Abstract
The request for skin-whitening agents and bioactive principles able to control hyperpigmentation disorders is continuously growing. Chamomile (Matricaria chamomilla) is used as a remedy for skin diseases, but little is known about the ability of Roman chamomile (Chamaemelum nobile) to act as a skin-whitening agent. With the aim to investigate antioxidant and lightening potential, fresh aerial parts of C. nobile were extracted by maceration, ultrasound-assisted extraction, and solid–liquid dynamic (SLDE-Naviglio) extraction using EtOH/H2O mixtures. Moreover, 32 metabolites (flavonoids, sesquiterpenoids, amides, and polar fatty acids) were identified by liquid chromatography/mass spectrometry. Principal component analysis revealed how the extract EtOH/H2O 50% (Naviglio and long maceration), along with the extract EtOH/H2O 60% (maceration) were richest in flavonoids. All extracts were tested by TEAC and DPPH assays, and to determine their in vitro antioxidant activity, the DHR 123 probe–intracellular ROS assay in HaCaT cells, for some extracts, was performed. Moreover, their ability to exert a whitening effect was tested by analyzing their tyrosinase inhibitory activity. The quantitative determination of apigenin, known as a natural tyrosinase inhibitor, was performed by LC-ESI/QTrap/MS/MS using the multiple reaction monitoring (MRM) method. These results are promising for selecting an extraction method to obtain a sustainable product rich in bioactives.
1. Introduction
Chamomile boasts a rich history of traditional medicinal uses dating back to ancient civilizations such as those of Egypt, Greece, and Rome. The Greeks, including Hippocrates and Dioscorides, as well as the Romans, like Pliny the Elder, recognized its therapeutic properties and documented its use for various ailments. Galen, a prominent physician in ancient Rome, also praised chamomile for its medicinal benefits. Throughout history, chamomile has been utilized in diverse preparations to address a wide range of health issues. Some of the ailments include abrasions, abscesses, acne, anorexia, anxiety, arthritis, asthma, catarrh, contact dermatitis, convulsions, cough, dry skin, hepatic disorders, hysteria, insomnia, menstrual cramps, psoriasis, and more others. The reverence for chamomile extended beyond its medicinal applications. Ancient Egyptians, in particular, held it in high esteem, viewing it as a sacred gift from the Sun God. Chamomile flowers were appreciated for their ability to alleviate high fevers and sunstroke, demonstrating their significance in ancient cultures not only as a medicinal herb but also as a symbol of divine healing [1].
Chamomile is represented by two main species: Roman chamomile (Chamaemelum nobile) and German chamomile (Matricaria chamomilla). Chamomile flowers are commonly used in traditional medicine and modern medicine for their content in flavonoids, coumarins, volatile oils, terpenes, sterols, organic acids, and polysaccharides, responsible for pharmacological activities such as anti-infective, anti-inflammatory, and antioxidant activities; along with their use as medicine, their applications in cosmetics are relevant [2,3]. In this field, chamomile is reported to have a soothing and softening effect on skin (it repairs sensitive skin, eliminates acne, and improves skin dehydration) and also has use in hair preparations (shampoos and rinses) like lightening and conditioning [4]. Therefore, it has been used as an ingredient in skincare products [5].
Roman chamomile is the common name of Chamaemelum nobile (L.) All. (syn. Anthemis nobilis L. and Chamomilla nobilis Godr.), a perennial herb belonging to the Asteraceae family that presents flowers with double petals and soft stems, and it has a green apple fragrance. In fact, it is also called “the apple of the ground” [6].
Considering the traditional use of chamomile in the treatment of skin imperfections and the new trend of “Green Cosmetics”, which include formulations containing active ingredients derived from plants produced in eco-sustainable ways [7], and that in the literature, only one paper on a green hydroalcoholic extract of C. nobile with a conventional technique is reported [8], an LC-HRMS-based metabolomics study of different eco-sustainable extracts of C. nobile was carried out. In detail, C. nobile was submitted to conventional extraction methods like macerations (MACs) and unconventional extraction methods like ultrasound-assisted extraction (UAE) and solid–liquid dynamic extraction (SLDE-Naviglio) using ethanol (EtOH 100%) and ethanol–water (EtOH/H2O) at different percentages (50%, 60%, 75%) as “green” solvents. Since to date in the literature there are no reports about non-conventional extraction procedures of C. nobile, with the aim to select the best technique and percentage of EtOH/H2O for the extraction of bioactives, the extracts were analyzed by UHPLC-HRMS analysis using ultra-high-performance liquid chromatography coupled with a Q-Exactive hybrid quadrupole-Orbitrap mass spectrometer (UHPLC-Q-Orbitrap) equipped with a heated electrospray ionization probe (HESI), in positive ion mode, allowing the identification of specialized metabolites such us flavonoids and sesquiterpenoids; thereafter, the UHPLC-HRMS of the “green” extracts of the C. nobile were compared by multivariate statistical analysis.
The “green” extracts of C. nobile were submitted to different spectrophotometric assays; in particular, considering the capacity to inhibit various ROS formation factors mainly ascribable to flavonoid derivatives [9], thus preventing skin ageing, total phenolic content, DPPH, and TEAC assays of the extracts were performed.
Moreover, M. chamomilla is known for its ability to treat sensitive skin, eliminate acne, and improve skin, ascribable to its capacity to inhibit tyrosinase, a key enzyme in the synthesis of melanin [10,11]. To the best of our knowledge, no information is reported in the literature about the capacity of C. nobile to inhibit tyrosinase enzyme; therefore, herein, for the first time, the evaluation of the anti-tyrosinase activity of C. nobile “green” extracts was performed. The literature data show how apigenin is a marker of chamomile responsible for antioxidant and lightening properties [3]; thus, its content was determined in the different extracts by LC-ESI/QTrap/MS/MS using the multiple reaction monitoring (MRM) method.
2. Materials and Methods
2.1. Reagent and Solvents
For the reagents and solvents used, see the Supplementary Materials.
