On Channel Estimation in LTE-Based Downlink Narrowband Internet of Things Systems
Abstract
1. Introduction
- We discuss the overview of NB-IoT technology briefly by considering its deployment, signals and physical channels, the structure of the downlink frame, and resource allocation according to 3GPP release 13. In addition to this, we derive the downlink NB-IoT received signal model from the transmitted signal keeping relation with channel impairments. Narrowband reference signal (NRS) generation procedure for channel estimation and its mapping to the frequency-time grid is also represented.
- We propose a computationally simple LMMSE channel estimation method named overlap banded SVD LMMSE for the downlink NB-IoT systems. LMMSE is the optimal channel estimator. We reduce the complexity of the LMMSE estimator by the application of SVD, banded SVD, followed by the overlap band technique while keeping the performance close to the LMMSE. Computer simulation and complexity analysis prove that the proposed overlap banded SVD LMMSE channel estimation technique makes a good balance between performance and complexity, which is important to be a better candidate for low complexity, and low power NB-IoT systems.
- Lastly, we propose a new interpolation method by the application of polyphase decomposition of the finite impulse response (FIR) filter of the linear time dimensional interpolation method, which is well-known as a conventional interpolation approach [20,21,22,23,24,25,28] to boost the performance of the channel estimation and complexity of FIR filter design. In this case, the large FIR filter length is decreased to several small sections to increase the efficiency of the interpolator filter, and hence the inner complexity of the interpolator is reduced once more. Link level simulations with the state of art methods prove that the proposed overlap banded SVD channel estimation scheme with the proposed polyphase decomposed FIR filter interpolation method outperforms the LS, banded SVD LMMSE, and the overlap banded SVD LMMSE channel estimation method with the conventional (linear time dimensional) interpolation scheme in every aspect.
2. Overview of NB-IoT Downlink Technology
3. NB-IoT Downlink System Model
3.1. NRS Generation and Mapping
3.2. Analytical Downlink Signal Model
4. NB-IoT Downlink Channel Estimation
4.1. LMMSE Estimation
4.2. SVD with LMMSE Estimation
4.3. LMMSE Estimation with SVD and Banded Technique
4.4. LMMSE Estimation with SVD and Overlap Banded Technique
4.5. Summary of the Proposed Channel Estimation
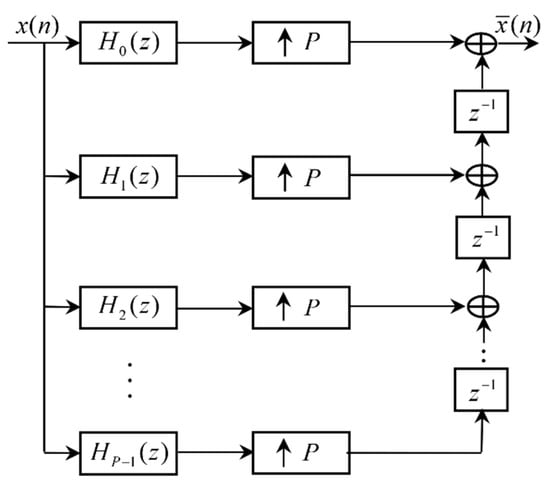
5. Architecture of Polyphase Interpolation Filter for the Downlink NB-IoT Systems
6. Complexity Analysis
7. Simulation Results
7.1. Mean Square Error (MSE)
7.2. Bit Error Rate (BER)
7.3. Throughput Analysis
8. Conclusions
Author Contributions
Funding
Acknowledgments
Conflicts of Interest
References
- Akpakwu, G.A.; Silva, B.J.; Hancke, G.P.; Abu-Mahfouz, A.M. A Survey on 5G Networks for the Internet of Things: Communication Technologies and Challenges. IEEE Access 2018, 6, 3619–3647. [Google Scholar] [CrossRef]
- Chen, M.; Miao, Y.; Hao, Y.; Hwang, K. Narrow Band Internet of Things. IEEE Access 2017, 5, 20557–20577. [Google Scholar] [CrossRef]
- Qiu, M.; Ming, Z.; Li, J.; Gai, K.; Zong, Z. Phase-Change Memory Optimization for Green Cloud with Genetic Algorithm. IEEE Trans. Comput. 2015, 64, 3528–3540. [Google Scholar] [CrossRef]
- Qiu, M.; Sha, E.H.-M. Cost minimization while satisfying hard/soft timing constraints for heterogeneous embedded systems. ACM Trans. Des. Autom. Electron. Syst. 2009, 14, 1–30. [Google Scholar] [CrossRef]
