History of Natural Ingredients in Cosmetics
Abstract
1. Introduction
2. Egyptian Cosmetics
3. Traditional Chinese Medicine
4. Ayurvedic Medicine
| Medicinal Plant | Botanical Name | Function | Reference | 
|---|---|---|---|
| Aloe vera | Aloe barbadensis miller | Moisturizing; antiseptic | [40] | 
| Marigold | Calendula officinialis | Wound healing | [41] | 
| Curcumin (turmeric) | Curcuma longa L. | Improve complexion; antiseptic; treatment of eczema and acne | [43] | 
| Coco grass; purple nutsedge; java grass; nut grass | Cyperus rotundus L. | Hair growth regulation; anti-inflammatory; antibacterial agent | [44] | 
| Gotu kola | Centella asiatica | Wound healing; burns; psoriasis; scleroderma | [45] | 
5. Color Cosmetics on the Indian Subcontinent
5.1. Kumkum
5.2. Kajal
5.3. Henna
6. Cosmetics in Ancient Mesopotamia
7. Cosmetics and Dermatology in Ancient Greece and Rome
8. Cosmetics in Europe during the Renaissance and Modern Era
8.1. Venetian Ceruse
8.2. Cinnabar
8.3. Perfumed Gloves
9. The Perfume Industry in France
10. Traditional Japanese Customs
11. Body Art in Tribal Cultures
11.1. Body Painting by African Tribes
11.2. Ingredients Used in Native American Body Art
11.3. Cosmetic Practices in South America and Mesoamerica
11.4. Cosmetic Traditions in Oceania
12. Urotherapy in Folklore Medicine
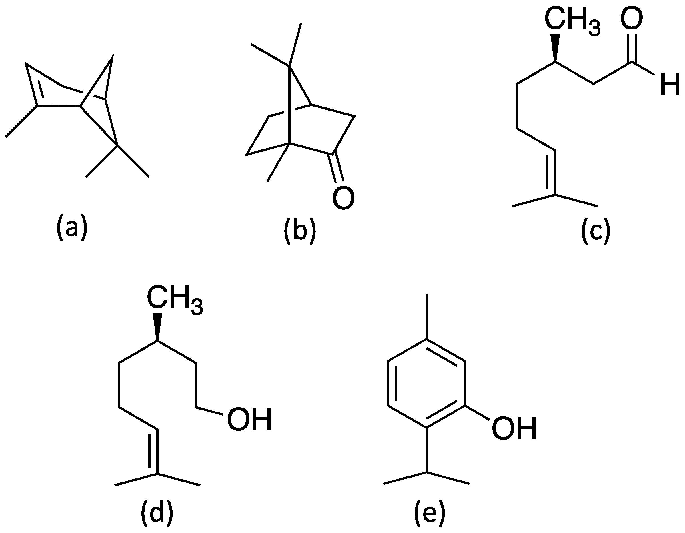
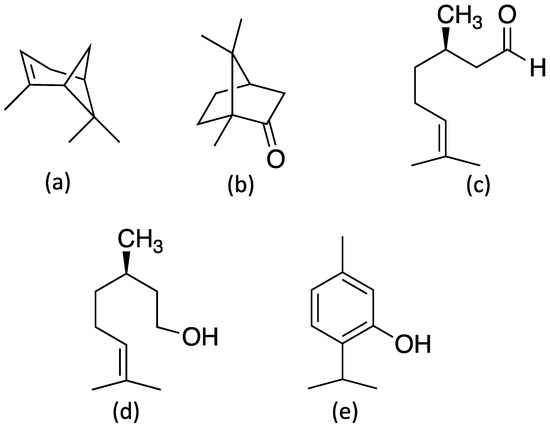
13. Essential Oils
14. Natural Ingredients in the Information Age
15. Understanding the Safety of Natural Ingredients in Modern-Day Cosmetics
16. Concluding Remarks
Author Contributions
Funding
Data Availability Statement
Acknowledgments
Conflicts of Interest
References
- Chaudhri, S.; Jain, N. History of cosmetics. Asian J. Pharm. 2014, 3, 164–167. [Google Scholar]
 - Nayak, M.; Ligade, V. History of cosmetics in Egypt, India, and China. J. Cosmet. Sci. 2021, 72, 432–441. [Google Scholar] [PubMed]
 - Parish, L.; Crissey, J. Cosmetics: A historical review. Clin. Dermatol. 1988, 6, 1–4. [Google Scholar] [CrossRef] [PubMed]
 - González-Minero, F.; Bravo-Díaz, L. The use of plants in skin-care products, cosmetics, and fragrances: Past and present. Cosmetics 2018, 5, 50. [Google Scholar] [CrossRef]
 - Pérez-Arantegui, J. Not only wall paintings—Pigments for cosmetics. Archaeol. Anthropol. Sci. 2021, 13, 189. [Google Scholar] [CrossRef]
 - Scott, D. A review of ancient Egyptian pigments and cosmetics. Stud. Conserv. 2016, 61, 185–202. [Google Scholar] [CrossRef]
 - Riesmeier, M.; Keute, J.; Veall, M.A.; Borschneck, D.; Stevenson, A.; Garnett, A.; Williams, A.; Ragan, M.; Devièse, T. Recipes of Ancient Egyptian kohls more diverse than previously thought. Sci. Rep. 2022, 12, 5932. [Google Scholar] [CrossRef]
 - Hardy, A.; Walton, R.; Vaishnay, R.; Myers, K.; Power, M.; Pirrie, D. Chapter 5 Egyptian eye cosmetics (“Kohls”): Past and present. In Physical Techniques in the Study of Art, Archaeology, and Cultural Heritage; Bradley, D., Creagh, D., Eds.; Elsevier: Amsterdam, The Netherlands, 2006; Volume 1, pp. 173–203. [Google Scholar]
 - Pérez-Arantegui, J.; Cepriá, G. Suitability of the voltametry of immobilized microparticles to detect and discriminate lead compounds in microsamples of ancient black cosmetics. Electrochim. Acta 2014, 138, 247–255. [Google Scholar] [CrossRef]
