.590
MASS 2614.316.2180
MASS 3117.516200
MASS 42707.814.350
MASS 535615.7275
MASS 61088.17.96
MASS 732576.745
Table 3. Parameters of the object under test.
Table 3. Parameters of the object under test.
Length (m)Breadth (m)Displacement (t)Draught (m)Max Speed (m)
13.502.380.8622.831.59
Disclaimer/Publisher’s Note: The statements, opinions and data contained in all publications are solely those of the individual author(s) and contributor(s) and not of MDPI and/or the editor(s). MDPI and/or the editor(s) disclaim responsibility for any injury to people or property resulting from any ideas, methods, instructions or products referred to in the content.

Share and Cite

MDPI and ACS Style

Koznowski, W.; Kula, K.; Lazarowska, A.; Lisowski, J.; Miller, A.; Rak, A.; Rybczak, M.; Mohamed-Seghir, M.; Tomera, M. Research on Synthesis of Multi-Layer Intelligent System for Optimal and Safe Control of Marine Autonomous Object. Electronics 2023, 12, 3299. https://doi.org/10.3390/electronics12153299

AMA Style

Koznowski W, Kula K, Lazarowska A, Lisowski J, Miller A, Rak A, Rybczak M, Mohamed-Seghir M, Tomera M. Research on Synthesis of Multi-Layer Intelligent System for Optimal and Safe Control of Marine Autonomous Object. Electronics. 2023; 12(15):3299. https://doi.org/10.3390/electronics12153299

Chicago/Turabian Style

Koznowski, Wojciech, Krzysztof Kula, Agnieszka Lazarowska, Józef Lisowski, Anna Miller, Andrzej Rak, Monika Rybczak, Mostefa Mohamed-Seghir, and Mirosław Tomera. 2023. "Research on Synthesis of Multi-Layer Intelligent System for Optimal and Safe Control of Marine Autonomous Object" Electronics 12, no. 15: 3299. https://doi.org/10.3390/electronics12153299

APA Style

Koznowski, W., Kula, K., Lazarowska, A., Lisowski, J., Miller, A., Rak, A., Rybczak, M., Mohamed-Seghir, M., & Tomera, M. (2023). Research on Synthesis of Multi-Layer Intelligent System for Optimal and Safe Control of Marine Autonomous Object. Electronics, 12(15), 3299. https://doi.org/10.3390/electronics12153299

Note that from the first issue of 2016, this journal uses article numbers instead of page numbers. See further details here.

Article Metrics

Back to TopTop