Evaluation of Electric Dynamic Performance of an Electric Vehicle System Using Different Control Techniques
Abstract
:1. Introduction
- The paper analyzes the EV electric dynamics under different control techniques, mainly direct torque control (DTC), model predictive direct torque control (MP DTC), and predictive voltage control (PVC) techniques;
- The theoretical base of each control technique applied to the EV system is presented and discussed in detail to facilitate the complete system study;
- The presented performance analysis outlines the strength and weakness of each applied control technique;
- A detailed comparative study between different control approaches is performed to identify the best IM drive control technique for better EV dynamic behavior.
2. Dynamic Model of EV System
2.1. Mathematical Model of Electric Vehicle
2.1.1. The Aerodynamic Drag Force
2.1.2. The Rolling Resistance Force
2.1.3. The Slope Force
2.1.4. The Bearing Friction Force
2.1.5. The Acceleration Force
2.1.6. The Tractive Force
2.2. Mathematical Model of Induction Motor
2.3. Voltage Source Inverter Model
2.4. Dynamic Model of the Battery Stack
3. Control Topologies
3.1. Direct Torque Control (DTC)
3.1.1. Implementation of DTC
3.1.2. DTC Scheme
3.2. Model Predictive Direct Torque Control (MP DTC)
3.2.1. Implementing MP DTC on IMs in EV Systems
3.2.2. Digital Implementation of MP DTC
3.3. Predictive Voltage Control (PVC)
3.3.1. Implementation of PVC
3.3.2. Implementation of PVC
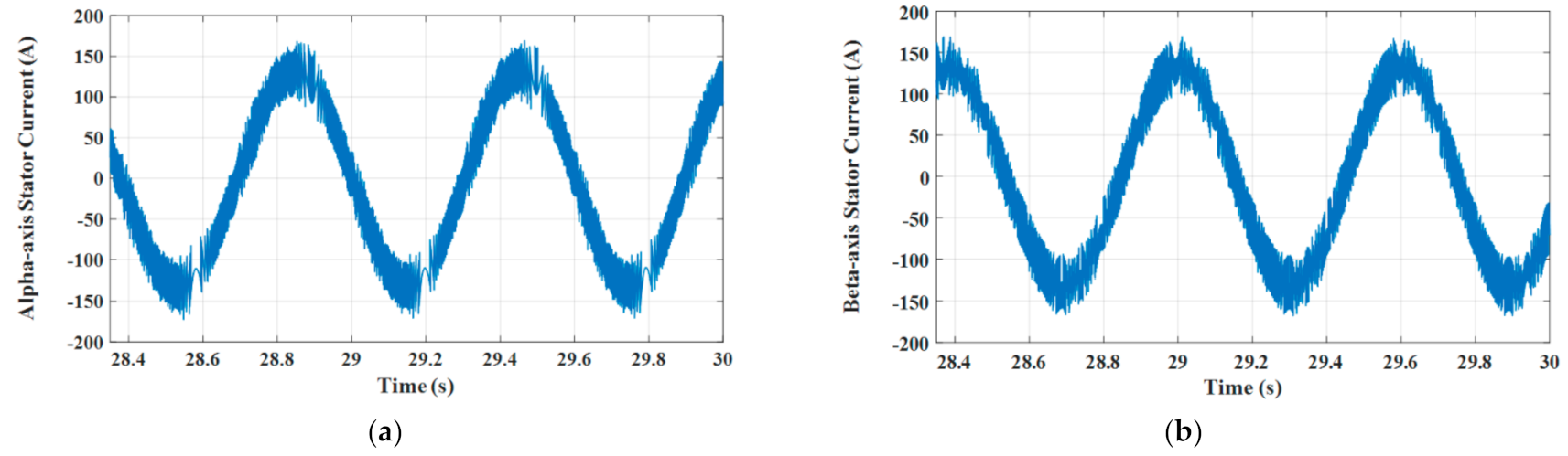
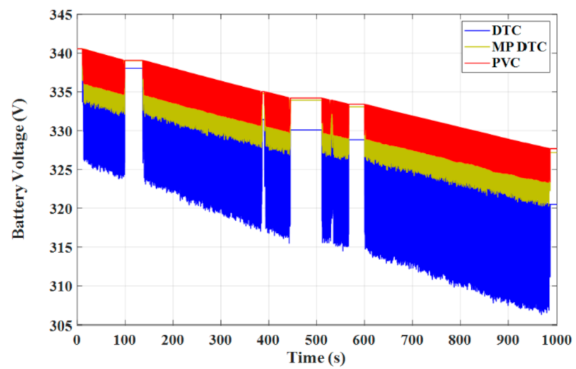
4. Test Results
4.1. Test Results under the DTC Technique
4.2. Test Results under the MP DTC Technique
4.3. Test Results under PVC Technique
4.4. Comparison between Different Control Techniques
5. Conclusions
- The theoretical base of the DTC, MP DTC and PVC control techniques applied to an EV system were presented;
- A comparative study between the control techniques was presented to set the best IM drive technique;
- The dynamic performance of an IM as a part of an EV under the DTC approach was plagued by excessive ripples in both torque and flux, slow dynamic performance, and bad speed deviation;
- The advantages of the PVC are illustrated in the concepts of lower torque and flux ripples, lower speed deviation, lower THD in stator currents, faster dynamic response, smaller battery stack terminal voltage variation, and lower consumption of battery power, reporting a longer distance that can be travelled by the EV under the PVC compared to both the MP DTC and DTC.
Author Contributions
Funding
Data Availability Statement
Conflicts of Interest
Nomenclature
| Aerodynamics drag force | IM rotor side resistance | ||
| Rolling resistance force | IM rotor side inductance | ||
| Force due to the slope | IM rotor voltage vector | ||
| Force due to the bearing friction | IM rotor current vector | ||
| Acceleration force | IM rotor flux vector | ||
| Mass of the vehicle | IM number of pair poles | ||
| Vehicle speed | IM rotor angular speed | ||
| Angle of the slope | IM angular speed of the arbitrary reference frame | ||