 - Leek, F. The practice of dentistry in ancient Egypt. J. Egypt. Arch. 1967, 53, 51–58. [Google Scholar] [CrossRef]
 - Miller, J. Dental health in ancient Egypt. J. Biol. Res. 2005, 80, 117–120. [Google Scholar] [CrossRef]
 - Forshaw, R. The practice of dentistry in ancient Egypt. Br. J. Dent. 2009, 206, 479–484. [Google Scholar] [CrossRef]
 - Gurudath, G.; Vijayakumar, K.; Arun, R. Oral hygiene practices: Ancient historical review. J. Orofac. Res. 2012, 2, 225–227. [Google Scholar] [CrossRef]
 - Manniche, L. Perfume. In UCLA Encyclopedia of Egyptology; Wendrich, W., Dieleman, J., Frood, E., Baines, J., Eds.; California Digital Library, University of California: Los Angeles, CA, USA, 2009; Volume 1, pp. 1–7. [Google Scholar]
 - Lucas, A. Cosmetics, perfumes, and incense in ancient Egypt. J. Egypt. Arch. 1930, 16, 41–53. [Google Scholar] [CrossRef]
 - McCreesh, N.; Gize, A.; David, A. Ancient Egyptian hair gel: New insight into ancient Egyptian mummification procedures through chemical analysis. J. Archaeol. Sci. 2011, 38, 3432–3434. [Google Scholar] [CrossRef]
 - Fletcher, J. Ancient Egyptian hair and wigs. Ostracon J. Egypt. Study Soc. 2002, 13, 2–8. [Google Scholar]
 - Cox, J. The construction of an ancient Egyptian wig (c. 1400 b.c.) in the British Museum. J. Egypt. Arch. 1977, 63, 67–70. [Google Scholar] [CrossRef]
 - El Ashry, E.; Rashed, N.; Salama, O.; Saleh, A. Components, therapeutic value, and use of myrrh. Pharmazie 2003, 58, 163–168. [Google Scholar] [PubMed]
 - Tassie, G. Hair in Egypt. In Encyclopaedia of the History of Science, Technology, and Medicine in Non-Western Cultures; Selin, H., Ed.; Springer: Dordrecht, The Netherlands, 2008. [Google Scholar]
 - Aboelsoud, N. Herbal medicine in ancient Egypt. J. Med. Plants Res. 2010, 4, 82–86. [Google Scholar]
 - Jones, J.; Higham, T.; Chivall, D.; Bianucci, R.; Kay, G.; Pallen, M.; Oldfield, R.; Ugliano, F.; Buckley, S.A. A prehistoric Egyptian mummy: Evidence for an ‘embalming recipe’ and the evolution of early formative funerary treatments. J. Archaelog. Sci. 2018, 100, 191–200. [Google Scholar] [CrossRef]
 - Wang, K.H.; Lin, R.D.; Hsu, F.L.; Huang, Y.H.; Chang, H.C.; Huang, C.Y.; Lee, M.H. Cosmetic application of selected traditional Chinese herbal medicines. J. Ethnopharmacol. 2006, 106, 353–359. [Google Scholar] [CrossRef]
 - Koo, J.; Arain, S. Traditional Chinese medicine for the treatment of dermatologic disorders. Arch. Dermatol. 1998, 134, 1388–1393. [Google Scholar] [CrossRef] [PubMed]
 - Law, S.; Lo, C.; Han, J.; Leung, A.; Xu, C. Traditional Chinese herbal “dandelion” and its applications in skin-care. Trad. Integr. Med. 2021, 6, 152–157. [Google Scholar] [CrossRef]
 - Su, E. Asian Botanicals; Allured: Carol Stream, IL, USA, 2003. [Google Scholar]
 - Han, B.; Chong, J.; Sun, Z.; Jiang, X.; Xiao, Q.; Zech, J.; Roberts, P.; Rao, H.; Yang, Y. The rise of the cosmetic industry in ancient China: Insights from a 2700-year-old face cream. Archaeometry 2021, 63, 1042–1058. [Google Scholar] [CrossRef]
 - Li, H. Traditional Chinese Medicine in Cosmetics. Cosmet. & Toil. 17 October 2013. Available online: www.cosmeticsandtoiletries.com (accessed on 1 March 2023).