2.2. Sample Preparation
Fresh plants of Chamaemelum nobile L. (aerial part) were provided by the Fitomedical company (Binasco, MI, Italy), which purchased them from Azienda Agricola Bio Il Ramerino, Pitigliano (GR), a certified company in the cultivation of officinal plants. The plant was cut to reduce the solvent–drug contact surface. In addition, the water content already present in the fresh plant was evaluated by calculating the dry yield. A known quantity of fresh C. nobile (100 g) was dried in the oven at 120° for 90 min. The weight of the fresh plant minus the weight of the dried plant (37 g) corresponded to the water content in the plant. The water content was taken into account for the preparation of EtOH/H2O mixtures.
So, the fresh plant of C. nobile was submitted to different extraction techniques like maceration, long maceration (21 days long), UAE, and SLDE-Naviglio using EtOH 100% and EtOH/H2O mixtures at different percentages (50%, 60%, 75%). The extracts were subsequently filtered with filter paper and a funnel. Each extracted sample consisted of three technical homogeneous replicates.
2.3. Extraction Methods, Conventional and Non-Conventional Extraction Techniques
The fresh plant of C. nobile L. was submitted to conventional extraction procedures like macerations and long macerations. The macerations were performed 3 times following the EP pharmacopeia guidelines using 50 g of the fresh plant and 210 mL of four different mixtures of solvent, made up of EtOH 100% and EtOH/H2O (50%, 60%, 75%), for 3 days. The long macerations were performed using 50 g of the fresh plant and 210 mL of four different mixtures of solvent, made up of EtOH 100% and EtOH/H2O (50%, 60%, 75%), for 21 days. After the filtration and evaporation of the solvent to dryness in vacuo, dried extracts were obtained.
The fresh plant of C. nobile was also extracted using non-conventional extraction procedures, UAE and the SLDE-Naviglio technique. EtOH 100% and EtOH/H2O (50%, 60%, 75%) were used for each extraction procedure. For UAE, 20 g of the fresh plant of C. nobile was extracted with 84 mL of solvent for 15 min in an ultrasonic bath. The extractions were repeated three times and the solutions were filtered with filter paper and dried by a rotavapor. SLDE-Naviglio was performed using a Timatic micro series Naviglio extractor, with 200 g of the fresh plant, 840 mL of the solvent, and an extractive protocol of 20 extractive cycles of 12 min (9 min in the static phase and 3 min in the dynamic phase) [12].
2.4. UPLC-HRMSMS Analysis
All obtained extracts were analyzed using liquid chromatography coupled with electrospray ionization and a high-resolution mass spectrometer. For the experimental details, see the Supplementary Materials.
2.5. Multivariate Data Analysis of LC-MS Data
To highlight differences between extracts and understand how the extraction methods and also the solvent can affect the chemical profile, LC-ESI/QExactive/MS/MS chromatograms of all obtained extracts were subjected to the chemometric study of a multivariate statistical approach such as principal component analysis (PCA). For details, see the Supplementary Materials [13].
2.6. Total Phenolic Content, TEAC and DPPH Assays
The total phenolic content of the extracts was determined by the Folin–Ciocalteu assay, as previously reported by Cerulli et al. [14]. The radical scavenging activity of the green extracts of C. nobile and apigenin was determined by two different spectrophotometric assays, DPPH and TEAC, as reported in the Supplementary Materials [15].
2.7. Cell Culture
HaCaT cells were cultured in DMEM (high glucose) with 10% heat inactivated FBS, 2 mM l-glutamine, 1 mM sodium pyruvate, and 100 U/mL/100 μg/mL penicillin/streptomycin in an atmosphere of 5% CO2 at 37 °C. Cells were subcultured by trypsinization at intervals of 3–4 days.
2.8. DHR 123 Probe—Intracellular ROS Assay
HaCaT cells were cultured in a 96-well plate at 30.000 cells/well and 200 µL of medium for 24 h. The next day, the cells were treated with apigenin at 1.35 µg/mL and with different extracts at 10 µg/mL. After 16 h of treatment, 2 mM of H2O2 for 2 h was added. At the end of the treatment, the cells were washed and incubated with 100 µL of DHR probe at 5 µM for 30 min in the dark at 37 °C and 5% CO2 [16]. After washing, the fluorescence (λexc: 500 nm/λem: 536 nm) was measured with TECAN Infinite M200Pro (v.1.10).
2.9. Statistical Analysis of Data
Data are reported as means ± mean standard error (SEM) of at least three independent experiments. Each experiment was conducted in triplicate. The results were analyzed using GraphPad Prism 8.0 software with one-way ANOVA followed by Dunnett’s multiple comparison test. A p-value less than 0.05 was considered significant.
2.10. Tyrosinase Inhibition Assay
The tyrosinase inhibitory activity was evaluated using a method described by Oh et al. [17] with slight modifications, as reported in the Supplementary Materials. Kojic acid, a known tyrosinase inhibitor, was used as a positive control.
2.11. LC-ESI/QTrap/MS/MS Analysis
Quantitative analysis was performed on an LC-ESI/QTrap/MS/MS system using the MRM method, as reported in the Supplementary Materials.
3. Results and Discussion
3.1. Metabolite Fingerprint of C. nobile “Green Extracts” by UPLC-HRMSMS Analysis
In traditional use, the most common species of chamomile (M. recutita) is reported for the treatment of acne, light-scattering properties, and other skin imperfections [18]. Therefore, to evaluate the possibility of using Roman chamomile (C. nobile) in cosmetic formulations, simple and fast extraction methods based on the use of cheap and relatively non-toxic solvents were carried out. The extraction procedures can significantly influence the kind of metabolites present in the extracts; thus, the fresh plant material of C. nobile was submitted to different extraction protocols like conventional extraction procedures (maceration and long maceration) and non-conventional extraction procedures (UAE and SLDE-Naviglio). EtOH was selected as the “green” solvent, considering its good solvent properties and safety for human consumption. Herein, EtOH 100% and different mixtures EtOH/H2O (50%, 60%, 75%) were used. Successively, to identify specialized metabolites, which are likely responsible for antioxidant and light-scattering activities, and to highlight the metabolite differences occurring among eco-sustainable extracts, UPLC-HRMSMS analysis was carried out (Figures S1–S4).