- Dai, W.; Qiu, M.; Qiu, L.; Chen, L.; Wu, A. Who Moved My Data? Privacy Protection in Smartphones. IEEE Commun. Mag. 2017, 55, 20–25. [Google Scholar] [CrossRef]
- Li, Y.; Chen, M. Software-Defined Network Function Virtualization: A Survey. IEEE Access 2015, 3, 2542–2553. [Google Scholar] [CrossRef]
- Hou, X.; Li, Y.; Chen, M.; Wu, D.; Jin, D.; Chen, S. Vehicular Fog Computing: A Viewpoint of Vehicles as the Infrastructures. IEEE Trans. Veh. Technol. 2016, 65, 3860–3873. [Google Scholar] [CrossRef]
- Xu, F.; Li, Y.; Wang, H.; Zhang, P.; Jin, D. Understanding Mobile Traffic Patterns of Large Scale Cellular Towers in Urban Environment. IEEE/ACM Trans. Netw. 2017, 25, 1147–1161. [Google Scholar] [CrossRef]
- Li, Y.; Zheng, F.; Chen, M.; Jin, D. A unified control and optimization framework for dynamical service chaining in software-defined NFV system. IEEE Wirel. Commun. 2015, 22, 15–23. [Google Scholar] [CrossRef]
- Xu, F.; Tu, Z.; Li, Y.; Zhang, P.; Fu, X.; Jin, D. Trajectory Recovery From Ash: User Privacy Is NOT Preserved in Aggregated Mobility Data. arXiv 2017, arXiv:1702.06270. [Google Scholar]
- Ge, X.; Li, Z.; Li, S. 5G Software Defined Vehicular Networks. IEEE Commun. Mag. 2017, 55, 87–93. [Google Scholar] [CrossRef]
- Xu, F.; Li, Y.; Chen, M.; Chen, S. Mobile cellular big data: Linking cyberspace and the physical world with social ecology. IEEE Netw. 2016, 30, 6–12. [Google Scholar] [CrossRef]
- Díaz-Zayas, A.; García-Pérez, C.A.; Recio-Pérez, Á.M.; Merino, P. 3GPP Standards to Deliver LTE Connectivity for IoT. In Proceedings of the 2016 IEEE First International Conference on Internet-of-Things Design and Implementation (IoTDI), Berlin, Germany, 4–8 April 2016; pp. 283–288. [Google Scholar]
- Liu, F.; Tan, C.-W.; Lim, E.T.K.; Choi, B. Traversing knowledge networks: An algorithmic historiography of extant literature on the Internet of Things (IoT). J. Manag. Anal. 2017, 4, 3–34. [Google Scholar] [CrossRef]
- Ratasuk, R.; Mangalvedhe, N.; Zhang, Y.; Robert, M.; Koskinen, J. Overview of narrowband IoT in LTE Rel-13. In Proceedings of the 2016 IEEE Conference on Standards for Communications and Networking (CSCN), Berlin, Germany, 31 October–2 November 2016; pp. 1–7. [Google Scholar]
- Wang, Y.E.; Lin, X.; Adhikary, A.; Grovlen, A.; Sui, Y.; Blankenship, Y.; Bergman, J.; Razaghi, H.S. A Primer on 3GPP Narrowband Internet of Things. IEEE Commun. Mag. 2017, 55, 117–123. [Google Scholar] [CrossRef]
- Ijaz, A.; Zhang, L.; Grau, M.; Mohamed, A.; Vural, S.; Quddus, A.U.; Imran, M.A.; Foh, C.H.; Tafazolli, R. Enabling Massive IoT in 5G and Beyond Systems: PHY Radio Frame Design Considerations. IEEE Access 2016, 4, 3322–3339. [Google Scholar] [CrossRef]
- Beyene, Y.D.; Jantti, R.; Ruttik, K.; Iraji, S. On the performance of narrow-band Internet of Things (NB-IoT). In Proceedings of the 2017 IEEE Wireless Communications and Networking Conference (WCNC), San Francisco, CA, USA, 19–22 March 2017; pp. 1–6. [Google Scholar]
- Zhang, L.; Ijaz, A.; Xiao, P.; Tafazolli, R. Channel equalization and interference analysis for uplink narrowband internet of things (NB-IoT). IEEE Commun. Lett. 2017, 21, 2206–2209. [Google Scholar] [CrossRef]
- Ali, M.S.; Li, Y.; Chen, S.; Lin, F. On improved DFT-based low-complexity channel estimation algorithms for LTE-based uplink NB-IoT systems. Comput. Commun. 2020, 149, 214–224. [Google Scholar] [CrossRef]
- Ali, M.S.; Jewel, M.K.H.; Li, Y.; Lin, F. Frequency-domain channel equalisation for LTE-based uplink narrowband Internet of Things systems. IET Commun. 2018, 13, 281–288. [Google Scholar] [CrossRef]
