Design and Implementation of Sigma-Delta ADC Filter
Abstract
1. Introduction
2. Sigma-Delta ADC Architecture
2.1. Sigma-Delta Modulator
2.2. Digital Decimation Filter
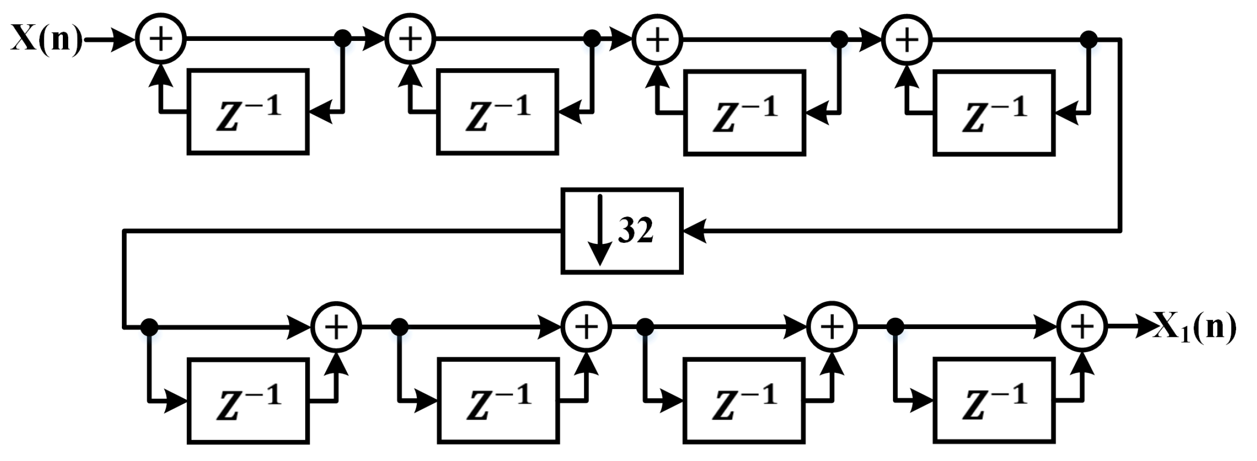
2.2.1. CIC Decimation Filter
2.2.2. FIR Compensation Filter
2.2.3. Half-Band Filter
3. RTL Level Implementation of the Digital Decimation Filter
4. FPGA Prototype Verification
5. Layout of the Digital Decimation Filter
6. Conclusions
Author Contributions
Funding
Data Availability Statement
Conflicts of Interest
References
- Javahernia, S.; Aghdam, E.N.; Torkzadeh, P. Anultra-low-power, 16 bits CT delta-sigma modulator using 4-bit asynchronous SAR quantizer for medical applications. J. Circuits Syst. Comput. 2020, 29, 2050056. [Google Scholar] [CrossRef]
- Warchall, J.; Theilmann, P.; Ouyang, Y.X. Robust biopotential acquisition via a distributed multichannel FM-ADC. IEEE Trans. Biomed. Circuits Syst. 2019, 13, 1229–1242. [Google Scholar] [CrossRef] [PubMed]
- Analog Devices. Available online: https://www.analog.com/media/en/technical-documentation/data-sheets/AD1871.pdf (accessed on 1 January 2020).
- Analog Devices. Available online: https://www.analog.com/media/en/technical-documentation/data-sheets/AD7703.pdf (accessed on 1 May 2019).
- Analog Devices. Available online: https://www.analog.com/media/en/technical-documentation/data-sheets/AD1555_1556.pdf (accessed on 1 January 2002).
- Texas Instruments. Available online: https://www.ti.com.cn/lit/ds/symlink/ads131m06.pdf (accessed on 1 February 2021).
- Texas Instruments. Available online: https://www.ti.com/lit/ds/symlink/pcm4220.pdf (accessed on 1 August 2009).
- Texas Instruments. Available online: https://www.ti.com/lit/ds/symlink/pcm1804.pdf (accessed on 1 October 2007).