| Tractive force | Battery open circuit voltage | ||
| Air density | Battery constant voltage (V) | ||
| Aerodynamic drag coefficient | Battery polarization constant (V) | ||
| Frontal area of the vehicle | Battery capacity (Ah) | ||
| Wind speed on the vehicle’s moving direction | Battery discharging current | ||
| Coefficient of rolling resistance | Battery exponential zone amplitude (V) | ||
| Gravity acceleration | Battery exponential zone time constant inverse () | ||
| Bearing friction coefficient | Internal resistance of the battery | ||
| Vehicle wheel radius | The inverter output voltage applied to the motor | ||
| Rotation speed of the vehicle’s wheel | IM α-axis stator flux | ||
| Equivalent mass of the vehicle | IM α-axis stator voltage | ||
| Wheel inertia | IM α-axis stator current | ||
| Total angular inertia | IM β -axis stator flux | ||
| Total rotating inertia | IM β -axis stator voltage | ||
| , | The gear ratios of transmission and final drive | IM β -axis stator current | |
| IM stator resistance | IM direct component of the stator flux in synchronous reference frame | ||
| IM stator inductance | IM quadrature component of the stator flux in synchronous reference frame | ||
| IM stator voltage vector | IM direct component of the rotor current in synchronous reference frame | ||
| IM stator current vector | IM quadrature component of the rotor current in synchronous reference frame | ||
| IM stator flux vector |
Appendix A
| Parameter | Symbol | Value |
|---|---|---|
| Vehicle mass | 1645 kg | |
| Wheel radius | 0.315 m | |
| Rolling resistance coefficient | 0.0083 | |
| Air density | ρ | 1.225 kg/m3 |
| Aerodynamic coefficient | 0.46 | |
| Gear box efficiency | 0.96 | |
| Gear box ratio | G | 10 |
| Wind speed | 10 m/s | |
| Front area | 3 m2 | |
| Gravity | g | 9.81 m2 |
| Bearing friction coefficient | 0.001 | |
| Gradient slope | 5 degrees |
| Parameter | Value |
|---|---|
| Rated power | 215 hp |
| Rated voltage | 400 V |
| Frequency | 50 Hz |
| Pole pairs | 2 |
| Base speed | 1487 rpm |
| 0.01379 Ω | |
| 0.007728 Ω | |
| 7.842 mH | |
| 7.842 mH | |
| 7.69 mH | |
| Rated torque | 1027 N.m |
| Rated flux | 1 wb |
| Inertia J | 2.9 kg.m2 |
| Parameter | Symbol | Value |
|---|---|---|
| Battery constant voltage | 280 V | |
| Battery polarization constant | 0.05 V | |
| Battery capacity | 50 Ah | |
| Battery exponential zone amplitude | 60.6 V | |
| Battery exponential zone timeconstant inverse | ||
| Internal resistance of the battery | 0.097 Ω |
| Parameter | Value |
|---|---|
| Sampling period | 100 µs |
| Speed controller proportional gain () | 257.6 |
| Speed controller integral gain () | 22,890 |
| Reference flux | 1 wb |
| IM torque limits | Nm |
| DTC two level hysteresis flux comparator bands | wb |
| DTC three level hysteresis torque comparator bands | () Nm |
| (Weighting factor) of MP DTC for IM drive | 2300 |
References
- Chan, C.C.; Bouscayrol, A.; Chen, K.Y. Electric, Hybrid, and Fuel-Cell Vehicles: Architectures and Modeling. IEEE Trans. Veh. Technol. 2010, 59, 589–598. (In English) [Google Scholar] [CrossRef]
