State of Health Prediction of Lithium-Ion Batteries Based on the Discharge Voltage and Temperature
Abstract
:1. Introduction
2. Feature Extraction and Analysis Based on Discharge Curves
2.1. The Definition of SOH
2.2. Experiment Data
2.3. Feature Extraction Based on Discharging Curves
- (1)
- TIEDVD: From Figure 2a, we can see that the time of different cycles in the same voltage interval is different. As the cycle of battery charge and discharge increases, the voltage drop rate is different. Taking the 150th cycle as an example, t1(150) corresponds to the time when the battery voltage reaches 3V, t2(150) corresponds to the time when the battery voltage reaches 3.8V, and TIEDVD is equal to t1–t2. The result is shown in Figure 3a,we can see that TIEDVD is consistent with the capacity change trend and local fluctuations.
- (2)
- TIEDTD: During the time of voltage change, we also analyze the temperature change during this period. T1(150) is the point corresponding to t1(150), T2(150) is the point corresponding to t2(150), and TIEDTD is equal to T2–T1. From Figure 2b, we can see that temperature change simultaneously is not the same. So, we extract the temperature change within the same time as other HI. The normalized HIs are shown in Figure 3b, while TIEDTD and the capacity change trend show the opposite trend in this paper.
2.4. Feature Analysis Based on Pearson and Spearman
3. Methodologies
3.1. MKRVM
3.2. PSO
- Step 1.
- Initialize the particle swarm position and speed.
- Step 2.
- Calculate the fitness value of each particle.
- Step 3.
- Compare the current position of each particle with the historical optimal position fitness, and the optimal position is regarded as the individual optimal position.
- Step 4.
- Compare the optimal position of each particle with the optimal individual position in the group, and the optimal position is obtained as the global optimal position.
- Step 5.
- Update particle speed and position.
3.3. SOH Prediction Based on the PSO-MKRVM
- (1)
- Feature extraction: TIEDVD and TIEDTD are extracted from the discharge data of the lithium-ion battery, .
- (2)
- Calculation of the SOH of the battery: .
- (3)
- Division of the dataset: Divide the dataset into the training set and test set, set the prediction starting point to ; then, the training set input is , the corresponding target variable is , and the test set can be described as , .
- (4)
- Training process: Establish a PSO-MKRVM model and get the optimized weight values. This part detail has been shown in Section 3.1 and Section 3.2.
- (5)
- Prediction process: Use the optimized weights to construct a prediction model; the data of the test set in the model for prediction is shown in Equation (14).
- (6)
- Evaluation of prediction results.
3.4. Evaluation Indicators
4. Numerical Experiments and Results Analysis
4.1. SOH Prediction at Same Starting Points for Different HIs
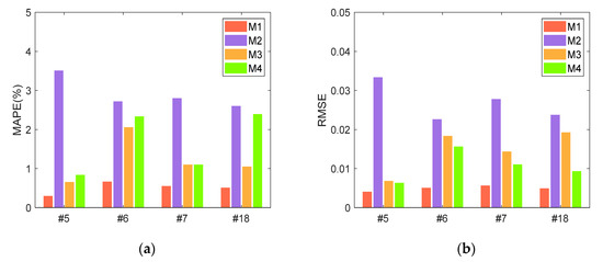
4.2. SOH Prediction at Same Starting Points for Different Models
4.3. SOH Prediction at Different Starting Points for the Same Model
5. Conclusions
Author Contributions
Funding
Data Availability Statement
Acknowledgments
Conflicts of Interest
References
- Wang, C.S.; Lu, N.Y.; Wang, S.L.; Cheng, Y.H.; Jiang, B. Dynamic Long Short-Term Memory Neural-Network-Based Indirect Remaining-Useful-Life Prognosis for Satellite Lithium-Ion Battery. Appl. Sci. 2018, 8, 2078. [Google Scholar] [CrossRef] [Green Version]
- Hu, C.; Ye, H.; Jain, G.; Schmidt, C. Remaining useful life assessment of lithium-ion batteries in implantable medical devices. J. Power Sources 2018, 375, 118–130. [Google Scholar] [CrossRef]