- Ali, M.S.; Jewel, M.K.H.; Lin, F. An Efficient Channel Estimation Technique in NB-IoT Systems. In Proceedings of the 2018 IEEE International Conference on Integrated Circuits, Technologies and Applications (ICTA), Beijing, China, 21–23 November 2018; pp. 22–23. [Google Scholar]
- Ali, M.S.; Li, Y.; Jewel, M.K.H.; Famoriji, O.J.; Lin, F. Channel Estimation and Peak-to-Average Power Ratio Analysis of Narrowband Internet of Things Uplink Systems. Wirel. Commun. Mob. Comput. 2018, 2018, 1–15. [Google Scholar] [CrossRef]
- Savaux, V.; Dembélé, H.; Kanj, M. Uplink channel estimation and equalization in NB-IoT system. In Proceedings of the 2019 12th IFIP Wireless and Mobile Networking Conference (WMNC), Paris, France, 11–13 September 2019; pp. 167–174. [Google Scholar]
- Rusek, F.; Hu, S. Sequential channel estimation in the presence of random phase noise in NB-IoT systems. In Proceedings of the 2017 IEEE 28th Annual International Symposium on Personal, Indoor, and Mobile Radio Communications (PIMRC), Montreal, QC, Canada, 8–13 October 2017; pp. 1–5. [Google Scholar]
- Chengzhi, F.; Youcheng, C.; Xinglong, H. Downlink Channel Estimation Algorithm of NB-IoT System Based on MLS. Comput. Eng. 2020, 46, 183–186. [Google Scholar] [CrossRef]
- Won, J.W.; Ahn, J.M. NB-IoT Downlink Channel Estimation. In Proceedings of the 2020 International Conference on Information and Communication Technology Convergence (ICTC), Jeju Islan, Korea, 21–23 October 2020; pp. 1739–1741. [Google Scholar]
- Jewel, M.K.H.; Zakariyya, R.S.; Lin, F. A Pilot-based Hybrid and Reduced Complexity Channel Estimation Method for Downlink NB-IoT Systems. In Proceedings of the 2020 IEEE MTT-S International Wireless Symposium (IWS), Shanghai, China, 17–20 May 2020; pp. 1–3. [Google Scholar]
- Noh, M.; Lee, Y.; Park, H. Low complexity LMMSE channel estimation for OFDM. IEEE Proc. Commun. 2006, 153, 645–650. [Google Scholar] [CrossRef]
- Edfors, O.; Sandell, M.; Van de Beek, J.-J.; Wilson, S.K.; Borjesson, P.O. OFDM channel estimation by singular value decomposition. IEEE Trans. Commun. 1998, 46, 931–939. [Google Scholar] [CrossRef]
- Wang, S.; Hu, C.; Peng, T.; Wang, W. A low complexity channel estimation approach of LTE downlink system. In Proceedings of the 2012 IEEE 14th International Conference on Communication Technology, Chengdu, China, 9–11 November 2012; pp. 143–147. [Google Scholar]
- Jewel, M.K.H.; Zakariyya, R.S.; Famoriji, O.J.; Ali, M.S.; Lin, F. A low complexity channel estimation technique for NB-IoT downlink system. In Proceedings of the 2019 IEEE MTT-S International Wireless Symposium (IWS), Guangzhou, China, 19–22 May 2019; pp. 1–3. [Google Scholar]
- Boisguene, R.; Tseng, S.-C.; Huang, C.-W.; Lin, P. A survey on NB-IoT downlink scheduling: Issues and potential solutions. In Proceedings of the 2017 13th International Wireless Communications and Mobile Computing Conference (IWCMC), Valencia, Spain, 26–30 June 2017; pp. 547–551. [Google Scholar]
- Ratasuk, R.; Vejlgaard, B.; Mangalvedhe, N.; Ghosh, A. NB-IoT system for M2M communication. In Proceedings of the 2016 IEEE Wireless Communications and Networking Conference, Doha, Qatar, 3–6 April 2016; pp. 1–5. [Google Scholar]
- 3rd Generation Partnership Project; NBIoT; Technical Report on BS and UE radio transmission and reception; Evolved Universal Terrestrial Radio Access (E-UTRA); 3GPP Tech. Rep. Group Radio Access Network, 2016, V13.0.0, Rel.13, TR36.802. Available online: https://www.3gpp.org/ftp/Specs/archive/36_series/36.802/36802-100.zip (accessed on 27 March 2021).