- Neacsu, D.O.; Rajashekara, K. Comparative analysis of torque-controlled IM drives with applications in electric and hybrid vehicles. IEEE Trans. Power Electron. 2001, 16, 240–247. (In English) [Google Scholar] [CrossRef]
- Singh, B.; Jain, P.; Mittal, A.; Gupta, J. Speed sensorless electric vehicle propulsion system using DTC IM drive. In Proceedings of the IEEE 2006 India International Conference on Power Electronics, Chennai, India, 19–21 December 2006; pp. 7–11. [Google Scholar]
- Trzynadlowski, A.M. 4—Power electronic converters for induction motor drives. In Control of Induction Motors; Trzynadlowski, A.M., Ed.; Academic Press: San Diego, CA, USA, 2001; pp. 55–92. [Google Scholar]
- Wang, Y.; Zhao, K.Q. Field-oriented vector control of induction motor for electric vehicles. In Proceedings of the Iecon 2005: Thirty-First Annual Conference of the IEEE Industrial Electronics Society, Raleigh, NC, USA, 6–10 November 2005; Franquelo, L.G., Malinowski, A., Chow, M.Y., Hess, H.L., Eds.; IEEE Industrial Electronics Society: New York, NY, USA, 2005; Volumes 1–3, pp. 1610–1614. [Google Scholar]
- Öztürk, T.; Aktaş, M. Research on Control Strategy and Energy Consumption for Electric Vehicles. IFAC Proc. Vol. 2013, 46, 444–449. [Google Scholar] [CrossRef]
- Qinglong, W.; Changzhou, Y.; Shuying, Y. Indirect Field Oriented Control Technology for Asynchronous Motor of Electric Vehicle. In Proceedings of the 2020 IEEE International Conference on Power, Intelligent Computing and Systems (ICPICS), Shenyang, China, 28–30 July 2020; pp. 673–677. [Google Scholar]
- Takahashi, I.; Noguchi, T. A New Quick-Response and High-Efficiency Control Strategy of an Induction Motor. IEEE Trans. Ind. Appl. 1986, IA-22, 820–827. (In English) [Google Scholar] [CrossRef]
- Jun-Koo, K.; Seung-Ki, S. New direct torque control of induction motor for minimum torque ripple and constant switching frequency. IEEE Trans. Ind. Appl. 1999, 35, 1076–1082. (In English) [Google Scholar] [CrossRef]
- Khoucha, F.; Marouani, K.; Kheloui, A.; Benbouzid, M. A minimization of speed ripple of sensorless DTC for controlled induction motors used in electric vehicles. In Proceedings of the IEEE IECON 2006-32nd Annual Conference on IEEE Industrial Electronics, Paris, France, 7–10 November 2006; pp. 1339–1344. [Google Scholar]
- Lascu, C.; Boldea, I.; Blaabjerg, F. Variable-Structure Direct Torque Control—A Class of Fast and Robust Controllers for Induction Machine Drives. IEEE Trans. Ind. Electron. 2004, 51, 785–792. (In English) [Google Scholar] [CrossRef]
- Raj, A.; Sharma, R. Improved Direct Torque Control for Induction Motor in Electric Vehicle Application. In Proceedings of the 2018 IEEE 8th Power India International Conference (PIICON), Kurukshetra, India, 10–12 December 2018; pp. 1–5. [Google Scholar]
- Haddoun, A.; Benbouzid, M.; Diallo, D.; Abdessemed, R.; Ghouili, J.; Srairi, K. Comparative analysis of control techniques for efficiency improvement in electric vehicles. In Proceedings of the 2007 IEEE Vehicle Power and Propulsion Conference, Arlington, TX, USA, 9–12 September 2007; pp. 629–634. [Google Scholar]