By the careful analysis of accurate masses, characteristic fragmentation patterns, and the literature data, the occurrence of 32 metabolites belonging to flavonoids (compounds 1–6, 10–12, 17, and 18), sesquiterpenoids (7–9, 13–15, 19–22, 27, and 28), amides (16, 29, and 32), polar fatty acids (23–26, 30, and 31) were tentatively identified (Figure 1, Table 1).
Figure 1.
UPLC-HRMS base peak profile (in positive ion mode) of C. nobile EtOH/H2O 50% extract obtained by long maceration.
Table 1.
Metabolites identified in C. nobile extracts by LC-ESI/QExactive/MS/MS analysis a.
In the UPLC-HRMS profiles of C. nobile, two main classes of specialized metabolites were detected. The first main class was represented by flavonoids; in particular, flavone derivatives apigenin (10), hispidulin (11), luteolin-O-rutinoside (1), apigenin-O-hexoside (2), and chamameloside (5) and flavonol derivatives isorhamnetin (6), 5,7-dimethyl-quercetin (12), kumatakenin (18), bracteoside (3), 5,7-dimethyl-quercetin-O-hexoside (4), and 3-flavanol (17) were putatively identified.
Among the flavonoids identified by UPLC-HRMS, compounds 1, 2, 4, 5, 6, 10, and 11 were previously reported in C. nobile [19,20]. By contrast, compounds 3, 12, 17, and 18 were previously reported only in Matricaria recutita L.; therefore, to the best of our knowledge, herein, compounds 3, 12, 17, and 18 are reported for the first time in C. nobile [2,21].
The second class of specialized metabolites was represented by sesquiterpenoids. In detail, guaianonobilin (8), 8-tigloylhydroxyisonobilin (9), hydroxyisonobilin (13), nobilinon A/B/C (14), and nobilin (15), belonging to germacranolide type, were identified as distinctive compounds of C. nobile, as previously reported by De Mieri et al. [22]. Among the identified sesquiterpenes, achillin (19), linderazulene (20), chamazulene carboxylic acids (21 and 22) and dehydrocostus lactones (27 and 28) were previously reported in M. recutita L. [23,24,25] but never in C. nobile; thus, herein, they are reported for the first time in this species.
The accurate analysis of the ULPC-HRMS profiles of “green” extracts also highlighted the occurrence of primary metabolites belonging to amide (16, 29, and 32) and polar fatty acid (23–26, 30, and 31) derivatives; among the amide derivatives, myristic diethanolamide (16), oleamide (29), and erucamide (32) were putatively identified. The above-mentioned primary metabolites were reported before in other genera of the Asteraceae family; therefore, in this paper, they are reported for the first time in C. nobile.
3.2. Multivariate Statistical Analysis of LC-ESI/QExactive/MS/MS Profiles
Targeted principal component analysis (PCA) has been carried out to elucidate the impact of the preparation method on the metabolite profiles of the extracts of C. nobile, analyzed in triplicate. The raw data were first filtered using MZ mine 2.38 software and then analyzed using SIMCA-P+ software 12.0. The result of the validation test further emphasized the significance and predictability of the model; in particular, PC1 contributed to 51.0% of the variance, and PC2 contributed to 13.5%. As observed from the PCA score plot (Figure 2), the distribution of the extracts was mainly related to the extraction technique; in fact, in the upper part of the plot, the extracts obtained using conventional extraction techniques, like maceration and long maceration, were grouped, while in the lower part of the plot, the extracts obtained by non-conventional extraction techniques, UAE and SLDE-Naviglio, were mainly located.
Figure 2.
Principal component analysis of specialized metabolites in C. nobile extracts obtained by UPLC-HRMS targeted analysis: (A) PCA score scatter plot; (B) PCA loading plot.
To visualize the metabolites responsible for the distribution of the “green” extracts in different areas of the score plot, a PCA loading plot (Figure 2B) was carried out.
The extract EtOH/H2O 50% obtained by SLDE-Naviglio and long maceration, along with the extract EtOH/H2O 60% obtained by maceration, showed flavonoids, natural compounds promising in the prevention and treatment of skin diseases [26], as characteristic compounds. In detail, these extracts were richest in flavonoids such as luteolin-O-rutinoside (1), isorhamnetin (6), hispidulin (11), 5,7-dimethyl quercetin (12), and kumatakenin (18). The EtOH/H2O 60% and EtOH/H2O 75% extracts obtained by SLDE-Naviglio, along with the EtOH/H2O 75% extract obtained by UAE showed a higher content of lactonic sesquiterpenoids like camazulene carboxylic acid and its isomer (21, 22), 8-tigloylhydroxyisonobilin (9), hydroxyisonobilin (13), and nobilinon (14).
Apigenin (10) was placed in a fairly central position in the plot, with the highest occurrence in the extract obtained by long maceration with EtOH/H2O 50% and maceration with EtOH/H2O 60%.