 - Chassagne, F.; Huang, X.; Lyles, J.; Quave, C. Validation of a 16th century traditional Chinese medicine use of Ginkgo biloba as a topical antimicrobial. Front. Microbiol. 2019, 10, 775. [Google Scholar] [CrossRef] [PubMed]
 - Loh, X.; Young, D.; Guo, H.; Tang, L.; Wu, Y.; Zhang, G.; Tang, C.; Ruan, H. Pearl powder—An emerging material for biomedical applications: A review. Materials 2021, 14, 2797. [Google Scholar] [CrossRef] [PubMed]
 - Dinani, N.; George, S. Nail cosmetics: A dermatological perspective. Clin. Exp. Dermatol. 2019, 44, 599–605. [Google Scholar] [CrossRef]
 - Patkar, K. Herbal cosmetics in ancient India. Indian J. Plast. Surg. 2008, 41, S134–S137. [Google Scholar] [CrossRef]
 - Sumit, K.; Vivek, S.; Sujata, S.; Ashish, B. Herbal cosmetics: Used for skin and hair. Inventi Rapid Cosmeceuticals 2012, 2012, 1–7. [Google Scholar]
 - Bashir, R.; Maqbool, M.; Zehravi, M.; Ara, I. Utilization of herbal cosmetics: A brief overview. Adv. J. Chem. Sect. B 2021, 3, 277–288. [Google Scholar]
 - Gupta, A.; Malviya, R.; Singh, T.; Sharma, P. Indian medicinal plants used in hair care cosmetics: A short review. Pharmacogn. J. 2010, 2, 361–364. [Google Scholar] [CrossRef]
 - Bijauliya, R.; Alok, S.; Kumar, M.; Chanchal, D.; Yadav, S. A comprehensive review on herbal cosmetics. Int. J. Pharm. Sci. Res. 2017, 8, 4930–4949. [Google Scholar]
 - Hirudkar, V.; Shivhare, V. A review on Ayurvedic cosmeceuticals and their modes of action. J. Drug Deliv. Ther. 2022, 12, 204–206. [Google Scholar] [CrossRef]
 - Datta, H.; Paramesh, R. Trends in aging and skin care: Ayurvedic concepts. J. Ayurveda Integr. Med. 2010, 1, 110–113. [Google Scholar] [CrossRef]
 - Hazra, J.; Ashokkumar, P. Concept of beauty and ayurveda medicine. J. Clin. Exp. Dermatol. Res. 2013, 4, 1000178. [Google Scholar] [CrossRef]
 - Surjushe, A.; Vasani, R.; Saple, D. Aloe vera: A short review. Indian J. Dermatol. 2008, 53, 163–166. [Google Scholar] [CrossRef] [PubMed]
 - Givol, O.; Kornhaber, R.; Visentin, D.; Cleary, M.; Haik, J.; Harats, M. A systematic review of Calendula officinalis extract for wound healing. Wound Repair Regen. 2019, 27, 548–561. [Google Scholar] [CrossRef] [PubMed]
 - Vaughn, A.; Branum, A.; Sivamani, R. Effects of turmeric (Curcuma longa) on skin health: A systematic review of the clinical evidence. Phytother. Res. 2016, 30, 1243–1264. [Google Scholar] [CrossRef] [PubMed]
 - Kilfoyle, B.; Kausjik, D.; Terebeski, J.; Bose, S.; Michniak-Kohn, B. The use of quercetin and curcumin in skin care and consumer products. In Formulating, Packaging, and Marketing of Natural Cosmetic Products; Dayan, N., Kromidas, L., Eds.; Wiley: Hoboken, NJ, USA, 2011; pp. 259–286. [Google Scholar]
 - Mohammed, G. Topical Cyperus rotundus oil: A new therapeutic modality with comparable efficacy to alexandrite laser photo-epilation. Aesthetic. Surg. J. 2014, 34, 298–305. [Google Scholar] [CrossRef] [PubMed]
 - Bylka, W.; Znajdek-Awiżeń, P.; Studzińska-Sroka, E.; Brzezińska, M. Centella asiatica in cosmetology. Postep. Derm. Alergol. 2013, 30, 46–49. [Google Scholar] [CrossRef]
 - Venkatasubramanian, P.; Kumar, S.; Nair, V. Cyperus rotundus, a substitute for Aconitum heterophyllum: Studies on the Ayurvedic concept of Abhava Pratinidhi Dravya (drug substitution). J. Ayurveda Integr. Med. 2010, 1, 33–39. [Google Scholar] [CrossRef]
 - Gohil, K.; Patel, J.; Gajjar, A. Pharmacological review on Centenella asiatica: A potential herbal cure-all. Indian J. Pharm. Sci. 2010, 72, 546–556. [Google Scholar] [CrossRef]
 - Singh, V. Traditional and Modern Indian Color Cosmetics. Cosmet. & Toil. 26 August 2015. Available online: www.cosmeticsandtoiletries.com (accessed on 1 March 2023).