- Tang, Q.; Ge, X.; Liu, Y.-C.; Hou, M. Improved switching-table-based DTC strategy for the post-fault three-level NPC inverter-fed induction motor drives. IET Electr. Power Appl. 2018, 12, 71–80. [Google Scholar] [CrossRef]
- Wu, X.; Huang, W.; Lin, X.; Jiang, W.; Zhao, Y.; Zhu, S. Direct Torque Control for Induction Motors Based on Minimum Voltage Vector Error. IEEE Trans. Ind. Electron. 2021, 68, 3794–3804. [Google Scholar] [CrossRef]
- Zhang, Y.; Xia, B.; Yang, H.; Rodriguez, J. Overview of model predictive control for induction motor drives. Chin. J. Electr. Eng. 2016, 2, 62–76. [Google Scholar]
- Rodriguez, J.; Cortes, P. Predictive Control of Power Converters and Electrical Drives; John Wiley & Sons: Hoboken, NJ, USA, 2012. [Google Scholar]
- Wang, F.; Li, S.; Mei, X.; Xie, W.; Rodríguez, J.; Kennel, R.M. Model-Based Predictive Direct Control Strategies for Electrical Drives: An Experimental Evaluation of PTC and PCC Methods. IEEE Trans. Ind. Inform. 2015, 11, 671–681. [Google Scholar] [CrossRef]
- Mamdouh, M.; Abido, M.A. Efficient Predictive Torque Control for Induction Motor Drive. IEEE Trans. Ind. Electron. 2019, 66, 6757–6767. [Google Scholar] [CrossRef]
- Su, J.; Gao, R.; Husain, I. Model Predictive Control Based Field-Weakening Strategy for Traction EV Used Induction Motor. IEEE Trans. Ind. Appl. 2018, 54, 2295–2305. [Google Scholar] [CrossRef]
- Zhang, Y.; Yang, H. Model Predictive Torque Control of Induction Motor Drives With Optimal Duty Cycle Control. IEEE Trans. Power Electron. 2014, 29, 6593–6603. [Google Scholar] [CrossRef]
- Mossa, M.A.; Bolognani, S. Model Predictive Phase Angle Control for an Induction Motor Drive. In Proceedings of the IEEE 2018 Twentieth International Middle East Power Systems Conference (MEPCON), Cairo, Egypt, 18–20 December 2018; pp. 128–134. [Google Scholar]
- Ahmed, A.A.; Koh, B.K.; Lee, Y.I. Torque Control of Induction Motors with Minimal Ripples Based on Continuous Control Set-MPC in a Wide Speed Range. In Proceedings of the 2017 IEEE Vehicle Power and Propulsion Conference (VPPC), Belfort, France, 11–14 December 2017; pp. 1–6. [Google Scholar]
- Lakhimsetty, S.; Somasekhar, V.T. A Four-Level Open-End Winding Induction Motor Drive With a Nested Rectifier–Inverter Combination With Two DC Power Supplies. IEEE Trans. Power Electron. 2019, 34, 8894–8904. [Google Scholar] [CrossRef]
- Xia, C.; Liu, T.; Shi, T.; Song, Z. A Simplified Finite-Control-Set Model-Predictive Control for Power Converters. IEEE Trans. Ind. Inform. 2014, 10, 991–1002. [Google Scholar]
- Siami, M.; Khaburi, D.A.; Rodriguez, J. Simplified Finite Control Set-Model Predictive Control for Matrix Converter-Fed PMSM Drives. IEEE Trans. Power Electron. 2018, 33, 2438–2446. [Google Scholar] [CrossRef]
- Mossa, M.A.; Kamel, O.M.; Bolognani, S. Explicit Predictive Voltage Control for an Induction Motor Drive. In Proceedings of the IEEE 2019 21st International Middle East Power Systems Conference (MEPCON), Cairo, Egypt, 17–19 December 2019; pp. 258–264. [Google Scholar]