3.3. Evaluation of Total Phenolics Content of C. nobile
The skin is constantly exposed to reactive oxygen species (ROS) from various sources, including endogenous metabolic processes within cells and external factors such as ultraviolet (UV) radiation and air pollutants. Endogenous ROS are natural byproducts of cellular metabolism, primarily generated during mitochondrial respiration and other metabolic pathways. These molecules play essential roles in cellular signaling and homeostasis. However, excessive ROS production or insufficient antioxidant defenses can lead to oxidative stress, causing damage to cellular components, including proteins, lipids, and DNA. Extrinsic sources of ROS, such as UV radiation from sunlight and pollutants like cigarette smoke, automobile exhaust, and industrial emissions, further contribute to oxidative stress in the skin [27,28]. Polyphenols work by donating electrons to stabilize free radicals, thus preventing them from causing harm to skin cells. By neutralizing free radicals, antioxidants help to protect the skin from oxidative stress and the associated damage. So, a phenolic content assay was performed using the Folin–Ciocalteu method [14]. Regarding the mixture of solvents used, the results of the total phenolic content determination indicated a better phenolic content for the EtOH/H2O 50% and 60% extracts. By contrast, considering the extraction techniques, SLDE-Naviglio (NAV) was the best one in terms of phenolic content. Consequently, SLDE-Naviglio (NAV) extracts obtained using EtOH/H2O 50% and 60% showed GAE (milligrams of gallic acid equivalents for gram of extract) values corresponding to 223.07 and 235.07, respectively (Figure 3).
Figure 3.
Total phenolics content assay result of green extracts of C. nobile.
3.4. Evaluation of the Antioxidant Activity of C. nobile
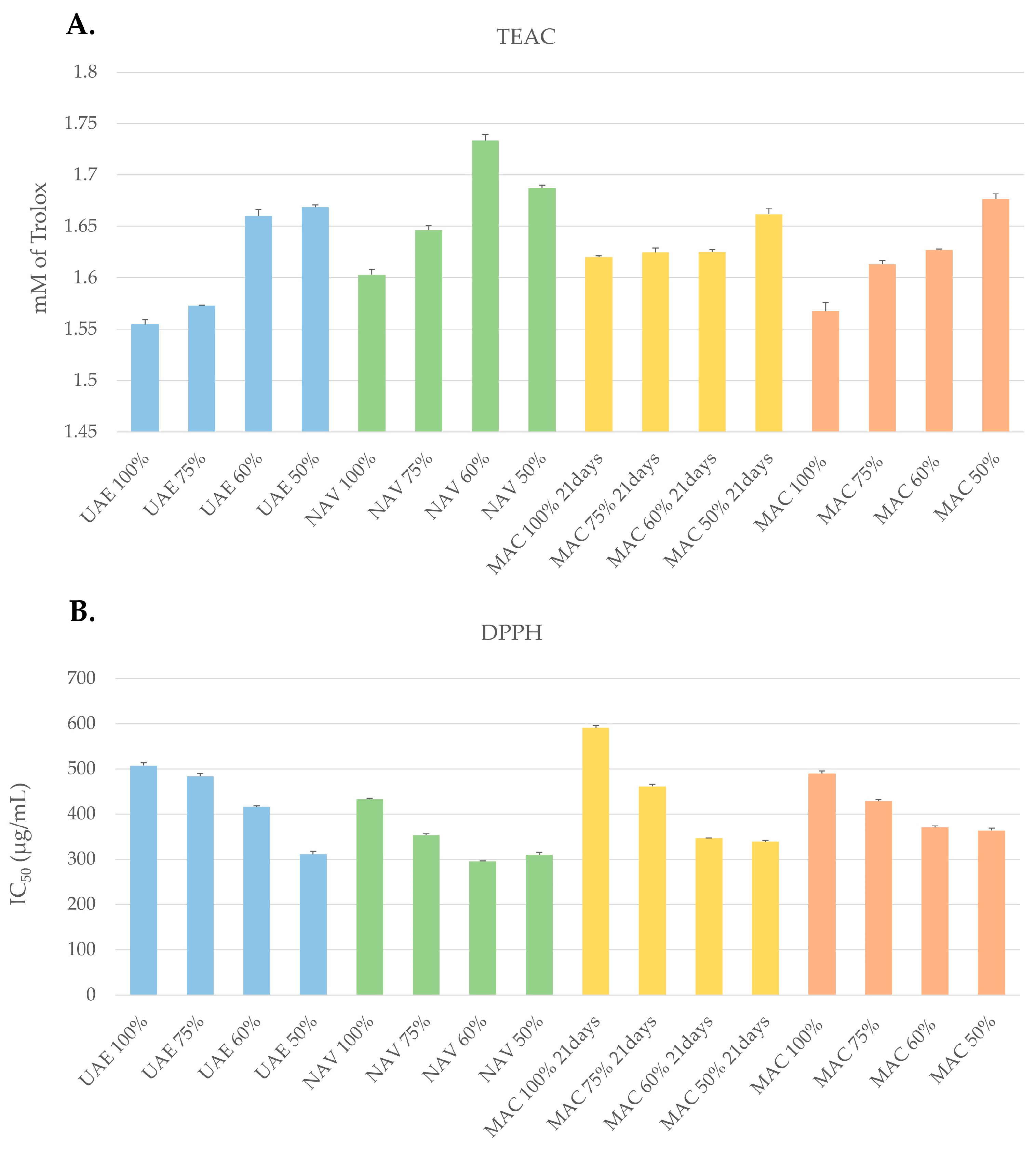
Based on the UPLC-HRMS profile of Roman chamomile, which attested to the presence of antioxidant compounds like flavanols, flavones (mainly apigenin and derivatives), and sesquiterpenoids, the radical scavenger activity of C. nobile “ green” extracts was tested by TEAC and DPPH assays [29,30]. Also, the antioxidant activity of apigenin was tested. The TEAC assay highlighted the highest free radical scavenging activity for hydroalcoholic extracts obtained using EtOH/H2O 50% and 60% (Figure 4A). In detail, the EtOH/H2O 50% extracts displayed a radical scavenging activity in the range of 1.63 to 1.73 mM compared to quercetin (3.70 mM), which was used as a reference compound. According to the total phenolic content and TEAC results, the DPPH assay highlighted how EtOH/H2O 50% and 60% extracts exerted moderate antioxidant activity (Figure 4B). In particular, the EtOH/H2O 60% extract obtained by SLDE-Naviglio showed the strongest activity (IC50 = 295.54 µg/mL), followed by the EtOH/H2O 50% extract obtained by SLDE-Naviglio (IC50 = 310.12 µg/mL), the EtOH/H2O 50:% extract obtained by UAE (IC50 = 311.22 µg/mL), the EtOH/H2O 50% extract obtained by long maceration (IC50 = 338.75 µg/mL), and the extract EtOH/H2O 60% obtained by long maceration (IC50 = 346.56 µg/mL). The weakest antioxidant activities were shown by the extracts obtained using EtOH/H2O 75% and EtOH 100%, confirming the results obtained by the TEAC assay (Figure 4A) (Table S1). The TEAC and DPPH values of the chamomile extracts compared to the corresponding total phenolic content (TPC) values were correlated using the Pearson method (Table S2). A positive correlation was found between TEAC and TPC. Regarding DPPH, the increase in TPC could be related to the increase in antioxidant activities, as indicated by a lower IC50 of DPPH; in fact, TPC was negatively correlated with DPPH IC50.