 - Nath, A.; Thappa, D. Kumkum-induced dermatitis: An analysis of 46 cases. Clin. Exp. Dermatol. 2007, 32, 385–387. [Google Scholar] [CrossRef]
 - Goh, C.; Kozuka, T. Pigmented contact dermatitis from ‘kumkum’. Clin. Exp. Dermatol. 1986, 11, 603–606. [Google Scholar] [CrossRef]
 - Mohta, A. Kajal (kohl)—A dangerous cosmetic. Oman J. Ophthalmol. 2010, 3, 100–101. [Google Scholar] [CrossRef]
 - Hardy, A.; Farrant, A.; Rollinson, G.; Barss, P.; Vaishnav, R. A study of the chemical composition of traditional eye cosmetics (“the kohls”) used in Qatar and Yemen. J. Cosmet. Sci. 2008, 59, 399–418. [Google Scholar] [PubMed]
 - Chan, A. The Depths of Hair Dyes: Understanding Users, Formulating Answers. Cosmet. & Toil. 9 February 2018. Available online: www.cosmeticsandtoiletries.com (accessed on 1 March 2023).
 - Blanco-Dávila, F. Beauty and the body: The origins of cosmetics. Plast Reconst Surg. 2000, 105, 1196–1204. [Google Scholar] [CrossRef]
 - Farmanfarmaian, F. Haft qalam ārāyish: Cosmetics in the Iranian world. Iran Stud. 2000, 33, 285–326. [Google Scholar] [CrossRef]
 - Nemet-Nejat, K. Daily Life in Ancient Mesopotamia; Greenwood Press: Westport, CT, USA, 1998. [Google Scholar]
 - Diamandopoulos, A.; Kolonas, L.; Grapsa-Kotrotsou, M. Use of lead cosmetics in bronze-age Greece. Lancet 1994, 344, 754–755. [Google Scholar] [CrossRef] [PubMed]
 - Diamandopoulos, A. Organic and inorganic cosmetics in the preclassical eastern Mediterranean. Int. J. Dermatol. 1996, 35, 751–756. [Google Scholar] [CrossRef] [PubMed]
 - Olson, K. Cosmetics in Roman antiquity: Substance, remedy, poison. Class World 2009, 102, 291–310. [Google Scholar] [CrossRef]
 - Ursin, F.; Borelli, C.; Steger, F. Dermatology in ancient Rome: Medical ingredients in Ovid’s “Remedies for female faces”. J. Cosmet. Dermatol. 2019, 19, 1388–1394. [Google Scholar] [CrossRef]
 - von Oppen-Bezalel, L. Slowing Intrinsic and Extrinsic Aging: A Dual Approach. Cosmet. & Toil. 15 July 2013. Available online: www.cosmeticsandtoiletries.com (accessed on 1 March 2023).
 - Sorgenfrey, D.; von Oppen-Bezalel, L. How to spare a telomere a holistic approach to anti-aging. SOFW J. 2006, 132, 32–36. [Google Scholar]
 - Namkoong, J.; Kern, D.; Knaggs, H. Assessment of human skin gene expression by different blends of plant extracts with implications to periorbital skin aging. Int. J. Mol. Sci. 2018, 19, 3349. [Google Scholar] [CrossRef] [PubMed]
 - Burlando, B.; Cornara, L. Honey in dermatology and skin care: A review. J. Cosmet. Dermatol. 2013, 12, 306–313. [Google Scholar] [CrossRef]
 - Kurek-Gorecka, A.; Gorecki, M.; Rzepecka-Stojko, A.; Balwierz, R.; Stojko, J. Bee products in dermatology and skin care. Molecules 2020, 25, 556. [Google Scholar] [CrossRef] [PubMed]
 - Kwakman, P.H.S.; van den Akker, J.P.C.; Gueclue, A.; Aslami, H.; Binnekade, J.M.; de Boer, L.; Boszhard, L.; Paulus, F.; Middelhoek, P.; te Velde, A.A. Medical-grade honey kills antibiotic-resistant bacteria in vitro and eradicates skin colonization. Clin. Infect. Dis. 2008, 46, 1677–1682. [Google Scholar] [CrossRef] [PubMed]
 - McLoone, P.; Warnock, M.; Fyfe, L. Honey: A realistic antimicrobial for disorders of the skin. J. Microbiol. Immunol. Infect. 2016, 49, 161–167. [Google Scholar] [CrossRef]
 - Basualdo, C.; Sgroy, V.; Finola, M.; Marioli, J. Comparison of the antibacterial activity of honey from different provenance against bacteria usually isolated from skin wounds. Vet. Microbiol. 2007, 124, 375–381. [Google Scholar] [CrossRef]
 - Molan, P. Potential of honey in the treatment of wounds and burns. Am. J. Clin. Dermatol. 2001, 2, 13–19. [Google Scholar] [CrossRef]
 - Vandamme, L.; Heyneman, A.; Hoeksema, H.; Verbelen, J.; Monstrey, S. Honey in modern wound care: A systematic review. Burns 2013, 39, 1514–1525. [Google Scholar] [CrossRef]
 - McLoone, P.; Warnock, M.; Fyfe, L. Honey: An immunomodulating agent for disorders of the skin. Food Agric. Immunol. 2016, 27, 338–349. [Google Scholar] [CrossRef]