- Ungurean, L.; Carstoiu, G.; Micea, M.V.; Groza, V. Battery state of health estimation: A structured review of models, methods and commercial devices. Int. J. Energy Res. 2017, 41, 151–181. [Google Scholar] [CrossRef]
- Zhou, Y.P.; Huang, M.H. Lithium-ion batteries remaining useful life prediction based on a mixture of empirical mode decomposition and ARIMA model. Microelectron. Reliab. 2016, 65, 265–273. [Google Scholar] [CrossRef]
- Wu, L.F.; Fu, X.H.; Guan, Y. Review of the Remaining Useful Life Prognostics of Vehicle Lithium-Ion Batteries Using Data-Driven Methodologies. Appl. Sci. 2016, 6, 166. [Google Scholar] [CrossRef] [Green Version]
- Mosallam, A.; Medjaher, K.; Zerhouni, N. Data-driven prognostic method based on Bayesian approaches for direct remaining useful life prediction. J. Intell. Manuf. 2016, 27, 1037–1048. [Google Scholar] [CrossRef]
- Liao, L.X.; Kottig, F. Review of Hybrid Prognostics Approaches for Remaining Useful Life Prediction of Engineered Systems, and an Application to Battery Life Prediction. IEEE Trans. Reliab. 2014, 63, 191–207. [Google Scholar] [CrossRef]
- Hu, X.; Li, S.; Peng, H. A comparative study of equivalent circuit models for Li-ion batteries. J. Power Sources 2012, 198, 359–367. [Google Scholar] [CrossRef]
- Zhang, L.; Zhongqiang, M.; Sun, C.-Y. Remaining Useful Life Prediction for Lithium-Ion Batteries Based on Exponential Model and Particle Filter. IEEE Access 2018, 6, 17729–17740. [Google Scholar] [CrossRef]
- Lyu, C.; Lai, Q.Z.; Ge, T.F.; Yu, H.H.; Wang, L.X.; Ma, N. A lead-acid battery’s remaining useful life prediction by using electrochemical model in the Particle Filtering, framework. Energy 2017, 120, 975–984. [Google Scholar] [CrossRef]
- Liu, J.; Chen, Z.Q. Remaining Useful Life Prediction of Lithium-Ion Batteries Based on Health Indicator and Gaussian Process Regression Model. IEEE Access 2019, 7, 39474–39484. [Google Scholar] [CrossRef]
- Li, L.L.; Wang, P.C.; Chao, K.H.; Zhou, Y.T.; Xie, Y. Remaining Useful Life Prediction for Lithium-Ion Batteries Based on Gaussian Processes Mixture. PLoS ONE 2016, 11, e0163004. [Google Scholar] [CrossRef] [Green Version]
- Liu, H.P.; Wu, J.J.; Ye, X.; Liao, T.J.; Chen, M.L. A method based on Dempster-Shafer theory and support vector regression-particle filter for remaining useful life prediction of crusher roller sleeve. Mech. Ind. 2019, 20, 106. [Google Scholar] [CrossRef]
- Yang, W.A.; Xiao, M.H.; Zhou, W.; Guo, Y.; Liao, W.H. A Hybrid Prognostic Approach for Remaining Useful Life Prediction of Lithium-Ion Batteries. Shock Vib. 2016, 2016, 3838765. [Google Scholar] [CrossRef] [Green Version]
- Liu, D.T.; Zhou, J.B.; Pan, D.W.; Peng, Y.; Peng, X.Y. Lithium-ion battery remaining useful life estimation with an optimized Relevance Vector Machine algorithm with incremental learning. Measurement 2015, 63, 143–151. [Google Scholar] [CrossRef]
- Zhang, Y.Z.; Xiong, R.; He, H.W.; Pecht, M.G. Long Short-Term Memory Recurrent Neural Network for Remaining Useful Life Prediction of Lithium-Ion Batteries. IEEE Trans. Veh. Technol. 2018, 67, 5695–5705. [Google Scholar] [CrossRef]
- Xia, T.B.; Song, Y.; Zheng, Y.; Pan, E.S.; Xi, L.F. An ensemble framework based on convolutional bi-directional LSTM with multiple time windows for remaining useful life estimation. Comput. Ind. 2020, 115, 103182. [Google Scholar] [CrossRef]
- Qu, J.T.; Liu, F.; Ma, Y.X.; Fan, J.M. A Neural-Network-Based Method for RUL Prediction and SOH Monitoring of Lithium-Ion Battery. IEEE Access 2019, 7, 87178–87191. [Google Scholar] [CrossRef]