Figure 4.
TEAC (A) and DPPH (B) assays of “green” extracts of C. nobile.
3.5. Effect of Extracts and Apigenin on ROS Production
Based on the TEAC and DPPH assays, the extracts MAC 60% at 21 days, MAC 50% at 21 days, MAC 50%, MAC 60%, NAV 50%, and NAV 60% were selected to further evaluate their in vitro antioxidant activity. HaCaT cells, a spontaneously immortalized human keratinocyte line widely used for studies of skin biology [31], were used. To determine the antioxidant activity of the selected extracts and apigenin, the cell permeant reagent dihydrorhodamine 123 (DHR 123) was used for the detection of reactive oxygen species such as peroxide and peroxynitrite. Indeed, after cell uptake, DHR 123 is oxidized by ROS into a fluorescent compound measured by a fluorimeter. In our setting, the 16 h pretreatment of HaCat cells with apigenin and the extracts resulted in a lower production of DHR oxidation, following 2 h of H2O2 exposition. In detail, as shown in Figure 5, the extracts obtained by long maceration with EtOH/H2O 60% and EtOH 100% and the extract obtained by maceration with EtOH/H2O 50% displayed statistically significant activity. These data are in agreement with the TEAC and DPPH activities shown by these extracts.
Figure 5.
Effect of extracts of C. nobile (10 μg/mL) and apigenin (1.35 μg/mL) on ROS formation in HaCaT cells stimulated with H2O2. The data were analyzed using one-way ANOVA followed by Dunnett’s test as the post test. (*): p < 0.05; (**): p < 0.01; (****): p < 0.0001.
3.6. Evaluation of the Lightening Activity of C. nobile
Continuing our research on the cosmetic potential of C. nobile, the attention was focused on its lightening activity by evaluating the inhibition of the tyrosinase enzyme. Tyrosinase is the key enzyme in melanin biosynthesis, which is the process responsible for the production of pigment in the skin, hair, and eyes. The enzyme catalyzes two key reactions in this process: ortho-hydroxylation (tyrosinase converts the amino acid tyrosine into 3,4-dihydroxyphenylalanine (DOPA)) and the oxidation of DOPA (tyrosinase further oxidizes DOPA to ortho-quinone). These reactions are essential steps in the production of melanin, which provides colour to the skin, hair, and eyes. However, excessive melanin production can lead to skin pigmentation disorders such as hyperpigmentation, an uneven skin tone, and age spots [32,33]. Because of its central role in melanin synthesis, tyrosinase is a target for various skincare and cosmetic products [33]. As reported before, Matricaria chamomilla was used as a remedy for skin diseases, but little is known about the ability of C. nobile to act as a skin-whitening agent.
To explore the capacity of C. nobile extracts to inhibit the tyrosinase enzyme and offer potential alternatives to synthetic products commonly used in skincare, which have some safety concerns associated with long-term use [34], the tyrosinase inhibitory activity of C. nobile “green” extracts was tested by a spectrophotometric assay. Kojic acid, a known tyrosinase inhibitor, was used as a positive control (IC50 = 39.44 µg/mL ± 3.81). The obtained results (Figure 6) showed how all C. nobile extracts inhibited the tyrosinase enzyme in a range from 56.15 to 70.36 µg/mL in terms of IC50 values (Table S3). Also, the apigenin, considered a marker of chamomile, was tested. On the basis of tyrosinase inhibitory activity, all the extracts presented the potential ability to regulate melanin synthesis, providing benefits for skin health and appearance. Considering the mixture of solvents, there were no significant differences related to the percentage of ethanol used as the extraction solvent, on the contrary to what was observed for antioxidant activity. Also, the extracts EtOH/H2O 75% and EtOH 100% presented good inhibition, possibly due to the polar fatty acid content [32]. Considering the extraction technique used, however, SLDE-Naviglio turned out to be the most efficient. In particular, the extract EtOH/H2O 50% obtained by SLDE-Naviglio showed the highest inhibition of the tyrosinase enzyme (IC50 = 56.15 µg/mL ± 4.74).
Figure 6.
Tyrosinase inhibition assay of green extracts of C. nobile.
3.7. Quantitative Analysis of Apigenin ()
Apigenin is considered a marker of chamomile. Moreover, it is known for its own antioxidant and lightening potential [3]; therefore, it was quantitatively analyzed in all “green” extracts by LC-ESI/QTrap/MS/MS using multiple reaction monitoring (MRM) method. LC-ESI/QTrap/MS/MS is characterized by a hybrid triple–quadrupole linear ion trap that is particularly suited for quantitative analysis [35]. The analysis was led in positive ion mode, highlighting the transition 271 → 119 due to the opening of the C ring via the retro Diels–Alder mechanism [36]; consequently, the above-mentioned transition was selected as the key transition for MRM experiments. In this way, the amount (mg/g of extract) of apigenin in the “green” extracts was determined (Table 2). Apigenin occurred in the concentration range of 0.20–4.86 mg/g extract, displaying the highest concentration in the EtOH/H2O 50% extract obtained by SLDE-Naviglio and long maceration (21 days), according to the PCA loading plot results.