 - Nomicos, E. Myrrh—Medical marvel or myth of the magi? Holist Nurs. Pract. 2007, 21, 308–323. [Google Scholar] [CrossRef] [PubMed]
 - Kamil, N.; Al-Ghaban, N. Evaluation of effect of local exogenous application of myrrh oil on healing of wound incisions of facial skin (histochemical, histological, and histomorphometrical study in rabbits). J. Baghdad Coll. Dent. 2019, 31, 71–78. [Google Scholar] [CrossRef]
 - Jung, Y.; Roh, Y.; Chong, M. Anti-inflammatory effects of myrrh ethanol extract on particulate matter-induced skin injury. J. Kor. Med. 2022, 43, 1–15. [Google Scholar] [CrossRef]
 - Zhou, Q.; Liu, Y.; Tang, Y.; Shokoohinia, Y.; Chittiboyina, A.; Wang, M.; Avonto, C. Identification of potential skin sensitizers in myrrh. Cosmetics 2019, 6, 47. [Google Scholar] [CrossRef]
 - Hellivan, P. Orris: A star of inspiration. An evocative natural ingredient with roots in artistic and olfactive history. Perfum. Flavor. 2009, 34, 36–41. [Google Scholar]
 - Yousefsani, B.; Boozari, M.; Shirani, K.; Jamshidi, A.; Dadmehr, M. A review on phytochemical and therapeutic potential of Iris germanica. J. Pharm. Phamacol. 2021, 73, 611–625. [Google Scholar] [CrossRef]
 - Brenna, E.; Fuganti, C.; Serra, S. Applications of biocatalysis in fragrance chemistry: The enantiomers of α-, β-, and γ-irones. Chem. Soc. Rev. 2008, 37, 2443–2451. [Google Scholar] [CrossRef]
 - Choo, J.; Lee, H.; Lee, S.; Kang, N. Iris pallida extract alleviates cortisol-induced decrease in type 1 collagen and hyaluronic acid syntheses in human skin cells. Curr. Issues Mol. Biol. 2023, 45, 353–363. [Google Scholar] [CrossRef]
 - Schafer, E. The early history of lead pigments and cosmetics in China. T’oung Pao 1956, 44, 413–438. [Google Scholar] [CrossRef]
 - Littler, W. Death by vanity in the 18th century. QJM-Int. J. Med. 2020, 113, 783–784. [Google Scholar] [CrossRef] [PubMed]
 - Montes-Santiago, J. The lead-poisoned genius: Saturnism in famous artists across five centuries. In Progress in Brain Research: The Fine Arts, Neurology, and Neuroscience (Neuro-Historical Dimensions); Finger, S., Zaidel, D., Boller, F., Bogousslavsky, J., Eds.; Elsevier: Amsterdam, The Netherlands, 2013; Volume 203, pp. 223–240. [Google Scholar]
 - Wang, B.; Su, Y.; Tian, L.; Peng, S.; Ji, R. Heavy metals in face paints: Assessment of the health risk to Chinese opera actors. Sci. Total Environ. 2020, 724, 138163. [Google Scholar] [CrossRef] [PubMed]
 - Liu, J.; Shi, J.; Yu, L.; Goyer, R.; Waalkes, M. Mercury in traditional medicines: Is cinnabar toxicology similar to common mercurials? Exp. Biol. Med. 2008, 233, 810–817. [Google Scholar] [CrossRef] [PubMed]
 - Markham, G. Countrey Contentments; R. Jackson: London, UK, 1623. [Google Scholar]
 - Srinivasan, T. Ambergris in perfumery in the past and present Indian context and the Western world. Ind. J. Hist. Sci. 2015, 50, 306–323. [Google Scholar]
 - Naziz, P.; Das, R.; Sen, S. The scent of stress: Evidence from the unique fragrance of agarwood. Front. Plant Sci. 2019, 10, 840. [Google Scholar] [CrossRef]
 - López-Sampson, A.; Page, T. History of use and trade of agarwood. Econ. Bot. 2018, 72, 107–129. [Google Scholar] [CrossRef]
 - Naef, R. The volatile and semi-volatile constituents of agarwood, the infected heartwood of Aquilaria species: A review. Flavour Fragr. J. 2011, 26, 73–87. [Google Scholar] [CrossRef]
 - Kim, W.; Hwang, K.; Park, D.; Kim, T.; Kim, D.; Choi, D.; Moon, W.-K.; Lee, K.-H. Major constituents and antimicrobial activity of Korean herb Acorus calamus. Nat. Prod. Res. 2011, 25, 1278–1281. [Google Scholar] [CrossRef]
 - Ştefania, G.; Vâtcă, A.; Vâtcă, S. The history and use of perfume in human civilization. Agric. Sci. Pract. 2017, 103, 161–166. [Google Scholar]
 - Johnson, P. Creative contribution of natural substances in present day perfumery. Perfum. Flavor. 1986, 11, 1–8. [Google Scholar]