- Qin, T.; Zeng, S.; Guo, J. Robust prognostics for state of health estimation of lithium-ion batteries based on an improved PSO–SVR model. Microelectron. Reliab. 2015, 55, 1280–1284. [Google Scholar] [CrossRef]
- Zhao, Q.; Qin, X.L.; Zhao, H.B.; Feng, W.Q. A novel prediction method based on the support vector regression for the remaining useful life of lithium-ion batteries. Microelectron. Reliab. 2018, 85, 99–108. [Google Scholar] [CrossRef]
- Widodo, A.; Shim, M.-C.; Caesarendra, W.; Yang, B.-S. Intelligent prognostics for battery health monitoring based on sample entropy. Expert Syst. Appl. 2011, 38, 11763–11769. [Google Scholar] [CrossRef]
- Liu, S.X.; Zhou, Y.F.; Liu, Y.L.; Lian, J.; Huang, L.J. A Method for Battery Health Estimation Based on Charging Time Segment. Energies 2021, 14, 2612. [Google Scholar] [CrossRef]
- Yang, D.; Zhang, X.; Pan, R.; Wang, Y.; Chen, Z. A novel Gaussian process regression model for state-of-health estimation of lithium-ion battery using charging curve. J. Power Sources 2018, 384, 387–395. [Google Scholar] [CrossRef]
- Liu, D.; Zhou, J.; Liao, H.; Peng, Y.; Peng, X. A Health Indicator Extraction and Optimization Framework for Lithium-Ion Battery Degradation Modeling and Prognostics. IEEE Trans. Syst. Man Cybern. Syst. 2015, 45, 915–928. [Google Scholar] [CrossRef]
- Yang, H.; Xu, Z.; Ye, J.; King, I.; Lyu, M.R. Efficient Sparse Generalized Multiple Kernel Learning. IEEE Trans. Neural Netw. 2011, 22, 433–446. [Google Scholar] [CrossRef]
- Blekas, K.; Likas, A. Sparse regression mixture modeling with the multi-kernel relevance vector machine. Knowl. Inf. Syst. 2014, 39, 241–264. [Google Scholar] [CrossRef]
- Zhang, C.; He, Y.; Yuan, L.; Xiang, S. Capacity Prognostics of Lithium-Ion Batteries Using EMD Denoising and Multiple Kernel RVM. IEEE Access 2017, 5, 12061–12070. [Google Scholar] [CrossRef]
- Xue, Z.W.; Zhang, Y.; Cheng, C.; Ma, G.J. Remaining useful life prediction of lithium-ion batteries with adaptive unscented kalman filter and optimized support vector regression. Neurocomputing 2020, 376, 95–102. [Google Scholar] [CrossRef]
- Wei, J.W.; Dong, G.Z.; Chen, Z.H. Remaining Useful Life Prediction and State of Health Diagnosis for Lithium-Ion Batteries Using Particle Filter and Support Vector Regression. IEEE Trans. Ind. Electron. 2018, 65, 5634–5643. [Google Scholar] [CrossRef]
- Dong, H.; Jin, X.; Lou, Y.; Wang, C. Lithium-ion battery state of health monitoring and remaining useful life prediction based on support vector regression-particle filter. J. Power Sources 2014, 271, 114–123. [Google Scholar] [CrossRef]
- Tang, X.; Wang, Y.; Zou, C.; Yao, K.; Xia, Y.; Gao, F. A novel framework for Lithium-ion battery modeling considering uncertainties of temperature and aging. Energy Convers. Manag. 2019, 180, 162–170. [Google Scholar] [CrossRef]
- Ma, S.; Jiang, M.; Tao, P.; Song, C.; Wu, J.; Wang, J.; Deng, T.; Shang, W. Temperature effect and thermal impact in lithium-ion batteries: A review. Prog. Nat. Sci. Mater. Int. 2018, 28, 653–666. [Google Scholar] [CrossRef]
- Ruiz, V.; Kriston, A.; Adanouj, I.; Destro, M.; Fontana, D.; Pfrang, A. Degradation Studies on Lithium Iron Phosphate–Graphite Cells. The Effect of Dissimilar Charging—Discharging Temperatures. Electrochim. Acta 2017, 240, 495–505. [Google Scholar] [CrossRef]
- Yu, J. State of health prediction of lithium-ion batteries: Multiscale logic regression and Gaussian process regression ensemble. Reliab. Eng. Syst. Saf. 2018, 174, 82–95. [Google Scholar] [CrossRef]
- Saha, B.; Goebel, K. Battery Data Set. Available online: http://ti.arc.nasa.gov/tech/dash/pcoe/prognostic-data-repository/ (accessed on 18 February 2020).