- 3rd Generation Partnership Project; NB-IoT; Technical Report on Physical layer procedures; Evolved Universal Terrestrial Radio Access (E-UTRA). 3GPP Technical Specification Group Radio Access Network, 2018, V15.2.0, Rel.15, TS36.213. Available online: http://www.3gpp.org/ftp/Specs/archive/36_series/36.213/36213-d40.zip (accessed on 26 March 2021).
- 3rd Generation Partnership Project; NBIoT; Technical Report on Multiplexing and Channel Coding; Evolved Universal Terrestrial Radio Access (E-UTRA). 3GPP Technical Specification Group Radio Access Network, 2018, V 15.2.0, Rel. 15, TS 36.212. Available online: http://www.3gpp.org/ftp/Specs/archive/36_series/36.212/36212-d40.zip (accessed on 26 March 2021).
- 3rd Generation Partnership Project; NBIoT; Technical Report on Physical Channels and Modulation; Evolved Universal Terrestrial Radio Access (E-UTRA). 3GPP Technical Specification Group Radio Access Network, 2018, V 15.2.0, Rel. 15, TS 36.211. Available online: http://www.3gpp.org/ftp/Specs/archive/36_series/36.211/36211-d40.zip (accessed on 26 March 2021).
- Scharf, L. Statistical Signal Processing: Detection, Estimation and Time Series Analysis; Addison-Wesley Pub. Co.: Reading, MA, USA, 1991. [Google Scholar]
- Landau, H.J.; Pollak, H.O. Prolate spheroidal wave functions, Fourier analysis and uncertainty—III: The dimension of the space of essentially time-and band-limited signals. Bell Syst. Tech. J. 1962, 41, 1295–1336. [Google Scholar] [CrossRef]
- Moon, T.; Weissman, T. Universal FIR MMSE filtering. IEEE Trans. Signal Process. 2008, 57, 1068–1083. [Google Scholar] [CrossRef]
- Vaidyanathan, P. Theory and design of M-channel maximally decimated quadrature mirror filters with arbitrary M, having the perfect-reconstruction property. IEEE Trans. Acoust. Speech Signal Process. 1987, 35, 476–492. [Google Scholar] [CrossRef]
- Vetterli, M. A theory of multirate filter banks. IEEE Trans. Acoust. Speech Signal Process. 1987, 35, 356–372. [Google Scholar] [CrossRef]
- Savaux, V.; Louët, Y. LMMSE channel estimation in OFDM context: A review. IET Signal Process. 2016, 11, 123–134. [Google Scholar] [CrossRef]
- 3rd Generation Partnership Project; NBIoT; Technical Report on GSM/EDGE Radio Transmission and Reception; Evolved Universal Terrestrial Radio Access (E-UTRA). 3GPP Technical Specification Group Radio Access Network, 2017, V 14.1.0, Rel. 14, TS 45.005. Available online: https://www.3gpp.org/ftp/Specs/archive/45_series/45.005/45005-e20.zip (accessed on 26 March 2021).
- Ratasuk, R.; Mangalvedhe, N.; Kaikkonen, J.; Robert, M. Data channel design and performance for LTE narrowband IoT. In Proceedings of the 2016 IEEE 84th Vehicular Technology Conference (VTC-Fall), Montréal, QC, Canada, 18–21 September 2016; pp. 1–5. [Google Scholar]
- LTE Evolution for IoT Connectivity. White Paper, Nokia, Espoo, Finland, Technical Report SR1702006775EN. 2017. Available online: https://halberdbastion.com/sites/default/files/2017-06/Nokia_LTE_Evolution_for_IoT_Connectivity_White_Paper.pdf (accessed on 25 March 2021).