Table 2.
Quantitative results of apigenin (10) (mg/g extract ± SD) in green extracts of C. nobile.
4. Conclusions
Nowadays, there is increasing attention being placed on issues such as ecology and sustainability, and consumers prefer to choose products that are environmentally friendly, hoping that they are not harmful to health and reduce pollution. This phenomenon is also occurring in the cosmetic field, defining a new challenge of “Green Cosmetics”, which include formulations (creams, makeup, and beauty products) containing active ingredients derived from plant products produced in an eco-sustainable way. This manuscript is placed in this context, offering a study about Roman chamomile extracted through different “green” procedures. With the aim to select an extraction technique and a mixture of solvents which lead to obtaining an effective and bio-sustainable product, C. nobile was subjected to different extraction techniques, conventional (maceration and long maceration) and, for the first time, non-conventional (SLDE-Naviglio and UAE) techniques, using different mixtures of bio-solvents made up of EtOH 100% and EtOH/H2O (50%, 60%, 75%). The chemical investigation of the extracts, performed by LC-HRMS analysis, highlighted the presence of 32 metabolites belonging to flavonoids, sesquiterpenoids, amides, and polar fatty acids. The PCA revealed how the extracts EtOH/H2O 50% obtained by SLDE-Naviglio and long maceration, along with the extract EtOH/H2O 60% obtained by maceration, were richest in flavonoids. The extracts EtOH/H2O 60% and EtOH/H2O 75% obtained by SLDE-Naviglio, along with the extract EtOH/H2O 75% by UAE, showed a higher content of lactonic sesquiterpenoids. Moreover, considering the importance of antioxidant activity in skin disease, the total phenolic content, TEAC, and DPPH of the “green” extracts were tested by spectrophotometric assays, highlighting how EtOH/H2O 50% and 60% extracts exerted a higher antioxidant activity than the extracts obtained using EtOH/H2O 75% and EtOH 100%. Based on the TEAC and DPPH assays, the antioxidant activity of some extracts was performed by the DHR 123 probe–intracellular ROS assay in HaCaT cells. The results showed that the extracts obtained by maceration and long maceration displayed statistically significant activity. Lastly, considering that no information is reported in the literature about the capacity of C. nobile to inhibit tyrosinase enzyme, to have information about the skin-lightening potential of C. nobile, all “green” extracts were subjected to a tyrosinase inhibition assay. All the extracts showed a potential good regulation of melanin synthesis, inhibiting the tyrosinase enzyme in a range from 56.15 to 70.36 µg/mL, with the possibility to exert beneficial effects for skin spots and hyperpigmentation problems. A quantitative analysis of apigenin, a marker of chamomile and known as a natural tyrosinase inhibitor, was performed, displaying the highest concentration in the EtOH/H2O 50% extracts obtained by SLDE-Naviglio, maceration, and long maceration. Also, a good content of apigenin was detected in the extract EtOH/H2O 60% obtained by maceration. Altogether, these results show how it is preferable to use a bio-solvent mixture made up of ethanol and water (in a ratio of 50% and 60%). SLDE-Naviglio and also maceration represent methods that allow one to obtain a final extract with interesting antioxidant and anti-tyrosinase activities.
Supplementary Materials
The following supporting information can be downloaded at: https://www.mdpi.com/article/10.3390/cosmetics11030094/s1. Experimental data of UPLC-HRMSMS analysis, multivariate data analysis of LC-MS data, total phenolic content, TEAC and DPPH assays, tyrosinase inhibition assay, and LC-ESI/QTrap/MS/MS analysis; Figures S1–S5: UPLC-HRMS base peak profiles of C. nobile extracts; Table S1: Phenolic content and antioxidant activity of “green extracts” of C. nobile; Table S2: Correlation between TPC evaluated by Folin–Ciocalteu and antioxidant activity evaluated by the ABTS and DPPH methods; Table S3: Tyrosinase inhibition activity of “green extracts” of C. nobile.
Author Contributions
Conceptualization, M.M. and S.P.; methodology, A.C., L.M.P. and E.C.; software, A.C. and L.M.P.; validation, L.M.P., M.M., A.C. and F.M.; formal analysis, L.M.P. and F.M.; investigation, L.M.P., A.C. and F.M.; resources, L.M.P. and M.M.; data curation, M.M.; writing—original draft preparation, L.M.P., A.C. and E.C.; writing—review and editing, M.M. and S.P.; supervision, M.M. and S.P.; funding acquisition, S.P. All authors have read and agreed to the published version of the manuscript.
Funding
Project funded under the National Recovery and Resilience Plan (NRRP), Mission 4 Component 2 Investment 1.4—call for tender No. 3138 of 16 December 2021, rectified by Decree n.3175 of 18 December 2021 of the Italian Ministry of University and Research funded by the European Union—NextGenerationEU; Award Number: Project Code CN_00000033, Concession Decree No. 1034 of 17 June 2022 adopted by the Italian Ministry of University and Research, CUP: D43C22001260001, project title “National Biodiversity Future Center—NBFC”.
Institutional Review Board Statement
Not applicable.
Informed Consent Statement
Not applicable.
Data Availability Statement
The data presented in this study are available in the main article and in the Supplementary Materials.
Acknowledgments
The authors would like to thank the Fitomedical company for providing chamomile and National Biodiversity Future Center.
Conflicts of Interest
The authors declare no conflicts of interest.
Sample Availability
Samples of the extracts are available from the authors.