 - Levine, E.; Green, W. The cosmetic mystique of old Japan. Impressions 1980, 4, 1–5. [Google Scholar]
 - Azami, K.; Hayashi, T.; Kusumi, T.; Ohmori, K.; Suzuki, K. Total synthesis of carthamin, a traditional natural red pigment. Angew. Chem. Int. Ed. Engl. 2019, 58, 5321–5326. [Google Scholar] [CrossRef]
 - Suzuki, S. Carthamin synthase provides new insight into traditional ‘beni’ red pigment production from safflowers. Plant Cell Physiol. 2021, 62, 1506–1508. [Google Scholar] [CrossRef]
 - Al-Snafi, A. The chemical constituents and pharmacological importance of Carthamus tinctorius—An overview. J. Pharm. Biol. 2015, 5, 143–166. [Google Scholar]
 - Beckwith, C.; Fisher, A. Painted Bodies: African Body Painting, Tattoos, and Scarification; Rizzoli: New York, NY, USA, 2012. [Google Scholar]
 - Elias, M.; Chartier, C.; Prévot, G.; Garay, H.; Vignaud, C. The colour of ochres explained by their composition. Mater. Sci. Eng. B 2006, 127, 70–80. [Google Scholar] [CrossRef]
 - Watts, I. Red ochre, body painting, and language: Interpreting the Blombos ochre. In The Cradle of Language: Studies in the Evolution of Language; Botha, R., Knight, C., Eds.; University Press: Oxford, UK, 2009; pp. 62–92. [Google Scholar]
 - Carretero, M. Clay minerals and their beneficial effects upon human health: A review. Appl. Clay Sci. 2002, 21, 155–163. [Google Scholar] [CrossRef]
 - Matike, D.; Ekosse, G.; Ngole, V. Indigenous knowledge applied to the use of clays for cosmetic purposes in Africa: An overview. Afr. J. Ind. Knowl. Syst. 2010, 9, 138–150. [Google Scholar]
 - Samadelli, M.; Melis, M.; Miccoli, M.; Vigl, E.; Zink, A. Complete mapping of the tattoos of the 5300-year-old Tyrolean iceman. J. Cult. Herit. 2015, 16, 753–758. [Google Scholar] [CrossRef]
 - Gröning, K. Body Decoration: A World Survey of Body Art; Vendome Press: New York, NY, USA, 1998. [Google Scholar]
 - Campbell, P. Earth Pigments and Paint of the California Indians: Meaning and Technology; Paul Douglas Campbell: Los Angeles, CA, USA, 2007. [Google Scholar]
 - Vázquez de Ágredos Pascual, M. Painting the skin in ancient Mesoamerica. In Painting the Skin: Pigments on Bodies and Codices in Pre-Columbian Mesoamerica; Dupey García, É., Vázquez de Ágredos Pascual, M., Eds.; University of Arizon Press: Tucson, AZ, USA, 2018; pp. 11–23. [Google Scholar]
 - Ramos-Elorduy de Conconi, J.; Pino Moreno, J. The utilization of insection in the empirical medicine of ancient mexicans. J. Ethnobiol. 1988, 8, 195–202. [Google Scholar]
 - Rovesti, P. Alla Ricerca Della Cosmesi dei Primitivi; Marsilio Editori Publishing: Venice, Italy, 1977. [Google Scholar]
 - Savica, V.; Calò, L.; Santoro, D.; Monardo, P.; Mallamace, A. Urine therapy through the centuries. J. Nephrol. 2011, 24 (Suppl. S17), S123–S125. [Google Scholar] [CrossRef]
 - Verzì, A.; Musumeci, M.; Lacarrubba, F.; Micali, G. History of urea as a dermatological agent in clinical practice. Int. J. Clin. Pract. 2020, 74, e13621. [Google Scholar] [CrossRef] [PubMed]
 - Celleno, L. Topical urea in skincare: A review. Dermatol. Ther. 2018, 31, e12690. [Google Scholar] [CrossRef] [PubMed]
 - Vallejo, J.; Mena, A.; González, J. Human urine-based therapeutics in Spain from the early 20th century to the present: A historical literature overview and a present-day case study. Acta Med. Hist. Adriat. 2017, 15, 73–108. [Google Scholar] [PubMed]
 - Peschek-Böhmer, F.; Schreiber, G. Urine Therapy; Healing Arts Press: Rochester, VT, USA, 1999. [Google Scholar]
 - Rao, V.; Pandey, D.; Sahoo, A. Extraction of Essential Oil and Its Applications; Department of Chemical Engineering, National Institute of Technology: Rourkela, India, 2007. [Google Scholar]
 - Djilani, A.; Dicko, A. The therapeutic benefits of essential oils. In Nutrition, Well-Being and Health; Bouayed, J., Ed.; InTech: Rijeka, Croatia, 2012. [Google Scholar]