- Mossa, M.A.; Echeikh, H.; Quynh, N.V. A Novel Sensorless Predictive Voltage Control for an Induction Motor Drive Based on a Back-Stepping Observer-Experimental Validation. IEEE Access 2021, 9, 11921–11942. [Google Scholar] [CrossRef]
- Mossa, M.A.; Quynh, N.V.; Echeikh, H.; Do, T.D. Deadbeat-Based Model Predictive Voltage Control for a Sensorless Five-Phase Induction Motor Drive. Math. Probl. Eng. 2020, 2020, 4164526. [Google Scholar] [CrossRef]
- Mossa, M.A.; Do, T.D.; Al-Sumaiti, A.S.; Quynh, N.V.; Diab, A.A.Z. Effective Model Predictive Voltage Control for a Sensorless Doubly Fed Induction Generator. IEEE Can. J. Electr. Comput. Eng. 2021, 44, 50–64. [Google Scholar] [CrossRef]
- Lekshmi, S.; PS, L.P. Mathematical modeling of Electric vehicles—A survey. Control. Eng. Pract. 2019, 92, 104138. [Google Scholar]
- Nam, K.H. AC Motor Control and Electrical Vehicle Applications; CRC Press: Boca Raton, FL, USA, 2018. [Google Scholar]
- Massey, S. Modeling, simulation and control of hybrid electric vehicle drive while minimizing energy input requirements using optimized gear ratios. Master’s Thesis, Michigan Technological University, Houghton, MI, USA, 2016. [Google Scholar] [CrossRef]
- Larminie, J.; Lowry, J. Electric Vehicle Technology Explained, 2nd ed.; John Wiley & Sons: Hoboken, NJ, USA, 2012. [Google Scholar]
- Fajri, P.; Prabhala, V.A.K.; Ferdowsi, M. Emulating On-Road Operating Conditions for Electric-Drive Propulsion Systems. IEEE Trans. Energy Convers. 2016, 31, 1–11. [Google Scholar] [CrossRef]
- Ehsani, M.; Gao, Y.; Longo, S.; Ebrahimi, K. Modern Electric, Hybrid Electric, and Fuel Cell Vehicles; CRC Press: Boca Raton, FL, USA, 2018. [Google Scholar]
- Silva, M.; Goncalves, A.P.; Marques, J.; Sousa, J.; Nunes, U. Modelling an electric vehicle powertrain on bench. In Proceedings of the 2014 IEEE Vehicle Power and Propulsion Conference (VPPC), Coimbra, Portugal, 27–30 October 2014; pp. 1–6. [Google Scholar]
- Tremblay, O.; Dessaint, L.-A. Experimental Validation of a Battery Dynamic Model for EV Applications. World Electr. Veh. J. 2009, 3, 289–298. [Google Scholar] [CrossRef] [Green Version]
- Quintero-Montenegro, A.M.; Mendoza-Grosso, C.C.; Santamaría, F.; Alarcón-Villamil, J.A.J.D. Dynamic consumption representation of electric vehicles based on battery capacity. DYNA 2018, 85, 177–184. [Google Scholar] [CrossRef]
- Tsokolis, D.; Tsiakmakis, S.; Dimaratos, A.; Fontaras, G.; Pistikopoulos, P.; Ciuffo, B.; Samaras, Z. Fuel consumption and CO2 emissions of passenger cars over the New Worldwide Harmonized Test Protocol. Appl. Energy 2016, 179, 1152–1165. [Google Scholar] [CrossRef]
- Abu-Rub, H.; Iqbal, A.; Guzinski, J. High Performance Control of AC Drives with MATLAB/Simulink Models; John Wiley & Sons: Hoboken, NJ, USA, 2012. [Google Scholar]
- Ahmad, M. High Performance AC Drives: Modelling Analysis and Control; Springer Science & Business Media: Berlin/Heidelberg, Germany, 2010. [Google Scholar]