References
- Salamon, I. The Slovak gene pool of German chamomile (Matricaria recutita L.) and comparison in its parameters. Hortic. Sci. 2004, 31, 70–75. [Google Scholar] [CrossRef]
- Dai, Y.-L.; Li, Y.; Wang, Q.; Niu, F.-J.; Li, K.-W.; Wang, Y.-Y.; Wang, J.; Zhou, C.-Z.; Gao, L.-N. Chamomile: A Review of Its Traditional Uses, Chemical Constituents, Pharmacological Activities and Quality Control Studies. Molecules 2023, 28, 133. [Google Scholar] [CrossRef] [PubMed]
- Sah, A.; Naseef, P.P.; Kuruniyan, M.S.; Jain, G.K.; Zakir, F.; Aggarwal, G. A Comprehensive Study of Therapeutic Applications of Chamomile. Pharmaceuticals 2022, 15, 1284. [Google Scholar] [CrossRef] [PubMed]
- Srivastava, J.K.; Gupta, S. Chapter 18—Chamomile: A Herbal Agent for Treatment of Diseases of the Elderly. In Foods and Dietary Supplements in the Prevention and Treatment of Disease in Older Adults; Watson, R.R., Ed.; Academic Press: San Diego, CA, USA, 2015; pp. 171–183. [Google Scholar] [CrossRef]
- Dini, I.; Laneri, S. The New Challenge of Green Cosmetics: Natural Food Ingredients for Cosmetic Formulations. Molecules 2021, 26, 3921. [Google Scholar] [CrossRef] [PubMed]
- Al-Snafi, A. Medical importance of Anthemis nobilis (Chamaemelum nobile). Asian J. Pharm. Sci. Technol. 2016, 6, 89–95. [Google Scholar]
- Makhamrueang, N.; Raiwa, A.; Jiaranaikulwanitch, J.; Kaewarsar, E.; Butrungrod, W.; Sirilun, S. Beneficial Bio-Extract of Camellia sinensis var. assamica Fermented with a Combination of Probiotics as a Potential Ingredient for Skin Care. Cosmetics 2023, 10, 85. [Google Scholar]
- Tacherfiout, M.; Kherbachi, S.; Kheniche, M.; Mattonai, M.; Degano, I.; Ribechini, E.; Khettal, B. HPLC-DAD and HPLC-ESI-MS-MS profiles of hydroalcoholic extracts of Chamaemelum nobile and Mentha pulegium, and study of their antihemolytic activity against AAPH-induced hemolysis. S. Afr. J. Bot. 2022, 150, 678–690. [Google Scholar] [CrossRef]
- Hoang, H.T.; Moon, J.-Y.; Lee, Y.-C. Natural Antioxidants from Plant Extracts in Skincare Cosmetics: Recent Applications, Challenges and Perspectives. Cosmetics 2021, 8, 106. [Google Scholar] [CrossRef]
- Pillaiyar, T.; Manickam, M.; Namasivayam, V. Skin whitening agents: Medicinal chemistry perspective of tyrosinase inhibitors. J. Enzym. Inhib. Med. Chem. 2017, 32, 403–425. [Google Scholar] [CrossRef] [PubMed]
- Cvetanović, A.; Švarc-Gajić, J.; Zeković, Z.; Jerković, J.; Zengin, G.; Gašić, U.; Tešić, Ž.; Mašković, P.; Soares, C.; Fatima Barroso, M.; et al. The influence of the extraction temperature on polyphenolic profiles and bioactivity of chamomile (Matricaria chamomilla L.) subcritical water extracts. Food Chem. 2019, 271, 328–337. [Google Scholar] [CrossRef]
- Cerulli, A.; Masullo, M.; Montoro, P.; Hošek, J.; Pizza, C.; Piacente, S. Metabolite profiling of “green” extracts of Corylus avellana leaves by (1)H NMR spectroscopy and multivariate statistical analysis. J. Pharm. Biomed. Anal. 2018, 160, 168–178. [Google Scholar] [CrossRef] [PubMed]
- Cerulli, A.; Masullo, M.; Piacente, S. Metabolite Profiling of Helichrysum italicum Derived Food Supplements by H-NMR-Based Metabolomics. Molecules 2021, 26, 6619. [Google Scholar] [CrossRef] [PubMed]
- Cerulli, A.; Masullo, M.; Pizza, C.; Piacente, S. Metabolite Profiling of “Green” Extracts of Cynara cardunculus subsp. scolymus, Cultivar “Carciofo di Paestum” PGI by (1)H NMR and HRMS-Based Metabolomics. Molecules 2022, 27, 3328. [Google Scholar] [CrossRef] [PubMed]
- Masullo, M.; Cerulli, A.; Mari, A.; de Souza Santos, C.C.; Pizza, C.; Piacente, S. LC-MS profiling highlights hazelnut (Nocciola di Giffoni PGI) shells as a byproduct rich in antioxidant phenolics. Food Res. Int. 2017, 101, 180–187. [Google Scholar] [CrossRef] [PubMed]
- Yazdani, M. Concerns in the application of fluorescent probes DCDHF-DA, DHR 123 and DHE to measure reactive oxygen species in vitro. In Vitro Toxicol. 2015, 30, 578–582. [Google Scholar] [CrossRef]
- Oh, K.E.; Shin, H.; Lee, M.K.; Park, B.; Lee, K.Y. Characterization and Optimization of the Tyrosinase Inhibitory Activity of Vitis amurensis Root Using LC-Q-TOF-MS Coupled with a Bioassay and Response Surface Methodology. Molecules 2021, 26, 446. [Google Scholar] [CrossRef]
- dos Santos, D.S.; Barreto, R.d.S.S.; Serafini, M.R.; Gouveia, D.N.; Marques, R.S.; Nascimento, L.d.C.; Nascimento, J.d.C.; Guimarães, A.G. Phytomedicines containing Matricaria species for the treatment of skin diseases: A biotechnological approach. Fitoterapia 2019, 138, 104267. [Google Scholar] [CrossRef]
- Tschan, G.M.; König, G.M.; Wright, A.D.; Sticher, O. Chamaemeloside, a new flavonoid glycoside from Chamaemelum nobile. Phytochemistry 1996, 41, 643–646. [Google Scholar] [CrossRef]