| Channels | Usage | |
|---|---|---|
| DL | Narrowband Physical Downlink Control channel (NPDCCH) | Uplink and downlink scheduling information |
| Narrowband Physical Downlink Shared Channel (NPDSCH) | Downlink dedicated and common data | |
| Narrowband Physical Broadcast Channel(NPBCH) | Master information for system access | |
| Narrowband Synchronization Signal (NPSS/NSSS) | Time and frequency synchronization | |
| Narrowband reference signal (NRS) | Channel estimation and equalization | |
| UL | Narrowband Physical Uplink Shared Channel (NPUSCH) | Uplink dedicated data |
| Narrowband Physical Random Access Channel (NPRACH) | Random access | |
| ITBS | Number of Subframes | |||||||
|---|---|---|---|---|---|---|---|---|
| 1 | 2 | 3 | 4 | 5 | 6 | 8 | 10 | |
| 0 | 16 | 32 | 56 | 88 | 120 | 152 | 208 | 256 |
| 1 | 24 | 56 | 88 | 144 | 176 | 208 | 256 | 344 |
| 2 | 32 | 72 | 144 | 176 | 208 | 256 | 328 | 424 |
| 3 | 40 | 104 | 176 | 208 | 256 | 328 | 440 | 568 |
| 4 | 56 | 120 | 208 | 256 | 328 | 408 | 552 | 680 |
| 5 | 72 | 144 | 224 | 328 | 424 | 504 | 680 | |
| 6 | 88 | 176 | 256 | 392 | 504 | 600 | ||
| 7 | 104 | 224 | 328 | 472 | 584 | 680 | ||
| 8 | 120 | 256 | 392 | 536 | 680 | |||
| 9 | 136 | 296 | 456 | 616 | ||||
| 10 | 144 | 328 | 504 | 680 | ||||
| 11 | 176 | 376 | 584 | |||||
| 12 | 208 | 440 | 680 | |||||
| LMMSE [44] | SVD-Based LMMSE | Banded SVD LMMSE | Overlap Banded SVD LMMSE | |
|---|---|---|---|---|
| Multiplications | ||||
| Memory size | ||||
| Complexity | Very high | Moderate | Low | Low |
| Methods | TU 1 Hz Channel | EPA 1 Hz Channel |
|---|---|---|
| LS [30] | −2.1 | −1.1 |
| LMMSE [44] | −8.4 | −8 |
| SVD LMMSE | −7.2 | −7 |
| Banded SVD LMMSE | −5 | −4 |
| Overlap banded SVD LMMSE with conventional interpolation (Proposed) | −6.3 | −5.9 |
| Overlap banded SVD LMMSE with proposed interpolation (Proposed) | −7.1 | −6.9 |
| Methods | TU 1 Hz Channel | EPA 1 Hz Channel |
|---|---|---|
| LS [30] | 3.8 | 4.1 |
| LMMSE [44] | −1.3 | −1 |
| SVD LMMSE | −0.50 | −0.15 |
| Banded SVD LMMSE | 2 | 2.4 |
| Overlap banded SVD LMMSE with conventional interpolation (Proposed) | 0.7 | 1 |
| Overlap banded SVD LMMSE with proposed interpolation (Proposed) | −0.5 | −0.1 |
Publisher’s Note: MDPI stays neutral with regard to jurisdictional claims in published maps and institutional affiliations. |
© 2021 by the authors. Licensee MDPI, Basel, Switzerland. This article is an open access article distributed under the terms and conditions of the Creative Commons Attribution (CC BY) license (https://creativecommons.org/licenses/by/4.0/).
Share and Cite
Jewel, M.K.H.; Zakariyya, R.S.; Lin, F. On Channel Estimation in LTE-Based Downlink Narrowband Internet of Things Systems. Electronics 2021, 10, 1246. https://doi.org/10.3390/electronics10111246
Jewel MKH, Zakariyya RS, Lin F. On Channel Estimation in LTE-Based Downlink Narrowband Internet of Things Systems. Electronics. 2021; 10(11):1246. https://doi.org/10.3390/electronics10111246
Chicago/Turabian StyleJewel, Md Khalid Hossain, Rabiu Sale Zakariyya, and Fujiang Lin. 2021. "On Channel Estimation in LTE-Based Downlink Narrowband Internet of Things Systems" Electronics 10, no. 11: 1246. https://doi.org/10.3390/electronics10111246
APA StyleJewel, M. K. H., Zakariyya, R. S., & Lin, F. (2021). On Channel Estimation in LTE-Based Downlink Narrowband Internet of Things Systems. Electronics, 10(11), 1246. https://doi.org/10.3390/electronics10111246