- Okumus, H.I.; Aktas, M. Direct torque control of induction machine drives using adaptive hysteresis band for constant switching frequency. In Proceedings of the 2007 IEEE International Electric Machines & Drives Conference, Antalya, Turkey, 3–5 May 2007; Volume 2, pp. 1762–1767. [Google Scholar]
- Mohan, N. Advanced Electric Drives: Analysis, Control, and Modeling Using MATLAB/Simulink; John Wiley & Sons: Hoboken, NJ, USA, 2014. [Google Scholar]
- Hu, H.; Zhu, J.; Guo, Y. Model predictive control of permanent magnet synchronous machine with reduced torque ripple. In Proceedings of the IEEE 2013 International Conference on Electrical Machines and Systems (ICEMS), Busan, Korea, 26–29 October 2013; pp. 1478–1482. [Google Scholar]
- Mossa, M.A.; Bolognani, S. A new formulation of model predictive direct torque control for a sensorless IM drive. In Proceedings of the IEEE 2017 Nineteenth International Middle East Power Systems Conference (MEPCON), Cairo, Egypt, 19–21 December 2017; pp. 664–670. [Google Scholar]
- Mossa, M.A.; Bolognani, S. Effective model predictive direct torque control for an induction motor drive. In Proceedings of the IEEE 2016 International Symposium on Power Electronics, Electrical Drives, Automation and Motion (SPEEDAM), Capri, Italy, 22–24 June 2016; pp. 746–754. [Google Scholar]
















































| Voltage Sector | |||
|---|---|---|---|
| 0 | 0 | 0 | |
| 1 | 0 | 0 | |
| 0 | 1 | 0 | |
| 1 | 1 | 0 | |
| 0 | 0 | 1 | |
| 1 | 0 | 1 | |
| 0 | 1 | 1 | |
| 1 | 1 | 1 |
| DTC | MP DTC | PVC | |
|---|---|---|---|
| Stator flux ripple |
| DTC | MP DTC | PVC | |
|---|---|---|---|
| THD of alpha-axis component of the stator current | 4.22% | 0.84% | 0.5% |
| THD of beta-axis component of the stator current | 3.74% | 1.09% | 0.63% |
Publisher’s Note: MDPI stays neutral with regard to jurisdictional claims in published maps and institutional affiliations. |
© 2021 by the authors. Licensee MDPI, Basel, Switzerland. This article is an open access article distributed under the terms and conditions of the Creative Commons Attribution (CC BY) license (https://creativecommons.org/licenses/by/4.0/).
Share and Cite
Hassan, M.R.M.; Mossa, M.A.; Dousoky, G.M. Evaluation of Electric Dynamic Performance of an Electric Vehicle System Using Different Control Techniques. Electronics 2021, 10, 2586. https://doi.org/10.3390/electronics10212586
Hassan MRM, Mossa MA, Dousoky GM. Evaluation of Electric Dynamic Performance of an Electric Vehicle System Using Different Control Techniques. Electronics. 2021; 10(21):2586. https://doi.org/10.3390/electronics10212586
Chicago/Turabian StyleHassan, Mohamed R. M., Mahmoud A. Mossa, and Gamal M. Dousoky. 2021. "Evaluation of Electric Dynamic Performance of an Electric Vehicle System Using Different Control Techniques" Electronics 10, no. 21: 2586. https://doi.org/10.3390/electronics10212586
APA StyleHassan, M. R. M., Mossa, M. A., & Dousoky, G. M. (2021). Evaluation of Electric Dynamic Performance of an Electric Vehicle System Using Different Control Techniques. Electronics, 10(21), 2586. https://doi.org/10.3390/electronics10212586