 - Bakkali, F.; Averbeck, S.; Averbeck, D.; Idaomar, M. Biological effects of essential oils—A review. Food Chem. Toxicol. 2008, 46, 446–475. [Google Scholar] [CrossRef] [PubMed]
 - Miguel, M. Antioxidant and anti-inflammatory activities of essential oils: A short review. Molecules 2010, 15, 9252–9287. [Google Scholar] [CrossRef] [PubMed]
 - Pazyar, N.; Yaghoobi, R.; Bagherani, N.; Kazerouni, A. A review of applications of tea tree oil in dermatology. Int. J. Dermatol. 2013, 52, 784–790. [Google Scholar] [CrossRef] [PubMed]
 - Fajinmi, O.; Gruz, J.; Tarkowski, P.; Kulkarni, M.; Finnie, J.; Van Staden, J. Antifungal and antioxidant activities of Coleonema album and C. pulchellum against skin diseases. Pharm. Biol. 2017, 55, 1249–1255. [Google Scholar] [CrossRef] [PubMed]
 - Kamel, R.; Abbas, H.; Fayez, A. Diosmin/essential oil combination for dermal photo-protection using a lipoid colloidal carrier. J. Photochem. Photobiol. B 2017, 170, 49–57. [Google Scholar] [CrossRef] [PubMed]
 - Asquith, S. The use of aromatherapy in wound care. J. Wound Care 1999, 8, 318–320. [Google Scholar] [CrossRef] [PubMed]
 - Herman, A.; Herman, A. Essential oils and their constituents as skin penetration enhancer for transdermal drug delivery: A review. J. Pharm. Pharmacol. 2015, 67, 473–485. [Google Scholar] [CrossRef] [PubMed]
 - Sritabutra, D.; Soonwera, M. Repellent activity of herbal essential oils against Aedes aegypti (Linn.) and Culex quinquefasciatus (Say.). Asian Pac. J. Trop. Dis. 2013, 3, 271–276. [Google Scholar] [CrossRef]
 - Kalita, B.; Bora, S.; Sharma, A. Plant essential oils as mosquito repellent—A review. Int. J. Res. Dev. Pharm. Life Sci. 2013, 3, 741–747. [Google Scholar]
 - Nerio, L.; Olivero-Verbel, J.; Stashenko, E. Repellent activity of essential oils: A review. Bioresour. Technol. 2010, 101, 372–378. [Google Scholar] [CrossRef] [PubMed]
 - Apone, F.; Barbulova, A.; Colucci, M. Plant and microalgae derived peptides are advantageously employed as bioactive compounds in cosmetics. Front. Plant Sci. 2019, 10, 756. [Google Scholar] [CrossRef] [PubMed]
 - Dini, I.; Laneri, S. The new challenge of green cosmetics: Natural food ingredients for cosmetic formulations. Molecules 2021, 26, 3921. [Google Scholar] [CrossRef]
 - Mahomoodally, F.; Ramjuttun, P. Phytocosmetics from the African Herbal Pharmacopeia. Int. J. Phytocosmet. Nat. Ingr. 2017, 4, 4. [Google Scholar] [CrossRef]
 - Morocho-Jácome, A.; Freire, T.; de Oliveira, A.; de Almeida, T.; Rosado, C.; Velasco, M.; Baby, A.R. In vivo SPF from multifunctional sunscreen systems developed with natural compounds—A review. J. Cosmet. Dermatol. 2020, 20, 729–737. [Google Scholar] [CrossRef]
 - Mwinga, J.; Makhaga, N.; Aremu, A.; Otang-Mbeng, W. Botanicals used for cosmetic purposes by Xhosa women in the Eastern Cape, South Africa. S. Afr. J. Bot. 2019, 126, 4–10. [Google Scholar] [CrossRef]
 - Sharmeen, J.; Mahomoodally, F.; Zengin, G.; Maggi, F. Essential oils as natural sources of fragrance compounds for cosmetics and cosmeceuticals. Molecules 2021, 26, 666. [Google Scholar] [CrossRef]
 - Shivanand, P.; Nilam, M.; Viral, D. Herbs play an important role in the field of cosmetics. Int. J. Pharmtech. Res. 2010, 2, 632–639. [Google Scholar]
 - McMullen, R. Antioxidants and the Skin, 2nd ed.; CRC Press: Boca Raton, FL, USA, 2019. [Google Scholar]
 - Fonseca-Santos, B.; Corrêa, M.; Chorilli, M. Sustainability, natural, and organic cosmetics: Consumer, products, efficacy, toxicological, and regulatory considerations. Braz. J. Pharm. Sci. 2015, 51, 17–26. [Google Scholar] [CrossRef]
 - Klaschka, U. Natural personal care products—Analysis of ingredient lists and legal situation. Environ. Sci. Eur. 2016, 28, 1–14. [Google Scholar] [CrossRef] [PubMed]
 - Bucheli, T.; Strobel, B.; Hansen, H. Personal care products are only one of many exposure routes of natural toxic substances and the environment. Cosmetics 2018, 5, 10. [Google Scholar] [CrossRef]