- Li, X.; Wang, Z.; Yan, J. Prognostic health condition for lithium battery using the partial incremental capacity and Gaussian process regression. J. Power Sources 2019, 421, 56–67. [Google Scholar] [CrossRef]
- dos Reis, G.; Strange, C.; Yadav, M.; Li, S. Lithium-ion battery data and where to find it. Energy AI 2021, 5, 100081. [Google Scholar] [CrossRef]
- Chinomona, B.; Chung, C.; Chang, L.-K.; Su, W.-C.; Tsai, M.-C. Long Short-Term Memory Approach to Estimate Battery Remaining Useful Life Using Partial Data. IEEE Access 2020, 8, 165419–165431. [Google Scholar] [CrossRef]
- Zhou, D.; Xue, L.; Song, Y.; Chen, J. On-Line Remaining Useful Life Prediction of Lithium-Ion Batteries Based on the Optimized Gray Model GM(1,1). Batteries 2017, 3, 21. [Google Scholar] [CrossRef] [Green Version]
- Yun, Z.; Qin, W. Remaining Useful Life Estimation of Lithium-Ion Batteries Based on Optimal Time Series Health Indicator. IEEE Access 2020, 8, 55447–55461. [Google Scholar] [CrossRef]
- Zheng, X.J.; Fang, H.J. An integrated unscented kalman filter and relevance vector regression approach for lithium-ion battery remaining useful life and short-term capacity prediction. Reliab. Eng. Syst. Saf. 2015, 144, 74–82. [Google Scholar] [CrossRef]
- Liu, Y.F.; Zhao, G.Q.; Peng, X.Y. Deep Learning Prognostics for Lithium-Ion Battery Based on Ensembled Long Short-Term Memory Networks. IEEE Access 2019, 7, 155130–155142. [Google Scholar] [CrossRef]










| Battery | Pearson | Spearman | ||
|---|---|---|---|---|
| TIEDVD | TIEDTD | TIEDVD | TIEDTD | |
| #5 | 0.9972 | −0.9785 | 0.9983 | −0.9643 |
| #6 | 0.9969 | −0.9513 | 0.9995 | −0.9343 |
| #7 | 0.9968 | −0.9381 | 0.9972 | −0.9175 |
| #18 | 0.9973 | −0.9286 | 0.9986 | −0.9325 |
| Evaluation Indicators | TIEDVD | TIEDTD | TIEDVD + TIEDTD |
|---|---|---|---|
| RMSE | 0.0148 | 0.0159 | 0.0040 |
| MAPE | 1.5746 | 1.7532 | 0.2932 |
| Battery | Starting Prediction Point | RMSE | MAPE (%) |
|---|---|---|---|
| #5 | 60 | 0.0047 | 0.3956 |
| 80 | 0.004 | 0.2932 | |
| 100 | 0.0039 | 0.3262 | |
| #6 | 60 | 0.0115 | 1.457 |
| 80 | 0.0051 | 0.6616 | |
| 100 | 0.0027 | 0.3235 | |
| #7 | 60 | 0.0067 | 0.6241 |
| 80 | 0.0056 | 0.5462 | |
| 100 | 0.0046 | 0.4861 | |
| #18 | 40 | 0.0056 | 0.6155 |
| 60 | 0.005 | 0.506 | |
| 80 | 0.0048 | 0.6338 | |
| #54 | 40 | 0.0118 | 1.2707 |
| 60 | 0.0082 | 0.853 | |
| 80 | 0.0052 | 0.5147 | |
| #55 | 40 | 0.0078 | 0.7259 |
| 60 | 0.0066 | 0.6772 | |
| 80 | 0.0036 | 0.3263 |
Publisher’s Note: MDPI stays neutral with regard to jurisdictional claims in published maps and institutional affiliations. |
© 2021 by the authors. Licensee MDPI, Basel, Switzerland. This article is an open access article distributed under the terms and conditions of the Creative Commons Attribution (CC BY) license (https://creativecommons.org/licenses/by/4.0/).
Share and Cite
Yang, Y.; Wen, J.; Shi, Y.; Zeng, J. State of Health Prediction of Lithium-Ion Batteries Based on the Discharge Voltage and Temperature. Electronics 2021, 10, 1497. https://doi.org/10.3390/electronics10121497
Yang Y, Wen J, Shi Y, Zeng J. State of Health Prediction of Lithium-Ion Batteries Based on the Discharge Voltage and Temperature. Electronics. 2021; 10(12):1497. https://doi.org/10.3390/electronics10121497
Chicago/Turabian StyleYang, Yanru, Jie Wen, Yuanhao Shi, and Jianchao Zeng. 2021. "State of Health Prediction of Lithium-Ion Batteries Based on the Discharge Voltage and Temperature" Electronics 10, no. 12: 1497. https://doi.org/10.3390/electronics10121497
APA StyleYang, Y., Wen, J., Shi, Y., & Zeng, J. (2021). State of Health Prediction of Lithium-Ion Batteries Based on the Discharge Voltage and Temperature. Electronics, 10(12), 1497. https://doi.org/10.3390/electronics10121497