- Martens, E. RF-to-baseband Digitization in 40 nm CMOS with RF Bandpass ∑-Δ Modulator and Polyphase Decimation Filter. IEEE-Solid-State Circuits 2012, 4, 990–1002. [Google Scholar] [CrossRef]
- Li, L.; Xu, C.; Zhang, Z. A 24-bit sigma-delta ADC with configurable chopping scheme. IEICE Electron. Express 2019, 16, 1–6. [Google Scholar] [CrossRef]
- Cutler, C.C. Transmission Systems Employing Quantization. U.S. Patent 2,927,962, 8 March 1960. [Google Scholar]
- Zhu, H.; Wu, X.; Yan, X. Low-power and hardware efficient decimation filters in Sigma-Delta A/D converters. In Proceedings of the 2005 IEEE Conference on Electron Devices and Solid-State Circuits, Howloon, Hong Kong, 19–21 December 2005; pp. 665–668. [Google Scholar]
- Kasha, D.B.; Lee, W.L.; Thomsen, A. A 16-mW, 120-dB linear switched-capacitor delta-sigma modulator with dynamic biasing. IEEE J. Solid-State Circuits 1999, 34, 921–926. [Google Scholar] [CrossRef]
- Yang, Y.Q.; Sculley, T. A single die 124 dB stereo audio delta sigma ADC with 111 dB THD. In Proceedings of the ESSCIRC 2007-33rd European Solid-State Circuits Conference, Munich, Germany, 11–13 September 2007; Volume 978, pp. 252–255. [Google Scholar]
- Candy, J.C.; Temes, G.C. Multi-bit oversampled Sigma-Delta AD converter with digital error correction. In Theory, Design, and Simulation; IEEE: Hoboken, NJ, USA, 1992; pp. 227–228. [Google Scholar] [CrossRef]
- Stosic, B.P.; Pavlovic, V.D. Design of new selective CIC decimation filter functions with passband-droop compensation. Electron. Lett. 2016, 52, 115–117. [Google Scholar] [CrossRef]
- Dolecek, G.J. Design of multiplierless comb compensators with magnitude response synthesized as sinewave functions. Facta Univ. Ser. Electron. Energet. 2020, 33, 1–14. [Google Scholar] [CrossRef]
- Eminaga, Y.; Coskun, A.; Kale, I. Two-path all-pass based half-band infinite impulse response decimation filters and the effects of their nonlinear phase response on ECG signal acquisition. Biomed. Signal Process. Control 2017, 31, 529–538. [Google Scholar] [CrossRef]
- Hasan, Y.M.; Karam, L.J.; Falkinburg, M.; Helwig, A.; Ronning, M. Canonic signed digit FIR filter design. In Proceedings of the Conference Record of the Thirty-Fourth Asilomar Conference on Signals, Systems and Computers, Pacific Grove, CA, USA, 29 October–1 November 2000; Volume 2, pp. 1653–1656. [Google Scholar] [CrossRef]
- Wang, D.; Wu, L.; Zhang, X.; Wu, X. A novel hardware Trojan design based on one-hot code. In Proceedings of the 2018 6th International Symposium on Digital Forensic and Security (ISDFS), Antalya, Turkey, 22–25 March 2018; pp. 1–5. [Google Scholar] [CrossRef]











| Ref. | Chip Model | Architecture | ENOB | Sampling Rate | SNR | Power |
|---|---|---|---|---|---|---|
| 3 | AD1871 | Sigma-Delta | 24 | 96 KHz | 105 dB | 368.5 mW |
| 4 | AD7703 | Sigma-Delta | 20 | 4 KHz | 90 dB | 37 mW |
| 5 | AD1556 | Sigma-Delta | 24 | 16 KHz | 120 dB | 20 mW |
| 6 | ADS131M06 | Sigma-Delta | 24 | 32 KHz | 102 dB | 16.7 mW |
| 7 | PCM4220 | Sigma-Delta | 24 | 216 KHz | 123 dB | 340 mW |
| 8 | PCM1804 | Sigma-Delta | 24 | 192 KHz | 111 dB | 225 mW |
| This work | Sigma-Delta | 20 | 48 KHz | 113 dB | 11.2 mW | |
Publisher’s Note: MDPI stays neutral with regard to jurisdictional claims in published maps and institutional affiliations. |
© 2022 by the authors. Licensee MDPI, Basel, Switzerland. This article is an open access article distributed under the terms and conditions of the Creative Commons Attribution (CC BY) license (https://creativecommons.org/licenses/by/4.0/).
Share and Cite
Wan, R.; Li, Y.; Tian, C.; Yang, F.; Deng, W.; Tang, S.; Wang, J.; Zhang, W. Design and Implementation of Sigma-Delta ADC Filter. Electronics 2022, 11, 4229. https://doi.org/10.3390/electronics11244229
Wan R, Li Y, Tian C, Yang F, Deng W, Tang S, Wang J, Zhang W. Design and Implementation of Sigma-Delta ADC Filter. Electronics. 2022; 11(24):4229. https://doi.org/10.3390/electronics11244229
Chicago/Turabian StyleWan, Renzhuo, Yuandong Li, Chengde Tian, Fan Yang, Wendi Deng, Siyu Tang, Jun Wang, and Wei Zhang. 2022. "Design and Implementation of Sigma-Delta ADC Filter" Electronics 11, no. 24: 4229. https://doi.org/10.3390/electronics11244229
APA StyleWan, R., Li, Y., Tian, C., Yang, F., Deng, W., Tang, S., Wang, J., & Zhang, W. (2022). Design and Implementation of Sigma-Delta ADC Filter. Electronics, 11(24), 4229. https://doi.org/10.3390/electronics11244229