 - Hoerger, C.; Wettstein, F.; Bachmann, H.; Hungerbühler, K.; Bucheli, T. Occurrence and mass balance of isoflavones on an experimental grassland field. Environ. Sci. Technol. 2011, 45, 6752–6760. [Google Scholar] [CrossRef] [PubMed]
 






















| Plant Species | Function | First Recorded Use | 
|---|---|---|
| Carthami flos flower juice (Carthamus tinctorius) | Blush (Yan-Zhi) and skin softening agent | Shang Dynasty (16th–11th century BC)  | 
| Mugwort (Artemisia stelleriana) | Hair growth | Qin and Han Dynasties (221 BC–24 AD)  | 
| Chinese Waxgourd Seed (Semen benincasae) | Skin brightening and antiaging | Qin and Han Dynasties (221 BC–24 AD)  | 
| Taoren (Semen persicae) and Asian rice (Oryza sativa) | Facial cleanser for skin brightening | Tang Dynasty (618–907 AD)  | 
| Apricot seeds (Semen armeniacae amarum) and mica | Known as Yun-Mu cream and used to relieve black spots and acne | Song Dynasty (960–1279 AD)  | 
| Ingredient | Botanical Name | Pliny the Elder | Cornelius Celsus | 
|---|---|---|---|
| Soft coral | Alcyonium | Removes lichens, leprous sores, and freckles | Treat vitiligo † | 
| Bulb of narcissus (daffodil) | Narcissus tazetta | Removes blemishes and softens skin | Erodent that exfoliates skin | 
| Honey | Mel | An emollient and used to remove pimples | Used to prevent pimples, freckles, and moles | 
| Myrrh | Commiphora myrrha | Made into a tisane; cures sores on the head and face | Erodent that removes cicatrices | 
| Orris root | Iris germanica or Iris pallida | Used for ointments; remedy for skin conditions and freckles | Cleanser | 
| Ingredient | Use | Tribe | 
|---|---|---|
| Charcoal and red ochre | Prevent sunburn and protect the eyes | Modoc | 
| Soapstone (steatite) | Thin layer on the skin of babies to provide solar protection | Kumeyaay | 
| Chalk mixed with saliva | Warriors paint the face white and create designs using fingers or a brush (negative painting) | Modoc | 
| Red ochre | Prevent sunburn | Chumash | 
| Kaolin | Paint the legs white to increase the speed of runners | Juaneño and Luiseño | 
| Red ochre | Apply to chafed buttocks of the baby | Paiute | 
| Ingredient | Source | Application | 
|---|---|---|
| Carmine | Extract from cochineal (Dactylopius coccus) | Red dye | 
| Annatto | Bixa orellana (achiote) seed pods | Red dye | 
| Axin | Grease obtained by crushing the insect Coccus axin or Llaveia axin | Ointment and medicinal treatment for skin conditions; also a base for pigments. | 
| Palo de campeche (Haemotoxylum campechianum) | Dye is obtained from the heartwood of the tree | Black dye | 
Disclaimer/Publisher’s Note: The statements, opinions and data contained in all publications are solely those of the individual author(s) and contributor(s) and not of MDPI and/or the editor(s). MDPI and/or the editor(s) disclaim responsibility for any injury to people or property resulting from any ideas, methods, instructions or products referred to in the content.  | 
© 2023 by the authors. Licensee MDPI, Basel, Switzerland. This article is an open access article distributed under the terms and conditions of the Creative Commons Attribution (CC BY) license (https://creativecommons.org/licenses/by/4.0/).
Share and Cite
McMullen, R.L.; Dell’Acqua, G. History of Natural Ingredients in Cosmetics. Cosmetics 2023, 10, 71. https://doi.org/10.3390/cosmetics10030071
McMullen RL, Dell’Acqua G. History of Natural Ingredients in Cosmetics. Cosmetics. 2023; 10(3):71. https://doi.org/10.3390/cosmetics10030071
Chicago/Turabian StyleMcMullen, Roger L., and Giorgio Dell’Acqua. 2023. "History of Natural Ingredients in Cosmetics" Cosmetics 10, no. 3: 71. https://doi.org/10.3390/cosmetics10030071
APA StyleMcMullen, R. L., & Dell’Acqua, G. (2023). History of Natural Ingredients in Cosmetics. Cosmetics, 10(3), 71. https://doi.org/10.3390/cosmetics10030071
        