- Guimarães, R.; Barros, L.; Dueñas, M.; Calhelha, R.C.; Carvalho, A.M.; Santos-Buelga, C.; Queiroz, M.J.R.P.; Ferreira, I.C.F.R. Nutrients, phytochemicals and bioactivity of wild Roman chamomile: A comparison between the herb and its preparations. Food Chem. 2013, 136, 718–725. [Google Scholar] [CrossRef]
- Li, Q.; Abdulla, R.; Xin, X.; Xue, G.; Kang, X.; Zhao, F.; Asia, H.A. Profiling of chemical constituents of Matricarla chamomilla L. by UHPLC-Q-Orbitrap-HRMS and in vivo evaluation its anti-asthmatic activity. Heliyon 2023, 9, e15470. [Google Scholar] [CrossRef]
- De Mieri, M.; Monteleone, G.; Ismajili, I.; Kaiser, M.; Hamburger, M. Antiprotozoal Activity-Based Profiling of a Dichloromethane Extract from Anthemis nobilis Flowers. J. Nat. Prod. 2017, 80, 459–470. [Google Scholar] [CrossRef] [PubMed]
- Ramadan, M.; Goeters, S.; Watzer, B.; Krause, E.; Lohmann, K.; Bauer, R.; Hempel, B.; Imming, P. Chamazulene Carboxylic Acid and Matricin: A Natural Profen and Its Natural Prodrug, Identified through Similarity to Synthetic Drug Substances. J. Nat. Prod. 2006, 69, 1041–1045. [Google Scholar] [CrossRef]
- Salapovic, H.; Geier, J.; Reznicek, G. Quantification of Sesquiterpene Lactones in Asteraceae Plant Extracts: Evaluation of their Allergenic Potential. Sci. Pharm. 2013, 81, 807–818. [Google Scholar] [CrossRef]
- Tschiggerl, C.; Bucar, F. Guaianolides and Volatile Compounds in Chamomile Tea. Plant Foods Hum. Nutr. 2012, 67, 129–135. [Google Scholar] [CrossRef]
- Čižmárová, B.; Hubková, B.; Tomečková, V.; Birková, A. Flavonoids as Promising Natural Compounds in the Prevention and Treatment of Selected Skin Diseases. Int. J. Mol. Sci. 2023, 24, 6324. [Google Scholar] [CrossRef]
- Md Jaffri, J. Reactive Oxygen Species and Antioxidant System in Selected Skin Disorders. Malays. J. Med. Sci. 2023, 30, 7–20. [Google Scholar] [CrossRef] [PubMed]
- Araviiskaia, E.; Berardesca, E.; Bieber, T.; Gontijo, G.; Sanchez Viera, M.; Marrot, L.; Chuberre, B.; Dreno, B. The impact of airborne pollution on skin. J. Eur. Acad. Dermatol. Venereol. 2019, 33, 1496–1505. [Google Scholar] [CrossRef]
- Österlund, C.; Hrapovic, N.; Lafon-Kolb, V.; Amini, N.; Smiljanic, S.; Visdal-Johnsen, L. Protective Effects of Naringenin against UVB Irradiation and Air Pollution-Induced Skin Aging and Pigmentation. Cosmetics 2023, 10, 88. [Google Scholar] [CrossRef]
- Merah, O. Special Issue “Anti-Oxidant and Anti-Inflammatory Properties of Natural Compounds”. Cosmetics 2023, 10, 80. [Google Scholar] [CrossRef]
- Wilson, V.G. Growth and differentiation of HaCaT keratinocytes. Methods Mol. Biol. 2014, 1195, 33–41. [Google Scholar] [CrossRef]
- Zolghadri, S.; Bahrami, A.; Hassan Khan, M.T.; Munoz-Munoz, J.; Garcia-Molina, F.; Garcia-Canovas, F.; Saboury, A.A. A comprehensive review on tyrosinase inhibitors. J. Enzym. Inhib. Med. Chem. 2019, 34, 279–309. [Google Scholar] [CrossRef]
- Thawabteh, A.M.; Jibreen, A.; Karaman, D.; Thawabteh, A.; Karaman, R. Skin Pigmentation Types, Causes and Treatment-A Review. Molecules 2023, 28, 4839. [Google Scholar] [CrossRef]
- Yaméogo, B.G.J.; Ilboudo, L.S.B.A.; Ouédraogo, N.A.; Belem, M.; Nikiema, O.; Goumbri, B.W.; Sombié, B.C.; Zimé-Diawara, H.; Kabré, E.; Semdé, R. Analysis of Depigmenting Substances of Interest (Hydroquinone, Kojic Acid, and Clobetasol Propionate) Contained in Lightening Cosmetic Products Marketed in Burkina Faso. Cosmetics 2023, 10, 154. [Google Scholar] [CrossRef]
- Cerulli, A.; Masullo, M.; Mari, A.; Balato, A.; Filosa, R.; Lembo, S.; Napolitano, A.; Piacente, S. Phenolics from Castanea sativa leaves and their effects on UVB-induced damage. Nat. Prod. Res. 2018, 32, 1170–1175. [Google Scholar] [CrossRef]
- Fabre, N.; Rustan, I.; de Hoffmann, E.; Quetin-Leclercq, J. Determination of flavone, flavonol, and flavanone aglycones by negative ion liquid chromatography electrospray ion trap mass spectrometry. J. Am. Soc. Mass Spectrom. 2001, 12, 707–715. [Google Scholar] [CrossRef]
Disclaimer/Publisher’s Note: The statements, opinions and data contained in all publications are solely those of the individual author(s) and contributor(s) and not of MDPI and/or the editor(s). MDPI and/or the editor(s) disclaim responsibility for any injury to people or property resulting from any ideas, methods, instructions or products referred to in the content. |
© 2024 by the authors. Licensee MDPI, Basel, Switzerland. This article is an open access article distributed under the terms and conditions of the Creative Commons Attribution (CC BY) license (https://creativecommons.org/licenses/by/4.0/).





